CFD Evaluation of Respiratory Particle Dispersion and Associated Infection Risk in a Coach Bus with Different Ventilation Configurations
Abstract
1. Introduction
2. Materials and Methods
2.1. CFD-DPM Model
2.2. Geometry and Boundary Conditions
2.3. Infection Risk Model and Exposure Scenarios
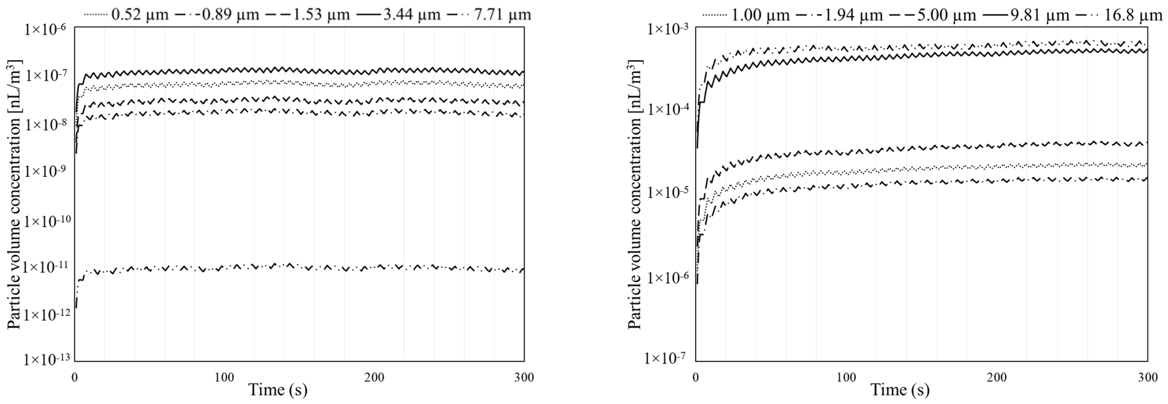
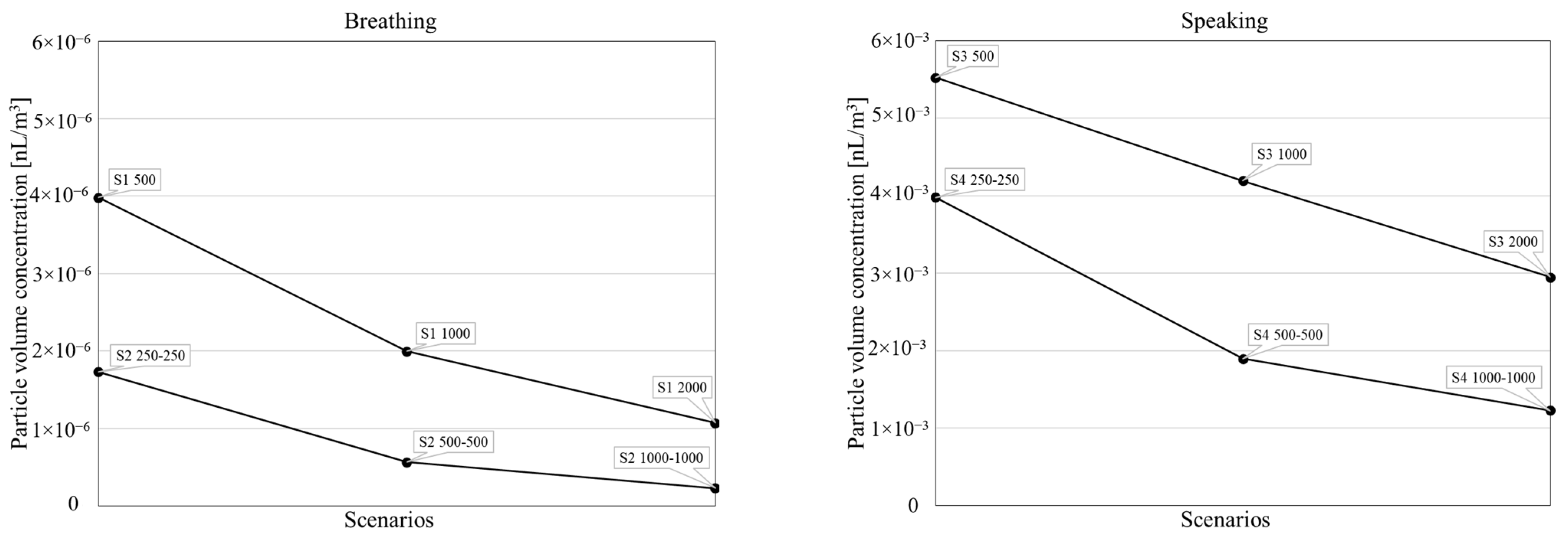
3. Results and Discussion
4. Limitations and Future Development of the Work
5. Conclusions
Author Contributions
Funding
Institutional Review Board Statement
Informed Consent Statement
Data Availability Statement
Conflicts of Interest
References
- Chen, W.; Zhang, N.; Wei, J.; Yen, H.-L.; Li, Y. Short-range airborne route dominates exposure of respiratory infection during close contact. Build. Environ. 2020, 176, 106859. [Google Scholar] [CrossRef]
- Jarvis, M.C. Aerosol Transmission of SARS-CoV-2: Physical Principles and Implications. Front. Public Health 2020, 8, 590041. [Google Scholar] [CrossRef] [PubMed]
- Mikszewski, A.; Stabile, L.; Buonanno, G.; Morawska, L. Increased close proximity airborne transmission of the SARS-CoV-2 Delta variant. Sci. Total Environ. 2022, 816, 151499. [Google Scholar] [CrossRef] [PubMed]
- Stabile, L.; Pacitto, A.; Mikszewski, A.; Morawska, L.; Buonanno, G. Ventilation procedures to minimize the airborne transmission of viruses in classrooms. Build. Environ. 2021, 202, 108042. [Google Scholar] [CrossRef]
- Sosnowski, T.R. Inhaled aerosols: Their role in COVID-19 transmission, including biophysical interactions in the lungs. Curr. Opin. Colloid Interface Sci. 2021, 54, 101451. [Google Scholar] [CrossRef]
- Sun, C.; Zhai, Z. The efficacy of social distance and ventilation effectiveness in preventing COVID-19 transmission. Sustain. Cities Soc. 2020, 62, 102390. [Google Scholar] [CrossRef]
- Wei, J.; Wang, L.; Jin, T.; Li, Y.; Zhang, N. Effects of occupant behavior and ventilation on exposure to respiratory droplets in the indoor environment. Build. Environ. 2023, 229, 109973. [Google Scholar] [CrossRef]
- Morawska, L.; Cao, J. Airborne transmission of SARS-CoV-2: The world should face the reality. Environ. Int. 2020, 139, 105730. [Google Scholar] [CrossRef]
- Cortellessa, G.; Stabile, L.; Arpino, F.; Faleiros, D.E.; van den Bos, W.; Morawska, L.; Buonanno, G. Close proximity risk assessment for SARS-CoV-2 infection. Sci. Total Environ. 2021, 794, 148749. [Google Scholar] [CrossRef]
- Feng, Y.; Marchal, T.; Sperry, T.; Yi, H. Influence of wind and relative humidity on the social distancing effectiveness to prevent COVID-19 airborne transmission: A numerical study. J. Aerosol Sci. 2020, 147, 105585. [Google Scholar] [CrossRef]
- Zhu, Y.; Luo, M.; Ouyang, Q.; Huang, L.; Cao, B. Dynamic characteristics and comfort assessment of airflows in indoor environments: A review. Build. Environ. 2015, 91, 5–14. [Google Scholar] [CrossRef]
- Ai, Z.T.; Melikov, A.K. Airborne spread of expiratory droplet nuclei between the occupants of indoor environments: A review. Indoor Air 2018, 28, 500–524. [Google Scholar] [CrossRef]
- Balachandar, S.; Zaleski, S.; Soldati, A.; Ahmadi, G.; Bourouiba, L. Host-to-host airborne transmission as a multiphase flow problem for science-based social distance guidelines. Int. J. Multiph. Flow 2020, 132, 103439. [Google Scholar] [CrossRef]
- Xie, X.; Li, Y.; Chwang, A.T.Y.; Ho, P.L.; Seto, W.H. How far droplets can move in indoor environments—Revisiting the Wells evaporation-falling curve. Indoor Air 2007, 17, 211–225. [Google Scholar] [CrossRef] [PubMed]
- Lednicky, J.A.; Lauzard, M.; Fan, Z.H.; Jutla, A.; Tilly, T.B.; Gangwar, M.; Usmani, M.; Shankar, S.N.; Mohamed, K.; Eiguren-Fernandez, A.; et al. Viable SARS-CoV-2 in the air of a hospital room with COVID-19 patients. Int. J. Infect. Dis. 2020, 100, 476–482. [Google Scholar] [CrossRef]
- Stern, R.A.; Koutrakis, P.; Martins, M.A.G.; Lemos, B.; Dowd, S.E.; Sunderland, E.M.; Garshick, E. Characterization of hospital airborne SARS-CoV-2. Respir. Res. 2021, 22, 73. [Google Scholar] [CrossRef] [PubMed]
- Liu, L.; Li, Y.; Nielsen, P.V.; Wei, J.; Jensen, R.L. Short-range airborne transmission of expiratory droplets between two people. Indoor Air 2017, 27, 452–462. [Google Scholar] [CrossRef]
- Vuorinen, V.; Aarnio, M.; Alava, M.; Alopaeus, V.; Atanasova, N.; Auvinen, M.; Balasubramanian, N.; Bordbar, H.; Erästö, P.; Grande, R.; et al. Modelling aerosol transport and virus exposure with numerical simulations in relation to SARS-CoV-2 transmission by inhalation indoors. Saf. Sci. 2020, 130, 104866. [Google Scholar] [CrossRef]
- Buonanno, G.; Morawska, L.; Stabile, L. Quantitative assessment of the risk of airborne transmission of SARS-CoV-2 infection: Prospective and retrospective applications. Environ. Int. 2020, 145, 106112. [Google Scholar] [CrossRef]
- Ahmadzadeh, M.; Shams, M. Multi-objective performance assessment of HVAC systems and physical barriers on COVID-19 infection transmission in a high-speed train. J. Build. Eng. 2022, 53, 104544. [Google Scholar] [CrossRef]
- Motamedi, H.; Shirzadi, M.; Tominaga, Y.; Mirzaei, P.A. CFD modeling of airborne pathogen transmission of COVID-19 in confined spaces under different ventilation strategies. Sustain. Cities Soc. 2022, 76, 103397. [Google Scholar] [CrossRef] [PubMed]
- Peng, S.; Chen, Q.; Liu, E. The role of computational fluid dynamics tools on investigation of pathogen transmission: Prevention and control. Sci. Total Environ. 2020, 746, 142090. [Google Scholar] [CrossRef] [PubMed]
- Lavrinenko, A.; Fabregat, A.; Gisbert, F.; Pallares, J. Direct numerical simulation of pathogen-laden aerosol dispersion in buoyancy-driven turbulent flow within confined spaces. Int. Commun. Heat Mass Transf. 2024, 152, 107272. [Google Scholar] [CrossRef]
- Islam, M.T.; Chen, Y.; Seong, D.; Verhougstraete, M.; Son, Y.-J. Effects of recirculation and air change per hour on COVID-19 transmission in indoor settings: A CFD study with varying HVAC parameters. Heliyon 2024, 10, e35092. [Google Scholar] [CrossRef]
- Dbouk, T.; Drikakis, D. On airborne virus transmission in elevators and confined spaces. Phys. Fluids 2021, 33, 11905. [Google Scholar] [CrossRef]
- Luo, Q.; Ou, C.; Hang, J.; Luo, Z.; Yang, H.; Yang, X.; Zhang, X.; Li, Y.; Fan, X. Role of pathogen-laden expiratory droplet dispersion and natural ventilation explaining a COVID-19 outbreak in a coach bus. Build. Environ. 2022, 220, 109160. [Google Scholar] [CrossRef]
- Ou, C.; Hu, S.; Luo, K.; Yang, H.; Hang, J.; Cheng, P.; Hai, Z.; Xiao, S.; Qian, H.; Xiao, S.; et al. Insufficient ventilation led to a probable long-range airborne transmission of SARS-CoV-2 on two buses. Build. Environ. 2022, 207, 108414. [Google Scholar] [CrossRef]
- Shen, Y.; Li, C.; Dong, H.; Wang, Z.; Martinez, L.; Sun, Z.; Handel, A.; Chen, Z.; Chen, E.; Ebell, M.H.; et al. Community Outbreak Investigation of SARS-CoV-2 Transmission Among Bus Riders in Eastern China. JAMA Intern. Med. 2020, 180, 1665–1671. [Google Scholar] [CrossRef]
- Azuma, K.; Yanagi, U.; Kagi, N.; Kim, H.; Ogata, M.; Hayashi, M. Environmental factors involved in SARS-CoV-2 transmission: Effect and role of indoor environmental quality in the strategy for COVID-19 infection control. Environ. Health Prev. Med. 2020, 25, 66. [Google Scholar] [CrossRef]
- Scungio, M.; Parlani, G.; Falcucci, G. Influence of the ventilation strategy on the respiratory droplets dispersion inside a coach bus: CFD approach. J. Phys. Conf. Ser. 2022, 2385, 012094. [Google Scholar] [CrossRef]
- Bertone, M.; Mikszewski, A.; Stabile, L.; Riccio, G.; Cortellessa, G.; d’Ambrosio, F.R.; Papa, V.; Morawska, L.; Buonanno, G. Assessment of SARS-CoV-2 airborne infection transmission risk in public buses. Geosci. Front. 2022, 13, 101398. [Google Scholar] [CrossRef]
- Di Carlo, P.; Chiacchiaretta, P.; Sinjari, B.; Aruffo, E.; Stuppia, L.; De Laurenzi, V.; Di Tomo, P.; Pelusi, L.; Potenza, F.; Veronese, A.; et al. Air and surface measurements of SARS-CoV-2 inside a bus during normal operation. PLoS ONE 2020, 15, e0235943. [Google Scholar] [CrossRef] [PubMed]
- Mirzaie, M.; Lakzian, E.; Khan, A.; Warkiani, M.E.; Mahian, O.; Ahmadi, G. COVID-19 spread in a classroom equipped with partition—A CFD approach. J. Hazard. Mater. 2021, 420, 126587. [Google Scholar] [CrossRef]
- Makihira, Y.; Okumura, Y. Ventilation design of tour buses for suppressing airborne transmission and highly efficient virus elimination in post COVID-19 period. Mech. Eng. J. 2024, 11, 23–00523. [Google Scholar] [CrossRef]
- EN 14750-1:2006; Railway Applications—Air Conditioning for Urban and Suburban Rolling Stock—Part 1: Comfort Parameters. European Committee for Standardization (CEN): Brussels, Belgium, 2006.
- Adeniran, J.A.; Mohammed, I.A.; Muniru, O.I.; Oloyede, T.; Sonibare, O.O.; Yusuf, M.-N.O.; Abdulraheem, K.A.; Odediran, E.T.; Yusuf, R.O.; Sonibare, J.A. Indoor transmission dynamics of expired SARS-CoV-2 virus in a model African hospital ward. J. Environ. Health Sci. Eng. 2021, 19, 331–341. [Google Scholar] [CrossRef]
- Bhattacharyya, S.; Dey, K.; Paul, A.R.; Biswas, R. A novel CFD analysis to minimize the spread of COVID-19 virus in hospital isolation room. Chaos Solitons Fractals 2020, 139, 110294. [Google Scholar] [CrossRef]
- Oroná, J.D.; Zorrilla, S.E.; Peralta, J.M. Computational fluid dynamics combined with discrete element method and discrete phase model for studying a food hydrofluidization system. Food Bioprod. Process. 2017, 102, 278–288. [Google Scholar] [CrossRef]
- Yan, Y.; Li, X.; Fang, X.; Yan, P.; Tu, J. Transmission of COVID-19 virus by cough-induced particles in an airliner cabin section. Eng. Appl. Comput. Fluid Mech. 2021, 15, 934–950. [Google Scholar] [CrossRef]
- Zhang, N.; Chen, W.; Chan, P.-T.; Yen, H.-L.; Tang, J.W.-T.; Li, Y. Close contact behavior in indoor environment and transmission of respiratory infection. Indoor Air 2020, 30, 645–661. [Google Scholar] [CrossRef]
- Chattopadhyay, K.; Isac, M.; Guthrie, R.I.L. Considerations in Using the Discrete Phase Model (DPM). Steel Res. Int. 2011, 82, 1287–1289. [Google Scholar] [CrossRef]
- McCombs, R.M.; Rawls, W.E. Density gradient centrifugation of rubella virus. J. Virol. 1968, 2, 409–414. [Google Scholar] [CrossRef]
- Pattison, M.P.; Harkness, J.W. Purification and preliminary characterisation of a pathogenic strain of infectious bursal disease virus. Avian Pathol. 1975, 4, 175–187. [Google Scholar] [CrossRef]
- Ritchie, A.E.; Deshmukh, D.R.; Larsen, C.T.; Pomeroy, B.S. Electron microscopy of coronavirus like particles characteristic of turkey bluecomb disease. Avian Dis. 1973, 17, 546–558. [Google Scholar] [CrossRef]
- Tarpagkou, R.; Pantokratoras, A. CFD methodology for sedimentation tanks: The effect of secondary phase on fluid phase using DPM coupled calculations. Appl. Math. Model. 2013, 37, 3478–3494. [Google Scholar] [CrossRef]
- Pirouz, B.; Mazzeo, D.; Palermo, S.A.; Naghib, S.N.; Turco, M.; Piro, P. CFD investigation of vehicle’s ventilation systems and analysis of ach in typical airplanes, cars, and buses. Sustain. Switz. 2021, 13, 6799. [Google Scholar] [CrossRef]
- Buonanno, G.; Stabile, L.; Morawska, L. Estimation of airborne viral emission: Quanta emission rate of SARS-CoV-2 for infection risk assessment. Environ. Int. 2020, 141, 105794. [Google Scholar] [CrossRef]
- Paz, C.; Suárez, E.; Concheiro, M.; Porteiro, J. CFD transient simulation of a breathing cycle in an oral-nasal extrathoracic model. J. Appl. Fluid Mech. 2017, 10, 777–784. [Google Scholar] [CrossRef]
- Mei, D.; Duan, W.; Li, Y.; Li, J.; Chen, W. Evaluating risk of SARS-CoV-2 infection of the elderly in the public bus under personalized air supply. Sustain. Cities Soc. 2022, 84, 104011. [Google Scholar] [CrossRef] [PubMed]
- Rajendran, R.R.; Turcanu, F.E.; Tawfiqur, R.M.D.; Askarpour, H. Computational fluid dynamic analysis of corona virus patients breathing in an airplane. Phys. Fluids 2023, 35, 035129. [Google Scholar] [CrossRef]
- Te Lindert, B.H.W.; Van Someren, E.J.W. Chapter 21—Skin temperature, sleep, and vigilance. In Handbook of Clinical Neurology; Romanovsky, A.A., Ed.; Elsevier: Amsterdam, The Netherlands, 2018; Volume 156, pp. 353–365. [Google Scholar] [CrossRef]
- Scungio, M.; Crognale, S.; Lelli, D.; Carota, E.; Calabrò, G. Characterization of the bioaerosol in a natural thermal cave and assessment of the risk of transmission of SARS-CoV-2 virus. Environ. Geochem. Health 2022, 44, 2009–2020. [Google Scholar] [CrossRef]
- Grossi, G.; Arpino, F.; Buonanno, G.; Cortellessa, G.; Moretti, L.; Nagano, H.; Stabile, L. A Eulerian-Lagrangian approach for the CFD analysis of airborne disease transmission in a car cabin. J. Phys. Conf. Ser. 2022, 2177, 012015. [Google Scholar] [CrossRef]
- Arpino, F.; Grossi, G.; Cortellessa, G.; Mikszewski, A.; Morawska, L.; Buonanno, G.; Stabile, L. Risk of SARS-CoV-2 in a car cabin assessed through 3D CFD simulations. Indoor Air 2022, 32, 13012. [Google Scholar] [CrossRef]
- Dhawan, S.; Biswas, P. Aerosol Dynamics Model for Estimating the Risk from Short-Range Airborne Transmission and Inhalation of Expiratory Droplets of SARS-CoV-2. Environ. Sci. Technol. 2021, 55, 8987–8999. [Google Scholar] [CrossRef]
- Scungio, M.; Parlani, G. Characterization of aerosol and assessment of the risk of transmission of SARS-CoV-2 VIRUS in a natural thermal cave. E3S Web Conf. 2021, 312, 12004. [Google Scholar]
- Johnson, G.R.; Morawska, L.; Ristovski, Z.D.; Hargreaves, M.; Mengersen, K.; Chao, C.Y.H.; Wan, M.P.; Li, Y.; Xie, X.; Katoshevski, D.; et al. Modality of human expired aerosol size distributions. J. Aerosol Sci. 2011, 42, 839–851. [Google Scholar] [CrossRef]
- Morawska, L.; Johnson, G.R.; Ristovski, Z.D.; Hargreaves, M.; Mengersen, K.; Corbett, S.; Chao, C.Y.H.; Li, Y.; Katoshevski, D. Size distribution and sites of origin of droplets expelled from the human respiratory tract during expiratory activities. J. Aerosol Sci. 2009, 40, 256–269. [Google Scholar] [CrossRef]
- Gammaitoni, L.; Nucci, M.C. Using a Mathematical Model to Evaluate the Efficacy of TB Control Measures. Emerg. Infect. Dis. 1997, 3, 335–342. [Google Scholar] [CrossRef] [PubMed]
- Pan, Y.; Zhang, D.; Yang, P.; Poon, L.L.M.; Wang, Q. Viral load of SARS-CoV-2 in clinical samples. Lancet Infect. Dis. 2020, 20, 411–412. [Google Scholar] [CrossRef] [PubMed]
- To, K.K.-W.; Tsang, O.T.-Y.; Leung, W.-S.; Tam, A.R.; Wu, T.-C.; Lung, D.C.; Yip, C.C.-Y.; Cai, J.-P.; Chan, J.M.-C.; Chik, T.S.-H.; et al. Temporal profiles of viral load in posterior oropharyngeal saliva samples and serum antibody responses during infection by SARS-CoV-2: An observational cohort study. Lancet Infect. Dis. 2020, 20, 565–574. [Google Scholar] [CrossRef] [PubMed]
- Wölfel, R.; Corman, V.M.; Guggemos, W.; Seilmaier, M.; Zange, S.; Müller, M.A.; Niemeyer, D.; Jones, T.C.; Vollmar, P.; Rothe, C.; et al. Virological assessment of hospitalized patients with COVID-2019. Nature 2020, 581, 465–469. [Google Scholar] [CrossRef]
- Teyssou, E.; Delagrèverie, H.; Visseaux, B.; Lambert-Niclot, S.; Brichler, S.; Ferre, V.; Marot, S.; Jary, A.; Todesco, E.; Schnuriger, A.; et al. The Delta SARS-CoV-2 variant has a higher viral load than the Beta and the historical variants in nasopharyngeal samples from newly diagnosed COVID-19 patients. J. Infect. 2021, 83, e1–e3. [Google Scholar] [CrossRef] [PubMed]
- Sze To, G.N.; Chao, C.Y.H. Review and comparison between the Wells-Riley and dose-response approaches to risk assessment of infectious respiratory diseases. Indoor Air 2010, 20, 2–16. [Google Scholar] [CrossRef] [PubMed]
- Gale, P. Thermodynamic equilibrium dose-response models for MERS-CoV infection reveal a potential protective role of human lung mucus but not for SARS-CoV-2. Microb. Risk Anal. 2020, 16, 100140. [Google Scholar] [CrossRef] [PubMed]
- Rohles, F.H., Jr.; Woods, J.E.; Nevins, R.G. Effects of air movement and temperature on the thermal sensations of sedentary man. ASHRAE Trans. 1974, 80, 101–119. [Google Scholar]
- Cortellessa, G.; Canale, C.; Stabile, L.; Grossi, G.; Buonanno, G.; Arpino, F. Effectiveness of a portable personal air cleaner in reducing the airborne transmission of respiratory pathogens. Build. Environ. 2023, 235, 110222. [Google Scholar] [CrossRef]








| Boundary Name | BC Type | BC Value | DPM BC |
|---|---|---|---|
| Mouth (infected subject) | Velocity inlet | UDF, T = 310 K | escape |
| Mouth (susceptible subject) | Velocity inlet | UDF, T = 310 K | escape |
| General air-conditioning vents | Mass flow inlet (Q) | T = 298 K, Q = refer to Table 3 | escape |
| Personal air-conditioning vents | Mass flow inlet (Q) | T = 298 K, Q = refer to Table 3 | escape |
| Passengers’ body | Wall | Standard Wall Function, no-slip wall | escape |
| Exhaust vents | Pressure Outlet | 0 Pa | escape |
| Seats and bus surfaces | Wall | Standard Wall Function, no-slip wall | escape |
| Breathing | Speaking | ||||
|---|---|---|---|---|---|
| Particle Diameter (Size Range), dpt [µm] | dN/dlog(dpt) [part/cm3] | dV/dlog(dpt) [µL/cm3] | Particle Diameter (Size Range), dpt [µm] | dN/dlog(dpt) [part/cm3] | dV/dlog(dpt) [µL/cm3] |
| 0.5 µm (<0.7 µm) | 0.312 | 2.33 × 10−11 | 1 µm (<1 µm) | 0.266 | 1.39 × 10−10 |
| 0.9 µm (0.7 to 1.2 µm) | 0.016 | 5.80 × 10−12 | 1.9 µm (1.0 to 3.8 µm) | 0.035 | 1.33 × 10−10 |
| 1.5 µm (1.2 to 2.0 µm) | 0.005 | 1.03 × 10−11 | 5.0 µm (3.8 to 6.6 µm) | 0.013 | 8.75 × 10−10 |
| 3.4 µm (2.0 to 5.9 µm) | 0.001 | 2.15 × 10−11 | 9.81 µm (6.6 to 14.7 µm) | 0.016 | 8.08 × 10−9 |
| 7.7 µm (5.9 to 10.1 µm) | <0.001 | 3.44 × 10−15 | 16.8 µm (14.7 to 19.2 µm) | 0.015 | 3.83 × 10−8 |
| Scenarios | Respiratory Activity of the Infected Subject | HVAC Ventilation Mode | HVAC Flow Rate [m3/h] |
|---|---|---|---|
| S1 | Breathing | Only general ventilation | 500, 1000, 2000 |
| S2 | Breathing | General + personal ventilation | 250+250, 500+500, 1000+1000 |
| S3 | Speaking | Only general ventilation | 500, 1000, 2000 |
| S4 | Speaking | General + personal ventilation | 250+250, 500+500, 1000+1000 |
| Particle Volume Concentration Inside the Bus [nL/m3] | ||||||
|---|---|---|---|---|---|---|
| Particle Diameter [μm] | S1500 | S11000 | S12000 | S2250+250 | S2500+500 | S21000+1000 |
| 0.52 | 1.11 × 10−6 | 5.61 × 10−7 | 3.01 × 10−7 | 4.87 × 10−7 | 1.59 × 10−7 | 6.49 × 10−8 |
| 0.89 | 2.78 × 10−7 | 1.40 × 10−7 | 7.55 × 10−8 | 1.21 × 10−7 | 3.94 × 10−8 | 1.62 × 10−8 |
| 1.53 | 4.98× 10−7 | 2.50 × 10−7 | 1.33 × 10−7 | 2.17 × 10−7 | 7.10 × 10−8 | 2.85 × 10−8 |
| 3.44 | 2.09 × 10−6 | 1.04 × 10−6 | 5.60 × 10−7 | 9.05 × 10−7 | 2.95 × 10−7 | 1.20 × 10−7 |
| 7.71 | 1.69 × 10−10 | 8.47 × 10−11 | 4.46 × 10−11 | 7.13 × 10−11 | 2.28 × 10−11 | 9.25 × 10−12 |
| Particle Volume Concentration Inside the Bus [nL/m3] | ||||||
|---|---|---|---|---|---|---|
| Particle Diameter [μm] | S3500 | S31000 | S32000 | S4250+250 | S4500+500 | S41000+1000 |
| 1.00 | 9.00 × 10−5 | 6.11 × 10−5 | 4.23 × 10−5 | 6.47 × 10−5 | 2.90 × 10−5 | 2.24 × 10−5 |
| 1.94 | 6.17 × 10−5 | 4.20 × 10−5 | 2.89 × 10−5 | 4.45 × 10−5 | 1.99 × 10−5 | 1.51 × 10−5 |
| 5.00 | 1.63 × 10−4 | 1.13 × 10−4 | 7.65 × 10−5 | 1.17 × 10−4 | 5.24 × 10−5 | 4.02 × 10−5 |
| 9.81 | 2.26 × 10−3 | 1.60 × 10−3 | 1.08 × 10−3 | 1.59 × 10−3 | 7.23 × 10−4 | 5.16 × 10−4 |
| 16.81 | 2.95 × 10−3 | 2.38 × 10−3 | 1.72 × 10−3 | 2.16 × 10−3 | 1.07 × 10−3 | 6.35 × 10−4 |
| Inhaled Volume of Particles [nL] | |||||
|---|---|---|---|---|---|
| Scenario | Most Exposed Subject | t5-min | t30-min | t60-min | t120-min |
| S1500 | M5 | 3.74 × 10−7 | 4.05 × 10−6 | 8.50 × 10−6 | 1.73 × 10−5 |
| S11000 | M5 | 2.01 × 10−7 | 1.03 × 10−6 | 2.03 × 10−6 | 4.03 × 10−6 |
| S12000 | M5 | 1.28 × 10−7 | 1.03 × 10−6 | 2.13 × 10−6 | 4.30 × 10−6 |
| S2250+250 | M5 | 1.33 × 10−7 | 8.75 × 10−7 | 1.77 × 10−6 | 3.55 × 10−6 |
| S2500+500 | M5 | 3.04 × 10−8 | 1.68 × 10−7 | 3.33 × 10−7 | 6.63 × 10−7 |
| S21000+1000 | M5 | 2.69 × 10−9 | 1.35 × 10−8 | 2.64 × 10−8 | 5.23 × 10−8 |
| Individual Infection Risk (%) | |||||
| Scenario | Most Exposed Subject | t5-min | t30-min | t60-min | t120-min |
| S1500 | M5 | <0.01 | <0.01 | <0.01 | <0.01 |
| S11000 | M5 | <0.01 | <0.01 | <0.01 | <0.01 |
| S12000 | M5 | <0.01 | <0.01 | <0.01 | <0.01 |
| S2250+250 | M5 | <0.01 | <0.01 | <0.01 | <0.01 |
| S2500+500 | M5 | <0.01 | <0.01 | <0.01 | <0.01 |
| S21000+1000 | M5 | <0.01 | <0.01 | <0.01 | <0.01 |
| Inhaled Volume of Particles [nL] | |||||
|---|---|---|---|---|---|
| Scenario | Most Exposed Subject | t5-min | t30-min | t60-min | t120-min |
| S3500 | M6 | 2.70 × 10−3 | 1.90 × 10−2 | 3.87 × 10−2 | 7.78 × 10−2 |
| S31000 | M5 | 6.25 × 10−3 | 3.83 × 10−2 | 7.66 × 10−2 | 1.53 × 10−1 |
| S32000 | M5 | 1.18 × 10−3 | 7.53 × 10−3 | 1.52 × 10−2 | 3.03 × 10−2 |
| S4250+250 | M5 | 1.50 × 10−3 | 1.05 × 10−2 | 2.13 × 10−2 | 4.30 × 10−2 |
| S4500+500 | M5 | 9.50 × 10−4 | 6.13 × 10−3 | 1.23 × 10−2 | 2.48 × 10−2 |
| S41000+1000 | M2 | 6.20 × 10−4 | 4.37 × 10−3 | 8.83 × 10−3 | 1.78 × 10−2 |
| Individual Infection Risk (%) | |||||
| Scenario | Most Exposed Subject | t5-min | t30-min | t60-min | t120-min |
| S3500 | M6 | 0.48 | 3.34 | 6.67 | 12.98 |
| S31000 | M5 | 1.11 | 6.60 | 12.78 | 23.94 |
| S32000 | M5 | 0.21 | 1.33 | 2.67 | 5.28 |
| S4250+250 | M5 | 0.27 | 1.86 | 3.74 | 7.39 |
| S4500+500 | M5 | 0.17 | 1.09 | 2.18 | 4.32 |
| S41000+1000 | M2 | 0.11 | 0.78 | 1.57 | 3.14 |
| Inhaled Volume [nL] | Individual Infection Risk (%) | ||
|---|---|---|---|
| Scenario | Less Exposed Subject | t120-min | t120-min |
| S3500 | M4 | 4.27 × 10−5 | ≤0.01 |
| S31000 | M2 | 6.69 × 10−5 | ≤0.01 |
| S32000 | M13 | 1.23 × 10−5 | ≤0.01 |
| S4250+250 | M10 | 5.58 × 10−6 | ≤0.01 |
| S4500+500 | M12 | 2.25 × 10−7 | ≤0.01 |
| S41000+1000 | M4 | 1.53 × 10−7 | ≤0.01 |
Disclaimer/Publisher’s Note: The statements, opinions and data contained in all publications are solely those of the individual author(s) and contributor(s) and not of MDPI and/or the editor(s). MDPI and/or the editor(s) disclaim responsibility for any injury to people or property resulting from any ideas, methods, instructions or products referred to in the content. |
© 2024 by the authors. Licensee MDPI, Basel, Switzerland. This article is an open access article distributed under the terms and conditions of the Creative Commons Attribution (CC BY) license (https://creativecommons.org/licenses/by/4.0/).
Share and Cite
Scungio, M.; Parlani, G.; Buonanno, G.; Stabile, L. CFD Evaluation of Respiratory Particle Dispersion and Associated Infection Risk in a Coach Bus with Different Ventilation Configurations. Atmosphere 2024, 15, 1316. https://doi.org/10.3390/atmos15111316
Scungio M, Parlani G, Buonanno G, Stabile L. CFD Evaluation of Respiratory Particle Dispersion and Associated Infection Risk in a Coach Bus with Different Ventilation Configurations. Atmosphere. 2024; 15(11):1316. https://doi.org/10.3390/atmos15111316
Chicago/Turabian StyleScungio, Mauro, Giulia Parlani, Giorgio Buonanno, and Luca Stabile. 2024. "CFD Evaluation of Respiratory Particle Dispersion and Associated Infection Risk in a Coach Bus with Different Ventilation Configurations" Atmosphere 15, no. 11: 1316. https://doi.org/10.3390/atmos15111316
APA StyleScungio, M., Parlani, G., Buonanno, G., & Stabile, L. (2024). CFD Evaluation of Respiratory Particle Dispersion and Associated Infection Risk in a Coach Bus with Different Ventilation Configurations. Atmosphere, 15(11), 1316. https://doi.org/10.3390/atmos15111316

