Impact of COVID-19 Lockdown on Inhaled Toxic Elements in PM2.5 in Beijing: Composition Characterization and Source-Specific Health Risks Assessment
Abstract
1. Introduction
2. Materials and Methods
2.1. Study Sites
2.2. Sampling and Chemical Analyses
2.3. Analysis Methods
2.3.1. Health Risk (HR) Model
2.3.2. PMF Model
2.3.3. PMF–HR Model
3. Results and Discussion
3.1. Composition Characterization
3.1.1. Characterization of PM2.5 Concentration
3.1.2. Concentrations of PM2.5-Bound Elements
3.2. PMF Source Apportionment
3.2.1. Solution Selection and Interpretation
3.2.2. Source Contributions
3.3. Health Risk Assessment
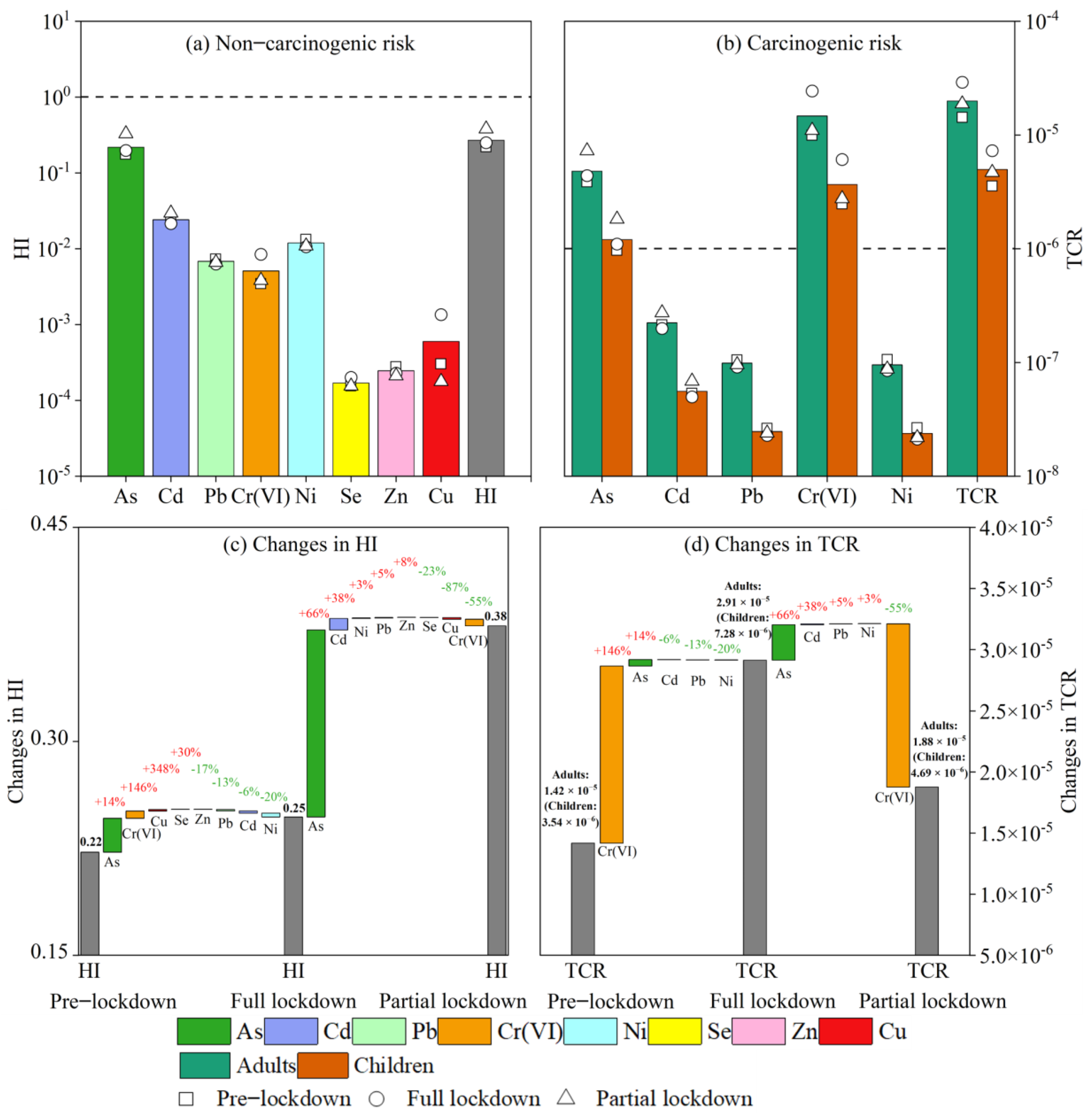
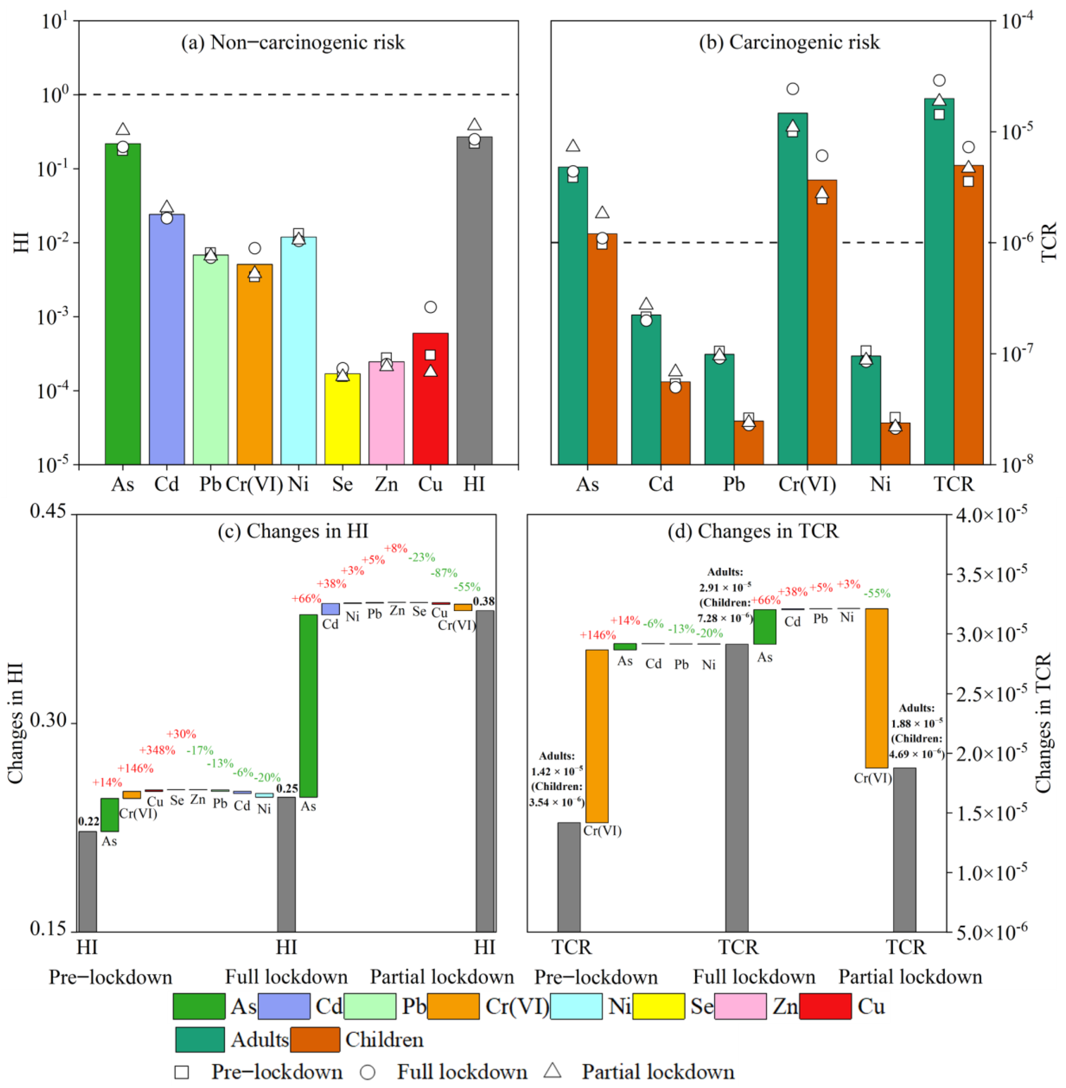
3.3.1. Non-Carcinogenic Risk in Different Periods
3.3.2. Carcinogenic Risk in Different Periods
3.4. Source-Specific Health Risks
3.4.1. Non-Carcinogenic Risks from Different Sources
3.4.2. Carcinogenic Risk from Different Sources
4. Conclusions
Supplementary Materials
Author Contributions
Funding
Informed Consent Statement
Data Availability Statement
Acknowledgments
Conflicts of Interest
References
- Bell, M.L.; Ebisu, K.; Leaderer, B.P.; Gent, J.F.; Lee, H.J.; Koutrakis, P. Associations of PM2.5 Constituents and Sources with Hospital Admissions: Analysis of Four Counties in Connecticut and Massachusetts (USA) for Persons ≥ 65 Years of Age. Environ. Health Perspect. 2014, 122, 138–144. [Google Scholar] [CrossRef]
- Yao, X.; Gao, M.; Wei, Z.; Chen, M.; Shangguan, W. Removal of hexanal in cooking fume by combination of storage and plasma-catalytic oxidation on alkali-modified Co-Mn solid solution. Chemosphere 2019, 220, 738–747. [Google Scholar] [CrossRef]
- Deng, Y.; Liu, Y.; Wang, T.; Cheng, H.; Feng, Y.; Yang, Y.; Zhang, L. Photochemical reaction of CO2 on atmospheric mineral dusts. Atmos. Environ. 2020, 223, 117222. [Google Scholar] [CrossRef]
- Zheng, J.; Li, M.; Tang, B.; Luo, W.; Mai, B. Levels, Spatial Distribution, and Impact Factors of Heavy Metals in the Hair of Metropolitan Residents in China and Human Health Implications. Environ. Sci. Technol. 2021, 55, 10578–10588. [Google Scholar] [CrossRef]
- Coleman, N.C.; Burnett, R.T.; Ezzati, M.; Marshall, J.D.; Pope, C.A. Fine Particulate Matter Exposure and Cancer Incidence: Analysis of SEER Cancer Registry Data from 1992–2016. Environ. Health Perspect. 2020, 128, 107004. [Google Scholar] [CrossRef]
- Wang, Y.; Liu, B.; Zhang, Y.; Dai, Q.; Song, C.; Duan, L.; Guo, L.; Zhao, J.; Xue, Z.; Bi, X.; et al. Potential health risks of inhaled toxic elements and risk sources during different COVID-19 lockdown stages in Linfen, China. Environ. Pollut. 2021, 284, 117454. [Google Scholar] [CrossRef]
- Yan, R.H.; Peng, X.; Lin, W.; He, L.Y.; Wei, F.H.; Tang, M.X.; Huang, X.F. Trends and Challenges Regarding the Source-Specific Health Risk of PM2.5-Bound Metals in a Chinese Megacity from 2014 to 2020. Environ. Sci. Technol. 2022, 56, 6996–7005. [Google Scholar] [CrossRef]
- Fan, M.Y.; Zhang, Y.L.; Lin, Y.C.; Cao, F.; Fu, P. Specific sources of health risks induced by metallic elements in PM2.5 during the wintertime in Beijing, China. Atmos. Environ. 2020, 246, 118112.1–118112.11. [Google Scholar] [CrossRef]
- Wu, L.; Luo, X.S.; Li, H.; Cang, L.; Yang, J.; Yang, J.; Zhao, Z.; Tang, M. Seasonal levels, sources, and health risks of heavy metals in atmospheric PM2.5 from four functional areas of Nanjing city, eastern China. Atmosphere 2019, 10, 419. [Google Scholar] [CrossRef]
- Huang, R.-J.; Cheng, R.; Jing, M.; Yang, L.; Li, Y.; Chen, Q.; Chen, Y.; Yan, J.; Lin, C.; Wu, Y.; et al. Source-Specific Health Risk Analysis on Particulate Trace Elements: Coal Combustion and Traffic Emission As Major Contributors in Wintertime Beijing. Environ. Sci. Technol. 2018, 52, 10967–10974. [Google Scholar] [CrossRef] [PubMed]
- Jahan, Z.; Khan, L.; Sun, Y.; Tian, G.; Shi, Y.; Feng, Y. Chemical characterization and source apportionment of PM1 and PM2.5 in Tianjin, China: Impacts of biomass burning and primary biogenic sources. J. Environ. Sci. 2021, 99, 196–209. [Google Scholar]
- Zhang, W.; Peng, X.; Bi, X.; Cheng, Y.; Feng, Y. Source apportionment of PM2.5 using online and offline measurements of chemical components in Tianjin, China. Atmos. Environ. 2021, 244, 117942. [Google Scholar] [CrossRef]
- Hua, W.; Wu, B. Atmospheric circulation anomaly over mid- and high-latitudes and its association with severe persistent haze events in Beijing. Atmos. Res. 2022, 277, 106315. [Google Scholar] [CrossRef]
- Yang, X.; Zheng, M.; Liu, Y.; Yan, C.; Liu, J.; Liu, J.; Cheng, Y. Exploring sources and health risks of metals in Beijing PM2.5: Insights from long-term online measurements. Sci. Total Environ. 2021, 814, 151954. [Google Scholar] [CrossRef]
- Li, F.; Yan, J.; Wei, Y.; Zeng, J.; Lü, G. PM2.5-bound heavy metals from the major cities in China: Spatiotemporal distribution, fuzzy exposure assessment and health risk management. J. Clean. Prod. 2020, 286, 124967. [Google Scholar] [CrossRef]
- Betha, R.; Behera, S.N.; Balasubramanian, R. 2013 Southeast Asian smoke haze: Fractionation of particulate-bound elements and associated health risk. Environ. Sci. Technol. 2014, 48, 4327–4335. [Google Scholar] [CrossRef] [PubMed]
- Li, H.; Wang, Q.G.; Shao, M.; Wang, J.; Wang, C.; Sun, Y.; Qian, X.; Wu, H.; Yang, M.; Li, F. Fractionation of airborne particulate-bound elements in haze-fog episode and associated health risks in a megacity of southeast China. Environ. Pollut. 2016, 208, 655–662. [Google Scholar] [CrossRef]
- Tan, J.; Zhang, L.; Zhou, X.; Duan, J.; Li, Y.; Hu, J.; He, K. Chemical characteristics and source apportionment of PM2.5 in Lanzhou, China. Sci. Total Environ. 2017, 601–602, 1743–1752. [Google Scholar] [CrossRef]
- Hsu, C.Y.; Chi, K.H.; Wu, C.D.; Lin, S.L.; Chen, Y.C. Integrated analysis of source-specific risks for PM2.5-bound metals in urban, suburban, rural, and industrial areas. Environ. Pollut. 2021, 275, 116652.1–116652.8. [Google Scholar] [CrossRef] [PubMed]
- Liu, J.; Chen, Y.; Chao, S.; Cao, H.; Zhang, A.; Yang, Y. Emission control priority of PM2.5-bound heavy metals in different seasons: A comprehensive analysis from health risk perspective. Sci. Total Environ. 2018, 644, 20–30. [Google Scholar] [CrossRef]
- Xu, X.; Hu, X.; Wang, T.; Sun, M.; Wang, L.; Zhang, L. Non-inverted U-shaped challenges to regional sustainability: The health risk of soil heavy metals in coastal China. J. Clean. Prod. 2020, 279, 123746. [Google Scholar] [CrossRef]
- Wang, H.; Miao, Q.; Shen, L.; Yang, Q.; Wu, Y.; Wei, H. Air pollutant variations in Suzhou during the 2019 novel coronavirus (COVID-19) lockdown of 2020: High time-resolution measurements of aerosol chemical compositions and source apportionment. Environ. Pollut. 2020, 271, 116298. [Google Scholar] [CrossRef]
- Liu, S.; Wu, T.; Wang, Q.; Zhang, Y.; Tian, J.; Ran, W.; Cao, J. High time-resolution source apportionment and health risk assessment for PM2.5-bound elements at an industrial city in northwest China. Sci. Total Environ. 2023, 870, 161907. [Google Scholar] [CrossRef]
- Lin, Y.C.; Zhang, Y.L.; Song, W.; Yang, X.; Fan, M.Y. Specific sources of health risks caused by size-resolved PM-bound metals in a typical coal-burning city of northern China plain during the winter haze event. Sci. Total Environ. 2020, 734, 138651. [Google Scholar] [CrossRef]
- Xie, J.; Jin, L.; Cui, J.; Luo, X.S.; Li, X.D. Health risk-oriented source apportionment of PM2.5-associated trace metals. Environ. Pollut. 2020, 262, 114655. [Google Scholar] [CrossRef]
- Diao, L.; Zhang, H.; Liu, B.; Dai, C.; Feng, Y. Health risks of inhaled selected toxic elements during the haze episodes in Shijiazhuang, China: Insight into critical risk sources. Environ. Pollut. 2021, 276, 116664.1–116664.12. [Google Scholar] [CrossRef]
- Huang, C.; Wang, Y.; Li, X.; Ren, L.; Cao, B. Clinical features of patients infected with 2019 novel coronavirus in Wuhan, China. Lancet 2020, 395, 497–506. [Google Scholar] [CrossRef]
- Tu, W.; Tang, H.; Chen, F.; Wei, Y.; Xu, T.; Liao, K.; Xiang, N.; Shi, G.; Li, Q.; Feng, Z. Epidemic Update and Risk Assessment of 2019 Novel Coronavirus—China, January 28, 2020. China CDC Wkly. 2020, 2, 83–86. [Google Scholar] [CrossRef]
- Dai, Q.; Liu, B.; Bi, X.; Wu, J.; Liang, D.; Zhang, Y.; Feng, Y.; Hopke, P.K. Dispersion Normalized PMF Provides Insights into the Significant Changes in Source Contributions to PM2.5 after the COVID-19 Outbreak. Environ. Sci. Technol. 2020, 54, 9917–9927. [Google Scholar] [CrossRef]
- Wang, G.; Huang, K.; Fu, Q.; Chen, J.; Huo, J.; Zhao, Q.; Duan, Y.; Lin, Y.; Yang, F.; Zhang, W.; et al. Response of PM2.5-bound elemental species to emission variations and associated health risk assessment during the COVID-19 pandemic in a coastal megacity. J. Environ. Sci. 2022, 122, 115–127. [Google Scholar] [CrossRef]
- Cui, Y.; Ji, D.; Maenhaut, W.; Gao, W.; Zhang, R.; Wang, Y. Levels and sources of hourly PM2.5-related elements during the control period of the COVID-19 pandemic at a rural site between Beijing and Tianjin. Sci. Total Environ. 2020, 744, 140840. [Google Scholar] [CrossRef] [PubMed]
- IARC. IARC Monographs on the Identification of Carcinogenic Hazardous to Humans; International Agency for Research on Cancer, World Health Organization: Lyon, France, 2021. [Google Scholar]
- Zhang, X.; Eto, Y.; Aikawa, M. Risk assessment and management of PM2.5-bound heavy metals in the urban area of Kitakyushu, Japan. Sci. Total Environ. 2021, 795, 148748. [Google Scholar] [CrossRef] [PubMed]
- US EPA. Risk Assessment Guidance for Superfund Volume I: Human Health Evaluation Manual (Part F: Supplemental Guidance for Inhalation Risk Assessment); EPA-540-R-070-002; Office of Superfund Remediation and Technology Innovation, U.S. Environmental Protection Agency: Washington, DC, USA, 2009.
- Hopke, P.K.; Dai, Q.; Li, L.; Feng, Y. Global review of recent source apportionments for airborne particulate matter. Sci. Total Environ. 2020, 740, 140091. [Google Scholar] [CrossRef] [PubMed]
- Paatero, P.; Tapper, U. Positive matrix factorization: A non-negative factor model with optimal utilization of error estimates of data values. Environmetrics 1994, 5, 111–126. [Google Scholar] [CrossRef]
- Zhang, J.; Zhou, X.; Wang, Z.; Yang, L.; Wang, J.; Wang, W. Trace elements in PM2.5 in Shandong Province: Source identification and health risk assessment. Sci. Total Environ. 2018, 621, 558–577. [Google Scholar] [CrossRef] [PubMed]
- Ma, T.; Duan, F.; Ma, Y.; Zhang, Q.; Xu, Y.; Li, W.; Zhu, L.; He, K. Unbalanced emission reductions and adverse meteorological conditions facilitate the formation of secondary pollutants during the COVID-19 lockdown in Beijing. Sci. Total Environ. 2022, 838, 155970. [Google Scholar] [CrossRef] [PubMed]
- Liu, K.; Ren, J. Characteristics, sources and health risks of PM2.5-bound potentially toxic elements in the northern rural China. Atmos. Pollut. Res. 2019, 10, 1621–1626. [Google Scholar] [CrossRef]
- Agarwal, A.; Mangal, A.; Satsangi, A.; Lakhani, A.; Kumari, K.M. Characterization, sources and health risk analysis of PM2.5 bound metals during foggy and non-foggy days in sub-urban atmosphere of Agra. Atmos. Res. 2017, 197, 121–131. [Google Scholar] [CrossRef]
- Mohsenibandpi, A.; Eslami, A.; Ghaderpoori, M.; Shahsavani, A.; Alinejad, A. Health risk assessment of heavy metals on PM2.5 in Tehran air, Iran. Data Brief 2018, 17, 347–355. [Google Scholar] [CrossRef]
- Liang, B.; Li, X.L.; Ma, K.; Liang, S.X. Pollution characteristics of metal pollutants in PM2.5 and comparison of risk on human health in heating and non-heating seasons in Baoding, China. Ecotoxicol. Environ. Saf. 2018, 170, 166–171. [Google Scholar] [CrossRef]
- Park, S.S.; Jung, S.A.; Gong, B.J.; Cho, S.Y.; Lee, S.J. Characteristics of PM2.5 Haze Episodes Revealed by Highly Time-Resolved Measurements at an Air Pollution Monitoring Supersite in Korea. Aerosol. Air Qual. Res. 2013, 13, 957–976. [Google Scholar] [CrossRef]
- Tsai, P.-J.; Young, L.-H.; Hwang, B.-F.; Lin, M.-Y.; Chen, Y.-C.; Hsu, H.-T. Source and health risk apportionment for PM2.5 collected in Sha-Lu area, Taiwan. Atmos. Pollut. Res. 2020, 11, 851–858. [Google Scholar] [CrossRef]
- Park, J.; Kim, H.; Kim, Y.; Heo, J.; Kim, S.-W.; Jeon, K.; Yi, S.M.; Hopke, P.K. Source apportionment of PM2.5 in Seoul, South Korea and Beijing, China using dispersion normalized PMF. Sci. Total Environ. 2022, 833, 155056. [Google Scholar] [CrossRef]
- Kong, S.; Li, L.; Li, X.; Yin, Y.; Chen, K.; Liu, D.; Yuan, L.; Zhang, Y.J.; Shan, Y.P.; Ji, Y.Q. The impacts of firework burning at the Chinese Spring Festival on air quality: Insights of tracers, source evolution and aging processes. Atmos. Chem. Phys. 2015, 15, 2167–2184. [Google Scholar] [CrossRef]
- Cheng, K.; Chang, Y.; Kuang, Y.; Khan, R.; Zou, Z. Elucidating the responses of highly time-resolved PM2.5 related elements to extreme emission reductions. Environ. Res. 2022, 206, 112624. [Google Scholar] [CrossRef]
- Wang, J.M.; Jeong, C.H.; Hilker, N.; Healy, R.M.; Sofowote, U.; Debosz, J.; Su, Y.; Munoz, A.; Evans, G.J. Quantifying metal emissions from vehicular traffic using real world emission factors. Environ. Pollut. 2020, 268, 115805. [Google Scholar] [CrossRef]
- O’Shea, M.J.; Krekeler, M.P.S.; Vann, D.R.; Gieré, R. Investigation of Pb-contaminated soil and road dust in a polluted area of Philadelphia. Environ. Monit. Assess. 2021, 193, 440. [Google Scholar] [CrossRef]
- Li, X.; Jiang, L.; Bai, Y.; Yang, Y.; Liu, S.; Chen, X.; Xu, J.; Liu, Y.; Wang, Y.; Guo, X.; et al. Wintertime aerosol chemistry in Beijing during haze period: Significant contribution from secondary formation and biomass burning emission. Atmos. Res. 2019, 218, 25–33. [Google Scholar] [CrossRef]
- Grange, S.K.; Fischer, A.; Zellweger, C.; Alastuey, A.; Querol, X.; Jaffrezo, J.-L.; Weber, S.; Uzu, G.; Hueglin, C. Switzerland’s PM10 and PM2.5 environmental increments show the importance of non-exhaust emissions. Atmos. Environ. 2021, 12, 100145. [Google Scholar] [CrossRef]
- Shen, Y.-W.; Zhao, H.; Zhao, C.-X.; Dong, S.-F.; He, K.-Q.; Xie, J.-J.; Lv, M.L.; Yuan, C.G. Temporal responses of PM2.5-bound trace elements and health risks to air control policy in a typical northern city in China during 2016–2020. J. Clean. Prod. 2023, 408, 137165. [Google Scholar] [CrossRef]
- Dai, Q.; Ding, J.; Hou, L.; Li, L.; Cai, Z.; Liu, B.; Song, C.; Bi, X.; Wu, J.; Zhang, Y.; et al. Haze episodes before and during the COVID-19 shutdown in Tianjin, China: Contribution of fireworks and residential burning. Environ. Pollut. 2021, 286, 117252.1–117252.7. [Google Scholar] [CrossRef] [PubMed]
- Shen, H.; Shen, G.; Chen, Y.; Russell, A.G.; Hu, Y.; Duan, X.; Meng, W.; Xu, Y.; Yun, X.; Lyu, B.; et al. Increased air pollution exposure among the Chinese population during the national quarantine in 2020. Nat. Hum. Behav. 2021, 5, 239–246. [Google Scholar] [CrossRef] [PubMed]
- Peter, A.E.; Nagendra, S.M.S.; Nambi, I.M. Comprehensive analysis of inhalable toxic particulate emissions from an old municipal solid waste dumpsite and neighborhood health risks. Atmos. Pollut. Res. 2018, 9, 1021–1031. [Google Scholar] [CrossRef]
- Galon-Negru, A.G.; Olariu, R.I.; Arsene, C. Size-resolved measurements of PM2.5 water-soluble elements in Iasi, north-eastern Romania: Seasonality, source apportionment and potential implications for human health. Sci. Total Environ. 2019, 695, 133839. [Google Scholar] [CrossRef]
- US EPA. Risk Assessment Guidance for Superfund Volume I: Human Health Evaluation Manual (Supplemental Guidance); OSWER Directive: 9285.6-03; Office of Emergency and Remedial Response, U.S. Environmental Protection Agency: Washington, DC, USA, 1991.
- Duan, X.; Yan, Y.; Li, R.; Deng, M.; Peng, L. Seasonal variations, source apportionment, and health risk assessment of trace metals in PM2.5 in the typical industrial city of changzhi, China. Atmos. Pollut. Res. 2020, 12, 365–374. [Google Scholar] [CrossRef]







| Species | Sampling Period | Pre-Lockdown | Full Lockdown | Partial Lockdown | ||||
|---|---|---|---|---|---|---|---|---|
| Mean | StDev | Mean | StDev | Mean | StDev | Mean | StDev | |
| Se | 6.9 | 4.3 | 6.3 | 3.2 | 8.2 | 5.6 | 6.3 | 3.5 |
| Cd | 0.7 | 0.4 | 0.7 | 0.4 | 0.7 | 0.4 | 0.9 | 0.4 |
| Pb | 48.7 | 26.8 | 51.9 | 30.3 | 44.9 | 25.2 | 47.2 | 19.5 |
| Zn | 150.2 | 91.9 | 168.2 | 113.8 | 139.5 | 69.1 | 129.0 | 56.6 |
| As | 6.6 | 4.2 | 5.3 | 2.6 | 6.0 | 3.9 | 10.0 | 5.2 |
| Cu | 53.8 | 118.0 | 24.5 | 32.7 | 125.7 | 187.1 | 14.5 | 25.2 |
| Ni | 2.2 | 2.0 | 2.4 | 2.4 | 1.9 | 1.4 | 2.0 | 1.8 |
| Cr | 7.2 | 8.5 | 4.9 | 3.3 | 12.0 | 13.2 | 5.4 | 3.6 |
| Total | 271.3 | 185.6 | 264.2 | 163.1 | 322.9 | 243.0 | 215.3 | 98.2 |
| The Factor Profiles | The Main Tracer |
|---|---|
| Factor 1 (traffic emissions) | OC, EC, Fe, Mn, Zn, and Pb |
| Factor 2 (coal combustion) | OC, EC, Na, As, and Se |
| Factor 3 (dust emissions) | Ca, Na, Mg, and Al |
| Factor 4 (industrial emissions) | V, Cr, Mn, Ni, Se, Cd, and Pb |
| Factor 5 (mixed source of biomass burning and fireworks) | K, Mg, Al, Cu, and Ba |
Disclaimer/Publisher’s Note: The statements, opinions and data contained in all publications are solely those of the individual author(s) and contributor(s) and not of MDPI and/or the editor(s). MDPI and/or the editor(s) disclaim responsibility for any injury to people or property resulting from any ideas, methods, instructions or products referred to in the content. |
© 2024 by the authors. Licensee MDPI, Basel, Switzerland. This article is an open access article distributed under the terms and conditions of the Creative Commons Attribution (CC BY) license (https://creativecommons.org/licenses/by/4.0/).
Share and Cite
Zhao, M.; Ren, L.; Yang, X.; Gao, Y.; Li, G.; Liu, Y. Impact of COVID-19 Lockdown on Inhaled Toxic Elements in PM2.5 in Beijing: Composition Characterization and Source-Specific Health Risks Assessment. Atmosphere 2024, 15, 563. https://doi.org/10.3390/atmos15050563
Zhao M, Ren L, Yang X, Gao Y, Li G, Liu Y. Impact of COVID-19 Lockdown on Inhaled Toxic Elements in PM2.5 in Beijing: Composition Characterization and Source-Specific Health Risks Assessment. Atmosphere. 2024; 15(5):563. https://doi.org/10.3390/atmos15050563
Chicago/Turabian StyleZhao, Mingsheng, Lihong Ren, Xiaoyang Yang, Yuanguan Gao, Gang Li, and Yani Liu. 2024. "Impact of COVID-19 Lockdown on Inhaled Toxic Elements in PM2.5 in Beijing: Composition Characterization and Source-Specific Health Risks Assessment" Atmosphere 15, no. 5: 563. https://doi.org/10.3390/atmos15050563
APA StyleZhao, M., Ren, L., Yang, X., Gao, Y., Li, G., & Liu, Y. (2024). Impact of COVID-19 Lockdown on Inhaled Toxic Elements in PM2.5 in Beijing: Composition Characterization and Source-Specific Health Risks Assessment. Atmosphere, 15(5), 563. https://doi.org/10.3390/atmos15050563

