Rainfall- and Irrigation-Induced Landslide Mechanisms in Loess Slopes: An Experimental Investigation in Lanzhou, China
Abstract
1. Introduction
2. Materials and Methods
3. Results
3.1. Variation in the Permeability Coefficient
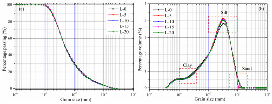
3.2. Composition Changes of the Loess during the Tests
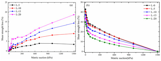
3.3. Soil–Water Characteristic Curve
4. Discussion
5. Conclusions
- (1)
- Infiltration significantly decreases the permeability properties of the loess, with a loss of over 68% of the permeability coefficient observed after the 5 d permeability test. Due to the reduced permeability coefficient, the infiltrated water cannot drain rapidly from the soil. The trapped water increases the weight and decreases the internal friction angle of the loess, thereby escalating the risk of landslides.
- (2)
- Seepage results in a decrease in total dissolved solids, sand particles, and clay particles, while silt particles increase. This alters the structure and impacts the soil–water characteristic curve of the loess. Consequently, the shear strength of the loess slope is also affected.
- (3)
- Infiltrated rainwater enhances soil saturation, leading to a decrease in soil shear strength as saturation increases. This shear strength continues to diminish with prolonged infiltration time (or rainfall duration). A landslide is initiated once the shear strength is reduced to the gravity stress of the soil slope. The loss of soil shear strength induced by rainfall must be factored into any slope stability analysis, particularly when dealing with a loess slope.
Author Contributions
Funding
Institutional Review Board Statement
Informed Consent Statement
Data Availability Statement
Acknowledgments
Conflicts of Interest
References
- Troncone, A.; Pugliese, L.; Parise, A.; Conte, E. A practical approach for predicting landslide retrogression and run-out distances in sensitive clays. Eng. Geol. 2023, 326, 107313. [Google Scholar] [CrossRef]
- Giarola, A.; Bordoni, M.; Zucca, F.; Meisina, C. Analysis of the Role of Precipitation and Land Use on the Size of the Source Area of Shallow Landslides. Water 2023, 15, 3340. [Google Scholar] [CrossRef]
- Garciaurquia, E. Establishing Rainfall Frequency Contour Lines as Thresholds for Tainfall-induced Landslides in Tegucigalpa, Honduras, 1980–2005. Nat. Hazards 2016, 82, 2107–2132. [Google Scholar] [CrossRef]
- Xu, X.Q.; Su, L.J.; Liu, C. The Spatial Distribution Characteristics of Shallow Fissures of a Landslide in the Wenchuan Earthquake Area. J. Mt. Sci. 2016, 13, 1544–1557. [Google Scholar] [CrossRef]
- Hughes, F.E.; Madabhushi, S.P.G. Liquefaction Induced Displacement and Rotation of Structures with Wide Basements. Soil Dyn. Earthq. Eng. 2019, 120, 75–84. [Google Scholar] [CrossRef]
- Karakan, E.; Tanrinian, N.; Sezer, A. Cyclic Undrained Behavior and Post Liquefaction Settlement of a Nonplastic Silt. Soil Dyn. Earthq. Eng. 2019, 120, 214–227. [Google Scholar] [CrossRef]
- Tasiopoulou, P.; Giannakou, A.; Chacko, J.; Wit, S. Liquefaction Triggering and Post-liquefaction Deformation of Laminated Deposits. Soil Dyn. Earthq. Eng. 2019, 124, 330–344. [Google Scholar] [CrossRef]
- Yan, Z.; Du, X.; Fan, X. Parallel Numerical Analysis of the Failure Characteristics of Earthquake-induced Landslides. Geosci. J. 2015, 4, 529–538. [Google Scholar] [CrossRef]
- Robinson, T.R.; Davies, T.R.H.; Wilson, T.M.; Orchiston, C. Coseismic Landsliding Estimates for an Alpine Fault Earthquake and the Consequences for Erosion of the Southern Alps, New Zealand. Geomorphology 2016, 263, 71–86. [Google Scholar] [CrossRef]
- Fourie, A.B. Predicting Rainfall-induced Slope Instability. Geotech. Eng. 1996, 119, 211–218. [Google Scholar] [CrossRef]
- Lim, T.; Chang, M.; Vachon, B.L.; Abdolahzadeh, A.M.; Cabral, A.R.; Lade, P.V.; Yamamuro, J.A.; Santoso, V.; Ng, Y.; Tam, C.; et al. Effect of Rainfall on Matric Suctions in a Residual Soil Slope. Can. Geotech. J. 1996, 33, 618–628. [Google Scholar] [CrossRef]
- Ering, P.; Babu, G.L.S. Probabilistic Back Analysis of Rainfall Induced Landslide—A Case Study of Malin Landslide, India. Eng. Geol. 2016, 208, 154–164. [Google Scholar] [CrossRef]
- Rahardjo, H.; Lim, T.; Chang, M.; Fredlund, D. Shear-strength Characteristics of A Residual Soil. Can. Geotech. J. 1995, 32, 60–77. [Google Scholar] [CrossRef]
- Anderson, S.A.; Sitar, N. Analysis of Rainfall-induced Debris Flows. J. Geotech. Eng. 1995, 121, 544–552. [Google Scholar] [CrossRef]
- Huang, C.C.; Yuin, S.C. Experimental Investigation of Rainfall Criteria for Shallow Slope Failures. Geomorphology 2010, 120, 326–338. [Google Scholar] [CrossRef]
- Sorbino, G.; Nicotera, M.V. Unsaturated Soil Mechanics in Rainfall-induced Flow Landslides. Eng. Geol. 2013, 165, 105–132. [Google Scholar] [CrossRef]
- Wen, B.P.; He, L. Influence of Lixiviation by Irrigation Water on Residual Shear Strength of Weathered Red Mudstone in Northwest China: Implication for Its Role in Landslides’ Reactivation. Eng. Geol. 2012, 151, 56–63. [Google Scholar] [CrossRef]
- Dunne, T. Formation and Controls of Channel Networks. Prog. Phys. Geogr. 1980, 4, 211–239. [Google Scholar] [CrossRef]
- Higgins, C.G. Drainage Systems Developed by Sapping on Earth and Mars. Geology 1982, 10, 147–152. [Google Scholar] [CrossRef]
- Howard, A.D.; Mclane, C.F. Erosion of Cohesionless Sediment by Groundwater Seepage. Water Resour. Res. 1988, 24, 1659–1674. [Google Scholar] [CrossRef]
- Godt, J.W.; Coe, J.A. Alpine Debris Flows Triggered by a 28 July 1999 Thunderstorm in the Central Front Range, Colorado. Geomorphology 2007, 84, 80–97. [Google Scholar] [CrossRef]
- Lu, N.; Godt, J. Infinite Slope Stability under Steady Unsaturated Seepage Conditions. Water Resour. Res. 2008, 44, 2276–2283. [Google Scholar] [CrossRef]
- Khalili, N.; Geiser, F.; Blight, G.E. Effective Stress in Unsaturated Soils: Review with New Evidence. Int. J. Geomech. 2004, 4, 115–126. [Google Scholar] [CrossRef]
- Lu, N.; Likos, W.J. Suction Stress Characteristic Curve for Unsaturated Soil. J. Geotech. Geoenviron. Eng. 2006, 132, 131–142. [Google Scholar] [CrossRef]
- Rahardjo, H.; Ong, T.H.; Rezaur, R.B.; Leong, E.C. Factors Controlling Instability of Homogeneous Soil Slopes under Rainfall. J. Geotech. Geoenviron. Eng. 2007, 133, 1532–1543. [Google Scholar] [CrossRef]
- Rahimi, A.; Rahardjo, H.; Leong, E.C. Effect of Hydraulic Properties of Soil on Rainfall-induced Slope Failure. Eng. Geol. 2010, 114, 135–143. [Google Scholar] [CrossRef]
- Gui, M.W.; Wu, Y.M. Failure of Soil under Water Infiltration Condition. Eng. Geol. 2014, 181, 124–141. [Google Scholar] [CrossRef]
- Rosenberry, D.O.; Pitlick, J. Local-scale Variability of Seepage and Hydraulic Conductivity in a Shallow Gravel-bed River. Hydrol. Process. 2009, 23, 3306–3318. [Google Scholar] [CrossRef]
- Hatch, C.E.; Fisher, A.T.; Ruehl, C.R.; Stemler, G. Spatial and Temporal Variations in Streambed Hydraulic Conductivity Quantified with Time-series Thermal Methods. J. Hydrol. 2010, 389, 276–288. [Google Scholar] [CrossRef]
- Mutiti, S.; Levy, J. Using Temperature Modeling to Investigate the Temporal Variability of Riverbed Hydraulic Conductivity during Storm Events. J. Hydrol. 2010, 388, 321–334. [Google Scholar] [CrossRef]
- Briggs, M.A.; Lautz, L.K.; McKenzie, J.M.; Gordon, R.P.; Hare, D.K. Using High-resolution Distributed Temperature Sensing to Quantify Spatial and Temporal Variability in Vertical Hyporheic Flux. Water Resour. Res. 2012, 48, 72–84. [Google Scholar] [CrossRef]
- Deljouei, A.; Cislaghi, A.; Abdi, E.; Borz, S.A.; Majnounian, B.; Hales, T.C. Implications of hornbeam and beech root systems on slope stability: From field and laboratory measurements to modelling methods. Plant Soil 2022, 483, 547–572. [Google Scholar] [CrossRef]
- Karimi, Z.; Abdi, E.; Deljouei, A.; Cislaghi, A.; Shirvany, A.; Schwarz, M.; Hales, T.C. Vegetation-induced soil stabilization in coastal area: An example from a natural mangrove forest. Catena 2022, 216, 106410. [Google Scholar] [CrossRef]
- Palazzolo, N.; Peres, D.J.; Creaco, E.; Cancelliere, A. Using principal component analysis to incorporate multi-layer soil moisture information in hydrometeorological thresholds for landslide prediction: An investigation based on ERA5-Land reanalysis data. Nat. Hazards Earth Syst. Sci. 2023, 23, 279–291. [Google Scholar] [CrossRef]
- Uwihirwe, J.; Riveros, A.; Wanjala, H.; Schellekens, J.; Sperna Weiland, F.; Hrachowitz, M.; Bogaard, T.A. Potential of satellite-derived hydro-meteorological information for landslide initiation thresholds in Rwanda. Nat. Hazards Earth Syst. Sci. 2022, 22, 3641–3661. [Google Scholar] [CrossRef]
- Wicki, A.; Lehmann, P.; Hauck, C.; Seneviratne, S.I.; Waldner, P.; Stähli, M. Assessing the potential of soil moisture measurements for regional landslide early warning. Landslides 2020, 17, 1881–1896. [Google Scholar] [CrossRef]
- Bordoni, M.; Vivaldi, V.; Ciabatta, L.; Brocca, L.; Meisina, C. Temporal prediction of shallow landslides exploiting soil saturation degree derived by ERA5-Land products. Bull. Eng. Geol. Environ. 2023, 82, 308. [Google Scholar] [CrossRef]
- Conte, E.; Pugliese, L.; Troncone, A. A Simple Method for Predicting Rainfall-Induced Shallow Landslides. J. Geotech. Geoenviron. Eng. 2022, 148, 04022079. [Google Scholar] [CrossRef]
- Tinjum, J.M.; Benson, C.H.; Blotz, L.R. Soil-water Characteristic Curves for Compacted Clays. J. Geotech. Geoenviron. Eng. 1997, 123, 1060–1069. [Google Scholar] [CrossRef]
- Ng, C.W.; Pang, Y.; Leung, A.; Zhou, C.; Yuan, Q.; Xu, J.; Chiu, C.; Yung, S.Y.; Sun, D.; Sheng, D.; et al. Experimental Investigations of the Soil-water Characteristics of Volcanic Soil. Can. Geotech. J. 2011, 37, 1252–1264. [Google Scholar] [CrossRef]
- Ng, C.W.W.; Pang, Y.W. Influence of Stress State on Soil-water Characteristics and Slope Stability. J. Geotech. Geoenviron. Eng. 2000, 126, 157–166. [Google Scholar] [CrossRef]
- Suits, L.D.; Sheahan, T.; Leong, E.; Tripathy, S.; Rahardjo, H. A Modified Pressure Plate Apparatus. Geotech. Test. J. 2004, 27, 322–331. [Google Scholar] [CrossRef]
- Suits, L.D.; Sheahan, T.; Wang, X.; Benson, C. Leak-free Pressure Plate Extractor for Measuring the Soil Water Characteristic Curve. Geotech. Test. J. 2004, 27, 163–172. [Google Scholar] [CrossRef]
- Niu, G.; Sun, D.; Wei, C.; Yan, R.; He, J.; Yu, M. Water Retention Behaviour of Complete-intense Weathering Mudstone and its Prediction. Chin. J. Geotech. Eng. 2016, 38 (Suppl. 2), 216–221. (In Chinese) [Google Scholar]
- Song, C.; Chai, S.X.; Wang, P. The Soil Test and Test Analysis; Tianjin University Press: Tianjin, China, 2007. (In Chinese) [Google Scholar]
- Genuchten, M.T.V. A Closed-form Equation for Predicting the Hydraulic Conductivity of Unsaturated Soil. Soil Sci. Soc. Am. J. 1980, 44, 892–898. [Google Scholar] [CrossRef]
- Fredlund, D.G.; Xing, A. Equations for the Soil-water Characteristic Curve. Can. Geotech. J. 1994, 31, 521–532. [Google Scholar] [CrossRef]
- Vanapalli, S.K.; Fredlund, D.G.; Pufahl, D.E.; Clifton, A.W. Model for the Prediction of Shear Strength with Respect to Soil Suction. Can. Geotech. J. 1996, 33, 379–392. [Google Scholar] [CrossRef]
- Fredlund, D.G.; Xing, A.; Fredlund, M.D.; Barbour, S.L. The Relationship of the Unsaturated Soil Shear to the Soil-water Characteristic Curve. Can. Geotech. J. 1996, 33, 440–448. [Google Scholar] [CrossRef]
- Çokça, E.; Tilgen, H.P. Shear Strength-suction Relationship of Compacted Ankara Clay. Appl. Clay Sci. 2010, 49, 400–404. [Google Scholar] [CrossRef]













| Density [g/cm3] | Water Content [%] | Specific Gravity | Sand [%] | Silt [%] | Clay [%] | Plastic Limit [%] | Liquid Limit [%] |
|---|---|---|---|---|---|---|---|
| 1.41 | 7.25 | 2.67 | 11.420 | 88.121 | 0.459 | 17.50 | 26.30 |
| No. | Permeability Test (Y/N) | Pressure Plate Test (Y/N) | SEM Test (Y/N) |
|---|---|---|---|
| L-0 | Y | Y | Y |
| L-5 | Y | Y | Y |
| L-10 | Y | Y | Y |
| L-15 | Y | Y | Y |
| L-20 | Y | Y | Y |
| Fitting Parameters | Samples | ||||
|---|---|---|---|---|---|
| L-0 | L-5 | L-10 | L-15 | L-20 | |
| θs | 0.466 | 0.433 | 0.396 | 0.388 | 0.376 |
| θr | 0.103 | 0.098 | 0.097 | 0.098 | 0.095 |
| a | 0.018 | 0.015 | 0.013 | 0.009 | 0.007 |
| m | 0.565 | 0.810 | 0.880 | 1.404 | 1.488 |
| n | 2.007 | 1.599 | 1.464 | 1.129 | 0.965 |
| R2 | 0.999 | 0.996 | 0.994 | 0.988 | 0.995 |
Disclaimer/Publisher’s Note: The statements, opinions and data contained in all publications are solely those of the individual author(s) and contributor(s) and not of MDPI and/or the editor(s). MDPI and/or the editor(s) disclaim responsibility for any injury to people or property resulting from any ideas, methods, instructions or products referred to in the content. |
© 2024 by the authors. Licensee MDPI, Basel, Switzerland. This article is an open access article distributed under the terms and conditions of the Creative Commons Attribution (CC BY) license (https://creativecommons.org/licenses/by/4.0/).
Share and Cite
Liu, W.; Bai, R.; Sun, X.; Yang, F.; Zhai, W.; Su, X. Rainfall- and Irrigation-Induced Landslide Mechanisms in Loess Slopes: An Experimental Investigation in Lanzhou, China. Atmosphere 2024, 15, 162. https://doi.org/10.3390/atmos15020162
Liu W, Bai R, Sun X, Yang F, Zhai W, Su X. Rainfall- and Irrigation-Induced Landslide Mechanisms in Loess Slopes: An Experimental Investigation in Lanzhou, China. Atmosphere. 2024; 15(2):162. https://doi.org/10.3390/atmos15020162
Chicago/Turabian StyleLiu, Wei, Ruiqiang Bai, Xinran Sun, Fang Yang, Weiji Zhai, and Xing Su. 2024. "Rainfall- and Irrigation-Induced Landslide Mechanisms in Loess Slopes: An Experimental Investigation in Lanzhou, China" Atmosphere 15, no. 2: 162. https://doi.org/10.3390/atmos15020162
APA StyleLiu, W., Bai, R., Sun, X., Yang, F., Zhai, W., & Su, X. (2024). Rainfall- and Irrigation-Induced Landslide Mechanisms in Loess Slopes: An Experimental Investigation in Lanzhou, China. Atmosphere, 15(2), 162. https://doi.org/10.3390/atmos15020162
