Effect of Washing Method and Intake Concentration on the Removal of Odor and Particulate Matter
Abstract
1. Introduction
2. Materials and Methods
2.1. Washing Device
2.2. Experimental Design
2.3. Test Methods
2.3.1. Odor Concentration Regulation
2.3.2. System Operation
2.3.3. Gas Analysis
2.4. Data Analysis
3. Results and Analysis
3.1. Ammonia Removal Rate
3.2. Hydrogen Sulfide Removal Rate
3.3. Removal Rate of Total Volatile Organic Compounds
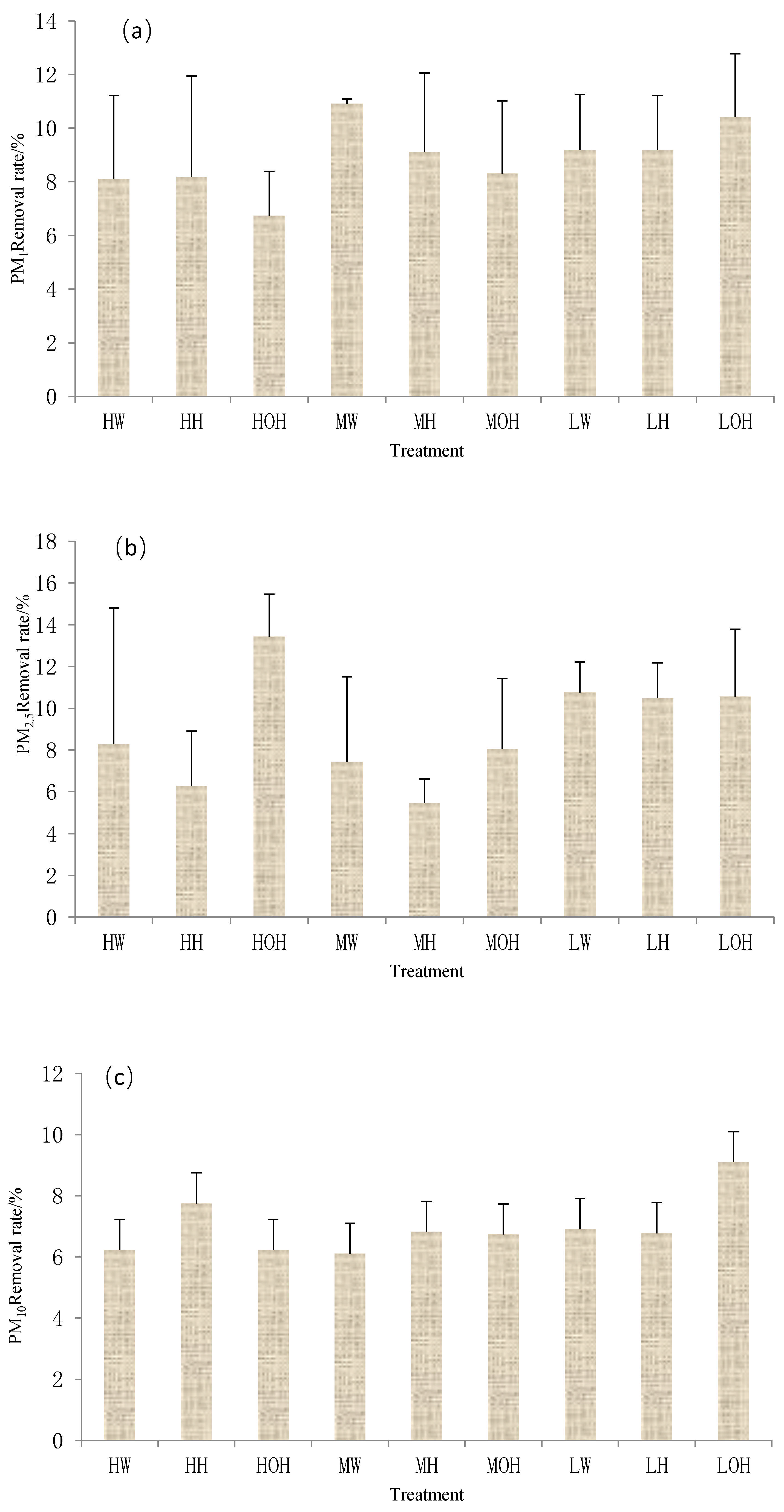
3.4. Removal Rate of Particulate Matter
4. Discussion
4.1. Ammonia Removal Effect
4.2. Hydrogen Sulfide Removal Effect
4.3. Volatile Organic Compounds Removal Effect
4.4. Particulate Matter Removal Effect
5. Conclusions
Author Contributions
Funding
Institutional Review Board Statement
Informed Consent Statement
Data Availability Statement
Conflicts of Interest
References
- Conti, C.; Tullo, E.; Bacenetti, J.; Guarino, M. Evaluation of a Wet Acid Scrubber and Dry Filter Abatement Technologies in Pig Barns by Dynamic Olfactometry. Appl. Sci. 2021, 11, 3219. [Google Scholar] [CrossRef]
- Wang, Y.; Niu, B.; Ni, J.Q.; Xue, W.; Zhu, Z.; Li, X.; Zou, G. New insights into concentrations, sources and transformations of NH3, NOx, SO2 and PM at a commercial manure-belt layer house. Environ. Pollut. 2020, 262, 114355. [Google Scholar] [CrossRef] [PubMed]
- Jun, L.X.; Peng, S.Z.; Yu, S. Emission characteristics, reduction technologies, and policy recommendations for atmospheric ammonia in China. Res. Environ. Sci. 2021, 34, 149–157. [Google Scholar]
- Li, R.; Chen, W.; Xiu, A.; Zhao, H.; Zhang, X.; Zhang, S.; Tong, D.Q. A comprehensive inventory of agricultural atmospheric particulate matters (PM10 and PM2.5) and gaseous pollutants (VOCs, SO2, NH3, CO, NOx and HC) emissions in China. Ecol. Indic. 2019, 107, 105609. [Google Scholar] [CrossRef]
- Heyden, C.V.d.; Demeyer, P.; Volcke, E.I.P. Mitigating emissions from pig and poultry housing facilities through air scrubbers and biofilters: State-of-the-art and perspectives. Biosyst. Eng. 2015, 134, 74–93. [Google Scholar] [CrossRef]
- Lee, M.; Wi, J.; Koziel, J.A.; Ahn, H.; Li, P.; Chen, B.; Meiirkhanuly, Z.; Banik, C.; Jenks, W. Effects of UV-A Light Treatment on Ammonia, Hydrogen Sulfide, Greenhouse Gases, and Ozone in Simulated Poultry Barn Conditions. Atmosphere 2020, 11, 283. [Google Scholar] [CrossRef]
- Liu, B.; Ji, J.; Zhang, B.; Huang, W.; Gan, Y.; Leung, D.Y.C.; Huang, H. Catalytic ozonation of VOCs at low temperature: A comprehensive review. J. Hazard. Mater. 2022, 422, 126847. [Google Scholar] [CrossRef]
- Zhang, J.; Guo, Z.; Yang, Z.; Wang, J.; Xie, J.; Fu, M.; Hu, Y. TiO2@UiO-66 Composites with Efficient Adsorption and Photocatalytic Oxidation of VOCs: Investigation of Synergistic Effects and Reaction Mechanism. ChemCatChem 2020, 13, 581–591. [Google Scholar] [CrossRef]
- Mostafa, E.; Selders, A.; Gates, R.S.; Buescher, W. Mitigation of ammonia and greenhouse gas emissions from pig barns using slurry aeration and acid scrubbing. Environ. Sci. Pollut. Res. 2020, 27, 9444–9453. [Google Scholar] [CrossRef]
- Kurella, S.; Meikap, B.C. Simultaneous removal of H2S and particulate matter by a multistage dual-flow sieve plate scrubber. Results Eng. 2023, 20, 101470. [Google Scholar] [CrossRef]
- Ocfemia, K.C.S.; Zhang, Y.; Tan, Z. Ammonia absorption in a vertical sprayer at low ammonia partial pressures. Trans. ASABE 2005, 48, 1561–1566. [Google Scholar] [CrossRef]
- Ashtari, A.K.; Majd, A.M.S.; Riskowski, G.L.; Mukhtar, S.; Zhao, L. Removing ammonia from air with a constant pH, slightly acidic water spray wet scrubber using recycled scrubbing solution. Front. Environ. Sci. Eng. 2016, 10, 3. [Google Scholar] [CrossRef]
- Jafari, M.J.; Matin, A.H.; Rahmati, A.; Azari, M.R.; Omidi, L.; Hosseini, S.; Panahi, D. Experimental optimization of a spray tower for ammonia removal. Atmos. Pollut. Res. 2018, 9, 783–790. [Google Scholar] [CrossRef]
- Lin, H.; Wu, X.; Miller, C.F.; Zhu, J.; Hadlocon, L.J.S.; Manuzon, R.B.; Zhao, L. Pilot-Scale Field Study for Ammonia Removal from Lagoon Biogas Using an Acid Wet Scrubber. J. Environ. Sci. Health 2013, 49, 439–448. [Google Scholar] [CrossRef] [PubMed]
- Abdi, M.; Alinezhad, E.; Akbari Sene, R.; Haghighi, M.; Keshizadeh, H.; Naddafi, K. Evaluation of a pilot-scale scrubber for the mitigation of NH3 emissions from laboratory animal house in the presence of different oxidants. J. Environ. Chem. Eng. 2020, 80, 103708. [Google Scholar] [CrossRef]
- Nisola, G.M.; Valdehuesa, K.N.G.; Anonas, A.V.; Ramos, K.R.M.; Lee, W.-K.; Chung, W.J. Performance evaluation of poly-urethane foam packed-bed chemical scrubber for the oxidative absorption of NH3 and H2S gases. J. Environ. Sci. Health Part A 2018, 53, 25–32. [Google Scholar] [CrossRef]
- Kurella, S.; Bhukya, P.K.; Meikap, B.C. Removal of H2S pollutant from gasifier syngas by a multistage dual-flow sieve plate column wet scrubber. J. Environ. Sci. Health Part A 2017, 52, 515–523. [Google Scholar] [CrossRef]
- Biard, P.-F.; Couvert, A.; Renner, C. Intensification of volatile organic compound absorption in a compact wet scrubber at co-current flow. Chemosphere 2017, 173, 612–621. [Google Scholar] [CrossRef]
- Idris, N.; Le-Minh, N.; Hayes, J.; Stuetz, R. Performance of wet scrubbers to remove VOCs from rubber emissions. J. Environ. Manag. 2022, 305, 114426. [Google Scholar] [CrossRef]
- Melse, R.W.; Ogink, N.W.M. Air scrubbing techniques for ammonia and odor reduction at livestock operations: Review of on-farm research in the Netherlands. Trans. ASABE 2005, 48, 2303–2313. [Google Scholar] [CrossRef]
- Heyden, C.V.d.; Solon, K.; Demeyer, P.; Volcke, E.I.P. Model-based evaluation of ammonia removal in biological air scrubbers. Biosyst. Eng. 2020, 191, 85–95. [Google Scholar] [CrossRef]
- Shah, S.B.; Westerman, P.W.; Munilla, R.D.; Adcock, M.E.; Baughman, G.R. Design and Evaluation of a Regenerating Scrubber for Reducing Animal House Emissions. Trans. ASABE 2008, 51, 243–250. [Google Scholar] [CrossRef]
- Moore, P.A.; Li, H.; Burns, R.T.; Miles, D.M.; Maguire, R.O.; Ogejo, J.A.; Reiter, M.S.; Buser, M.D.; Trabue, S.L. Development and Testing of the ARS Air Scrubber: A Device for Reducing Ammonia Emissions from Animal Rearing Facilities. Front. Sustain. Food Syst. 2018, 2, 23. [Google Scholar] [CrossRef]
- Hadlocon, L.J.S.; Manuzon, R.B.; Zhao, L. Optimization of Ammonia Absorption Using Acid Spray Wet Scrubbers. Trans. ASABE 2014, 57, 647–659. [Google Scholar]
- Hadlocon, L.J.; Zhao, L.; Manuzon, R.; Elbatawi, I. An Acid spray scrubber for recovery of ammonia emissions from a deep-pit swine facility. Trans. ASABE 2014, 57, 949–960. [Google Scholar]
- Hadlocon, L.J.; Manuzon, R.; Zhao, L. Development and Evaluation of a Full-Scale Spray Scrubber for Ammonia Recovery and Production of Nitrogen Fertilizer at Poultry Facilities. Environ. Technol. 2014, 36, 405–416. [Google Scholar] [CrossRef]
- Cao, T.; Zheng, Y.; Zhang, Y.; Wang, Y.; Cong, Q.; Wang, Y.; Dong, H. Pilot study on gaseous pollution removal efficiency of acid scrubbing in a broiler house. Agric. Ecosyst. Environ. 2022, 335, 108021. [Google Scholar] [CrossRef]
- Liu, X.; Wang, Y.; Sun, C.; Zeng, Z.; Lv, E. Experimental study on ammonia removal efficiency of horizontal end exhaust gas purification system for mechanically ventilated pig houses. J. Chin. Agric. Mech. 2022, 43, 90–95. [Google Scholar] [CrossRef]
- Manuzon, R.B.; Zhao, L.; Keener, H.M.; Darr, M.J. A Prototype Acid Spray Scrubber for Absorbing Ammonia Emissions from Exhaust Fans of Animal Buildings. Trans. ASABE 2007, 50, 1395–1407. [Google Scholar] [CrossRef]
- Shidong, L. Study on Odor Gas Emission Characteristics of Pig Feces Storage Area and Development of Odor Purification Technology Test System. Master’s Thesis, Huazhong Agricultural University, Wuhan, China, 2023. [Google Scholar]
- Charron, I.; Féliers, C.; Couvert, A.; Laplanche, A.; Patria, L.; Requieme, B. Use of hydrogen peroxide in scrubbing towers for odor removal in wastewater treatment plants. Water Sci. Technol. 2004, 50, 267–274. [Google Scholar] [CrossRef]
- Cao, T.; Zheng, Y.; Dong, H. Control of odor emissions from livestock farms: A review. Environ. Res. 2023, 225, 115545. [Google Scholar] [CrossRef] [PubMed]
- Tran, L.T.; Le, T.M.; Nguyen, T.M.; Tran, Q.T.; Le, X.D.; Pham, M.Q.; Lam, V.T.; Van Do, M. Simultaneous removal efficiency of H2S and CO2 by high-gravity rotating packed bed: Experiments and simulation. Open Chem. 2021, 19, 288–298. [Google Scholar] [CrossRef]
- Biard, P.-F.; Coudon, A.; Couvert, A.; Giraudet, S. A simple and timesaving method for the mass-transfer assessment of solvents used in physical absorption. Chem. Eng. J. 2016, 290, 302–311. [Google Scholar] [CrossRef]
- Biard, P.-F.; Couvert, A.; Renner, C.; Levasseur, J.P. Assessment and optimisation of VOC mass transfer enhancement by advanced oxidation process in a compact wet scrubber. Chemosphere 2009, 77, 182–187. [Google Scholar] [CrossRef]
- Yang, C.; Qian, H.; Li, X.; Cheng, Y.; He, H.; Zeng, G.; Xi, J. Simultaneous Removal of Multicomponent VOCs in Biofilters. Trends Biotechnol. 2018, 36, 673–685. [Google Scholar] [CrossRef]
- Muthuraman, G.; Chung, S.J.; Moon, I.S. The combined removal of methyl mercaptan and hydrogen sulfide via an electro-reactor process using a low concentration of continuously regenerable Ag(II) active catalyst. J. Hazard. Mater. 2011, 193, 257–263. [Google Scholar] [CrossRef]
- Couvert, A.; Sanchez, C.; Laplanche, A.; Renner, C. Scrubbing intensification for sulphur and ammonia compounds removal. Chemosphere 2008, 70, 1510–1517. [Google Scholar] [CrossRef]
- Chang, C.-T.; Chen, B.-Y.; Shiu, I.-S.; Jeng, F.T. Biofiltration of trimethylamine-containing waste gas by entrapped mixed microbial cells. Chemosphere 2004, 55, 751–756. [Google Scholar] [CrossRef]
- Melse, R.W.; Hofschreuder, P.; Ogink, N.W.M. Removal of particulate matter (PM10) by air scrubbers at livestock facilities: Results of an on-farm monitoring program. Trans. ASABE 2012, 55, 689–698. [Google Scholar] [CrossRef]
- Melse, R.W.; Wagenberg, A.V.v.; Mosquera, J. Size reduction of ammonia scrubbers for pig and poultry houses: Use of conditional bypass vent at high air loading rates. Biosyst. Eng. 2006, 95, 69–82. [Google Scholar] [CrossRef]
- Yongfei, Y.; Xiaojie, Y.; Kaiying, W. Research progress of odor treatment technology by wet air washing in livestock farms. Chin. J. Anim. Sci. 2024, 60, 30–39. [Google Scholar]
- Enli, L.; Bin, Y.; Yu, W. Analysis and optimization of particulate matter purification performance of water spray exhaust gas treatment system at the end of livestock and poultry houses. J. South China Agric. Univ. 2023, 44, 296–303. [Google Scholar]
- Tiantian, C. Study on the Removal Efficiency of Odor and Microbial Aerosol in Chicken Houses by Wet Washing Coupled Photocatalysis Technology. Master’s Thesis, Chinese Academy of Agricultural Sciences, Beijing, China, 2022. [Google Scholar]





| Treatment | Odor Concentration | Washing Method | Handling Code |
|---|---|---|---|
| 1 | High concentration (H) | Wash (W) | HW |
| 2 | High concentration (H) | Pickling (H) | HH |
| 3 | High concentration (H) | Alkali wash (OH) | HOH |
| 4 | Medium concentration (M) | Wash (W) | MW |
| 5 | Medium concentration (M) | Pickling (H) | MH |
| 6 | Medium concentration (M) | Alkali wash (OH) | MOH |
| 7 | Low concentration (L) | Wash (W) | LW |
| 8 | Low concentration (L) | Pickling (H) | LH |
| 9 | Low concentration (L) | Alkali wash (OH) | LOH |
| Test Items | Wash | Pickling | Alkali Wash |
|---|---|---|---|
| Methyl mercaptan | 5.87 ± 2.71 A | 43.66 ± 3.24 B | 61.94 ± 6.13 C |
| Dimethyl sulfide | 56.51 ± 7.02 ab | 51.36 ± 2.47 a | 63.71 ± 2.47 b |
| Trimethylamine | 62.01 ± 2.65 A | 69.74 ± 1.25 B | 70.10 ± 1.46 B |
| Carbon disulfide | 34.00 ± 1.36 A | 46.48 ± 0.50 B | 46.70 ± 0.45 B |
| Styrene | 11.15 ± 3.06 | 26.78 ± 8.10 | 9.25 ± 9.35 |
Disclaimer/Publisher’s Note: The statements, opinions and data contained in all publications are solely those of the individual author(s) and contributor(s) and not of MDPI and/or the editor(s). MDPI and/or the editor(s) disclaim responsibility for any injury to people or property resulting from any ideas, methods, instructions or products referred to in the content. |
© 2025 by the authors. Licensee MDPI, Basel, Switzerland. This article is an open access article distributed under the terms and conditions of the Creative Commons Attribution (CC BY) license (https://creativecommons.org/licenses/by/4.0/).
Share and Cite
Li, Y.; Liu, Z.; Zhu, Q.; Zhu, H. Effect of Washing Method and Intake Concentration on the Removal of Odor and Particulate Matter. Atmosphere 2025, 16, 195. https://doi.org/10.3390/atmos16020195
Li Y, Liu Z, Zhu Q, Zhu H. Effect of Washing Method and Intake Concentration on the Removal of Odor and Particulate Matter. Atmosphere. 2025; 16(2):195. https://doi.org/10.3390/atmos16020195
Chicago/Turabian StyleLi, Yexi, Zhize Liu, Qubo Zhu, and Haisheng Zhu. 2025. "Effect of Washing Method and Intake Concentration on the Removal of Odor and Particulate Matter" Atmosphere 16, no. 2: 195. https://doi.org/10.3390/atmos16020195
APA StyleLi, Y., Liu, Z., Zhu, Q., & Zhu, H. (2025). Effect of Washing Method and Intake Concentration on the Removal of Odor and Particulate Matter. Atmosphere, 16(2), 195. https://doi.org/10.3390/atmos16020195
