Study of Quality Control Methods Utilizing IRMCD for HY-2B Data Assimilation Application
Abstract
1. Introduction
2. IRMCD
3. Data and Experiment
3.1. Data
3.2. Numerical Prediction Model and Assimilation System
3.3. Quality Control Routine
4. Results
4.1. Statistical Results
4.2. Wind Fields and Analysis Increment
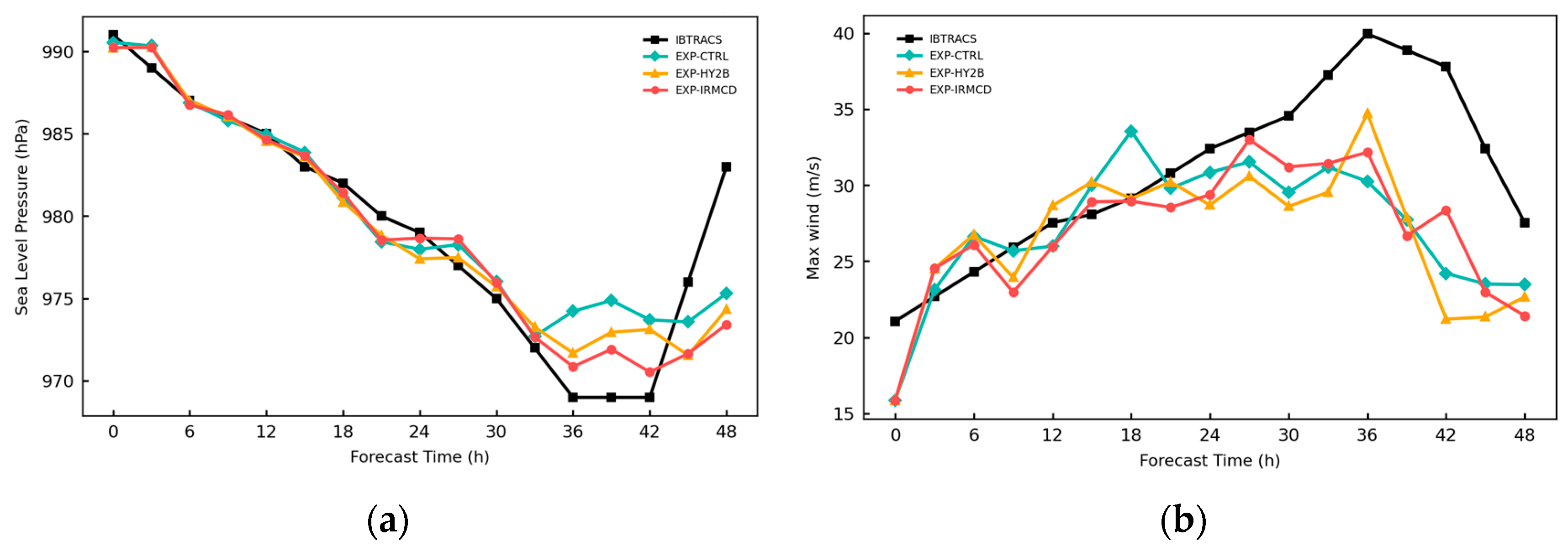
4.3. Track and Intensity of Typhoon
5. Analysis
5.1. Profile of Moisture Flux Divergence and Vertical Velocity
5.2. Horizontal Distribution of Vertical Wind Shear
5.3. Vertical Profile of Typhoon
6. Conclusions and Discussion
6.1. Conclusions
6.2. Discussion
Author Contributions
Funding
Institutional Review Board Statement
Informed Consent Statement
Data Availability Statement
Acknowledgments
Conflicts of Interest
References
- Guo, Q.Y.; Xu, X.Z.; Zhang, K.Y.; Li, Z.Q.; Huang, W.J.; Mansaray, L.R.; Liu, W.W.; Wang, X.Z.; Gao, J.; Huang, J.F. Assessing Global Ocean Wind Energy Resources Using Multiple Satellite Data. Remote Sens. 2018, 10, 100. [Google Scholar] [CrossRef]
- Christiansen, M.B.; Koch, W.; Horstmann, J.; Hasager, C.B.; Nielsen, M. Wind resource assessment from C-band SAR. Remote Sens. Environ. 2006, 105, 68–81. [Google Scholar] [CrossRef]
- Hasager, C.B.; Badger, M.; Peña, A.; Larsén, X.G.; Bingöl, F. SAR-Based Wind Resource Statistics in the Baltic Sea. Remote Sens. 2011, 3, 117–144. [Google Scholar] [CrossRef]
- Chang, R.; Zhu, R.; Badger, M.; Hasager, C.B.; Zhou, R.W.; Ye, D.; Zhang, X.W. Applicability of Synthetic Aperture Radar Wind Retrievals on Offshore Wind Resources Assessment in Hangzhou Bay, China. Energies 2014, 7, 3339–3354. [Google Scholar] [CrossRef]
- Meroni, A.N.; Desbiolles, F.; Pasquero, C. Satellite signature of the instantaneous wind response to mesoscale oceanic thermal structures. Q. J. R. Meteorol. Soc. 2023, 149, 3373–3382. [Google Scholar] [CrossRef]
- Stiles, B.W.; Yueh, S.H. Impact of rain on spaceborne Ku-band wind scatterometer data. IEEE Trans. Geosci. Remote Sens. 2002, 40, 1973–1983. [Google Scholar] [CrossRef]
- Chen, K.; Xie, X.; Zang, J.; Zou, J.; Zhang, Y. Accuracy analysis of the retrieved wind from HY-2B scatterometer. J. Trop. Oceanogr. 2020, 39, 30–40. [Google Scholar] [CrossRef]
- Lang, S.; Lin, W.; Zhang, Y.; Jia, Y. On the Quality Control of HY-2 Scatterometer High Winds. Remote Sens. 2022, 14, 5565. [Google Scholar] [CrossRef]
- Zhao, K.; Zhao, C.; Chen, G. Evaluation of Chinese Scatterometer Ocean Surface Wind Data: Preliminary Analysis. Earth Space Sci. 2021, 8, e2020EA001482. [Google Scholar] [CrossRef]
- Wang, Z.; Stoffelen, A.; Zou, J.; Lin, W.; Verhoef, A.; Zhang, Y.; He, Y.; Lin, M. Validation of New Sea Surface Wind Products from Scatterometers Onboard the HY-2B and MetOp-C Satellites. IEEE Trans. Geosci. Remote Sens. 2020, 58, 4387–4394. [Google Scholar] [CrossRef]
- Li, X.; Yang, J.; Wang, J.; Han, G. Evaluation and Calibration of Remotely Sensed High Winds from the HY-2B/C/D Scatterometer in Tropical Cyclones. Remote Sens. 2022, 14, 4654. [Google Scholar] [CrossRef]
- Wang, J.; Jiang, X.; Shen, X.; Zhang, Y.; Wan, X.; Han, W.; Wang, D. Assimilation of Ocean Surface Wind Data by the HY-2B Satellite in GRAPES: Impacts on Analyses and Forecasts. Adv. Atmos. Sci. 2022, 40, 44–61. [Google Scholar] [CrossRef]
- Liu, S.; Lin, W.; Portabella, M.; Wang, Z. Characterization of Tropical Cyclone Intensity Using the HY-2B Scatterometer Wind Data. Remote Sens. 2022, 14, 1035. [Google Scholar] [CrossRef]
- Liu, S.; Lin, W.; Wang, Z.; Lang, S. Determination of tropical cyclone location and intensity using HY-2B scatterometer data. Haiyang Xuebao 2021, 43, 146–156. [Google Scholar] [CrossRef]
- Xu, Z.; Wang, Y.; Fan, G. A Two-Stage Quality Control Method for 2-m Temperature Observations Using Biweight Means and a Progressive EOF Analysis. Mon. Weather Rev. 2013, 141, 798–808. [Google Scholar] [CrossRef]
- Kubecka, P. A possible world record maximum natural ground surface temperature. Weather 2001, 56, 218–221. [Google Scholar] [CrossRef]
- D MEEK, J.H. Data quality checking for single station meteorological databases. Agric. For. Meteorol 1994, 69, 85–109. [Google Scholar] [CrossRef]
- Allen, R.G.; Pereira, L.S.; Raes, D.; Smith, M. Crop evapotranspiration-Guidelines for computing crop water requirements-FAO Irrigation and drainage paper 56. Food Agric. Organ. United Nations 1998, 300, D05109. [Google Scholar]
- Gleason, B. National Climatic Data Center data documentation for data set 9101. Glob. Dly. Climatol. Netw. Version 1 2002, 1, 26. [Google Scholar]
- Feng, S.; Hu, Q.; Qian, W.H. Quality control of daily meteorological data in China, 1951–2000: A new dataset. Int. J. Climatol. 2004, 24, 853–870. [Google Scholar] [CrossRef]
- Lin, W.; Portabella, M.; Stoffelen, A.; Verhoef, A.; Turiel, A. ASCAT Wind Quality Control Near Rain. IEEE Trans. Geosci. Remote Sens. 2015, 53, 4165–4177. [Google Scholar] [CrossRef]
- Lin, W.; Portabella, M.; Turiel, A.; Stoffelen, A.; Verhoef, A. An Improved Singularity Analysis for ASCAT Wind Quality Control: Application to Low Winds. IEEE Trans. Geosci. Remote Sens. 2016, 54, 3890–3898. [Google Scholar] [CrossRef]
- Lanzante, J.R. Resistant, robust and non-parametric techniques for the analysis of climate data: Theory and examples, including applications to historical radiosonde station data. Int. J. Climatol. A J. R. Meteorol. Soc. 1996, 16, 1197–1226. [Google Scholar] [CrossRef]
- Li, J.; Zou, X. A Quality Control Procedure for FY-3A MWTS Measurements with Emphasis on Cloud Detection Using VIRR Cloud Fraction. J. Atmos. Ocean. Technol. 2013, 30, 1704–1715. [Google Scholar] [CrossRef][Green Version]
- Xu, C.; Wang, J.; Hu, M.; Li, Q. Estimation of Uncertainty in Temperature Observations Made at Meteorological Stations Using a Probabilistic Spatiotemporal Approach. J. Appl. Meteorol. Climatol. 2014, 53, 1538–1546. [Google Scholar] [CrossRef][Green Version]
- Wang, X.; Lin, Y.; Liu, D.; Lin, L. Comparative analysis of two data quality control methods for wind profile radar to numerical assimilation. J. Meteorol. Sci. 2022, 42, 495–505. [Google Scholar]
- Zhang, Y.; Chen, M.; Zhong, J. A Quality Control Method for Wind Profiler Observations toward Assimilation Applications. J. Atmos. Ocean. Technol. 2017, 34, 1591–1606. [Google Scholar] [CrossRef]
- Rousseeuw, P.J. Least Median of Squares Regression. J. Am. Stat. Assoc. 1984, 79, 871–880. [Google Scholar] [CrossRef]
- Rousseeuw, P.J. Multivariate estimation with high breakdown point. Math. Stat. Appl. 1985, 8, 283–297. [Google Scholar]
- Rousseeuw, P.J.; Driessen, K.V. A Fast Algorithm for the Minimum Covariance Determinant Estimator. Technometrics 1999, 41, 212–223. [Google Scholar] [CrossRef]
- Hawkins, D.M.; Olive, D.J. Improved feasible solution algorithms for high breakdown estimation. Comput. Stat. Data Anal. 1999, 30, 1–11. [Google Scholar] [CrossRef][Green Version]
- Cerioli, A. Multivariate Outlier Detection With High-Breakdown Estimators. J. Am. Stat. Assoc. 2010, 105, 147–156. [Google Scholar] [CrossRef]
- de Kloe, J.; Stoffelen, A.; Verhoef, A. Improved Use of Scatterometer Measurements by Using Stress-Equivalent Reference Winds. IEEE J. Sel. Top. Appl. Earth Obs. Remote Sens. 2017, 10, 2340–2347. [Google Scholar] [CrossRef]
- KNMI Scatterometer Team. NSCAT-4 Geophysical Model Function. Available online: https://scatterometer.knmi.nl/nscat4_gmf/ (accessed on 19 April 2023).
- Yu, Y.; Yao, X. A Statistical Analysis on Intensity Change of Tropical Cyclone over the Western North Pacific. J. Trop. Meteorol. 2006, 22, 521–526. [Google Scholar] [CrossRef]
- Frank, W.M.; Ritchie, E.A. Effects of environmental flow upon tropical cyclone structure. Mon. Weather. Rev. 1999, 127, 2044–2061. [Google Scholar] [CrossRef]
- Frank, W.M.; Ritchie, E.A. Effects of vertical wind shear on the intensity and structure of numerically simulated hurricanes. Mon. Weather. Rev. 2001, 129, 2249–2269. [Google Scholar] [CrossRef]
















| Physical Process | Parameterization Scheme |
|---|---|
| Cloud microphysical processes | WDM 5-class |
| Long-wave radiation | RRTMG |
| Short-wave radiation | RRTMG |
| Planetary boundary layer process | UW |
| Cumulus convection process | KF-CuP |
| Land surface process | Unified Noah |
| Experiment | Assimilation Scheme | Assimilation Time |
|---|---|---|
| EXP-CTRL | Not assimilation | — |
| EXP-HY2B | Raw HY-2B OSW data | 30 June 2022, 12 UTC |
| EXP-IRMCD | HY-2B OSW data after QC | 30 June 2022, 12 UTC |
| Skewness (u/v) | Kurtosis (u/v) | Std (u/v) | |
|---|---|---|---|
| Before QC | 0.475/1.347 | 9.491/18.341 | 1.548/1.622 |
| After QC | 0.036/−0.028 | −0.106/−0.156 | 0.758/0.676 |
Disclaimer/Publisher’s Note: The statements, opinions and data contained in all publications are solely those of the individual author(s) and contributor(s) and not of MDPI and/or the editor(s). MDPI and/or the editor(s) disclaim responsibility for any injury to people or property resulting from any ideas, methods, instructions or products referred to in the content. |
© 2024 by the authors. Licensee MDPI, Basel, Switzerland. This article is an open access article distributed under the terms and conditions of the Creative Commons Attribution (CC BY) license (https://creativecommons.org/licenses/by/4.0/).
Share and Cite
Hu, J.; Zhang, Y.; Xu, J.; Li, J.; Shao, D.; Tan, Q.; Feng, J. Study of Quality Control Methods Utilizing IRMCD for HY-2B Data Assimilation Application. Atmosphere 2024, 15, 728. https://doi.org/10.3390/atmos15060728
Hu J, Zhang Y, Xu J, Li J, Shao D, Tan Q, Feng J. Study of Quality Control Methods Utilizing IRMCD for HY-2B Data Assimilation Application. Atmosphere. 2024; 15(6):728. https://doi.org/10.3390/atmos15060728
Chicago/Turabian StyleHu, Jiazheng, Yu Zhang, Jianjun Xu, Jiajing Li, Duanzhou Shao, Qichang Tan, and Junjie Feng. 2024. "Study of Quality Control Methods Utilizing IRMCD for HY-2B Data Assimilation Application" Atmosphere 15, no. 6: 728. https://doi.org/10.3390/atmos15060728
APA StyleHu, J., Zhang, Y., Xu, J., Li, J., Shao, D., Tan, Q., & Feng, J. (2024). Study of Quality Control Methods Utilizing IRMCD for HY-2B Data Assimilation Application. Atmosphere, 15(6), 728. https://doi.org/10.3390/atmos15060728
