Spatial and Temporal Patterns of Rainfall Erosivity in Southern Africa in Extreme Wet and Dry Years
Abstract
1. Introduction
1.1. Rainfall Climatology and Applications to Erosivity in Africa
1.2. Approaches to Evaluating Rainfall Erosivity
1.3. Limitations of Previous Work and This Study’s Aim
2. Materials and Methods
2.1. Study Area
2.2. Datasets and Analytical Methods Used
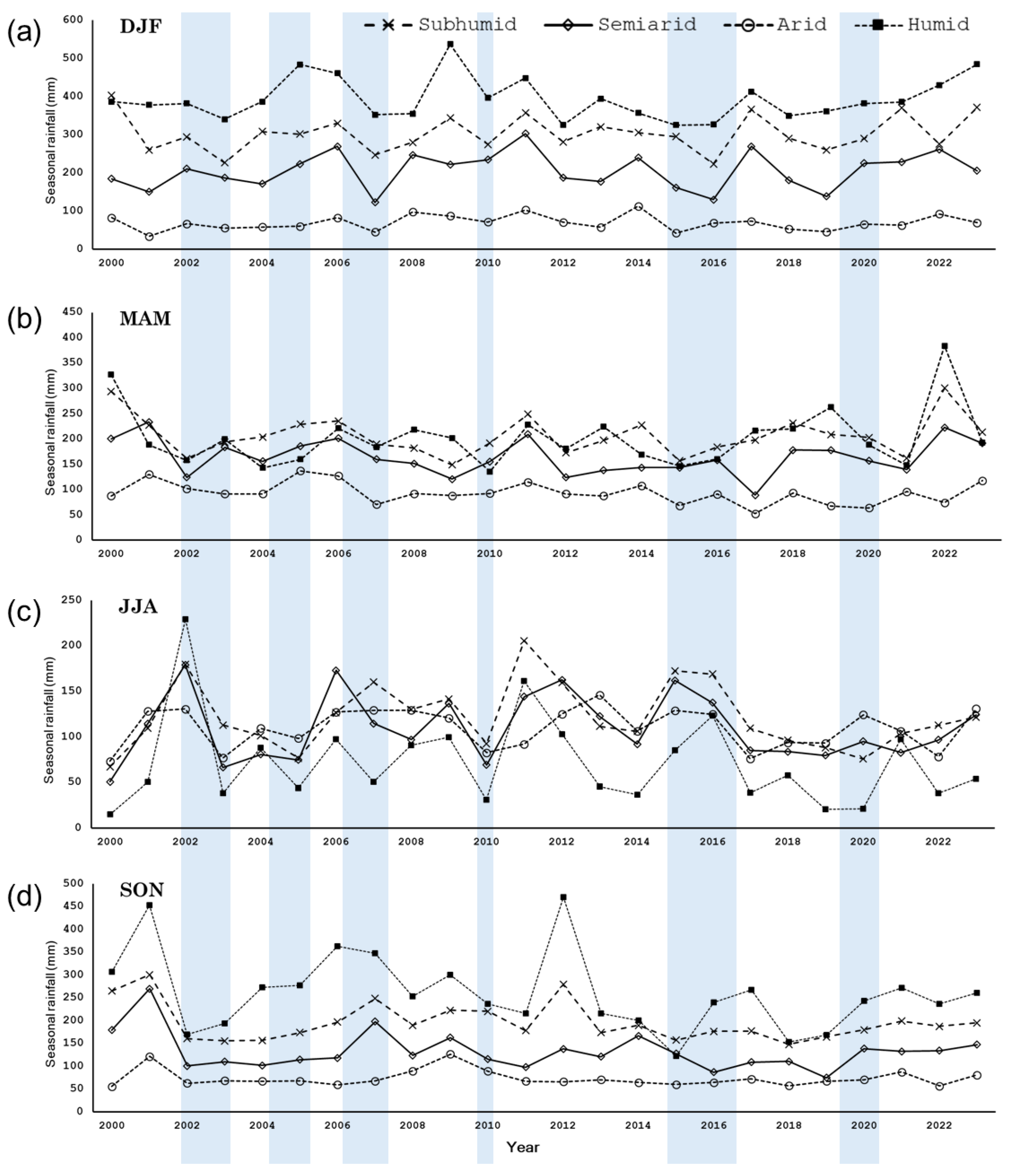
3. Results and Interpretation
3.1. SPI Values for the Different Rainfall Regions
3.2. PCI and MFI Variability in the Study Area
3.3. Seasonality of Rainfall and Resulting PCI and MFI Values
4. Discussion
5. Conclusions
Author Contributions
Funding
Institutional Review Board Statement
Informed Consent Statement
Data Availability Statement
Conflicts of Interest
References
- Adeola, O.M.; Masinde, M.; Botai, J.O.; Adeola, A.M.; Botai, C.M. An Analysis of Precipitation Extreme Events Based on the SPI and EDI Values in the Free State Province, South Africa. Water 2021, 13, 3058. [Google Scholar] [CrossRef]
- Ullah, A.; Pohl, B.; Pergaud, J.; Dieppois, B.; Rouault, M. Intraseasonal descriptors and extremes in South African rainfall. Part I: Summer climatology and statistical characteristics. Int. J. Climatol. 2022, 42, 4538–4563. [Google Scholar] [CrossRef]
- Munzhedzi, L.; Mugari, E.; Nethengwe, N.S.; Gumbo, A.D. Trends in extreme rainfall and their relationship to flooding episodes in Vhembe district, South Africa. Environ. Res. Commun. 2024, 6, 095016. [Google Scholar] [CrossRef]
- Ogwang, B.A.; Ongoma, V.; Shilenje, Z.W.; Ramotubei, T.S.; Letuma, M.; Ngaina, J.N. Influence of Indian Ocean dipole on rainfall variability and extremes over southern Africa. Mausam 2020, 71, 637–648. [Google Scholar]
- Mpungose, N.; Thoithi, W.; Blamey, R.C.; Reason, C.J.C. Extreme rainfall events in southeastern Africa during the summer. Theor. Appl. Climatol. 2022, 150, 185–201. [Google Scholar] [CrossRef]
- Rapolaki, R.S.; Blamey, R.C.; Hermes, J.C.; Reason, C.J.C. Moisture sources associated with heavy rainfall over the Limpopo River Basin, southern Africa. Clim. Dyn. 2020, 55, 1473–1487. [Google Scholar] [CrossRef]
- Jury, M.R. A Survey of African Weather and Climate Extremes. Climate 2024, 12, 65. [Google Scholar] [CrossRef]
- Botai, C.M.; Botai, J.O.; Zwane, N.N.; Hayombe, P.; Wamiti, E.K.; Makgoale, T.; Murambadoro, M.D.; Adeola, A.M.; Ncongwane, K.P.; de Wit, J.P.; et al. Hydroclimatic Extremes in the Limpopo River Basin, South Africa, under Changing Climate. Water 2020, 12, 3299. [Google Scholar] [CrossRef]
- Makungo, R.; Mashinye, M.D. Long-term trends and changes in rainfall magnitude and duration in a semi-arid catchment, South Africa. J. Water Clim. Chang. 2022, 13, 2319. [Google Scholar] [CrossRef]
- Cook, C.; Reason, C.J.C.; Hewitson, B.C. Wet and dry spells within particularly wet and dry summers in the South African summer rainfall region. Clim. Res. 2004, 26, 17–31. [Google Scholar] [CrossRef]
- du Plessis, J.A.; Schloms, B. An investigation into the evidence of seasonal rainfall pattern shifts in the Western Cape, South Africa. J. S. Afr. Inst. Civ. Eng. 2017, 59, 47–55. [Google Scholar] [CrossRef]
- Lehmann, J.; Mempel, F.; Coumou, D. Increased occurrence of record-wet and record-dry months reflect changes in mean rainfall. Geophys. Res. Lett. 2018, 45, 13468–13476. [Google Scholar] [CrossRef]
- Kruger, A.C. Observed trends in daily precipitation indices in South Africa: 1910–2004. Int. J. Climatol. 2006, 26, 2275–2285. [Google Scholar] [CrossRef]
- McBride, C.M.; Kruger, A.C.; Dyson, L. Changes in extreme daily rainfall characteristics in South Africa: 1921–2020. Weather Clim. Extrem. 2022, 38, 100517. [Google Scholar] [CrossRef]
- Bradshaw, C.D.; Pope, E.; Kay, G.; Davie, J.C.S.; Cottrell, A.; Bacon, J.; Cosse, A.; Dunstone, N.; Jennings, S.; Challinor, A.; et al. Unprecedented climate extremes in South Africa and implications for maize production. Environ. Res. Lett. 2022, 17, 084028. [Google Scholar] [CrossRef]
- Le Roux, J.J.; Morgenthal, T.L.; Malherbe, J.; Pretorius, D.J.; Sumner, P.D. Water erosion prediction at a national scale for South Africa. Water SA 2008, 34, 305–314. [Google Scholar] [CrossRef]
- Phinzi, K.; Ngetar, N.S.; Ebhuoma, O. Soil erosion risk assessment in the Umzintlava catchment (T32E), Eastern Cape, South Africa, using RUSLE and random forest algorithm. S. Afr. Geogr. J. 2021, 103, 139–162. [Google Scholar] [CrossRef]
- Vrieling, A.; Sterk, G.; de Jong, S.M. Satellite-based estimation of rainfall erosivity for Africa. J. Hydrol. 2010, 395, 235–241. [Google Scholar] [CrossRef]
- Diodato, N.; Knight, J.; Bellochi, G. Reduced complexity model for assessing patterns of rainfall erosivity in Africa. Glob. Planet Chang. 2013, 100, 183–193. [Google Scholar] [CrossRef]
- Panagos, P.; Borrelli, P.; Meusburger, K.; Yu, B.; Klik, A.; Lim, K.J.; Yang, J.E.; Ni, J.; Miao, C.; Chattopadhyay, N.; et al. Global rainfall erosivity assessment based on high-temporal resolution rainfall records. Sci. Rep. 2017, 7, 4175. [Google Scholar] [CrossRef]
- Panagos, P.; Hengl, T.; Wheeler, I.; Marcinkowski, P.; Rukeza, M.B.; Yu, B.; Yang, J.E.; Miao, C.; Chattopadhyay, N.; Sadeghi, S.H.; et al. Global rainfall erosivity database (GloREDa) and monthly R-factor data at 1 km spatial resolution. Data Brief 2023, 50, 109482. [Google Scholar] [CrossRef] [PubMed]
- Nyssen, J.; Vandenreyken, H.; Poesen, J.; Moeyersons, J.; Deckers, J.; Haile, M.; Salles, C.; Govers, G. Rainfall erosivity and variability in the Northern Ethiopian Highlands. J. Hydrol. 2005, 311, 172–187. [Google Scholar] [CrossRef]
- Yin, S.; Xie, Y.; Nearing, M.A.; Wang, C. Estimation of rainfall erosivity using 5- to 60-minute fixed-interval rainfall data from China. CATENA 2007, 70, 306–312. [Google Scholar] [CrossRef]
- Salako, F.K. Rainfall variability and kinetic energy in Southern Nigeria. Clim. Chang. 2008, 86, 151–164. [Google Scholar] [CrossRef]
- Angulo-Martínez, M.; Beguería, S. Estimating rainfall erosivity from daily precipitation records: A comparison among methods using data from the Ebro Basin (NE Spain). J. Hydrol. 2009, 379, 111–121. [Google Scholar] [CrossRef]
- Tamene, L.; Park, S.J.; Dikau, R.; Vlek, P.L.G. Analysis of factors determining sediment yield variability in the highlands of northern Ethiopia. Geomorphology 2006, 76, 76–91. [Google Scholar] [CrossRef]
- Fenta, A.A.; Yasuda, H.; Shimizu, K.; Haregeweyn, N.; Kawai, T.; Sultan, D.; Ebabu, K.; Belay, A.S. Spatial distribution and temporal trends of rainfall and erosivity in the Eastern Africa region. Hydrol. Process. 2017, 31, 4555–4567. [Google Scholar] [CrossRef]
- Meddi, M.; Toumi, S.; Assani, A.A. Spatial and temporal variability of the rainfall erosivity factor in Northern Algeria. Arab. J. Geosci. 2016, 9, 282. [Google Scholar] [CrossRef]
- Hallouz, F.; Meddi, M.; Mahe, G.; Rahmani, S.E.A.; Zettam, A. Hybrid Analysis of Rainfall Erosivity in Northern Algeria: Integrating Empirical and Modeling Approaches. Pure Appl. Geophys. 2023, 180, 3995–4023. [Google Scholar] [CrossRef]
- Wischmeier, W.H.; Smith, D.D. Predicting Rainfall Erosion Losses—A Guide to Conservation Planning; USDA Handbook 537: Washington, DC, USA, 1978. [Google Scholar]
- Kinnell, P.I.A. Event soil loss, runoff and the Universal Soil Loss Equation family of models: A review. J. Hydrol. 2010, 385, 384–397. [Google Scholar] [CrossRef]
- Haile, G.W.; Fetene, M. Assessment of soil erosion hazard in Kilie catchment, East Shoa, Ethiopia. Land Degrad. Develop. 2012, 23, 293–306. [Google Scholar] [CrossRef]
- Vrieling, A.; Hoedjes, J.C.B.; van der Velde, M. Towards large-scale monitoring of soil erosion in Africa: Accounting for the dynamics of rainfall erosivity. Glob. Planet. Chang. 2014, 115, 33–43. [Google Scholar] [CrossRef]
- Munka, C.; Cruz, G.; Caffera, R.M. Long term variation in rainfall erosivity in Uruguay: A preliminary Fournier approach. GeoJournal 2007, 70, 257–262. [Google Scholar] [CrossRef]
- Elagib, N.A. Changing rainfall, seasonality and erosivity in the hyper-arid zone of Sudan. Land Degrad. Develop. 2011, 22, 505–512. [Google Scholar] [CrossRef]
- Meshesha, D.T.; Tsunekawa, A.; Tsubo, M.; Haregeweyn, N.; Adgo, E. Evaluating spatial and temporal variations of rainfall erosivity, case of Central Rift Valley of Ethiopia. Theor. Appl. Climatol. 2015, 119, 515–522. [Google Scholar] [CrossRef]
- Muhire, I.; Ahmed, F.; Abd Elbasit, M.M.M. Spatio-temporal variations of rainfall erosivity in Rwanda. J. Soil. Sci. Env. Manag. 2015, 6, 72–83. [Google Scholar]
- Liebmann, B.; Bladé, I.; Kiladis, G.N.; Carvalho, L.M.V.; Senay, G.B.; Allured, D.; Leroux, S.; Funk, C. Seasonality of African Precipitation from 1996 to 2009. J. Clim. 2012, 25, 4304–4322. [Google Scholar] [CrossRef]
- Nicholson, S.E.; Some, B.; McCollum, J.; Nelkin, E.; Klotter, D.; Berte, Y.; Diallo, B.M.; Gaye, I.; Kpabeba, G.; Ndiaye, O.; et al. Validation of TRMM and Other Rainfall Estimates with a High-Density Gauge Dataset for West Africa. Part II: Validation of TRMM Rainfall Products. J. Appl. Meteorol. 2003, 42, 1355–1368. [Google Scholar] [CrossRef]
- Smithen, A.A.; Schulze, R.E. The spatial distribution in southern Africa of rainfall erosivity for use in the Universal Soil Loss Equation. Water SA 1982, 8, 74–78. [Google Scholar]
- Roffe, S.J.; Fitchett, J.M.; Curtis, C.J. Classifying and mapping rainfall seasonality in South Africa: A review. S. Afr. Geogr. J. 2019, 101, 158–174. [Google Scholar] [CrossRef]
- Botai, C.M.; Botai, J.O.; Adeola, A.M. Spatial distribution of temporal precipitation contrasts in South Africa. S. Afr. J. Sci. 2018, 114, 70–78. [Google Scholar] [CrossRef] [PubMed]
- Dube, L.T. Climate of Southern Africa. S. Afr. Geogr. J. 2002, 84, 125–138. [Google Scholar] [CrossRef]
- Jury, M.R. Climate trends across South Africa since 1980. Water SA 2017, 43, 297–307. [Google Scholar] [CrossRef]
- Botai, C.M.; Botai, J.O.; de Wit, J.P.; Ncongwane, K.P.; Adeola, A.M. Drought characteristics over the Western Cape Province, South Africa. Water 2017, 9, 876. [Google Scholar] [CrossRef]
- Harmse, C.J.; Du Toit, J.C.O.; Swanepoel, A.; Gerber, H.J. Trend analysis of long-term rainfall data in the Upper Karoo of South Africa. Trans. R. Soc. S. Afr. 2021, 76, 1–12. [Google Scholar] [CrossRef]
- Dyson, L.L. Heavy daily-rainfall characteristics over the Gauteng Province. Water SA 2009, 35, 627–638. [Google Scholar] [CrossRef]
- Grab, S.W.; Nash, D.J. A new flood chronology for KwaZulu-Natal (1836–2022): The April 2022 Durban floods in historical context. S. Afr. Geogr. J. 2024, 106, 476–497. [Google Scholar] [CrossRef]
- Nel, W.; Sumner, P.D. Intensity, energy and erosivity attributes of rainstorms in the KwaZulu-Natal Drakensberg, South Africa. S. Afr. J. Sci. 2007, 103, 398–402. [Google Scholar]
- UNEP. World Atlas of Desertification; Edward Arnold: London, UK, 1992. [Google Scholar]
- McKee, T.B.; Doesken, N.J.; Kleist, J. The relationship of drought frequency and duration to time scales. In Proceedings of the 8th Conference on Applied Climatology, Anaheim, CA, USA, 17–22 January 1993; pp. 179–184. [Google Scholar]
- Oliver, J.E. Monthly precipitation distribution: A comparative index. Prof. Geogr. 1980, 32, 300–309. [Google Scholar] [CrossRef]
- Arnoldus, H.M.J. An approximation of the rainfall factor in the Universal Soil Loss Equation. In Assessment of Erosion; de Boodt, M., Gabriels, D., Eds.; FAO: Rome, Italy, 1980; pp. 127–132. [Google Scholar]
- Tyson, P.D.; Lee-Thorp, J.; Holmgren, K.; Thackeray, J.F. Changing gradients of climate change in southern Africa during the past millennium: Implications for population movements. Clim. Chang. 2002, 52, 129–135. [Google Scholar] [CrossRef]
- Membele, G.M.; Naidu, M.; Mutanga, O. Examining flood vulnerability mapping approaches in developing countries: A scoping review. Int. J. Disaster Risk Reduct. 2022, 69, 102766. [Google Scholar] [CrossRef]
- Tfwala, C.M.; van Rensburg, L.D.; Schall, R.; Dlamini, P. Drought dynamics and interannual rainfall variability on the Ghaap plateau, South Africa, 1918–2014. Phys. Chem. Earth 2018, 107, 1–7. [Google Scholar] [CrossRef]
- Roffe, S.J.; Steinkopf, J.; Fitchett, J.M. South African winter rainfall zone shifts: A comparison of seasonality metrics for Cape Town from 1841-1899 and 1933-2020. Theoret. Appl. Climatol. 2022, 147, 1229–1247. [Google Scholar] [CrossRef]
- Ngobeni, D.; Knight, J. Evaluation of river mouth dynamics along the Eastern Cape coastline, South Africa. Trans. R. Soc. S. Afr. 2023, 78, 167–180. [Google Scholar] [CrossRef]
- Kruger, A.C.; Nxumalo, M.P. Historical rainfall trends in South Africa: 1921–2015. Water SA 2017, 43, 285–297. [Google Scholar] [CrossRef]
- Dyson, L.L.; van Heerden, J. The heavy rainfall and floods over the northeastern interior of South Africa during February 2000. S. Afr. J Sci 2001, 97, 80–86. [Google Scholar]
- Liu, H.-Y.; Satoh, M.; Gu, J.-F.; Lei, L.; Tang, J.; Tan, Z.-M.; Wang, Y.; Xu, J. Predictability of the most long-lived tropical cyclone Freddy (2023) during its westward journey through the southern tropical Indian Ocean. Geophys. Res. Lett. 2023, 50, e2023GL105729. [Google Scholar] [CrossRef]
- Kruger, A.C. The influence of the decadal-scale variability of summer rainfall on the impact of El Nino and La Nina events in South Africa. Int. J. Climatol. 1999, 1, 59–68. [Google Scholar] [CrossRef]
- Meque, A.; Abiodun, B.J. Simulating the link between ENSO and summer drought in Southern Africa using regional climate models. Clim. Dyn. 2015, 44, 1881–1900. [Google Scholar] [CrossRef]
- Diab, R.D.; Preston-Whyte, R.A.; Washington, R. Distribution of rainfall by synoptic type over Natal, South Africa. Int. J. Climatol. 1991, 11, 877–888. [Google Scholar] [CrossRef]
- Mahlalela, P.T.; Blamey, R.C.; Reason, C.J.C. Mechanisms behind early winter rainfall variability in the southwestern Cape, South Africa. Clim. Dyn. 2019, 53, 21–39. [Google Scholar] [CrossRef]
- MacKellar, N.; New, M.; Jack, C. Observed and modelled trends in rainfall and temperature for South Africa: 1960–2010. S. Afr. J. Sci. 2014, 110, 13. [Google Scholar] [CrossRef]
- Weaver, A.vB. The distribution of soil erosion as a function of slope aspect and parent material in Ciskei, southern Africa. GeoJournal 1991, 23, 29–34. [Google Scholar] [CrossRef]
- Le Roux, J.S.; Roos, Z.N. The effect of rainfall factors and antecedent soil moisture on soil loss on a low-angled slope in a semi-arid climate. Water SA 1991, 17, 179–182. [Google Scholar]
- Kariaga, B.M. Rainfall erosivity factor for Uasin Gishu Plateau, Kenya. Discov. Innov. 2002, 14, 57–62. [Google Scholar]
- Dunkerley, D. Rainfall intensity in geomorphology: Challenges and opportunities. Prog. Phys. Geogr. 2021, 45, 488–513. [Google Scholar] [CrossRef]
- Wiggs, G.; Holmes, P. Dynamic controls on wind erosion and dust generation on west-central Free State agricultural land, South Africa. Earth Surf. Process. Landf. 2011, 36, 827–838. [Google Scholar] [CrossRef]
- Grauso, S.; Diodato, N.; Verrubbi, V. Calibrating a rainfall erosivity assessment model at regional scale in Mediterranean area. Environ. Earth Sci. 2010, 60, 1597–1606. [Google Scholar] [CrossRef]
- Salvador Sanchis, M.P.; Torri, D.; Borselli, L.; Poesen, J. Climate effects on soil erodibility. Earth Surf. Proc. Landf. 2008, 33, 1082–1097. [Google Scholar] [CrossRef]
- de Vente, J.; Poesen, J.; Verstraeten, G.; Govers, G.; Vanmaercke, M.; Van Rompaey, A.; Arabkhedri, M.; Boix-Fayos, C. Predicting soil erosion and sediment yield at regional scales: Where do we stand? Earth-Sci. Rev. 2013, 127, 16–29. [Google Scholar] [CrossRef]
- Dardis, G.F. Quaternary erosion and sedimentation in badland areas of southern Africa. Catena Suppl. 1989, 14, 1–9. [Google Scholar]
- Dardis, G.F. Late Holocene erosion and colluvium deposition in Swaziland. Geology 1990, 18, 934–937. [Google Scholar] [CrossRef]
- Shakesby, R.A.; Whitlow, R. Perspectives on Prehistoric and Recent Gullying in Central Zimbabwe. GeoJournal 1991, 23, 49–58. [Google Scholar] [CrossRef]
- Seutloali, K.E.; Dube, T.; Mutanga, O. Assessing and mapping the severity of soil erosion using the 30-m Landsat multispectral satellite data in the former South African homelands of Transkei. Phys. Chem. Earth 2017, 100, 296–304. [Google Scholar] [CrossRef]
- Keay-Bright, J.; Boardman, J. The influence of land management on soil erosion in the Sneeuberg Mountains, Central Karoo, South Africa. Land Degrad. Develop. 2007, 18, 423–439. [Google Scholar] [CrossRef]
- Boardman, J.; Favis-Mortlock, D.; Foster, I. A 13-year record of erosion on badland sites in the Karoo, South Africa. Earth Surf. Process Landf. 2015, 40, 1964–1981. [Google Scholar] [CrossRef]
- Benavidez, R.; Jackson, B.; Maxwell, D.; Norton, K. A review of the (Revised) Universal Soil Loss Equation ((R)USLE): With a view to increasing its global applicability and improving soil loss estimates. Hydrol. Earth Syst. Sci. 2018, 22, 6059–6086. [Google Scholar] [CrossRef]
- Le Roux, J.J.; Newby, T.S.; Sumner, P.D. Monitoring soil erosion in South Africa at a regional scale: Review and recommendations. S. Afr. J. Sci. 2007, 103, 329–335. [Google Scholar]
- Mararakanye, N.; Le Roux, J.J. Gully location mapping at a national scale for South Africa. S. Afr. Geogr. J. 2012, 94, 208–218. [Google Scholar] [CrossRef]
- Knight, J. Stratigraphy and palaeoenvironmental interpretation of late Quaternary colluvial slope deposits in southern Africa. S. Afr. J. Geol. 2021, 124, 915–926. [Google Scholar] [CrossRef]
- Ebhuoma, O.; Gebreslasie, M.; Ebhuoma, E.; Leonard, L.; Ngetar, N.S.; Zamisa, B. Farmers’ perception of soil erosion and degradation and their effects on rural livelihoods in KwaMaye community, KwaZulu-Natal, South Africa. J. Asian Afr. Stud. 2023, 58, 1405–1421. [Google Scholar] [CrossRef]
- Chapman, S.; Birch, C.E.; Galdos, M.V.; Pope, E.; Davie, J.; Bradshaw, C.; Eze, S.; Marsham, J.H. Assessing the impact of climate change on soil erosion in East Africa using a convection-permitting climate model. Environ. Res. Lett. 2021, 16, 084006. [Google Scholar] [CrossRef]
- Claassen, D.; Botha, G.; Linol, B. An integrated assessment of erosion drivers facilitating gully expansion rates—A near century multi-temporal analysis from South Africa. Land Degrad. Develop. 2024, 35, 3675–3699. [Google Scholar] [CrossRef]











| Year | Arid Region | Semiarid Region | Subhumid Region | Humid Region |
|---|---|---|---|---|
| 2000 | −1.04 | 0.04 | 2.56 | 1.65 |
| 2001 | 1.53 | 2.04 | 0.89 | 0.83 |
| 2002 | 0.38 | 0.04 | −0.40 | 0.06 |
| 2003 | −1.20 | −0.85 | −1.76 | −1.58 |
| 2004 | −0.41 | −1.33 | −0.72 | 0.22 |
| 2005 | 0.41 | −0.18 | −0.59 | −0.37 |
| 2006 | 1.15 | 1.96 | 0.77 | 2.12 |
| 2007 | −0.73 | −0.23 | 0.22 | −0.48 |
| 2008 | 1.43 | 0.09 | −0.58 | 0.15 |
| 2009 | 1.72 | 0.40 | 0.37 | 1.20 |
| 2010 | −0.23 | −0.49 | −0.61 | −0.45 |
| 2011 | 0.71 | 1.87 | 2.06 | 0.40 |
| 2012 | 0.19 | 0.00 | 0.83 | 1.10 |
| 2013 | 0.37 | −0.69 | −0.31 | −0.35 |
| 2014 | 1.04 | 0.40 | 0.02 | −1.40 |
| 2015 | −1.01 | −0.23 | −0.59 | −1.94 |
| 2016 | 0.08 | −1.29 | −0.95 | −0.57 |
| 2017 | −1.60 | −0.77 | 0.28 | 0.28 |
| 2018 | −1.08 | −0.76 | −0.78 | −1.11 |
| 2019 | −1.60 | −1.84 | −1.34 | −0.81 |
| 2020 | −0.49 | 0.06 | −1.00 | −0.45 |
| 2021 | 0.16 | −0.37 | 0.09 | −0.06 |
| 2022 | −0.98 | 1.36 | 0.61 | 1.32 |
| 2023 | 1.20 | 0.75 | 0.94 | 0.22 |
| Rainfall Conditions | Year | Rainfall Region | Area (% of Total) |
|---|---|---|---|
| Wet years | 2000 | Arid | 32.77 |
| Semiarid | 35.40 | ||
| Subhumid | 13.24 | ||
| Humid | 18.59 | ||
| 2006 | Arid | 20.97 | |
| Semiarid | 27.54 | ||
| Subhumid | 34.11 | ||
| Humid | 17.38 | ||
| Normal years | 2010 | Arid | 34.09 |
| Semiarid | 41.62 | ||
| Subhumid | 18.51 | ||
| Humid | 5.78 | ||
| 2023 | Arid | 52.13 | |
| Semiarid | 23.90 | ||
| Subhumid | 8.86 | ||
| Humid | 15.10 | ||
| Dry years | 2003 | Arid | 46.91 |
| Semiarid | 40.93 | ||
| Subhumid | 7.04 | ||
| Humid | 5.13 | ||
| 2019 | Arid | 52.51 | |
| Semiarid | 28.63 | ||
| Subhumid | 10.40 | ||
| Humid | 8.46 |
| Rainfall Conditions | Year | Rainfall Region | PCI Value | MFI Value | ||||||||
|---|---|---|---|---|---|---|---|---|---|---|---|---|
| Min | Max | Range | Mean | SD | Min | Max | Range | Mean | SD | |||
| Wet years | 2000 | Arid | 8.83 | 52.42 | 43.59 | 19.26 | 7.15 | 2.76 | 111.11 | 108.34 | 33.37 | 18.66 |
| Semiarid | 8.73 | 37.13 | 28.40 | 18.14 | 4.71 | 28.07 | 164.96 | 136.89 | 83.27 | 24.14 | ||
| Subhumid | 10.62 | 30.97 | 20.36 | 16.68 | 5.15 | 69.94 | 237.91 | 167.97 | 116.85 | 38.01 | ||
| Humid | 10.56 | 29.70 | 19.14 | 16.76 | 4.15 | 89.61 | 899.17 | 809.56 | 178.49 | 65.33 | ||
| 2006 | Arid | 9.38 | 54.75 | 45.37 | 17.12 | 4.63 | 4.14 | 97.02 | 92.88 | 29.49 | 15.72 | |
| Semiarid | 9.60 | 33.69 | 24.08 | 17.90 | 3.77 | 29.34 | 186.22 | 156.87 | 84.17 | 24.89 | ||
| Subhumid | 9.80 | 31.50 | 21.70 | 19.07 | 2.96 | 60.02 | 219.51 | 159.48 | 133.78 | 22.85 | ||
| Humid | 9.71 | 28.57 | 16.05 | 16.05 | 3.28 | 81.51 | 423.82 | 342.31 | 152.40 | 35.57 | ||
| Normal years | 2010 | Arid | 8.95 | 40.55 | 31.60 | 17.22 | 5.81 | 2.36 | 100.64 | 98.27 | 29.29 | 18.85 |
| Semiarid | 9.28 | 38.06 | 28.77 | 17.79 | 3.56 | 28.27 | 167.50 | 139.23 | 81.35 | 20.33 | ||
| Subhumid | 9.84 | 27.22 | 17.38 | 15.94 | 2.50 | 59.62 | 201.75 | 142.13 | 110.36 | 17.83 | ||
| Humid | 9.72 | 27.36 | 17.64 | 15.42 | 1.71 | 89.94 | 285.04 | 195.10 | 137.43 | 20.64 | ||
| 2023 | Arid | 8.75 | 47.13 | 38.38 | 16.42 | 4.19 | 1.94 | 106.16 | 104.22 | 27.28 | 17.29 | |
| Semiarid | 9.17 | 33.45 | 24.29 | 16.13 | 4.07 | 29.50 | 165.88 | 136.37 | 68.71 | 20.97 | ||
| Subhumid | 9.07 | 29.27 | 20.20 | 15.13 | 4.41 | 56.04 | 218.82 | 162.78 | 104.72 | 30.91 | ||
| Humid | 9.23 | 32.90 | 23.67 | 18.24 | 5.39 | 77.29 | 566.04 | 488.75 | 188.31 | 74.52 | ||
| Dry years | 2003 | Arid | 8.70 | 41.16 | 32.46 | 16.21 | 4.14 | 2.42 | 70.02 | 67.60 | 29.38 | 15.20 |
| Semiarid | 9.49 | 23.44 | 13.95 | 15.95 | 2.71 | 31.40 | 139.15 | 107.75 | 67.10 | 15.41 | ||
| Subhumid | 9.80 | 26.23 | 16.44 | 14.31 | 2.88 | 61.97 | 205.09 | 143.12 | 96.55 | 20.80 | ||
| Humid | 9.68 | 25.25 | 15.57 | 16.25 | 3.16 | 80.10 | 447.88 | 367.78 | 165.34 | 49.11 | ||
| 2019 | Arid | 8.61 | 39.99 | 31.38 | 17.88 | 4.59 | 1.90 | 98.05 | 96.14 | 29.64 | 18.12 | |
| Semiarid | 8.83 | 39.24 | 30.40 | 18.41 | 3.87 | 26.63 | 216.71 | 190.08 | 77.92 | 20.99 | ||
| Subhumid | 8.96 | 35.54 | 26.58 | 16.93 | 3.15 | 54.88 | 268.76 | 213.87 | 116.35 | 22.03 | ||
| Humid | 9.32 | 33.67 | 24.34 | 20.19 | 5.69 | 90.91 | 769.51 | 678.59 | 219.83 | 99.51 | ||
| Arid | ||||||
|---|---|---|---|---|---|---|
| MFI | PCI | DJF | MAM | JJA | SON | |
| MFI | 1 | |||||
| PCI | 0.394 | 1 | ||||
| DJF | 0.036 | −0.442 | 1 | |||
| MAM | 0.774 | 0.264 | 0.133 | 1 | ||
| JJA | 0.584 | 0.251 | −0.207 | 0.188 | 1 | |
| SON | 0.568 | 0.015 | −0.074 | 0.209 | 0.241 | 1 |
| Semiarid | ||||||
| MFI | PCI | DJF | MAM | JJA | SON | |
| MFI | 1 | |||||
| PCI | 0.365 | 1 | ||||
| DJF | 0.453 | 0.286 | 1 | |||
| MAM | 0.391 | −0.284 | −0.002 | 1 | ||
| JJA | 0.103 | −0.395 | 0.033 | −0.155 | 1 | |
| SON | 0.491 | −0.053 | −0.210 | 0.283 | −0.028 | 1 |
| Subhumid | ||||||
| MFI | PCI | DJF | MAM | JJA | SON | |
| MFI | 1 | |||||
| PCI | 0.793 | 1 | ||||
| DJF | 0.675 | 0.630 | 1 | |||
| MAM | 0.567 | 0.432 | 0.206 | 1 | ||
| JJA | −0.320 | −0.554 | −0.139 | −0.376 | 1 | |
| SON | 0.576 | 0.262 | 0.072 | 0.113 | −0.023 | 1 |
| Humid | ||||||
| MFI | PCI | DJF | MAM | JJA | SON | |
| MFI | 1 | |||||
| PCI | 0.335 | 1 | ||||
| DJF | 0.549 | 0.376 | 1 | |||
| MAM | 0.443 | −0.099 | 0.168 | 1 | ||
| JJA | −0.240 | −0.417 | 0.041 | −0.312 | 1 | |
| SON | 0.640 | 0.018 | 0.140 | −0.003 | −0.058 | 1 |
Disclaimer/Publisher’s Note: The statements, opinions and data contained in all publications are solely those of the individual author(s) and contributor(s) and not of MDPI and/or the editor(s). MDPI and/or the editor(s) disclaim responsibility for any injury to people or property resulting from any ideas, methods, instructions or products referred to in the content. |
© 2024 by the authors. Licensee MDPI, Basel, Switzerland. This article is an open access article distributed under the terms and conditions of the Creative Commons Attribution (CC BY) license (https://creativecommons.org/licenses/by/4.0/).
Share and Cite
Knight, J.; Abd Elbasit, M.A.M. Spatial and Temporal Patterns of Rainfall Erosivity in Southern Africa in Extreme Wet and Dry Years. Atmosphere 2024, 15, 1283. https://doi.org/10.3390/atmos15111283
Knight J, Abd Elbasit MAM. Spatial and Temporal Patterns of Rainfall Erosivity in Southern Africa in Extreme Wet and Dry Years. Atmosphere. 2024; 15(11):1283. https://doi.org/10.3390/atmos15111283
Chicago/Turabian StyleKnight, Jasper, and Mohamed A. M. Abd Elbasit. 2024. "Spatial and Temporal Patterns of Rainfall Erosivity in Southern Africa in Extreme Wet and Dry Years" Atmosphere 15, no. 11: 1283. https://doi.org/10.3390/atmos15111283
APA StyleKnight, J., & Abd Elbasit, M. A. M. (2024). Spatial and Temporal Patterns of Rainfall Erosivity in Southern Africa in Extreme Wet and Dry Years. Atmosphere, 15(11), 1283. https://doi.org/10.3390/atmos15111283

