Long-Term Ozone Exposure, COPD, and Asthma Mortality: A Retrospective Cohort Study in the Republic of Korea
Abstract
1. Introduction
2. Materials and Methods
2.1. Data Source and Study Participants
2.2. Case Definition
2.3. Air Pollution Data
2.4. Covariates
2.5. Statistical Analysis
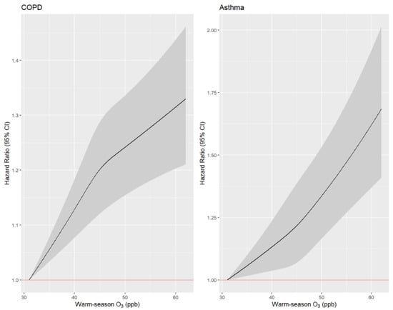
3. Results
4. Discussion
Supplementary Materials
Author Contributions
Funding
Institutional Review Board Statement
Informed Consent Statement
Data Availability Statement
Acknowledgments
Conflicts of Interest
References
- GBD Chronic Respiratory Disease Collaborators. Prevalence and attributable health burden of chronic respiratory diseases, 1990–2017: A systematic analysis for the Global Burden of Disease Study 2017. Lancet Respir. Med. 2020, 8, 585–596. [Google Scholar] [CrossRef] [PubMed]
- Tamondong-Lachica, D.R.; Skolnik, N.; Hurst, J.R.; Marchetti, N.; Rabe, A.P.J.; Montes de Oca, M.; Celli, B.R. GOLD 2023 update: Implications for clinical practice. Int. J. Chronic Obstr. Pulm. Dis. 2023, 18, 745–754. [Google Scholar] [CrossRef] [PubMed]
- Levy, M.L.; Bacharier, L.B.; Bateman, E.; Boulet, L.-P.; Brightling, C.; Buhl, R.; Brusselle, G.; Cruz, A.A.; Drazen, J.M.; Duijts, L. Key recommendations for primary care from the 2022 Global Initiative for Asthma (GINA) update. NPJ Prim. Care Respir. Med. 2023, 33, 7. [Google Scholar] [CrossRef] [PubMed]
- Momtazmanesh, S.; Moghaddam, S.S.; Ghamari, S.-H.; Rad, E.M.; Rezaei, N.; Shobeiri, P.; Aali, A.; Abbasi-Kangevari, M.; Abbasi-Kangevari, Z.; Abdelmasseh, M. Global burden of chronic respiratory diseases and risk factors, 1990–2019: An update from the Global Burden of Disease Study 2019. eClinicalMedicine 2023, 59, 101936. [Google Scholar] [CrossRef] [PubMed]
- Sicard, P.; Agathokleous, E.; Anenberg, S.C.; De Marco, A.; Paoletti, E.; Calatayud, V. Trends in urban air pollution over the last two decades: A global perspective. Sci. Total Environ. 2023, 858, 160064. [Google Scholar] [CrossRef]
- Li, C.; van Donkelaar, A.; Hammer, M.S.; McDuffie, E.E.; Burnett, R.T.; Spadaro, J.V.; Chatterjee, D.; Cohen, A.J.; Apte, J.S.; Southerland, V.A. Reversal of trends in global fine particulate matter air pollution. Nat. Commun. 2023, 14, 5349. [Google Scholar] [CrossRef]
- Malashock, D.A.; Delang, M.N.; Becker, J.S.; Serre, M.L.; West, J.J.; Chang, K.-L.; Cooper, O.R.; Anenberg, S.C. Global trends in ozone concentration and attributable mortality for urban, peri-urban, and rural areas between 2000 and 2019: A modelling study. Lancet Planet. Health 2022, 6, e958–e967. [Google Scholar] [CrossRef]
- Huangfu, P.; Atkinson, R. Long-term exposure to NO2 and O3 and all-cause and respiratory mortality: A systematic review and meta-analysis. Environ. Int. 2020, 144, 105998. [Google Scholar] [CrossRef]
- Sun, H.Z.; Yu, P.; Lan, C.; Wan, M.W.; Hickman, S.; Murulitharan, J.; Shen, H.; Yuan, L.; Guo, Y.; Archibald, A.T. Cohort-based long-term ozone exposure-associated mortality risks with adjusted metrics: A systematic review and meta-analysis. Innovation 2022, 3, 100246. [Google Scholar] [CrossRef]
- Zheng, X.-Y.; Orellano, P.; Lin, H.-L.; Jiang, M.; Guan, W.-J. Short-term exposure to ozone, nitrogen dioxide, and sulphur dioxide and emergency department visits and hospital admissions due to asthma: A systematic review and meta-analysis. Environ. Int. 2021, 150, 106435. [Google Scholar] [CrossRef]
- Liu, Y.; Pan, J.; Zhang, H.; Shi, C.; Li, G.; Peng, Z.; Ma, J.; Zhou, Y.; Zhang, L. Short-term exposure to ambient air pollution and asthma mortality. Am. J. Respir. Crit. Care Med. 2019, 200, 24–32. [Google Scholar] [CrossRef] [PubMed]
- Zhang, J.; Ai, B.; Guo, Y.; Chen, L.; Chen, G.; Li, H.; Lin, H.; Zhang, Z. Long-term exposure to ambient ozone and adult-onset asthma: A prospective cohort study. Environ. Res. 2024, 252, 118962. [Google Scholar] [CrossRef] [PubMed]
- McDonnell, W.F.; Abbey, D.E.; Nishino, N.; Lebowitz, M.D. Long-term ambient ozone concentration and the incidence of asthma in nonsmoking adults: The AHSMOG Study. Environ. Res. 1999, 80, 110–121. [Google Scholar] [CrossRef] [PubMed]
- Seong, S.C.; Kim, Y.-Y.; Khang, Y.-H.; Heon Park, J.; Kang, H.-J.; Lee, H.; Do, C.-H.; Song, J.-S.; Hyon Bang, J.; Ha, S. Data resource profile: The national health information database of the National Health Insurance Service in South Korea. Int. J. Epidemiol. 2017, 46, 799–800. [Google Scholar]
- Kim, H.C.; Kim, E.; Bae, C.; Cho, J.H.; Kim, B.-U.; Kim, S. Regional contributions to particulate matter concentration in the Seoul metropolitan area, South Korea: Seasonal variation and sensitivity to meteorology and emissions inventory. Atmos. Chem. Phys. 2017, 17, 10315–10332. [Google Scholar] [CrossRef]
- Kim, B.-U.; Bae, C.; Kim, H.C.; Kim, E.; Kim, S. Spatially and chemically resolved source apportionment analysis: Case study of high particulate matter event. Atmos. Environ. 2017, 162, 55–70. [Google Scholar] [CrossRef]
- Charlson, M.E.; Pompei, P.; Ales, K.L.; MacKenzie, C.R. A new method of classifying prognostic comorbidity in longitudinal studies: Development and validation. J. Chronic Dis. 1987, 40, 373–383. [Google Scholar] [CrossRef]
- Dekker, F.W.; De Mutsert, R.; Van Dijk, P.C.; Zoccali, C.; Jager, K.J. Survival analysis: Time-dependent effects and time-varying risk factors. Kidney Int. 2008, 74, 994–997. [Google Scholar] [CrossRef]
- Fine, J.P.; Gray, R.J. A proportional hazards model for the subdistribution of a competing risk. J. Am. Stat. Assoc. 1999, 94, 496–509. [Google Scholar] [CrossRef]
- Austin, P.C.; Fine, J.P. Practical recommendations for reporting f Ine-G Ray model analyses for competing risk data. Stat. Med. 2017, 36, 4391–4400. [Google Scholar] [CrossRef]
- Lim, C.C.; Hayes, R.B.; Ahn, J.; Shao, Y.; Silverman, D.T.; Jones, R.R.; Garcia, C.; Bell, M.L.; Thurston, G.D. Long-term exposure to ozone and cause-specific mortality risk in the United States. Am. J. Respir. Crit. Care Med. 2019, 200, 1022–1031. [Google Scholar] [CrossRef] [PubMed]
- Turner, M.C.; Jerrett, M.; Pope III, C.A.; Krewski, D.; Gapstur, S.M.; Diver, W.R.; Beckerman, B.S.; Marshall, J.D.; Su, J.; Crouse, D.L. Long-term ozone exposure and mortality in a large prospective study. Am. J. Respir. Crit. Care Med. 2016, 193, 1134–1142. [Google Scholar] [CrossRef] [PubMed]
- Kazemiparkouhi, F.; Eum, K.-D.; Wang, B.; Manjourides, J.; Suh, H.H. Long-term ozone exposures and cause-specific mortality in a US Medicare cohort. J. Expo. Sci. Environ. Epidemiol. 2020, 30, 650–658. [Google Scholar] [CrossRef] [PubMed]
- Zanobetti, A.; Schwartz, J. Ozone and survival in four cohorts with potentially predisposing diseases. Am. J. Respir. Crit. Care Med. 2011, 184, 836–841. [Google Scholar] [CrossRef] [PubMed]
- Cakmak, S.; Hebbern, C.; Pinault, L.; Lavigne, E.; Vanos, J.; Crouse, D.L.; Tjepkema, M. Associations between long-term PM2.5 and ozone exposure and mortality in the Canadian Census Health and Environment Cohort (CANCHEC), by spatial synoptic classification zone. Environ. Int. 2018, 111, 200–211. [Google Scholar] [CrossRef]
- Strak, M.; Weinmayr, G.; Rodopoulou, S.; Chen, J.; De Hoogh, K.; Andersen, Z.J.; Atkinson, R.; Bauwelinck, M.; Bekkevold, T.; Bellander, T. Long term exposure to low level air pollution and mortality in eight European cohorts within the ELAPSE project: Pooled analysis. BMJ 2021, 374, n1904. [Google Scholar] [CrossRef]
- Jerrett, M.; Burnett, R.T.; Pope III, C.A.; Ito, K.; Thurston, G.; Krewski, D.; Shi, Y.; Calle, E.; Thun, M. Long-term ozone exposure and mortality. N. Engl. J. Med. 2009, 360, 1085–1095. [Google Scholar] [CrossRef]
- Tetreault, L.-F.; Doucet, M.; Gamache, P.; Fournier, M.; Brand, A.; Kosatsky, T.; Smargiassi, A. Childhood exposure to ambient air pollutants and the onset of asthma: An administrative cohort study in Québec. Environ. Health Perspect. 2016, 124, 1276–1282. [Google Scholar] [CrossRef]
- Boing, A.F.; de Souza, P.; Boing, A.C.; Kim, R.; Subramanian, S. Air pollution, socioeconomic status, and age-specific mortality risk in the United States. JAMA Netw. Open 2022, 5, e2213540. [Google Scholar] [CrossRef]
- Bell, M.L.; Zanobetti, A.; Dominici, F. Who is more affected by ozone pollution? A systematic review and meta-analysis. Am. J. Epidemiol. 2014, 180, 15–28. [Google Scholar] [CrossRef]
- Bahk, J.; Kang, H.-Y.; Khang, Y.-H. Trends in life expectancy among medical aid beneficiaries and National Health Insurance beneficiaries in Korea between 2004 and 2017. BMC Public Health 2019, 19, 1137. [Google Scholar] [CrossRef] [PubMed]
- Lee, E.G.; Rhee, C.K. Epidemiology, burden, and policy of chronic obstructive pulmonary disease in South Korea: A narrative review. J. Thorac. Dis. 2021, 13, 3888. [Google Scholar] [CrossRef] [PubMed]
- Kim, D.S.; Kim, Y.S.; Jung, K.-S.; Chang, J.H.; Lim, C.-M.; Lee, J.H.; Uh, S.-T.; Shim, J.J.; Lew, W.J. Prevalence of chronic obstructive pulmonary disease in Korea: A population-based spirometry survey. Am. J. Respir. Crit. Care Med. 2005, 172, 842–847. [Google Scholar] [CrossRef] [PubMed]
- Hwang, Y.I.; Park, Y.B.; Yoo, K.H. Recent trends in the prevalence of chronic obstructive pulmonary disease in Korea. Tuberc. Respir. Dis. 2017, 80, 226. [Google Scholar] [CrossRef]
- Aaron, S.D.; Vandemheen, K.L.; Whitmore, G.A.; Bergeron, C.; Boulet, L.-P.; Côté, A.; McIvor, R.A.; Penz, E.; Field, S.K.; Lemière, C. Early Diagnosis and Treatment of COPD and Asthma—A Randomized, Controlled Trial. N. Engl. J. Med. 2024, 390, 2061–2073. [Google Scholar] [CrossRef]
- Yoon, T.-h.; Kim, J.-H. Health inequalities between rural and urban areas in South Korea. J. Korean Acad. Rural Health Nurs. 2006, 1, 11–20. [Google Scholar]
- Choi, K.M. Investigation of cancer mortality inequalities between rural and urban areas in South K orea. Aust. J. Rural Health 2016, 24, 61–66. [Google Scholar] [CrossRef]
- Kim, C.-B.; Chung, M.-K.; Kong, I.D. Regional inequalities in healthcare indices in Korea: Geo-economic review and action plan. Health Policy Manag. 2018, 28, 240–250. [Google Scholar]
- Barnes, P.J. Reactive oxygen species and airway inflammation. Free Radic. Biol. Med. 1990, 9, 235–243. [Google Scholar] [CrossRef]
- Wiegman, C.H.; Li, F.; Ryffel, B.; Togbe, D.; Chung, K.F. Oxidative stress in ozone-induced chronic lung inflammation and emphysema: A facet of chronic obstructive pulmonary disease. Front. Immunol. 2020, 11, 547173. [Google Scholar] [CrossRef]
- Fujinaka, L.E.; Hyde, D.; Plopper, C.; Tyler, W.; Dungworth, D.; Lollini, L. Respiratory bronchiolitis following long-term ozone exposure in bonnet monkeys: A morphometric study. Exp. Lung Res. 1985, 8, 167–190. [Google Scholar] [CrossRef] [PubMed]
- Fanucchi, M.V.; Plopper, C.G.; Evans, M.J.; Hyde, D.M.; Van Winkle, L.S.; Gershwin, L.J.; Schelegle, E.S. Cyclic exposure to ozone alters distal airway development in infant rhesus monkeys. Am. J. Physiol.-Lung Cell. Mol. Physiol. 2006, 291, L644–L650. [Google Scholar] [CrossRef]
- Dimakopoulou, K.; Douros, J.; Samoli, E.; Karakatsani, A.; Rodopoulou, S.; Papakosta, D.; Grivas, G.; Tsilingiridis, G.; Mudway, I.; Moussiopoulos, N. Long-term exposure to ozone and children’s respiratory health: Results from the RESPOZE study. Environ. Res. 2020, 182, 109002. [Google Scholar] [CrossRef] [PubMed]
- Holm, S.M.; Balmes, J.R. Systematic review of ozone effects on human lung function, 2013 through 2020. Chest 2022, 161, 190–201. [Google Scholar] [CrossRef] [PubMed]
- Zhao, T.; Markevych, I.; Fuertes, E.; de Hoogh, K.; Accordini, S.; Boudier, A.; Casas, L.; Forsberg, B.; Aymerich, J.G.; Gnesi, M. Impact of long-term exposure to ambient ozone on lung function over a course of 20 years (The ECRHS study): A prospective cohort study in adults. Lancet Reg. Health Eur. 2023, 34, 100729. [Google Scholar] [CrossRef]
- Yang, H.; Wang, Z.; Zhou, Y.; Gao, Z.; Xu, J.; Xiao, S.; Dai, C.; Wu, F.; Deng, Z.; Peng, J. Association between long-term ozone exposure and readmission for chronic obstructive pulmonary disease exacerbation. Environ. Pollut. 2024, 348, 123811. [Google Scholar] [CrossRef]
- Molfino, N.; Wright, S.; Katz, I.; Tarlo, S.; Silverman, F.; McClean, P.; Slutsky, A.; Zamel, N.; Szalai, J.; Raizenne, M. Effect of low concentrations of ozone on inhaled allergen responses in asthmatic subjects. Lancet 1991, 338, 199–203. [Google Scholar] [CrossRef]
- Vagaggini, B.; Taccola, M.; Cianchetti, S.; Carnevali, S.; Bartoli, M.L.; Bacci, E.; Dente, F.L.; Di Franco, A.; Giannini, D.; Paggiaro, P.L. Ozone exposure increases eosinophilic airway response induced by previous allergen challenge. Am. J. Respir. Crit. Care Med. 2002, 166, 1073–1077. [Google Scholar] [CrossRef]
- Schelegle, E.S.; Miller, L.A.; Gershwin, L.J.; Fanucchi, M.V.; Van Winkle, L.S.; Gerriets, J.E.; Walby, W.F.; Mitchell, V.; Tarkington, B.K.; Wong, V.J. Repeated episodes of ozone inhalation amplifies the effects of allergen sensitization and inhalation on airway immune and structural development in Rhesus monkeys. Toxicol. Appl. Pharmacol. 2003, 191, 74–85. [Google Scholar] [CrossRef]
- Orellano, P.; Quaranta, N.; Reynoso, J.; Balbi, B.; Vasquez, J. Effect of outdoor air pollution on asthma exacerbations in children and adults: Systematic review and multilevel meta-analysis. PLoS ONE 2017, 12, e0174050. [Google Scholar] [CrossRef]
- Mannino, D.M.; Buist, A.S. Global burden of COPD: Risk factors, prevalence, and future trends. Lancet 2007, 370, 765–773. [Google Scholar] [CrossRef] [PubMed]
- Stapleton, M.; Howard-Thompson, A.; George, C.; Hoover, R.M.; Self, T.H. Smoking and asthma. J. Am. Board Fam. Med. 2011, 24, 313–322. [Google Scholar] [CrossRef] [PubMed]
- Polosa, R.; Thomson, N.C. Smoking and asthma: Dangerous liaisons. Eur. Respir. J. 2013, 41, 716–726. [Google Scholar] [CrossRef] [PubMed]
- Hao, Y.; Balluz, L.; Strosnider, H.; Wen, X.J.; Li, C.; Qualters, J.R. Ozone, fine particulate matter, and chronic lower respiratory disease mortality in the United States. Am. J. Respir. Crit. Care Med. 2015, 192, 337–341. [Google Scholar] [CrossRef] [PubMed]
- Keet, C.A.; Keller, J.P.; Peng, R.D. Long-term coarse particulate matter exposure is associated with asthma among children in Medicaid. Am. J. Respir. Crit. Care Med. 2018, 197, 737–746. [Google Scholar] [CrossRef] [PubMed]
- Tacken, M. Mobility of the elderly in time and space in the Netherlands: An analysis of the Dutch National Travel Survey. Transportation 1998, 25, 379–393. [Google Scholar] [CrossRef]
- Collia, D.V.; Sharp, J.; Giesbrecht, L. The 2001 national household travel survey: A look into the travel patterns of older Americans. J. Saf. Res. 2003, 34, 461–470. [Google Scholar] [CrossRef]



| Characteristics | Total | COPD Death | Asthma Death | |||
|---|---|---|---|---|---|---|
| N | % | N | % | N | % | |
| Total | 5,360,032 | 100.0% | 46,228 | 0.9% | 12,308 | 0.2% |
| Sex | ||||||
| Men | 2,193,175 | 40.9% | 31,381 | 67.9% | 4794 | 39.0% |
| Women | 3,166,857 | 59.1% | 14,847 | 32.1% | 7514 | 61.0% |
| Age group | ||||||
| 65–74 | 3,372,719 | 62.9% | 14,271 | 30.9% | 2731 | 22.2% |
| 75+ | 1,987,313 | 37.1% | 31,957 | 69.1% | 9577 | 77.8% |
| Underlying disease | ||||||
| No | 2,119,534 | 39.5% | 12,284 | 26.6% | 2593 | 21.1% |
| Yes | 3,240,498 | 60.5% | 33,944 | 73.4% | 9715 | 78.9% |
| Income | ||||||
| Medicare | 466,464 | 8.7% | 5722 | 12.4% | 1700 | 13.8% |
| Low/Mid (1–12) | 1,953,417 | 36.4% | 27,178 | 58.8% | 6743 | 54.8% |
| High (13–20) | 2,940,151 | 54.9% | 13,328 | 28.8% | 3865 | 31.4% |
| Regions | ||||||
| Metropolitan cities | 2,189,845 | 40.9% | 15,031 | 32.5% | 4043 | 32.8% |
| Other areas | 3,170,187 | 59.1% | 31,197 | 67.5% | 8265 | 67.2% |
| Charlson comorbidity score | ||||||
| 0 | 2,119,534 | 39.5% | 12,284 | 26.6% | 2593 | 21.1% |
| 1 | 1,656,238 | 30.9% | 16,831 | 36.4% | 4643 | 37.7% |
| 2 | 842,614 | 15.7% | 9454 | 20.5% | 2791 | 22.7% |
| 3+ | 741,646 | 13.8% | 7659 | 16.6% | 2281 | 18.5% |
| Year | ||||||||||||||
|---|---|---|---|---|---|---|---|---|---|---|---|---|---|---|
| 2006 | 2007 | 2008 | 2009 | 2010 | 2011 | 2012 | 2013 | 2014 | 2015 | 2016 | 2017 | 2018 | 2019 | |
| Metropolitan cities | ||||||||||||||
| Seoul | 34.18 | 35.49 | 35.74 | 41.83 | 35.32 | 34.53 | 39.77 | 40.47 | 42.87 | 43.37 | 45.63 | 43.97 | 43.03 | 47.02 |
| Busan | 35.41 | 35.71 | 36.78 | 38.10 | 36.97 | 36.50 | 42.45 | 41.34 | 45.15 | 46.01 | 46.48 | 45.94 | 42.61 | 47.50 |
| Daegu | 38.76 | 40.12 | 47.43 | 43.50 | 43.94 | 44.71 | 46.82 | 49.52 | 50.01 | 53.17 | 50.22 | 52.64 | 45.86 | 51.30 |
| Incheon | 39.57 | 42.29 | 46.30 | 50.18 | 42.74 | 43.09 | 47.10 | 47.66 | 52.77 | 51.32 | 50.36 | 48.24 | 45.43 | 52.79 |
| Gwangju | 39.09 | 37.32 | 36.54 | 45.00 | 39.51 | 39.68 | 43.39 | 45.55 | 47.00 | 48.47 | 49.89 | 50.46 | 45.12 | 48.09 |
| Daejeon | 29.96 | 26.86 | 40.72 | 41.77 | 39.30 | 35.10 | 42.75 | 42.15 | 46.36 | 46.94 | 50.83 | 50.67 | 48.78 | 48.01 |
| Ulsan | 33.74 | 33.36 | 37.77 | 38.33 | 38.51 | 36.36 | 42.43 | 46.12 | 46.69 | 48.53 | 45.85 | 50.47 | 42.88 | 48.16 |
| Other areas | ||||||||||||||
| Gyeoonggi-do | 39.69 | 41.52 | 41.51 | 47.12 | 41.43 | 41.51 | 46.88 | 46.86 | 50.08 | 51.52 | 52.52 | 49.75 | 48.56 | 54.99 |
| Gangwon-do | 44.45 | 44.46 | 45.83 | 49.66 | 44.95 | 45.20 | 45.73 | 47.69 | 54.60 | 52.90 | 52.17 | 51.02 | 48.64 | 51.58 |
| Chungcheongbuk-do | 41.91 | 40.91 | 42.65 | 49.12 | 44.40 | 44.21 | 46.09 | 50.20 | 52.19 | 51.83 | 52.89 | 53.54 | 48.85 | 52.61 |
| Chungcheongnam-do | 41.62 | 35.15 | 46.71 | 48.78 | 43.26 | 40.06 | 46.59 | 47.90 | 51.39 | 52.40 | 56.50 | 54.42 | 50.58 | 55.69 |
| Jeollabuk-do | 39.42 | 37.70 | 37.93 | 44.64 | 37.57 | 38.28 | 45.30 | 46.39 | 49.11 | 51.21 | 53.94 | 54.14 | 47.54 | 52.67 |
| Jeollanam-do | 43.39 | 45.18 | 45.04 | 49.03 | 43.44 | 44.53 | 46.97 | 50.28 | 50.28 | 53.13 | 53.38 | 54.24 | 46.98 | 51.31 |
| Gyeongsangbuk-do | 42.98 | 43.58 | 45.40 | 48.20 | 45.73 | 44.41 | 47.16 | 50.13 | 52.45 | 54.50 | 51.55 | 53.91 | 48.96 | 52.69 |
| Gyeongsangnam-do | 44.18 | 42.86 | 44.53 | 45.37 | 41.52 | 39.18 | 46.61 | 49.40 | 48.88 | 50.51 | 48.16 | 52.80 | 48.58 | 53.53 |
| Total | 40.16 | 40.17 | 42.32 | 46.12 | 41.48 | 40.88 | 45.44 | 46.96 | 49.57 | 50.67 | 50.95 | 50.97 | 47.21 | 51.94 |
| COPD | Asthma | |||||
|---|---|---|---|---|---|---|
| Model 1 | Model 2 | Model 3 | Model 1 | Model 2 | Model 3 | |
| Exposure | HR (95% CI) | HR (95% CI) | HR (95% CI) | HR (95% CI) | HR (95% CI) | HR (95% CI) |
| 1-year moving average | ||||||
| Single-pollutant model | 1.006 (1.003, 1.008) | 1.006 (1.004, 1.008) | 1.005 (1.002, 1.007) | 1.009 (1.005, 1.013) | 1.009 (1.005, 1.014) | 1.009 (1.004, 1.013) |
| Two-pollutant model | ||||||
| +PM2.5 | 1.005 (1.003, 1.008) | 1.006 (1.003, 1.008) | 1.004 (1.002, 1.006) | 1.009 (1.004, 1.013) | 1.009 (1.005, 1.013) | 1.008 (1.003, 1.012) |
| +PM10 | 1.006 (1.003, 1.008) | 1.006 (1.003, 1.008) | 1.004 (1.002, 1.007) | 1.009 (1.005, 1.013) | 1.009 (1.005, 1.013) | 1.008 (1.003, 1.012) |
| +NO2 | 1.001 (0.999, 1.003) | 1.001 (0.999, 1.003) | 1.002 (0.999, 1.004) | 1.007 (1.003, 1.012) | 1.007 (1.002, 1.012) | 1.008 (1.003, 1.013) |
| +SO2 | 1.006 (1.003, 1.008) | 1.006 (1.003, 1.008) | 1.005 (1.003, 1.007) | 1.010 (1.005, 1.014) | 1.010 (1.006, 1.014) | 1.009 (1.005, 1.014) |
| 2-year moving average | ||||||
| Single-pollutant model | 1.007 (1.004, 1.010) | 1.007 (1.004, 1.010) | 1.006 (1.003, 1.008) | 1.011 (1.006, 1.016) | 1.012 (1.007, 1.017) | 1.011 (1.006, 1.017) |
| Two-pollutant model | ||||||
| +PM2.5 | 1.007 (1.004, 1.010) | 1.007 (1.004, 1.010) | 1.005 (1.002, 1.008) | 1.011 (1.006, 1.017) | 1.012 (1.007, 1.017) | 1.010 (1.005, 1.016) |
| +PM10 | 1.007 (1.004, 1.010) | 1.007 (1.005, 1.010) | 1.005 (1.003, 1.008) | 1.012 (1.006, 1.017) | 1.012 (1.007, 1.017) | 1.011 (1.006, 1.016) |
| +NO2 | 0.999 (0.996, 1.002) | 0.999 (0.996, 1.002) | 1.000 (0.997, 1.003) | 1.008 (1.002, 1.013) | 1.007 (1.002,1.013) | 1.009 (1.003, 1.015) |
| +SO2 | 1.006 (1.004, 1.009) | 1.006 (1.004, 1.009) | 1.005 (1.003, 1.008) | 1.012 (1.007, 1.018) | 1.013 (1.007, 1.018) | 1.012 (1.006, 1.017) |
| 3-year moving average | ||||||
| Single-pollutant model | 1.011 (1.008, 1.013) | 1.011 (1.008, 1.014) | 1.009 (1.006, 1.012) | 1.016 (1.011, 1.022) | 1.017 (1.011, 1.022) | 1.017 (1.011, 1.023) |
| Two-pollutant model | ||||||
| +PM2.5 | 1.011 (1.008, 1.014) | 1.011 (1.008, 1.014) | 1.009 (1.006, 1.012) | 1.017 (1.011, 1.023) | 1.017 (1.012, 1.023) | 1.017 (1.011, 1.023) |
| +PM10 | 1.011 (1.008, 1.014) | 1.011 (1.008, 1.014) | 1.009 (1.006, 1.012) | 1.017 (1.011, 1.023) | 1.017 (1.012, 1.023) | 1.017 (1.011, 1.023) |
| +NO2 | 1.000 (0.997, 1.004) | 1.003 (1.002, 1.005) | 1.002 (0.998, 1.005) | 1.011 (1.005, 1.018) | 1.011 (1.004, 1.018) | 1.014 (1.007, 1.021) |
| +SO2 | 1.009 (1.006, 1.012) | 1.010 (1.007, 1.013) | 1.008 (1.005, 1.012) | 1.017 (1.011, 1.023) | 1.018 (1.012, 1.024) | 1.017 (1.011, 1.023) |
Disclaimer/Publisher’s Note: The statements, opinions and data contained in all publications are solely those of the individual author(s) and contributor(s) and not of MDPI and/or the editor(s). MDPI and/or the editor(s) disclaim responsibility for any injury to people or property resulting from any ideas, methods, instructions or products referred to in the content. |
© 2024 by the authors. Licensee MDPI, Basel, Switzerland. This article is an open access article distributed under the terms and conditions of the Creative Commons Attribution (CC BY) license (https://creativecommons.org/licenses/by/4.0/).
Share and Cite
Kim, M.-S.; Lim, Y.-H.; Oh, J.; Myung, J.; Han, C.; Bae, H.-J.; Kim, S.; Hong, Y.-C.; Lee, D.-W. Long-Term Ozone Exposure, COPD, and Asthma Mortality: A Retrospective Cohort Study in the Republic of Korea. Atmosphere 2024, 15, 1340. https://doi.org/10.3390/atmos15111340
Kim M-S, Lim Y-H, Oh J, Myung J, Han C, Bae H-J, Kim S, Hong Y-C, Lee D-W. Long-Term Ozone Exposure, COPD, and Asthma Mortality: A Retrospective Cohort Study in the Republic of Korea. Atmosphere. 2024; 15(11):1340. https://doi.org/10.3390/atmos15111340
Chicago/Turabian StyleKim, Min-Seok, Youn-Hee Lim, Jongmin Oh, Jisun Myung, Changwoo Han, Hyun-Joo Bae, Soontae Kim, Yun-Chul Hong, and Dong-Wook Lee. 2024. "Long-Term Ozone Exposure, COPD, and Asthma Mortality: A Retrospective Cohort Study in the Republic of Korea" Atmosphere 15, no. 11: 1340. https://doi.org/10.3390/atmos15111340
APA StyleKim, M.-S., Lim, Y.-H., Oh, J., Myung, J., Han, C., Bae, H.-J., Kim, S., Hong, Y.-C., & Lee, D.-W. (2024). Long-Term Ozone Exposure, COPD, and Asthma Mortality: A Retrospective Cohort Study in the Republic of Korea. Atmosphere, 15(11), 1340. https://doi.org/10.3390/atmos15111340

