Mie LIDAR Observations of Tropospheric Aerosol over Wuhan
Abstract
:1. Introduction
2. Study Site and Instrumentation Used
2.1. Study Site Location
2.2. LIDAR System Description

| Transmitter | |
|---|---|
| Wavelength (nm) | 532, Nd: YAG |
| Pulse width (ns) | 10 |
| Pulse repetition frequency (Hz) | 20 |
| Maximum pulse energy (mJ) | 140 |
| Laser beam divergence (mrad) | 0.5 |
| Receiver | |
| Optical design | Schmidt-Cassegrain |
| Diameter of telescope (mm) | 254 |
| Focal length (mm) | 2500 |
| Filter bandwidth (nm) | 3 |
| Field of view (mrad) | 1 |
| Spatial resolution (m) | 3.75 |
3. Data Retrieval
3.1. Ideal Profile Fitting Method
3.2. Fernald Method
4. Results and Discussion
4.1. ABLH Characteristics


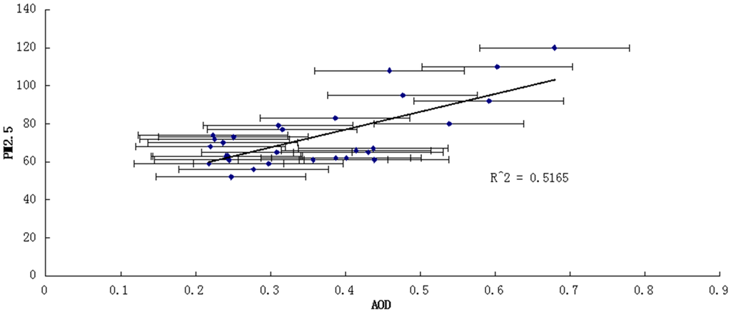
4.2. AOD Characteristics

4.3. Haze Event Analysis



5. Conclusions
Acknowledgments
Author Contributions
Conflicts of Interest
References
- Bösenberg, J.; Hoff, R.; Ansmann, A.; Müller, D.; Antuna, J.C.; Whiteman, D.; Freudenthaler, V. Plan for the implementation of the GAW aerosol LIDAR observation network GALION. WMO TD nº 2007, 1443, 178–178. [Google Scholar]
- Haines, A. Climate Change 2001: The Scientific Basis. Contribution of Working Group 1 to the Third Assessment report of the Intergovernmental Panel on Climate Change; Houghton, J.T., Ding, Y., Griggs, D.J., Noguer, M., van der Winden, P.J., Dai, X., Eds.; Cambridge University Press: Cambridge, UK, 2001; p. 321. [Google Scholar]
- Nakajima, T.; Yoon, S.; Ramanathan, V.; Shi, G.; Takemura, T.; Higurashi, A.; Takamura, T.; Aoki, K.; Sohn, B.; Kim, S.; et al. Overview of the atmospheric brown cloud east Asian regional experiment 2005 and a study of the aerosol direct radiative forcing in East Asia. J. Geophys. Res. 2007, 112. [Google Scholar] [CrossRef]
- Holben, B.N.; Eck, T.F.; Slutsker, I.; Tanre, D.; Buis, J.P.; Setzer, A.; Vermote, E.; Reagan, J.A.; Kaufman, Y.J.; Nakajima, T. AERONET—A federated instrument network and data archive for aerosol characterization. Remote Sens. Environ. 1998, 66, 1–16. [Google Scholar] [CrossRef]
- Matthias, V.; Freudenthaler, V.; Amodeo, A.; Balin, I.; Balis, D.; Bösenberg, J.; Chaikovsky, A.; Chourdakis, G.; Comeron, A.; Delaval, A.; et al. Aerosol LIDAR intercomparison in the framework of the EARLINET project. 1. Instruments. Appl. Opt. 2004, 43, 961–976. [Google Scholar] [CrossRef]
- Matthias, V.; Balis, D.; Bösenberg, J.; Eixmann, R.; Iarlori, M.; Komguem, L.; Mattis, I.; Papayannis, A.; Pappalardo, G.; Perrone, M.R.; et al. Vertical aerosol distribution over Europe: Statistical analysis of Raman Lidar data from 10 European Aerosol Research Lidar Network (EARLINET) stations. J. Geophys. Res. Atmos. 2004, 109, 159–172. [Google Scholar] [CrossRef]
- Welton, E.J.; Campbell, J.R.; Spinhirne, J.D.; Scott, V.S., III. Global monitoring of clouds and aerosols using a network of micropulse Lidar systems. In Presented at the Second International Asia-Pacific Symposium on Remote Sensing of the Atmosphere, Environment, and Space, Sendai, Japan, 9–12 October 2000; pp. 151–158.
- Hayashida, A.S.; Sasano, Y.; Iikura, Y. Volcanic disturbances in the stratospheric aerosol layer over Tsukuba, Japan, observed by the National Institute for Environmental Studies Lidar from 1982 through 1986. J. Geophys. Res. Atmos. 1991, 96, 15469–15478. [Google Scholar] [CrossRef]
- Wu, D.; Zhou, J.; Liu, D.; Wang, Z.; Zhong, Z.; Xie, C.; Qi, F.; Fan, A.; Wang, Y. 12-year LIDAR Observations of Tropospheric Aerosol over Hefei (31.9 N, 117.2 E), China. J. Opt. Soc. Korea 2011, 15, 90–95. [Google Scholar] [CrossRef]
- Gao, F.; Bergant, K.; Filipčič, A.; Forte, B.; Hua, D.-X.; Song, X.Q.; Stanič, S.; Veberič, D.; Zavrtanik, M. Observations of the atmospheric boundary layer across the land–sea transition zone using a scanning Mie Lidar. J. Quant. Spectrosc. Radiat. Transfer 2011, 112, 182–188. [Google Scholar] [CrossRef]
- Jinhuan, Q.; Siping, Z.; Qirong, H.; Qilin, X.; Liquan, Y.; Wenming, W.; Jidong, P.; Jinhui, S. Lidar Measurements of Cloud and Aerosol in the Upper Troposphere in Beijing. Chin. J. Atmos. Sci. 2003, 27, 1–7. [Google Scholar]
- Huang, J.; Zhang, W.; Zou, J.; Bi, J.; Shi, J.; Wang, X.; Chang, Z.; Huang, Z.; Yang, S.; Zhang, B.; et al. An overview of the Semi-arid Climate and Environment Research Observatory over the Loess Plateau. Adv. Atmos. Sci. 2008, 25, 906–921. [Google Scholar] [CrossRef]
- Yan, Q.; Hua, D.; Wang, Y.; Li, S.; Gao, F.; Zhou, Z.; Wang, L.; Liu, C.; Zhang, S. Observations of the boundary layer structure and aerosol properties over Xi’an using an eye-safe Mie scattering Lidar. J. Quant. Spectrosc. Radiat. Transfer 2013, 122, 97–105. [Google Scholar] [CrossRef]
- Jinhuan, Q.; Liquan, Y. Variation characteristics of atmospheric aerosol optical depths and visibility in North China during 1980–1994. Atmos. Environ. 2000, 34, 603–609. [Google Scholar] [CrossRef]
- Huang, Z.; Huang, J.; Bi, J.; Wang, G.; Wang, W.; Fu, Q.; Li, Z.; Tsay, S.C.; Shi, J. Dust aerosol vertical structure measurements using three MPL lidars during 2008 China-US joint dust field experiment. J. Geophys. Res. Atmos. 2010, 115, D7. [Google Scholar]
- Zhang, M.; Ma, Y.; Gong, W.; Zhu, Z. Aerosol Optical Properties of a Haze Episode in Wuhan Based on Ground-Based and Satellite Observations. Atmosphere 2014, 5, 699–719. [Google Scholar] [CrossRef]
- Gong, W.; Zhang, M.; Han, G.; Ma, X.; Zhu, Z. An Investigation of Aerosol Scattering and Absorption Properties in Wuhan, Central China. Atmosphere 2015, 6, 503–520. [Google Scholar] [CrossRef]
- Gong, W.; Zhang, S.; Ma, Y. Aerosol optical properties and determination of aerosol size distribution in Wuhan, China. Atmosphere 2014, 5, 81–91. [Google Scholar] [CrossRef]
- Wang, L.C.; Gong, W.; Ma, Y.Y.; Zhang, M. Modeling regional vegetation NPP variations and their relationships with climatic parameters in Wuhan, China. Earth Interact. 2013, 17, 1–20. [Google Scholar] [CrossRef]
- Steyn, D.G.; Baldi, M.; Hoff, R.M. The detection of mixed layer depth and entrainment zone thickness from lidar backscatter profiles. J. Atmos. and Ocean. Tech. 1999, 16, 953–959. [Google Scholar] [CrossRef]
- Fernald, F.G.; Herman, B.M.; Reagan, J.A. Determination of Aerosol Height Distributions by Lidar. J. Appl. Meteorol. 1972, 11, 482–489. [Google Scholar] [CrossRef]
- Fernald, F.G. Analysis of atmospheric lidar observations: Some comments. Appl. Opt. 1984, 23, 652–653. [Google Scholar] [CrossRef] [PubMed]
- Klett, J.D. Stable analytical inversion solution for processing LIDAR returns. Appl. Opt. 1981, 20, 211–220. [Google Scholar] [CrossRef] [PubMed]
- Sugimoto, N.; Huang, Z.W. Lidar methods for observing mineral dust. J. Meteor. Res. 2014, 28, 173–184. [Google Scholar] [CrossRef]
- Stull, R.B. An Introduction to Boundary Layer Meteorology; Kluwer Academic Publishers: Dordrecht, The Netherlands, 1988; p. 666. [Google Scholar]
- Gong, W.; Zhang, J.; Mao, F.; Jun, L. Measurements for profiles of aerosol extinction coefficient, backscatter coefficient, and lidar ratio over Wuhan in China with Raman/Mie lidar. Chin. Opt. Lett. 2010, 8, 533–536. [Google Scholar]
- Gong, W.; Mao, F.; Li, J. OFLID: Simple method of overlap factor calculation with laser intensity distribution for biaxial lidar. Opt. Commun. 2011, 284, 2966–2971. [Google Scholar] [CrossRef]
© 2015 by the authors; licensee MDPI, Basel, Switzerland. This article is an open access article distributed under the terms and conditions of the Creative Commons Attribution license (http://creativecommons.org/licenses/by/4.0/).
Share and Cite
Gong, W.; Liu, B.; Ma, Y.; Zhang, M. Mie LIDAR Observations of Tropospheric Aerosol over Wuhan. Atmosphere 2015, 6, 1129-1140. https://doi.org/10.3390/atmos6081129
Gong W, Liu B, Ma Y, Zhang M. Mie LIDAR Observations of Tropospheric Aerosol over Wuhan. Atmosphere. 2015; 6(8):1129-1140. https://doi.org/10.3390/atmos6081129
Chicago/Turabian StyleGong, Wei, Boming Liu, Yingying Ma, and Miao Zhang. 2015. "Mie LIDAR Observations of Tropospheric Aerosol over Wuhan" Atmosphere 6, no. 8: 1129-1140. https://doi.org/10.3390/atmos6081129
APA StyleGong, W., Liu, B., Ma, Y., & Zhang, M. (2015). Mie LIDAR Observations of Tropospheric Aerosol over Wuhan. Atmosphere, 6(8), 1129-1140. https://doi.org/10.3390/atmos6081129
