Assessing the Effects of Environmental Smog Warning Policy on Preventing Traffic Deaths Based on RDD Strategy
Abstract
1. Introduction
2. Policy Background and Literature Review
2.1. Environmental Smog Early-Warning Policy
2.2. Smog Pollution and Traffic Safety
3. Methodology
3.1. Model
3.2. Data
3.3. Variables
3.3.1. Explained Variables
3.3.2. Treatment Variable and Running Variable
3.3.3. Controlling Variables
4. Results
4.1. Basic Results
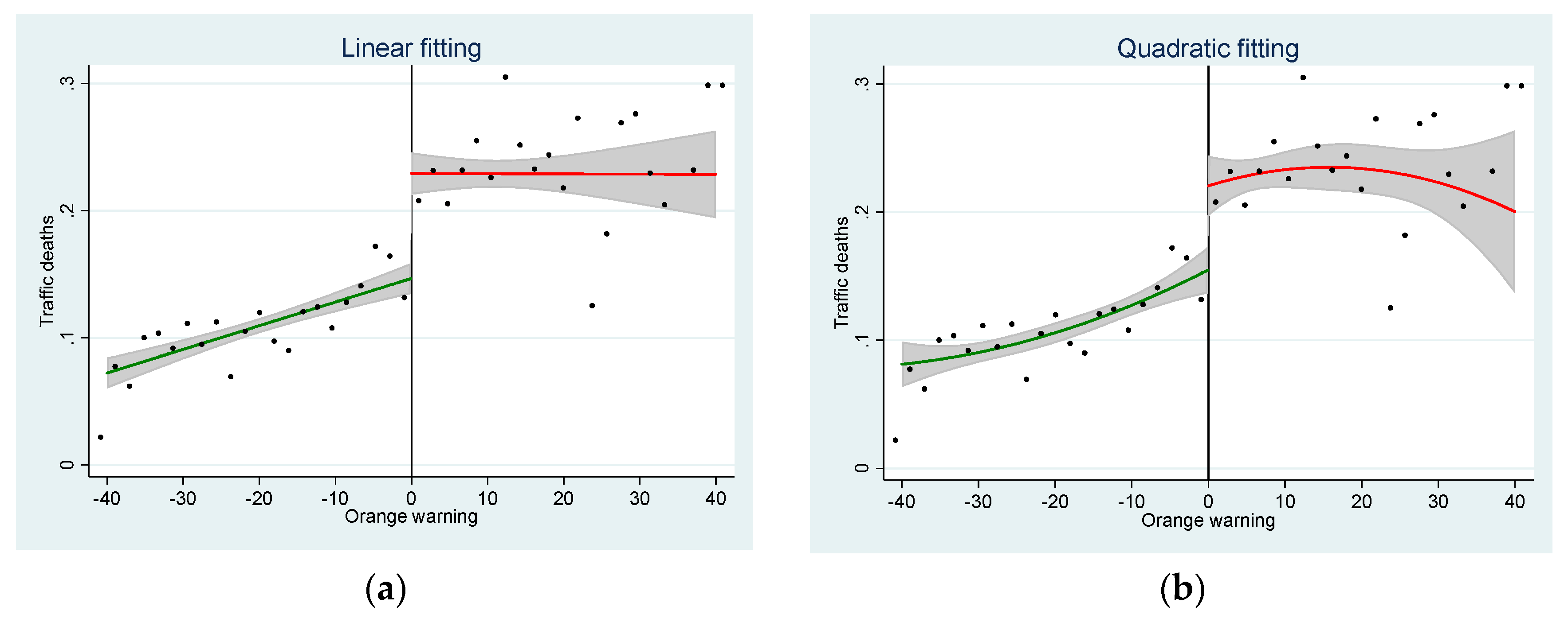
4.1.1. Discontinuity Fitting Curves
4.1.2. Estimating Results
4.2. Robustness Tests
4.2.1. Continuity Tests
4.2.2. Bandwidth Tests
4.3. Heterogeneous Effects
4.3.1. Driver Characteristics
4.3.2. Vehicle Types
4.3.3. Road Locations
5. Discussion
6. Conclusions
Author Contributions
Funding
Institutional Review Board Statement
Informed Consent Statement
Data Availability Statement
Conflicts of Interest
References
- Sager, L. Estimating the effect of air pollution on road safety using atmospheric temperature inversions. J. Environ. Econ. Manag. 2019, 98, 102250. [Google Scholar] [CrossRef]
- Li, Y.; Xue, Y.; Guang, J.; de Leeuw, G.; Self, R.; She, L.; Fan, C.; Xie, Y.; Chen, G. Spatial and temporal distribution characteristics of haze days and associated factors in China from 1973 to 2017. Atmos. Environ. 2019, 214, 116862. [Google Scholar] [CrossRef]
- Feng, T.; Du, H.; Lin, Z.; Zuo, J. Spatial spillover effects of environmental regulations on air pollution: Evidence from urban agglomerations in China. J. Environ. Manag. 2020, 272, 110998. [Google Scholar] [CrossRef]
- Li, K.; Fang, L.; He, L. How population and energy price affect China’s environmental pollution? Energy Policy 2019, 129, 386–396. [Google Scholar] [CrossRef]
- Yu, Y.; Yang, X.; Li, K. Effects of the terms and characteristics of cadres on environmental pollution: Evidence from 230 cities in China. J. Environ. Manag. 2019, 232, 179–187. [Google Scholar] [CrossRef]
- Wang, S.; Wang, J.; Ru, X.; Li, J. Public smog knowledge, risk perception, and intention to reduce car use: Evidence from China. Hum. Ecol. Risk Assess. Int. J. 2019, 25, 1745–1759. [Google Scholar] [CrossRef]
- Guo, W.; Tan, Y.; Yin, X.; Sun, Z. Impact of PM2.5 on Second Birth Intentions of China’s Floating Population in a Low Fertility Context. Int. J. Environ. Res. Public Health 2019, 16, 4293. [Google Scholar] [CrossRef] [PubMed]
- Taamneh, M.; Alkheder, S. Traffic sign perception among Jordanian drivers: An evaluation study. Transp. Policy 2018, 66, 17–29. [Google Scholar] [CrossRef]
- Li, M.; Mao, C. Spatial Effect of Industrial Energy Consumption Structure and Transportation on Haze Pollution in Beijing-Tianjin-Hebei Region. Int. J. Environ. Res. Public Health 2020, 17, 5610. [Google Scholar] [CrossRef]
- Sun, X.; Dong, J. Stress Response and Safe Driving Time of Bus Drivers in Hot Weather. Int. J. Environ. Res. Public Health 2022, 19, 9662. [Google Scholar] [CrossRef] [PubMed]
- Zhang, Z.; Chai, P.; Wang, J.; Ye, Z.; Shen, P.; Lu, H.; Jin, M.; Gu, M.; Li, D.; Lin, H.; et al. Association of particulate matter air pollution and hospital visits for respiratory diseases: A time-series study from China. Environ. Sci. Pollut. Res. 2019, 26, 12280–12287. [Google Scholar] [CrossRef] [PubMed]
- Wu, Y.; Jin, T.; He, W.; Liu, L.; Li, H.; Liu, C.; Zhou, Y.; Hong, J.; Cao, L.; Lu, Y.; et al. Associations of fine particulate matter and constituents with pediatric emergency room visits for respiratory diseases in Shanghai, China. Int. J. Hyg. Environ. Health 2021, 236, 113805. [Google Scholar] [CrossRef] [PubMed]
- Hwang, M.-J.; Kim, J.-H.; Cheong, H.-K. Short-Term Impacts of Ambient Air Pollution on Health-Related Quality of Life: A Korea Health Panel Survey Study. Int. J. Environ. Res. Public Health 2020, 17, 9128. [Google Scholar] [CrossRef]
- Cheong, K.H.; Ngiam, N.J.; Morgan, G.G.; Pek, P.P.; Tan, B.Y.-Q.; Lai, J.W.; Koh, J.M.; Ong, M.E.H.; Ho, A.F.W. Acute Health Impacts of the Southeast Asian Transboundary Haze Problem—A Review. Int. J. Environ. Res. Public Health 2019, 16, 3286. [Google Scholar] [CrossRef]
- Liang, J.; Ma, J.; Zhu, J.; Jin, X. Online or Offline? How Smog Pollution Affects Customer Channel Choice for Purchasing Fresh Food. Front. Psychol. 2021, 12, 682981. [Google Scholar] [CrossRef]
- Ruan, W.-J.; Lee, J.; Song, H. Understanding Tourist Behavioural Intention When Faced with Smog Pollution: Focus on International Tourists to Beijing. Int. J. Environ. Res. Public Health 2021, 18, 7262. [Google Scholar] [CrossRef]
- Chen, X. Smog, Cognition and Real-World Decision-Making. Int. J. Health Policy Manag. 2019, 8, 76–80. [Google Scholar] [CrossRef]
- Cattaneo, M.D.; Jansson, M.; Ma, X. Simple Local Polynomial Density Estimators. J. Am. Stat. Assoc. 2020, 115, 1449–1455. [Google Scholar] [CrossRef]
- Eibich, P. Understanding the effect of retirement on health: Mechanisms and heterogeneity. J. Health Econ. 2015, 43, 1–12. [Google Scholar] [CrossRef] [PubMed]
- Xu, Y. Empirical study on the perceived risk of smog and public coping behavior. J. Manag. Sci. Eng. 2019, 20, 1–14. [Google Scholar]
- Han, L.; Sun, Z.; He, J.; Zhang, X.; Hao, Y.; Zhang, Y. Does the early haze warning policy in Beijing reflect the associated health risks, even for slight haze? Atmos. Environ. 2019, 210, 110–119. [Google Scholar] [CrossRef]
- Sarkodie, S.A.; Strezov, V.; Jiang, Y.; Evans, T. Proximate determinants of particulate matter (PM2.5) emission, mortality and life expectancy in Europe, Central Asia, Australia, Canada and the US. Sci. Total. Environ. 2019, 683, 489–497. [Google Scholar] [CrossRef] [PubMed]
- Zhang, Y.F.; Zhang, Y. Impact of environmental regulation on ecological efficiency under the background of new environmental protection law. J. Environ. Prot. Ecol. 2020, 21, 2296–2304. [Google Scholar]
- Wang, Y.Y.; Li, J.P.; Zhang, H.B. Study on city rainstorm waterlogging early-warning system based on historical data. In Proceedings of the 13th International Computer Conference on Wavelet Active Media Technol-Ogy and Information Processing (ICCWAMTIP), Chengdu, China, 16–18 December 2016. [Google Scholar]
- Bamberg, S.; Rees, J.; Seebauer, S. Collective climate action: Determinants of participation intention in community-based pro-environmental initiatives. J. Environ. Psychol. 2015, 43, 155–165. [Google Scholar] [CrossRef]
- Calonico, S.; Cattaneo, M.D.; Farrell, M.H.; Titiunik, R. Regression Discontinuity Designs Using Covariates. Rev. Econ. Stat. 2019, 101, 442–451. [Google Scholar] [CrossRef]
- Ghaljahi, M.; Bagheri, S.; Keykhaei, K.R. The Effects of Haze on General Health of Women Employed in Zabol University of Medical Sciences in 2018. Asian J. Water, Environ. Pollut. 2019, 16, 59–64. [Google Scholar] [CrossRef]
- Liu, T. Avoidance behavior against air pollution: Evidence from online search 788 indices for anti-PM2.5 masks and air filters in Chinese cities. Environ. Econ. Policy Stud. 2018, 20, 325–363. [Google Scholar] [CrossRef]








| N | Mean | S.D. | Min. | Max. | |
|---|---|---|---|---|---|
| Total road deaths | 538,965 | 0.418 | 0.156 | 0 | 11 |
| PM2.5(µg/m3) | 538,965 | 46.654 | 30.142 | 0 | 1033 |
| Maximum temperature (°C) | 538,965 | 19.928 | 3.570 | −41 | 52 |
| Minimum temperature (°C) | 538,965 | 9.554 | 3.529 | −56 | 36 |
| Mean temperature (°C) | 538,965 | 14.654 | 3.684 | −20 | 38 |
| Humidity (%) | 538,965 | 67.424 | 18.245 | 3 | 100 |
| Weather categories | 538,965 | 3.812 | 2.380 | 1 | 11 |
| Wind direction | 538,965 | 3.543 | 2.645 | 1 | 9 |
| Wind velocity class | 538,965 | 1.384 | 0.667 | 1 | 4 |
| Deaths caused by different drivers | |||||
| Male | 538,965 | 0.202 | 0.164 | 0 | 11 |
| Female | 538,965 | 0.215 | 0.135 | 0 | 5 |
| The elderly (above 60) | 538,965 | 0.072 | 0.059 | 0 | 4 |
| The young (below 35) | 538,965 | 0.179 | 0.107 | 0 | 11 |
| The middle-aged (from 36 to 59) | 538,965 | 0.165 | 0.096 | 0 | 6 |
| The less-educated (under university) | 538,965 | 0.281 | 0.173 | 0 | 11 |
| The well-educated (university and above) | 538,965 | 0.134 | 0.084 | 0 | 5 |
| Deaths caused by different vehicles | |||||
| Four-wheel | 538,965 | 0.212 | 0.169 | 0 | 11 |
| Two-wheel | 538,965 | 0.203 | 0.124 | 0 | 3 |
| Deaths on different roads | |||||
| City | 538,965 | 0.218 | 0.172 | 0 | 11 |
| Country | 538,965 | 0.198 | 0.114 | 0 | 7 |
| Freeway | 538,965 | 0.168 | 0.093 | 0 | 11 |
| Non-freeway | 538,965 | 0.247 | 0.128 | 0 | 6 |
| Light Smog | Moderate Smog | Extremely Heavy Smog | ||||
|---|---|---|---|---|---|---|
| (1) | (2) | (3) | (4) | (5) | (6) | |
| Linear Model | Quadratic Model | Linear Model | Quadratic Model | Linear Model | Quadratic Model | |
| Early-warning | −0.014 *** (0.004) | −0.015 *** (0.004) | −0.018 ** (0.009) | −0.018 ** (0.011) | −0.008 (0.010) | −0.009 (0.010) |
| Control | Y | Y | Y | Y | Y | Y |
| Weather fixed effects | Y | Y | Y | Y | Y | Y |
| Date fixed effect | Y | Y | Y | Y | Y | Y |
| City fixed effect | Y | Y | Y | Y | Y | Y |
| N | 72,574 | 72,574 | 36,454 | 36,454 | 8356 | 8356 |
| Light Smog | Moderate Smog | Extremely Heavy Smog | |||||||
|---|---|---|---|---|---|---|---|---|---|
| B = 30 | B = 20 | B = 10 | B = 30 | B = 20 | B = 10 | B = 30 | B = 20 | B = 10 | |
| (1) | (2) | (3) | (4) | (5) | (6) | (7) | (8) | (9) | |
| Early warning | −0.016 *** (0.002) | −0.017 *** (0.003) | −0.018 *** (0.003) | −0.020 ** (0.011) | −0.022 ** (0.011) | −0.022 ** (0.012) | −0.009 (0.007) | −0.006 (0.008) | −0.006 (0.009) |
| Control | Y | Y | Y | Y | Y | Y | Y | Y | Y |
| Weather fixed effects | Y | Y | Y | Y | Y | Y | Y | Y | Y |
| Date fixed effect | Y | Y | Y | Y | Y | Y | Y | Y | Y |
| City fixed effect | Y | Y | Y | Y | Y | Y | Y | Y | Y |
| N | 52,464 | 26,432 | 12750 | 24,436 | 15,285 | 10,242 | 6246 | 3524 | 1688 |
| Panel A: Heterogeneous Effects on Sex | ||||||||||||||||||
| Light Smog | Moderate Smog | Extremely Heavy Smog | ||||||||||||||||
| Man | Woman | Man | Woman | Man | Woman | |||||||||||||
| Early warning | −0.005 *** (0.002) | −0.028 *** (0.009) | −0.008 *** (0.003) | −0.028 *** (0.010) | −0.008 * (0.005) | −0.009 (0.011) | ||||||||||||
| Panel B: Heterogeneous Effects on Education | ||||||||||||||||||
| Light smog | Moderate smog | Extremely heavy smog | ||||||||||||||||
| Less-educated | Well-educated | Less-educated | Well-educated | Less-educated | Well-educated | |||||||||||||
| Early warning | −0.011 *** (0.004) | −0.022 *** (0.006) | −0.012 *** (0.004) | −0.024 *** (0.004) | −0.009 (0.007) | −0.007 (0.007) | ||||||||||||
| Panel C: Heterogeneous Effects on Age | ||||||||||||||||||
| Light smog | Moderate smog | Extremely heavy smog | ||||||||||||||||
| Young | Middle | Older | Young | Middle | Older | Young | Middle | Older | ||||||||||
| Early warning | −0.007 * (0.004) | −0.009 ** (0.004) | −0.024 *** (0.008) | −0.008 *** (0.003) | −0.017 *** (0.003) | −0.029 *** (0.004) | −0.006 ** (0.003) | −0.007 (0.007) | −0.005 (0.003) | |||||||||
| Control | Y | Y | Y | Y | Y | Y | Y | Y | Y | |||||||||
| Weather fixed effects | Y | Y | Y | Y | Y | Y | Y | Y | Y | |||||||||
| Date fixed effect | Y | Y | Y | Y | Y | Y | Y | Y | Y | |||||||||
| City fixed effect | Y | Y | Y | Y | Y | Y | Y | Y | Y | |||||||||
| N | 72,574 | 72,574 | 72,574 | 36,454 | 36,454 | 36,454 | 8356 | 8356 | 8356 | |||||||||
| Light Smog | Moderate Smog | Extremely Heavy Smog | ||||
|---|---|---|---|---|---|---|
| 2-Wheel | 4-Wheel | 2-Wheel | 4-Wheel | 2-Wheel | 4-Wheel | |
| Early warning | −0.024 *** (0.004) | −0.007 *** (0.003) | −0.027 *** (0.008) | −0.012 ** (0.006) | −0.013 * (0.006) | −0.008 (0.009) |
| Control | Y | Y | Y | Y | Y | Y |
| Weather fixed effects | Y | Y | Y | Y | Y | Y |
| Date fixed effect | Y | Y | Y | Y | Y | Y |
| City fixed effect | Y | Y | Y | Y | Y | Y |
| N | 72,574 | 72,574 | 36,454 | 36,454 | 8356 | 8356 |
| Panel A: Heterogeneous Effects on City and Country Roads | ||||||
| Light Smog | Moderate Smog | Extremely Heavy Smog | ||||
| City | Country | City | Country | City | Country | |
| Early warning | −0.012 *** (0.005) | −0.018 * (0.010) | −0.015 *** (0.006) | −0.018 *** (0.006) | −0.006 (0.008) | −0.013 ** (0.006) |
| Panel B: Heterogeneous Effects on Freeway and Non-freeway Roads | ||||||
| Light smog | Moderate smog | Extremely heavy smog | ||||
| Freeway | Non-freeway | Freeway | Non-freeway | Freeway | Non-freeway | |
| Early warning | −0.018 *** (0.004) | −0.014 *** (0.004) | −0.023 *** (0.003) | −0.017 ** (0.006) | −0.013 ** (0.006) | −0.003 (0.008) |
| Control | Y | Y | Y | Y | Y | Y |
| Weather fixed effects | Y | Y | Y | Y | Y | Y |
| Date fixed effect | Y | Y | Y | Y | Y | Y |
| City fixed effect | Y | Y | Y | Y | Y | Y |
| N | 72,574 | 72,574 | 36,454 | 36,454 | 8356 | 8356 |
Disclaimer/Publisher’s Note: The statements, opinions and data contained in all publications are solely those of the individual author(s) and contributor(s) and not of MDPI and/or the editor(s). MDPI and/or the editor(s) disclaim responsibility for any injury to people or property resulting from any ideas, methods, instructions or products referred to in the content. |
© 2023 by the authors. Licensee MDPI, Basel, Switzerland. This article is an open access article distributed under the terms and conditions of the Creative Commons Attribution (CC BY) license (https://creativecommons.org/licenses/by/4.0/).
Share and Cite
Gao, J.; Ying, C.; Hu, L.; Lin, Z.; Xie, H. Assessing the Effects of Environmental Smog Warning Policy on Preventing Traffic Deaths Based on RDD Strategy. Atmosphere 2023, 14, 1043. https://doi.org/10.3390/atmos14061043
Gao J, Ying C, Hu L, Lin Z, Xie H. Assessing the Effects of Environmental Smog Warning Policy on Preventing Traffic Deaths Based on RDD Strategy. Atmosphere. 2023; 14(6):1043. https://doi.org/10.3390/atmos14061043
Chicago/Turabian StyleGao, Juan, Cheng Ying, Liyuan Hu, Zixiang Lin, and Hao Xie. 2023. "Assessing the Effects of Environmental Smog Warning Policy on Preventing Traffic Deaths Based on RDD Strategy" Atmosphere 14, no. 6: 1043. https://doi.org/10.3390/atmos14061043
APA StyleGao, J., Ying, C., Hu, L., Lin, Z., & Xie, H. (2023). Assessing the Effects of Environmental Smog Warning Policy on Preventing Traffic Deaths Based on RDD Strategy. Atmosphere, 14(6), 1043. https://doi.org/10.3390/atmos14061043
