Maternal Environment Effect of Warming and Eutrophication on the Emergence of Curled Pondweed, Potamogeton crispus L.
Abstract
1. Introduction
2. Materials and Methods
2.1. Warming and Eutrophication Effects on Maternal Generation
2.2. Warming and Eutrophication Effects on Offspring Turion
2.3. Data Analysis
3. Results
3.1. Water Temperature in Mesocosms
3.2. Water Chemistry in Mesocosms
3.3. Emerged Number of P. crispus on Maternal Generation
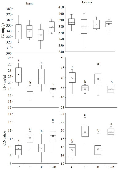
3.4. TC and TN Contents of P. crispus on Maternal Generation
3.5. Emerged Number of P. crispus on Offsprings
4. Discussion
4.1. Warming and Phosphorus Addition Effect on Seedlings Emergence of Maternal Generation
4.2. Warming and Phosphorus Addition Effect on P. crispus Stoichiometric Properties
4.3. Warming and Phosphorus Addition Effect on Offspring Seedlings Emergence
5. Conclusions
Author Contributions
Funding
Acknowledgments
Conflicts of Interest
References
- Engelhardt, K.A.; Ritchie, M.E. Effects of macrophyte species richness on wetland ecosystem functioning and services. Nature 2001, 411, 687. [Google Scholar] [CrossRef] [PubMed]
- Li, E.-H.; Li, W.; Liu, G.-H.; Yuan, L.-Y. The effect of different submerged macrophyte species and biomass on sediment resuspension in a shallow freshwater lake. Aquat. Bot. 2008, 88, 121–126. [Google Scholar] [CrossRef]
- Pluntke, T.; Kozerski, H.-P. Particle trapping on leaves and on the bottom in simulated submerged plant stands. Hydrobiologia 2003, 506, 575–581. [Google Scholar] [CrossRef]
- Van Donk, E.; van de Bund, W.J. Impact of submerged macrophytes including charophytes on phyto- and zooplankton communities: allelopathy versus other mechanisms. Aquat. Bot. 2002, 72, 261–274. [Google Scholar] [CrossRef]
- White, J.W.C.; Houghton, J.T.; Jenkins, G.J.; Ephraums, J.J. Climate change: the ipcc scientific assessment. Report Prepared for IPCC Working Group 1. Intergovernmental Panel on Climate Change. Arct. Alp. Res. 1992, 24, 263. [Google Scholar] [CrossRef]
- Boyero, L.; Pearson, R.G.; Gessner, M.O.; Barmuta, L.A.; Ferreira, V.; Graça, M.A.S.; Dudgeon, D.; Boulton, A.J.; Callisto, M.; Chauvet, E.; et al. A global experiment suggests climate warming will not accelerate litter decomposition in streams but might reduce carbon sequestration. Ecol. Lett. 2011, 14, 289–294. [Google Scholar] [CrossRef] [PubMed]
- Greig, H.S.; Kratina, P.; Thompson, P.L.; Palen, W.J.; Richardson, J.S.; Shurin, J.B. Warming, eutrophication, and predator loss amplify subsidies between aquatic and terrestrial ecosystems. Glob. Chang. Biol. 2011, 18, 504–514. [Google Scholar] [CrossRef]
- Rooney, N.; Kalff, J. Inter-annual variation in submerged macrophyte community biomass and distribution: the influence of temperature and lake morphometry. Aquat. Bot. 2000, 68, 321–335. [Google Scholar] [CrossRef]
- Netten, J.J.C.; Van, Z.J.; Kosten, S.; Peeters, E.T.H.M. Differential response to climatic variation of free-floating and submerged macrophytes in ditches. Freshw. Biol. 2011, 56, 1761–1768. [Google Scholar] [CrossRef]
- Cao, J.; Ruan, H. Responses of the submerged macrophyte Vallisneria natans to elevated CO2 and temperature. Aquat. Biol. 2015, 23, 119–127. [Google Scholar] [CrossRef]
- Hansson, L.-A.; Nicolle, A.; Granéli, W.; Hallgren, P.; Kritzberg, E.; Persson, A.; Björk, J.; Nilsson, P.A.; Brönmark, C. Food-chain length alters community responses to global change in aquatic systems. Nat. Clim. Chang. 2012, 3, 228–233. [Google Scholar] [CrossRef]
- Netten, J.J.; Arts, G.H.; Gylstra, R.; Van Nes, E.H.; Scheffer, M.; Roijackers, R.M. Effect of temperature and nutrients on the competition between free-floating Salvinia natans and submerged Elodea nuttallii in mesocosms. Fund. Appl. Limnol. 2010, 177, 125–132. [Google Scholar] [CrossRef]
- Smith, V.H.; Schindler, D.W. Eutrophication science: where do we go from here? Trends Ecol. Evol. 2009, 24, 201–207. [Google Scholar] [CrossRef] [PubMed]
- Bayley, S.E.; Prather, C.M. Do wetland lakes exhibit alternative stable states? submersed aquatic vegetation and chlorophyll in western boreal shallow lakes. Limnol. Oceanogr. 2003, 48, 2335–2345. [Google Scholar] [CrossRef]
- Kosten, S.; Kamarainen, A.M.Y.; Jeppesen, E.; van Nes, E.H.; Peeters, E.T.; Mazzeo, N.; Søndergaard, M. Climate-related differences in the dominance of submerged macrophytes in shallow lakes. Glob. Chang. Biol. 2009, 15, 2503–2517. [Google Scholar] [CrossRef]
- Rip, W.J.; Ouboter, M.R.L.; Los, H.J. Impact of climatic fluctuations on characeae biomass in a shallow, restored lake in the Netherlands. Hydrobiologia 2007, 584, 415–424. [Google Scholar] [CrossRef]
- Mooij, W.M.; Janse, J.H.; De Senerpont Domis, L.N.; Hülsmann, S.; Ibelings, B.W. Predicting the effect of climate change on temperate shallow lakes with the ecosystem model pclake. Shallow Lakes Chang. World 2007, 584, 443–454. [Google Scholar]
- Moss, B.; Mckee, D.; Atkinson, D.; Collings, S.E.; Eaton, J.W.; Gill, A.B.; Harvey, I.; Hatton, K.; Heyes, T.; Wilson, D. How important is climate? effects of warming, nutrient addition and fish on phytoplankton in shallow lake microcosms. J. Appl. Ecol. 2003, 40, 782–792. [Google Scholar] [CrossRef]
- Özkan, K.; Jeppesen, E.; Johansson, L.S.; Beklioglu, M. The response of periphyton and submerged macrophytes to nitrogen and phosphorus loading in shallow warm lakes: A mesocosm experiment. Freshw. Biol. 2010, 55, 463–475. [Google Scholar] [CrossRef]
- Hargeby, A.; Andersson, G.; Blindow, I.; Johansson, S. Trophic web structure in a shallow eutrophic lake during a dominance shift from phytoplankton to submerged macrophytes. Hydrobiologia 1994, 279, 83–90. [Google Scholar] [CrossRef]
- Sayer, C.D.; Burgess, A.M.Y.; Kari, K.; Davidson, T.A.; Peglar, S.; Yang, H.; Rose, N. Long-term dynamics of submerged macrophytes and algae in a small and shallow, eutrophic lake: Implications for the stability of macrophyte-dominance. Freshw. Biol. 2010, 55, 565–583. [Google Scholar] [CrossRef]
- Ventura, M.; Liboriussen, L.; Lauridsen, T.; Søndergaard, M.; Søndergaard, M.; Jeppesen, E. Effects of increased temperature and nutrient enrichment on the stoichiometry of primary producers and consumers in temperate shallow lakes. Freshw. Biol. 2008, 53, 1434–1452. [Google Scholar] [CrossRef]
- An, Y.; Wan, S.; Zhou, X.; Subedar, A.A.; Wallace, L.L.; Luo, Y. Plant nitrogen concentration, use efficiency, and contents in a tallgrass prairie ecosystem under experimental warming. Glob. Chang. Biol. 2005, 11, 1733–1744. [Google Scholar] [CrossRef]
- Hobbie, E.A.; Olszyk, D.M.; Rygiewicz, P.T.; Tingey, D.T.; Johnson, M.G. Foliar nitrogen concentrations and natural abundance of 15n suggest nitrogen allocation patterns of Douglas-fir and Mycorrhizal fungi during development in elevated carbon dioxide concentration and temperature. Tree Physiol. 2001, 21, 1113–1122. [Google Scholar] [CrossRef] [PubMed]
- Bakker, E.S.; Nolet, B.A. Experimental evidence for enhanced top-down control of freshwater macrophytes with nutrient enrichment. Oecologia 2014, 176, 825–836. [Google Scholar] [CrossRef] [PubMed]
- Gutierrez-Marcos, J.F.; Constância, M.; Burton, G.J. Maternal to offspring resource allocation in plants and mammals. Placenta 2012, 33, 3–10. [Google Scholar] [CrossRef] [PubMed]
- Wolf, J.B.; Wade, M.J. What are maternal effects (and what are they not)? Philos. Trans. R. Soc. B 2009, 364, 1107–1115. [Google Scholar] [CrossRef] [PubMed]
- Dey, S.; Proulx, S.R.; Teotónio, H. Adaptation to Temporally Fluctuating Environments by the Evolution of Maternal Effects. Plos Biol. 2015, 14. [Google Scholar]
- Sultan, S.E.; Barton, K.; Wilczek, A.M. Contrasting patterns of transgenerational plasticity in ecologically distinct congeners. Ecology 2009, 90, 1831–1839. [Google Scholar] [CrossRef] [PubMed]
- Hereford, J.; Moriuchi, K.S. Variation among populations of Diodia teres (rubiaceae) in environmental maternal effects. J. Evol. Biol. 2005, 18, 124–131. [Google Scholar] [CrossRef] [PubMed]
- Amjad, M.; Anjum, M.A.; Akhtar, N. Influence of Phosphorus and Potassium Supply to the Mother Plant on Seed Yield, Quality and Vigour in Pea. Asian J. Plant. Sci. 2004, 3, 108–113. [Google Scholar]
- Hrdlickova, J.; Hejcman, M.; Kristalova, V.; Pavlu, V. Production, size, and germination of broad-leaved dock seeds collected from mother plants grown under different nitrogen, phosphorus, and potassium supplies. Weed Biol. Manag. 2011, 11, 190–201. [Google Scholar] [CrossRef]
- Zhang, R.; Gallagher, R.S.; Shea, K. Maternal warming affects early life stages of an invasive thistle. Plant. Biol. 2012, 14, 783–788. [Google Scholar] [CrossRef] [PubMed]
- Lacey, E.P.; Herr, D. Parental effects in Plantago lanceolata L. III. Measuring Parental Temperature Effects in the Field. Evolution 2000, 54, 1207–1217. [Google Scholar] [CrossRef] [PubMed]
- Donohue, K. Completing the Cycle: Maternal Effects as the Missing Link in Plant Life Histories. Philos. Trans. R. Soc. B 2009, 364, 1059–1074. [Google Scholar] [CrossRef] [PubMed]
- Sastroutomo, S.S. Turion formation, dormancy and germination of curly pondweed, Potamogeton crispus L. Aquat. Bot. 1981, 10, 161–173. [Google Scholar] [CrossRef]
- Zhang, P.; Bakker, E.S.; Zhang, M.; Xu, J. Effects of warming on Potamogeton crispus growth and tissue stoichiometry in the growing season. Aquat. Bot. 2016, 128, 13–17. [Google Scholar] [CrossRef]
- Hart, R.; Salick, J.; Ranjitkar, S.; Xu, J. Herbarium specimens show contrasting phenological responses to himalayan climate. Proc. Natl. Acad. Sci. USA 2014, 111, 10615–10619. [Google Scholar] [CrossRef] [PubMed]
- Davis, C.C.; Willis, C.G.; Connolly, B.; Kelly, C.; Ellison, A.M. Herbarium records are reliable sources of phenological change driven by climate and provide novel insights into species’ phenological cueing mechanisms. Am. J. Bot. 2015, 102, 1599–1609. [Google Scholar] [CrossRef] [PubMed]
- Primack, R.B.; Ibáñez, I.; Higuchi, H.; Lee, S.D.; Miller-Rushing, A.J.; Wilson, A.M.; Silander, J.A. Spatial and interspecific variability in phenological responses to warming temperatures. Biol. Conserv. 2009, 142, 2569–2577. [Google Scholar] [CrossRef]
- Finch-Savage, W.E.; Leubner-Metzger, G. Seed dormancy and the control of germination. New Phytol. 2006, 171, 501–523. [Google Scholar] [CrossRef] [PubMed]
- Zhang, X.; Odgaard, R.; Olesen, B.; Lauridsen, T.L.; Liboriussen, L.; Søndergaard, M.; Liu, Z.; Jeppesen, E. Warming shows differential effects on late-season growth and competitive capacity of Elodea canadensis and Potamogeton crispus in shallow lakes. Inland Waters 2015, 54, 421–432. [Google Scholar] [CrossRef]
- Tobiessen, P.; Snow, P.D. Temperature and light effects on the growth of Potamogeton crispus in collins lake, New York State. Can. J. Bot. 1984, 62, 2822–2826. [Google Scholar] [CrossRef]
- Zhang, Y.L.; Liu, X.H.; Qin, B.Q.; Shi, K.; Deng, J.M.; Zhou, Y.Q. Aquatic vegetation in response to increased eutrophication and degraded light climate in Eastern Lake Taihu: Implications for lake ecological restoration. Sci. Rep. 2016, 6, 23867. [Google Scholar] [CrossRef] [PubMed]
- Jiang, X.; Jin, X.; Yao, Y.; Li, L.; Wu, F. Effects of biological activity, light, temperature and oxygen on phosphorus release processes at the sediment and water interface of taihu lake, china. Water Res. 2008, 42, 2251–2259. [Google Scholar] [CrossRef] [PubMed]
- Lacoul, P.; Freedman, B. Environmental influences on aquatic plants in freshwater ecosystems. Environ. Rev. 2006, 14, 89–136. [Google Scholar] [CrossRef]
- Wang, Z.; Xia, C.; Yu, D.; Wu, Z. Low-temperature induced leaf elements accumulation in aquatic macrophytes across tibetan plateau. Ecol. Eng. 2015, 75, 1–8. [Google Scholar] [CrossRef]
- Weih, M.; Karlsson, P.S. Growth response of Mountain birch to air and soil temperature: is increasing leaf-nitrogen content an acclimation to lower air temperature? New Phytol. 2001, 150, 147–155. [Google Scholar] [CrossRef]
- Ren, J.C.; Qiao, J.R.; Dong, W.; Dai, C.L. Study on ecological habits of Potamogeton crispus and its growth in Jing-Mi cannal, Beijing. Acta Sci. Nat. Univ. Pekinensis 1997, 33, 749–755. [Google Scholar]
- Wang, T.; Zhang, Y.T.; Li, C.; Hu, B.W.; Xu, J.; Zhang, M. Effects of maternal warming on early germination of Potamogeton crispus turions. Acta Hydrobiol. Sin. 2018, in press. [Google Scholar]
- Fait, A.; Angelovici, R.; Less, H.; Ohad, I.; Urbanczyk-Wochniak, E.; Fernie, A.R.; Galili, G. Arabidopsis seed development and germination is associated with temporally distinct metabolic switches. Plant. Physiol. 2006, 142, 839–854. [Google Scholar] [CrossRef] [PubMed]
- Toorop, P.E.; Campos Cuerva, R.; Begg, G.S.; Locardi, B.; Squire, G.R.; Iannetta, P.P.M. Co-adaptation of seed dormancy and flowering time in the arable weed Capsella bursa-pastoris (shepherd’s purse). Ann. Bot. 2011, 109, 481–489. [Google Scholar] [CrossRef] [PubMed]
- Caliskan, S.; Makineci, E. Variations in carbon and nitrogen ratios and their effects on seed germination in Cupressus sempervirens populations. Scand. J. For. Res. 2014, 29, 162–169. [Google Scholar] [CrossRef]
- Hara, Y.; Toriyama, K. Seed nitrogen accelerates the rates of germination, emergence, and establishment of rice plants. J. Soil Sci. Plant. Nut. 1998, 44, 359–366. [Google Scholar] [CrossRef]
- Li, W. Environmental opportunities and constraints in the reproduction and dispersal of aquatic plants. Aquat. Bot. 2014, 118, 62–70. [Google Scholar] [CrossRef]
- Schmuths, H.; Bachmann, K.; Weber, W.E.; Horres, R.; Hoffmann, M.H. Effects of preconditioning and temperature during germination of 73 natural accessions of Arabidopsis thaliana. Ann. Bot. 2006, 97, 623–634. [Google Scholar] [CrossRef] [PubMed]
- Qaderi, M.M.; Cavers, P.B.; Hamill, A.S.; Downs, M.P.; Bernards, M.A. Maturation temperature regulates germinability and chemical constituents of scotch thistle (Onopordum acanthium) cypselas. Can. J. Bot. 2006, 84, 28–38. [Google Scholar] [CrossRef]
- Totland, O.; Birks, H.J.B. Factors influencing inter-population variation in Ranunculus acris seed production in an alpine area of southwestern norway. Ecography 1996, 19, 269–278. [Google Scholar] [CrossRef]





| Treatment | TP (mg·L−1) | SRP (mg·L−1) | TN (mg·L−1) | DO (mg·L−1) | pH | Conductivity (μs·cm−1) | Chlorophyll a (mg·L−1) |
|---|---|---|---|---|---|---|---|
| C | 0.037 ± 0.012 | 0.012 ± 0.005 | 2.352 ± 0.305 | 12.32 ± 0.27 | 8.56 ± 0.03 | 227.70 ± 7.43 | 2.00 ± 0.54 |
| T | 0.036 ± 0.010 | 0.011 ± 0.004 | 2.234 ± 0.220 | 10.22 ± 0.29 | 8.42 ± 0.02 | 265.67 ± 9.25 | 2.13 ± 0.66 |
| P | 0.079 ± 0.020 | 0.014 ± 0.006 | 1.771 ± 0.380 | 12.53 ± 0.22 | 8.92 ± 0.12 | 209.06 ± 8.27 | 14.03 ± 2.47 |
| T + P | 0.056 ± 0.009 | 0.011 ± 0.004 | 1.410 ± 0.221 | 10.48 ± 0.45 | 8.77 ± 0.12 | 250.27 ± 9.76 | 12.28 ± 3.37 |
© 2018 by the authors. Licensee MDPI, Basel, Switzerland. This article is an open access article distributed under the terms and conditions of the Creative Commons Attribution (CC BY) license (http://creativecommons.org/licenses/by/4.0/).
Share and Cite
Li, C.; Wang, T.; Zhang, M.; Xu, J. Maternal Environment Effect of Warming and Eutrophication on the Emergence of Curled Pondweed, Potamogeton crispus L. Water 2018, 10, 1285. https://doi.org/10.3390/w10091285
Li C, Wang T, Zhang M, Xu J. Maternal Environment Effect of Warming and Eutrophication on the Emergence of Curled Pondweed, Potamogeton crispus L. Water. 2018; 10(9):1285. https://doi.org/10.3390/w10091285
Chicago/Turabian StyleLi, Chao, Tao Wang, Min Zhang, and Jun Xu. 2018. "Maternal Environment Effect of Warming and Eutrophication on the Emergence of Curled Pondweed, Potamogeton crispus L." Water 10, no. 9: 1285. https://doi.org/10.3390/w10091285
APA StyleLi, C., Wang, T., Zhang, M., & Xu, J. (2018). Maternal Environment Effect of Warming and Eutrophication on the Emergence of Curled Pondweed, Potamogeton crispus L. Water, 10(9), 1285. https://doi.org/10.3390/w10091285
