Using a Pollution-to-Risk Method to Evaluate the Impact of a Cold Front: A Case Study in a Downstream Region in Southeastern China
Abstract
1. Introduction
2. Materials and Methods
2.1. Study Region
2.2. Air Quality and Meteorological Data
2.3. Air Quality Model Configuration
2.4. Equation of Continuity
2.5. Pollution-to-Risk Model
3. Results
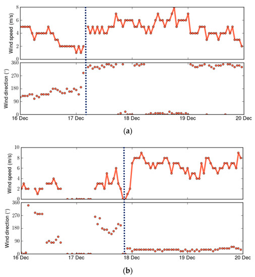
3.1. Impact of the Cold Front on Meteorology
3.2. Impact of the Cold Front on Air Pollution
3.3. Impact of the Cold Front on Health Risk
3.4. Uncertainty Analyses
4. Discussion
5. Conclusions
Author Contributions
Funding
Institutional Review Board Statement
Informed Consent Statement
Data Availability Statement
Acknowledgments
Conflicts of Interest
References
- Lin, C.; Leung, K.K.M.; Yu, A.L.C.; Tsang, R.C.W.; Tsui, W.B.C.; Fung, J.C.H.; Ng, E.K.W.; Cheung, S.L.; Tang, A.W.Y.; Ning, Z.; et al. Effects of Synoptic Patterns on the Vertical Structure of Ozone in Hong Kong Using Lidar Measurement. Atmos. Environ. 2021, 257, 118490. [Google Scholar] [CrossRef]
- You, S.; Kang, Y.-H.; Kim, B.-U.; Kim, H.C.; Kim, S. The Role of a Distant Typhoon in Extending a High PM2.5 Episode over Northeast Asia. Atmos. Environ. 2021, 257, 118480. [Google Scholar] [CrossRef]
- Wu, X.; Xu, L.; Hong, Y.; Chen, J.; Qiu, Y.; Hu, B.; Hong, Z.; Zhang, Y.; Liu, T.; Chen, Y.; et al. The Air Pollution Governed by Subtropical High in a Coastal City in Southeast China: Formation Processes and Influencing Mechanisms. Sci. Total Environ. 2019, 692, 1135–1145. [Google Scholar] [CrossRef]
- Wang, J.; Qu, W.; Li, C.; Zhao, C.; Zhong, X. Spatial Distribution of Wintertime Air Pollution in Major Cities over Eastern China: Relationship with the Evolution of Trough, Ridge and Synoptic System over East Asia. Atmos. Res. 2018, 212, 186–201. [Google Scholar] [CrossRef]
- Hong, J.; Mao, F.; Chen, L.; Zhang, Y.; Gong, W. Rapid Extreme Particulate Pollution during Cold Frontal Passage over Central China. Atmos. Res. 2022, 280, 106453. [Google Scholar] [CrossRef]
- Hou, X.; Zhu, B.; Kumar, K.R.; de Leeuw, G.; Lu, W.; Huang, Q.; Zhu, X. Establishment of Conceptual Schemas of Surface Synoptic Meteorological Situations Affecting Fine Particulate Pollution Across Eastern China in the Winter. J. Geophys. Res. Atmos. 2020, 125, e2020JD033153. [Google Scholar] [CrossRef]
- Hu, Y.; Wang, S.; Ning, G.; Zhang, Y.; Wang, J.; Shang, Z. A Quantitative Assessment of the Air Pollution Purification Effect of a Super Strong Cold-Air Outbreak in January 2016 in China. Air Qual. Atmos. Health 2018, 11, 907–923. [Google Scholar] [CrossRef]
- Sulaymon, I.D.; Zhang, Y.; Hu, J.; Hopke, P.K.; Zhang, Y.; Zhao, B.; Xing, J.; Li, L.; Mei, X. Evaluation of Regional Transport of PM2.5 during Severe Atmospheric Pollution Episodes in the Western Yangtze River Delta, China. J. Environ. Manag. 2021, 293, 112827. [Google Scholar] [CrossRef]
- Zhang, W.; Li, W.; An, X.; Zhao, Y.; Sheng, L.; Hai, S.; Li, X.; Wang, F.; Zi, Z.; Chu, M. Numerical Study of the Amplification Effects of Cold-Front Passage on Air Pollution over the North China Plain. Sci. Total Environ. 2022, 833, 155231. [Google Scholar] [CrossRef]
- Hu, X.-M.; Hu, J.; Gao, L.; Cai, C.; Jiang, Y.; Xue, M.; Zhao, T.; Crowell, S.M.R. Multisensor and Multimodel Monitoring and Investigation of a Wintertime Air Pollution Event Ahead of a Cold Front Over Eastern China. J. Geophys. Res. Atmos. 2021, 126, e2020JD033538. [Google Scholar] [CrossRef]
- Kang, H.; Zhu, B.; Gao, J.; He, Y.; Wang, H.; Su, J.; Pan, C.; Zhu, T.; Yu, B. Potential Impacts of Cold Frontal Passage on Air Quality over the Yangtze River Delta, China. Atmos. Chem. Phys. 2019, 19, 3673–3685. [Google Scholar] [CrossRef]
- Marinov, E.; Petrova-Antonova, D.; Malinov, S. Time Series Forecasting of Air Quality: A Case Study of Sofia City. Atmosphere 2022, 13, 788. [Google Scholar] [CrossRef]
- Herrmann, M.; Gutheil, E. Simulation of the Air Quality in Southern California, USA in July and October of the Year 2018. Atmosphere 2022, 13, 548. [Google Scholar] [CrossRef]
- Orellano, P.; Reynoso, J.; Quaranta, N.; Bardach, A.; Ciapponi, A. Short-Term Exposure to Particulate Matter (PM10 and PM2.5), Nitrogen Dioxide (NO2), and Ozone (O3) and All-Cause and Cause-Specific Mortality: Systematic Review and Meta-Analysis. Environ. Int. 2020, 142, 105876. [Google Scholar] [CrossRef]
- Orellano, P.; Reynoso, J.; Quaranta, N. Short-Term Exposure to Sulphur Dioxide (SO2) and All-Cause and Respiratory Mortality: A Systematic Review and Meta-Analysis. Environ. Int. 2021, 150, 106434. [Google Scholar] [CrossRef]
- Wong, T.W.; Tam, W.W.S.; Yu, I.T.S.; Lau, A.K.H.; Pang, S.W.; Wong, A.H.S. Developing a Risk-Based Air Quality Health Index. Atmos. Environ. 2013, 76, 52–58. [Google Scholar] [CrossRef]
- Stieb, D.M.; Burnett, R.T.; Smith-Doiron, M.; Brion, O.; Shin, H.H.; Economou, V. A New Multipollutant, No-Threshold Air Quality Health Index Based on Short-Term Associations Observed in Daily Time-Series Analyses. J. Air Waste Manag. Assoc. 2008, 58, 435–450. [Google Scholar] [CrossRef] [PubMed]
- Yan, Y.; Wang, X.; Huang, Z.; Qu, K.; Shi, W.; Peng, Z.; Zeng, L.; Xie, S.; Zhang, Y. Impacts of Synoptic Circulation on Surface Ozone Pollution in a Coastal Eco-City in Southeastern China during 2014–2019. J. Environ. Sci. 2023, 127, 143–157. [Google Scholar] [CrossRef]
- Su, S.-H.; Chang, C.-W.; Chen, W.-T. The Temporal Evolution of PM2.5 Pollution Events in Taiwan: Clustering and the Association with Synoptic Weather. Atmosphere 2020, 11, 1265. [Google Scholar] [CrossRef]
- Wang, L.; Bi, J.; Meng, X.; Geng, G.; Huang, K.; Li, J.; Tang, L.; Liu, Y. Satellite-Based Assessment of the Long-Term Efficacy of PM2.5 Pollution Control Policies across the Taiwan Strait. Remote Sens. Environ. 2020, 251, 112067. [Google Scholar] [CrossRef]
- Lin, C.; Yang, K.; Chen, D.; Guyennon, N.; Balestrini, R.; Yang, X.; Acharya, S.; Ou, T.; Yao, T.; Tartari, G.; et al. Summer Afternoon Precipitation Associated with Wind Convergence near the Himalayan Glacier Fronts. Atmos. Res. 2021, 259, 105658. [Google Scholar] [CrossRef]
- West, T.K.; Steenburgh, W.J. Formation, Thermodynamic Structure, and Airflow of a Japan Sea Polar Airmass Convergence Zone. Mon. Weather Rev. 2022, 150, 157–174. [Google Scholar] [CrossRef]
- Zhu, W.; Xu, L.; Tang, L.; Xiang, X. Eco-Efficiency of the Western Taiwan Straits Economic Zone: An Evaluation Based on a Novel Eco-Efficiency Model and Empirical Analysis of Influencing Factors. J. Clean. Prod. 2019, 234, 638–652. [Google Scholar] [CrossRef]
- Zhang, M.; Shi, L.; Ma, X.; Zhao, Y.; Gao, L. Study on Comprehensive Assessment of Environmental Impact of Air Pollution. Sustainability 2021, 13, 476. [Google Scholar] [CrossRef]
- Zhang, X.; Fung, J.C.H.; Zhang, Y.; Lau, A.K.H.; Leung, K.K.M.; Huang, W. (Wayne) Assessing PM2.5 Emissions in 2020: The Impacts of Integrated Emission Control Policies in China. Environ. Pollut. 2020, 263, 114575. [Google Scholar] [CrossRef]
- Gao, X.; Ruan, Z.; Liu, J.; Chen, Q.; Yuan, Y. Analysis of Atmospheric Pollutants and Meteorological Factors on PM2.5 Concentration and Temporal Variations in Harbin. Atmosphere 2022, 13, 1426. [Google Scholar] [CrossRef]
- Li, Y.; An, X.; Wang, B.; Li, J.; Wang, C. Analysis of Synergistic Effects of Cold Source and East Asian Winter Wind on Air Pollution in Typical Regions of China in Winter. Atmosphere 2022, 13, 1162. [Google Scholar] [CrossRef]
- Tan, Y.; Han, S.; Chen, Y.; Wu, Z.; Lee, S. Long-Term Variation and Evaluation of Air Quality across Hong Kong. J. Environ. Sci. 2023, 127, 284–294. [Google Scholar] [CrossRef]
- Mason, T.G.; Mary Schooling, C.; Ran, J.; Chan, K.-P.; Tian, L. Does the AQHI Reduce Cardiovascular Hospitalization in Hong Kong’s Elderly Population? Environ. Int. 2020, 135, 105344. [Google Scholar] [CrossRef]
- Woo, K.-S.; Chan, S.-W.; Kwok, T.C.Y.; Yin, Y.-H.; Chook, P.; Lin, C.-Q.; Celermajer, D.S. The Different Impact of PM2.5 on Atherogenesis in Overseas vs. Native Chinese in the CATHAY Study. Atmosphere 2022, 13, 1236. [Google Scholar] [CrossRef]









| Pollutants | Global Review [14,15] | AQHI of Canada [17] | AQHI of Hong Kong [16] |
|---|---|---|---|
| PM2.5 (per μg/m3) | 0.000648 | 0.000487 | 0.000218 |
| NO2 (per μg/m3) | 0.000717 | 0.000871 | 0.000446 |
| O3 (per μg/m3) | 0.000429 | 0.000537 | 0.000512 |
| SO2 (per μg/m3) | 0.000588 | - | 0.000139 |
| Pollutants | Global Review | AQHI in Canada | AQHI in Hong Kong | |||
|---|---|---|---|---|---|---|
| T1 | T2 | T1 | T2 | T1 | T2 | |
| PM2.5 (%) | 45.4 | 66.0 | 34.8 | 55.2 | 29.4 | 41.6 |
| NO2 (%) | 45.6 | 14.9 | 57.4 | 20.4 | 55.1 | 17.8 |
| O3 (%) | 6.0 | 17.2 | 7.7 | 24.3 | 14.1 | 39.7 |
| SO2 (%) | 3.0 | 1.8 | - | - | 1.4 | 0.8 |
| All gases (%) | 54.6 | 34 | 65.2 | 44.8 | 70.6 | 58.4 |
Publisher’s Note: MDPI stays neutral with regard to jurisdictional claims in published maps and institutional affiliations. |
© 2022 by the authors. Licensee MDPI, Basel, Switzerland. This article is an open access article distributed under the terms and conditions of the Creative Commons Attribution (CC BY) license (https://creativecommons.org/licenses/by/4.0/).
Share and Cite
Lin, C.; Zhang, W. Using a Pollution-to-Risk Method to Evaluate the Impact of a Cold Front: A Case Study in a Downstream Region in Southeastern China. Atmosphere 2022, 13, 1944. https://doi.org/10.3390/atmos13121944
Lin C, Zhang W. Using a Pollution-to-Risk Method to Evaluate the Impact of a Cold Front: A Case Study in a Downstream Region in Southeastern China. Atmosphere. 2022; 13(12):1944. https://doi.org/10.3390/atmos13121944
Chicago/Turabian StyleLin, Changqing, and Wengwan Zhang. 2022. "Using a Pollution-to-Risk Method to Evaluate the Impact of a Cold Front: A Case Study in a Downstream Region in Southeastern China" Atmosphere 13, no. 12: 1944. https://doi.org/10.3390/atmos13121944
APA StyleLin, C., & Zhang, W. (2022). Using a Pollution-to-Risk Method to Evaluate the Impact of a Cold Front: A Case Study in a Downstream Region in Southeastern China. Atmosphere, 13(12), 1944. https://doi.org/10.3390/atmos13121944

