Modal Projection for Quasi-Homogeneous Anisotropic Turbulence
Abstract
1. Introduction
2. The Craya–Herring Frame of Reference and Beyond
2.1. Related Modal Projections, Analogies, and Differences
2.2. Including Other Coupled Fields, Buoyancy, Magnetic Field
3. Application to Two-Point Second Order Statistics for Strong Anisotropy
3.1. Decomposition in Terms of Scalar Spherical Harmonics (SSH)
3.2. Angular Harmonics for the Polarization Term
4. SSH Decomposition in Rotating Shear Turbulence
4.1. Recalling ZCG Model
4.1.1. Spectral Models for Homogeneous Anisotropic Turbulence
4.1.2. Numerical Simulations for Rotating Shear Flows
4.2. Numerical Validation of the Equivalency of SO(3) Expansion and SSH Decomposition
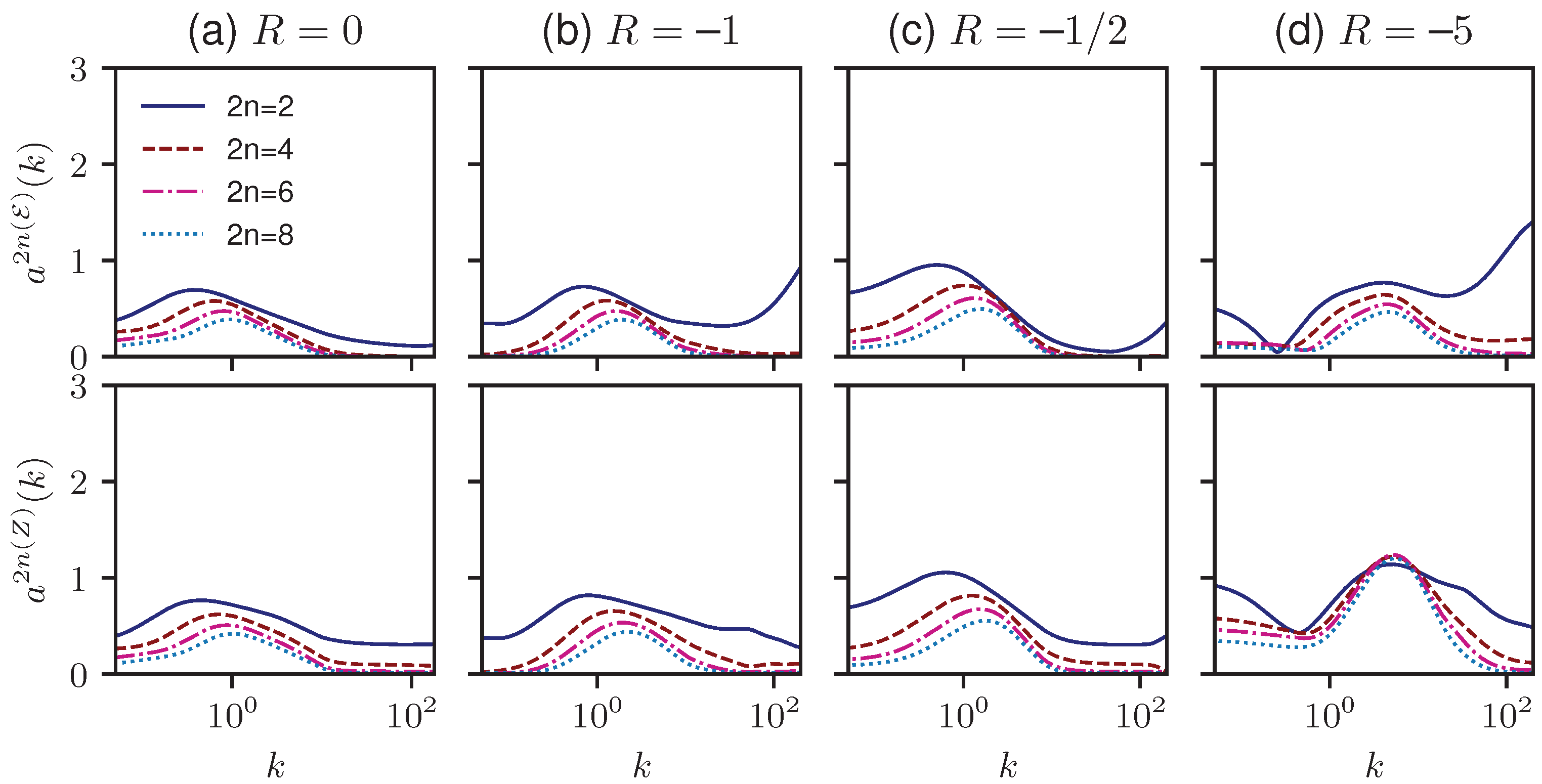
4.3. Analysis on High-Degree Anisotropy
5. Towards a More General Decomposition for a Vector Field
5.1. Using a General Toroidal/Poloidal Decomposition
5.2. Recent Progresses towards Stochastic Fields and Multifractal Approach
6. Conclusions, Perspectives of Turbulence from Earth to Planets, Stars, and Galaxies
6.1. Linear and Quasi-Linear Models from Geophysics to Accretion Discs in Astrophysics
6.2. Models with Explicit Nonlinearity for Cascades
Author Contributions
Funding
Institutional Review Board Statement
Informed Consent Statement
Data Availability Statement
Acknowledgments
Conflicts of Interest
Appendix A. Degenerated Craya Equations Exactly at the Pole
References
- Herring, J.R. Approach of axisymmetric turbulence to isotropy. Phys. Fluids 1974, 17, 859–872. [Google Scholar] [CrossRef]
- Riley, J.J.; Metcalfe, R.W.; Weissman, M.A. Direct numerical simulations of homogeneous turbulence in density-stratified fluids. AIP Conf. Proc. 1981, 76, 79–112. [Google Scholar]
- Craya, A. Contribution à l’analyse de la Turbulence Associée à des Vitesses Moyennes. Ph.D. Thesis, Université de Grenoble, Grenoble, France, 1957. [Google Scholar]
- Cambon, C.; Jacquin, L. Spectral approach to non-isotropic turbulence subjected to rotation. J. Fluid Mech. 1989, 202, 295–317. [Google Scholar] [CrossRef]
- Waleffe, F. The nature of triad interactions in homogeneous turbulence. Phys. Fluids A Fluid Dyn. 1992, 4, 350–363. [Google Scholar] [CrossRef]
- Zhu, Y.; Cambon, C.; Godeferd, F.; Salhi, A. Nonlinear spectral model for rotating sheared turbulence. J. Fluid Mech. 2019, 866, 5–32. [Google Scholar] [CrossRef]
- Cambon, C. Multipoint turbulence structure and modelling: The legacy of Antoine Craya. Comptes Rendus Méc. 2017, 345, 627–641. [Google Scholar] [CrossRef]
- Smith, L.M.; Waleffe, F. Generation of slow large scales in forced rotating stratified turbulence. J. Fluid Mech. 2002, 451, 145–168. [Google Scholar] [CrossRef]
- Galmiche, M.; Hunt, J.; Thual, O.; Bonneton, P. Turbulence-mean field interactions and layer formation in a stratified fluid. Eur. J. Mech.-B/Fluids 2001, 20, 577–585. [Google Scholar] [CrossRef]
- Sagaut, P.; Cambon, C. Homogeneous Turbulence Dynamics, 2nd ed.; Springer: Cham, Switzerland, 2018. [Google Scholar] [CrossRef]
- Rubinstein, R.; Kurien, S.; Cambon, C. Scalar and tensor spherical harmonics expansion of the velocity correlation in homogeneous anisotropic turbulence. J. Turbul. 2015, 16, 1058–1075. [Google Scholar] [CrossRef]
- Briard, A.; Iyer, M.; Gomez, T. Anisotropic spectral modeling for unstably stratified homogeneous turbulence. Phys. Rev. Fluids 2017, 2, 044604. [Google Scholar] [CrossRef]
- Cambon, C.; Teissèdre, C.; Jeandel, D. Etude d’effets couplés de rotation et de déformation sur une turbulence homogène. J. Mec. Theor. Appl. 1985, 5, 629. [Google Scholar]
- Zhu, Y. Modelling and Calculation for Shear-Driven Rotating Turbulence, with Multiscale and Directional Approach. Ph.D. Thesis, Université de Lyon, Lyon, France, 2019. [Google Scholar]
- Batchelor, G.; Proudman, I. The effect of rapid distortion of a fluid in turbulent motion. Q. J. Mech. Appl. Math. 1954, 7, 83–103. [Google Scholar] [CrossRef]
- Salhi, A.; Cambon, C. An analysis of rotating shear flow using linear theory and DNS and LES results. J. Fluid Mech. 1997, 347, 171–195. [Google Scholar] [CrossRef]
- Kassinos, S.C.; Reynolds, W.C.; Rogers, M.M. One-point turbulence structure tensors. J. Fluid Mech. 2001, 428, 213–248. [Google Scholar] [CrossRef]
- Orszag, S.A. Analytical theories of turbulence. J. Fluid Mech. 1969, 41, 363–386. [Google Scholar] [CrossRef]
- Cambon, C.; Mons, V.; Gréa, B.J.; Rubinstein, R. Anisotropic triadic closures for shear-driven and buoyancy-driven turbulent flows. Comput. Fluids 2017, 151, 73–84. [Google Scholar] [CrossRef]
- Burlot, A.; Gréa, B.J.; Godeferd, F.S.; Cambon, C.; Griffond, J. Spectral modelling of high Reynolds number unstably stratified homogeneous turbulence. J. Fluid Mech. 2015, 765, 17–44. [Google Scholar] [CrossRef]
- Mons, V.; Cambon, C.; Sagaut, P. A spectral model for homogeneous shear-driven anisotropic turbulence in terms of spherically averaged descriptors. J. Fluid Mech. 2016, 788, 147–182. [Google Scholar] [CrossRef]
- Weinstock, J. Theory of the pressure–strain rate. Part 2. Diagonal elements. J. Fluid Mech. 1982, 116, 1–29. [Google Scholar] [CrossRef]
- Weinstock, J. Analytical theory of homogeneous mean shear turbulence. J. Fluid Mech. 2013, 727, 256–281. [Google Scholar] [CrossRef]
- Rogallo, R.S. Numerical Experiments in Homogeneous Turbulence. NASA STI/Recon Tech. Rep. N 1981, 81, 31508. [Google Scholar]
- Lesur, G.; Longaretti, P.Y. On the relevance of subcritical hydrodynamic turbulence to accretion disk transport. Astron. Astrophys. 2005, 444, 25–44. [Google Scholar] [CrossRef]
- Hanazaki, H.; Hunt, J.C.R. Structure of unsteady stably stratified turbulence with mean shear. J. Fluid Mech. 2004, 507, 1–42. [Google Scholar] [CrossRef]
- Salhi, A.; Cambon, C. Stability of rotating stratified shear flow: An analytical study. Phys. Rev. E 2010, 81, 026302. [Google Scholar] [CrossRef]
- Bradshaw, P. The analogy between streamline curvature and buoyancy in turbulent shear flow. J. Fluid Mech. 1969, 36, 177–191. [Google Scholar] [CrossRef]
- Salhi, A.; Jacobitz, F.G.; Schneider, K.; Cambon, C. Nonlinear dynamics and anisotropic structure of rotating sheared turbulence. Phys. Rev. E 2014, 89, 013020. [Google Scholar] [CrossRef]
- Schertzer, D.; Tchiguirinskaia, I. A century of turbulent cascades and the emergence of multifractal operators. Earth Space Sci. 2020, 7, e2019EA000608. [Google Scholar] [CrossRef]
- Rieutord, M. Linear theory of rotating fluids using spherical harmonics part I: Steady flows. Geophys. Astrophys. Fluid Dyn. 1987, 39, 163–182. [Google Scholar] [CrossRef]
- Chandrasekhar, S. Hydrodynamic and Hydromagnetic Stability; Dover Publications: New York, USA, 1981. [Google Scholar]
- Chigirinskaya, Y.; Schertzer, D.; Lovejoy, S. An alternative to shell-models: More complete and yet simple models of intermittency. In Proceedings of the Advances in Turbulence VII: Proceedings of the Seventh European Turbulence Conference, Saint-Jean Cap Ferrat, France, 30 June–3 July 1998; pp. 263–266. [Google Scholar]
- Chigirinskaya, Y.; Schertzer, D. Cascade of Scaling Gyroscopes: Lie Structure, Universal Multifractals and Self-Organized Criticality in Turbulence. In Stochastic Models in Geosystems; Molchanov, S.A., Woyczynski, W.A., Eds.; Springer: New York, NY, USA, 1997; pp. 57–81. [Google Scholar] [CrossRef]
- Cambon, C.; Laguna, A.A.; Zhou, Y. CFD for turbulence: From fundamentals to geophysics and astrophysics. Comptes Rendus Méc. 2022, 350, 1–20. [Google Scholar] [CrossRef]
- Salhi, A.; Cambon, C. Magneto-gravity-elliptic instability. J. Fluid Mech. 2023, 963, A9. [Google Scholar] [CrossRef]
- Chagelishvili, G.; Zahn, J.P.; Tevzadze, A.; Lominadze, J. On hydrodynamic shear turbulence in Keplerian disks: Via transient growth to bypass transition. Astron. Astrophys. 2003, 402, 401–407. [Google Scholar] [CrossRef][Green Version]
- Salhi, A.; Lehner, T.; Godeferd, F.; Cambon, C. Wave–vortex mode coupling in astrophysical accretion disks under combined radial and vertical stratification. Astrophys. J. 2013, 771, 103. [Google Scholar] [CrossRef][Green Version]
- Nazarenko, S. Wave Turbulence; Springer Science & Business Media: Berlin/Heidelberg, Germany, 2011; Volume 825. [Google Scholar]
- Bellet, F.; Godeferd, F.; Scott, J.; Cambon, C. Wave turbulence in rapidly rotating flows. J. Fluid Mech. 2006, 562, 83–121. [Google Scholar] [CrossRef]
- Radkevich, A.; Lovejoy, S.; Strawbridge, K.; Schertzer, D. The elliptical dimension of space-time atmospheric stratification of passive admixtures using lidar data. Phys. A Stat. Mech. Its Appl. 2007, 382, 597–615. [Google Scholar] [CrossRef]
- Lilley, M.; Lovejoy, S.; Strawbridge, K.; Schertzer, D. 23/9 dimensional anisotropic scaling of passive admixtures using lidar data of aerosols. Phys. Rev. E 2004, 70, 036307. [Google Scholar] [CrossRef] [PubMed]
- Lewis, G.; Lovejoy, S.; Schertzer, D.; Pecknold, S. The scale invariant generator technique for quantifying anisotropic scale invariance. Comput. Geosci. 1999, 25, 963–978. [Google Scholar] [CrossRef]
- Lazarev, A.; Schertzer, D.; Lovejoy, S.; Chigirinskaya, Y. Unified multifractal atmospheric dynamics tested in the tropics: Part II, vertical scaling and generalized scale invariance. Nonlinear Process. Geophys. 1994, 1, 115–123. [Google Scholar] [CrossRef][Green Version]








Disclaimer/Publisher’s Note: The statements, opinions and data contained in all publications are solely those of the individual author(s) and contributor(s) and not of MDPI and/or the editor(s). MDPI and/or the editor(s) disclaim responsibility for any injury to people or property resulting from any ideas, methods, instructions or products referred to in the content. |
© 2023 by the authors. Licensee MDPI, Basel, Switzerland. This article is an open access article distributed under the terms and conditions of the Creative Commons Attribution (CC BY) license (https://creativecommons.org/licenses/by/4.0/).
Share and Cite
Zhu, Y.; Cambon, C. Modal Projection for Quasi-Homogeneous Anisotropic Turbulence. Atmosphere 2023, 14, 1215. https://doi.org/10.3390/atmos14081215
Zhu Y, Cambon C. Modal Projection for Quasi-Homogeneous Anisotropic Turbulence. Atmosphere. 2023; 14(8):1215. https://doi.org/10.3390/atmos14081215
Chicago/Turabian StyleZhu, Ying, and Claude Cambon. 2023. "Modal Projection for Quasi-Homogeneous Anisotropic Turbulence" Atmosphere 14, no. 8: 1215. https://doi.org/10.3390/atmos14081215
APA StyleZhu, Y., & Cambon, C. (2023). Modal Projection for Quasi-Homogeneous Anisotropic Turbulence. Atmosphere, 14(8), 1215. https://doi.org/10.3390/atmos14081215

