Characteristics of Ozone Pollution and the Impacts of Related Meteorological Factors in Shanxi Province, China
Abstract
1. Introduction
2. Data and Methods
3. Result and Discussion
3.1. Characteristics of Surface O3 Pollution
3.1.1. Surface O3 Pollution
3.1.2. Monthly Mean Surface O3
3.1.3. MDA8 O3 at Each Percentile
3.1.4. Surface O3 Spatial Distribution
3.2. The Influence of Meteorological Factors on Surface O3
3.2.1. Temperature
3.2.2. Relative Humidity
3.2.3. Sunshine Duration
3.2.4. Wind
3.2.5. Comprehensive Evaluation of the Influence of Meteorological Factors on Surface O3
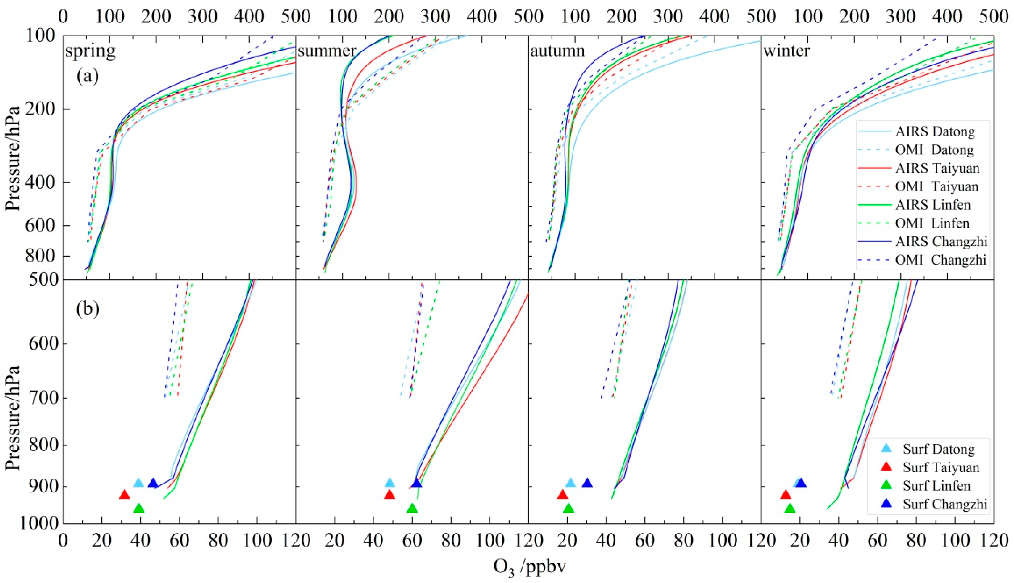
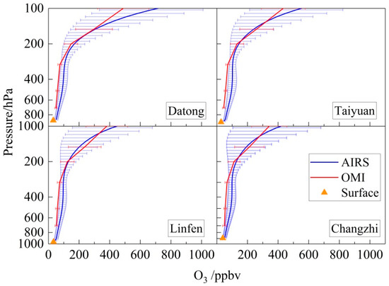
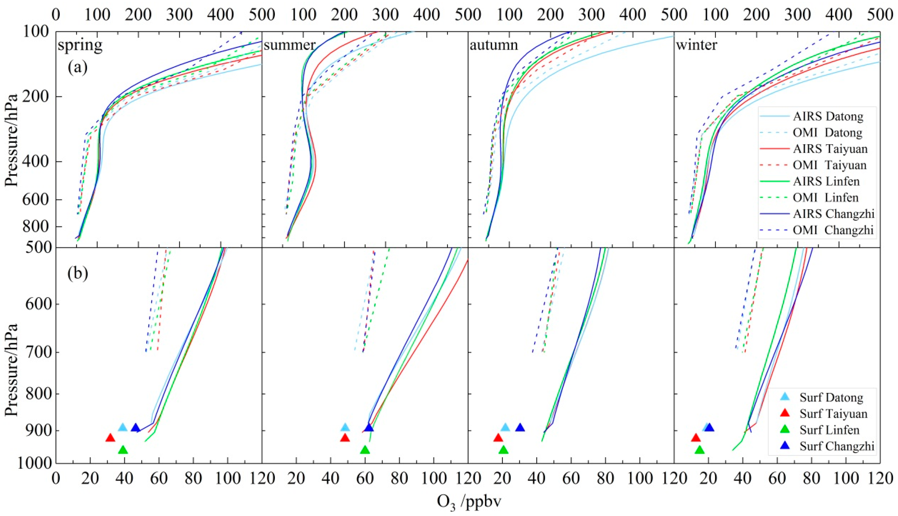
3.3. Vertical Distribution of O3 in Typical Polluted Areas
4. Conclusions
Author Contributions
Funding
Institutional Review Board Statement
Informed Consent Statement
Data Availability Statement
Acknowledgments
Conflicts of Interest
References
- Wang, T.J.; Sun, Z.B. Development of study on ozone variation and its climatic effect. Adv. Earth Sci. 1999, 14, 37–43. (In Chinese) [Google Scholar]
- Jia, L.; Ge, M.F. Advances in atmospheric ozone chemistry. Prog. Chem. 2006, 18, 1565–1574. [Google Scholar]
- Wang, W.G.; Yuan, M.; Wang, H.Y.; Sun, J.H.; Xie, Y.Q.; Fan, W.X.; Chen, X.M. A study of ozone amount in the transition layer between troposphere and stratosphere and its heating rate. Chin. J. Geophys. 2008, 51, 1309–1320. [Google Scholar] [CrossRef]
- Zhou, S.W.; Yang, S.Y.; Zhang, R.H.; Li, H.; Wang, M.R. Possible causes of total ozone depletion over the Qinghai-Xizang Plateau and its relation to tropopause height in recent 30 years. Plateau Meteorol. 2012, 31, 1417–1478. [Google Scholar]
- Ramaswamy, V.; Chanin, M.L.; Angell, J.; Barnett, J.; Gaffen, D.; Gelman, M.; Keckhut, P.; Koshelkov, Y.; Labitzke, K.; Lin, J.J.R.; et al. Stratospheric temperature trends: Observation sand model simulations. Rev. Geophys. 2001, 39, 71–122. [Google Scholar] [CrossRef]
- Tang, X.Y.; Zhang, Y.H.; Shao, M. Atmospheric Environmental Chemistry, 2nd ed.; Higher Education Press: Beijing, China, 2006. [Google Scholar]
- Lelieveld, J.; Dentener, F.J. What controls tropospheric ozone? J. Geophys. Res. Atmos. 2000, 105, 3531–3551. [Google Scholar] [CrossRef]
- Young, P.J.; Archibald, A.T.; Bowman, K.W.; Lamarque, J.F.; Zeng, G. Pre-industrial to end 21st century projections of tropospheric ozone from the Atmospheric Chemistry and Climate Model Intercomparison Project (ACCMIP). Atmos. Chem. Phys. 2013, 13, 2063–2090. [Google Scholar] [CrossRef]
- Atkinson, R. Atmospheric chemistry of VOCs and NOx. Atmos. Environ. 2000, 34, 2063–2101. [Google Scholar] [CrossRef]
- Zou, Y.; Deng, X.J.; Zhu, D.; Gong, D.C.; Wang, H.; Li, F.; Tan, H.B.; Deng, T.; Mai, B.R.; Liu, X.T.; et al. Characteristics of 1 year of observational data of VOCs, NOx and O3 at a suburban site in Guangzhou, China. Atmos. Chem. Phys. 2015, 15, 6625–6636. [Google Scholar] [CrossRef]
- Xiao, H.; Zhu, B. Modelling study of photochemical ozone creation potential of non-methane hydrocarbon. Water Air Soil Pollut. 2003, 145, 3–16. [Google Scholar] [CrossRef]
- Li, R.; Xu, M.; Li, M.; Chen, Z.; Zhao, N.; Gao, B.; Yao, Q. Identifying the spatiotemporal variations in ozone formation regimes across China from 2005 to 2019 based on polynomial simulation and causality analysis. Atmos. Chem. Phys. 2021, 21, 15631–15646. [Google Scholar] [CrossRef]
- Wang, Z.S.; Li, Y.T.; Chen, T.; Zhang, D.W.; Sun, F.; Wang, X.; Huan, N.; Pan, L.B. Analysis on diurnal variation characteristics of ozone and correlations with its precursors in urban atmosphere of Beijing. China Environ. Sci. 2014, 34, 3001–3008. [Google Scholar]
- Fiore, A.M.; Dentener, F.J.; Wild, O.; Cuvelier, C.; Schultz, M.G.; Hess, P.; Textor, C.; Schulz, M.; Doherty, R.M.; Horowitz, L.W.; et al. Multimodel estimates of intercontinental source-receptor relationships for ozone pollution. J. Geophys. Res.-Atmos. 2009, 114, 1–24. [Google Scholar] [CrossRef]
- Wang, X.S.; Li, J.L. The contribution of anthropogenic hydrocarbons to ozone formation in Beijing areas. China Environ. Sci. 2002, 22, 501–505. [Google Scholar]
- Shu, L.; Xie, M.; Wang, T.J.; Gao, D.; Chen, P.L.; Han, Y.; Li, S.; Zhuang, B.L.; Li, M.M. Integrated studies of a regional ozone pollution synthetically affected by subtropical high and typhoon system in the Yangtze River Delta region, China. Atmos. Chem. Phys. 2016, 16, 15801–15819. [Google Scholar] [CrossRef]
- Jiang, Z.J.; Li, J.; Lu, X.; Gong, C.; Zhang, L.; Liao, H. Impact of western Pacific subtropical high on ozone pollution over eastern China. Atmos. Chem. Phys. 2021, 21, 2601–2613. [Google Scholar] [CrossRef]
- Li, K.F.; Jiang, X.; Liang, M.C.; Yung, Y.L. Simulation of solar-cycle response in tropical total column ozone using SORCE irradiance. Atmos. Chem. Phys. Discuss. 2012, 12, 1867–1893. [Google Scholar] [CrossRef]
- Xue, L.; Xu, S.C.; Sun, M.; Meng, H.; Wang, J.; Zhang, Y.Q.; Liu, Y.F. Effect of Meteorological Factors and Precursors on the Change of Ambient Air Ozone Concentrations in Qingdao. Environ. Monit. China 2017, 33, 179–185. [Google Scholar]
- Shen, Y.B.; Wang, B. Effect of surface solar radiation variations on temperature in South-East China during recent 50 years. Chin. J. Geophys. 2011, 54, 1457–1465. [Google Scholar]
- Huang, J.; Liao, B.T.; Wu, D.; Wang, C.L.; Lan, J.; Shen, Z.Q.; Tang, J.; Liang, G.X. Guangzhou ground level ozone concentration characteristics and associated meteorological factors. Acta Sci. Circumstantiae 2018, 38, 23–31. [Google Scholar]
- Han, H.; Liu, J.; Shu, L.; Wang, T.; Yuan, H. Local and synoptic meteorological influences on daily variability in summertime surface ozone in eastern China. Atmos. Chem. Phys. 2020, 20, 203–222. [Google Scholar] [CrossRef]
- Xu, J.L.; Zhu, Y.X. Effects of the meteorological factors on the ozone pollution near the ground. Chin. J. Atmos. Sci. 1994, 18, 751–757. [Google Scholar]
- Yi, R.; Wang, Y.L.; Zhang, Y.J.; Shi, Y.; Li, M.S. Pollution characteristics and influence factors of ozone in Yangtze River Delta. Acta Sci. Circumstantiae 2015, 35, 2370–2377. [Google Scholar]
- Jacob, D.J.; Winner, D.A. Effect of climate change on air quality. Atmos. Environ. 2009, 43, 51–63. [Google Scholar] [CrossRef]
- Lu, K.D.; Guo, S.; Tan, Z.F.; Wang, H.C.; Shang, D.J.; Liu, Y.H.; Li, X.; Wu, Z.J.; Hu, M.; Zhang, Y.H. Exploring atmospheric free-radical chemistry in China: The self-cleansing capacity and the formation of secondary air pollution. Natl. Sci. Rev. 2019, 6, 579–594. [Google Scholar] [CrossRef]
- Camalier, L.; Cox, W.; Dolwick, P. The effects of meteorology on ozone in urban areas and their use in assessing ozone trends. Atmos. Environ. 2007, 41, 7127–7137. [Google Scholar] [CrossRef]
- Xue, L.K.; Wang, T.; Gao, J.; Ding, A.J.; Zhou, X.H.; Blake, D.R.; Wang, X.F.; Saunders, S.M.; Fan, S.J.; Zuo, H.C.; et al. Ground-level ozone in four Chinese cities: Precursors, regional transport and heterogeneous processes. Atmos. Chem. Phys. 2014, 14, 13175–13188. [Google Scholar] [CrossRef]
- Chung, Y.S. Ground-level ozone and regional transport of air pollutants. J. Appl. Meteor. 1977, 16, 1127–1136. [Google Scholar] [CrossRef]
- Zhao, W.; Gao, B.; Liu, M.; Lu, Q.; Ma, S.X.; Sun, J.R.; Chen, L.G.; Fan, S.J. Impact of Meteorological Factors on the Ozone Pollution in Hong Kong. Environ. Sci. 2019, 40, 55–66. [Google Scholar]
- Fei, L.L. Effect of Lightning Activities on Surface Atmospheric Nitrogen Dioxides. Ph.D. Thesis, University of Chinese Academy of Sciences, Guangzhou, China, 2017; p. 136. [Google Scholar]
- Li, K.; Jacob, D.J.; Shen, L.; Lu, X.; De Smedt, I.; Liao, H. Increases in surface ozone pollution in China from 2013 to 2019: Anthropogenic and meteorological influences. Atmos. Chem. Phys. 2020, 20, 11423–11433. [Google Scholar] [CrossRef]
- Wang, W.; van der A, R.; Ding, J.; van Weele, M.; Cheng, T. Spatial and temporal changes of the ozone sensitivity in China based on satellite and ground-based observations. Atmos. Chem. Phys. 2021, 21, 7253–7269. [Google Scholar] [CrossRef]
- Ma, X.; Huang, J.; Zhao, T.; Liu, C.; Zhao, K.; Xing, J.; Xiao, W. Rapid increase in summer surface ozone over the North China Plain during 2013–2019: A side effect of particulate matter reduction control? Atmos. Chem. Phys. 2021, 21, 1–16. [Google Scholar] [CrossRef]
- Ministry of Ecology and Environment of the People’s Republic of China. Announcements on the Implementation of Special Emission Limits of Air Pollutants in Beijing-Tianjin-Hebei Air Pollution Transmission Channel Cities, Announcement No. 9. 2018. Available online: https://www.mee.gov.cn/gkml/hbb/bgg/201801/t20180119_429997.htm (accessed on 10 January 2020).
- Ministry of Ecology and Environment of the People’s Republic of China. China’s Ecological Environment Communique of 2020. 2020. Available online: http://www.mee.gov.cn/hjzl/sthjzk/zghjzkgb/202105/P020210526572756184785.pdf (accessed on 10 January 2020).
- GB3095-2012; Ministry of Ecology and Environment of the People’s Republic of China, and General Administration of Quality Supervision, Inspection and Quarantine of the People’s Republic of China: Ambient Air Quality Standards. China Environmental Science Press: Beijing, China; Ministry of Ecology and Environment of the People’s Republic of China: Beijing, China, 2012. Available online: http://www.mee.gov.cn/ywgz/fgbz/bz/bzwb/dqhjbh/dqhjzlbz/201203/W020120410330232398521.pdf (accessed on 10 January 2020).
- Ministry of Ecology and Environment of the People’s Republic of China. Technical Regulation for Ambient Air Quality Assessment (on Trial), HJ 663-2013. 2013. Available online: http://www.mee.gov.cn/ywgz/fgbz/bz/bzwb/jcffbz/201309/W020131105548549111863.pdf (accessed on 10 January 2020).
- Barnet, C.; Manning, E.; Rosenkranz, P.; Strow, L.; Susskind, J. AIRS Level 2 Algorithm Theoretical Basis Document, Version 4.0; 1 March 2007. Available online: https://disc.gsfc.nasa.gov/information/documents?title=AIRS%20Documentation (accessed on 16 July 2020).
- de Haan, J.F.; Veefkind, J.P. OMO3PR Readme Document; 28 September 2012. Available online: https://aura.gesdisc.eosdis.nasa.gov/data/Aura_OMI_Level2/OMO3PR.003/doc/README.OMO3PR.pdf (accessed on 10 July 2020).
- OMI Team. Ozone Monitoring Instrument (OMI) Data User’s Guide; OMI-DUG-5.0; 5 January 2012. Available online: https://docserver.gesdisc.eosdis.nasa.gov/repository/Mission/OMI/3.3_ScienceDataProductDocumentation/3.3.2_ProductRequirements_Designs/README.OMI_DUG.pdf (accessed on 17 June 2020).
- Veefkind, J.P.; de Haan, J.F.; Levelt, P.F.; Noordhoek, R. OMI Level 2 Ozone Profile Data Product Specification; Issue 1.1; 11 June 2009. Available online: https://docserver.gesdisc.eosdis.nasa.gov//repository/Mission/OMI/3.3_ScienceDataProductDocumentation/3.3.2_ProductRequirements_Designs/L2_profile_spec_issue11.pdf (accessed on 17 June 2020).
- Manning, E.; Kahn, B.; Fetzer, E.J.; Yue, Q.; Wong, S.; Kalmus, P.; Payne, V.; Olsen, E.T.; Wilson, R.C.; Blaisdell, J.; et al. AIRS/AMSU/HSB Version 7 Level 2 Product User Guide; Document Version 1.0.1; 12 July 2020. Available online: https://disc.gsfc.nasa.gov/information/documents?title=AIRS%20Documentation (accessed on 12 August 2020).
- Kahn, B.; Manning, E.; Blaisdell, J.; Susskind, J. AIRS/AMSU/HSB Version 7 Level 2 Quality Control and Error Estimation; Document Version 0.3.1; 8 June 2020. Available online: https://disc.gsfc.nasa.gov/information/documents?title=AIRS%20Documentation (accessed on 13 August 2020).
- Blaisdell, J.M.; Farahmand, A.; Fetzer, E.J.; Fishbein, E.; Griffin, E.; Iredell, L.; Irion, F.W.; Kahn, B.H.; Kalmus, P.; Manning, E.; et al. AIRS Version 7 Level 2 Performance Test and Validation Report; April 2020. Available online: https://disc.gsfc.nasa.gov/information/documents?title=AIRS%20Documentation (accessed on 14 September 2020).
- Zong, L.; Yang, Y.; Gao, M.; Wang, H.; Wang, P.; Zhang, H.; Wang, L.; Ning, G.; Liu, C.; Li, Y.; et al. Large-scale synoptic drivers of co-occurring summertime ozone and PM2.5 pollution in eastern China. Atmos. Chem. Phys. 2021, 21, 9105–9124. [Google Scholar] [CrossRef]
- Department of Ecology and Environment of Shanxi Province 2015–2019: Bulletin on the Status of Ecological Environment in Shanxi Province. Available online: https://sthjt.shanxi.gov.cn/html/hjzkgb/ (accessed on 7 May 2021).
- Dickerson, R.R.; Kondragunta, S.; Stenchikov, G.; Civerolo, K.L.; Doddridge, B.G.; Holben, B.N. The impact of aerosols on solar ultraviolet radiation and photochemical smog. Science 1997, 278, 827–830. [Google Scholar] [CrossRef] [PubMed]
- Castro, T.; Madronich, S.; Rivale, S.; Muhlia, A.; Mar, B. The influence of aerosols on photochemical smog in Mexico City. Atmos. Environ. 2001, 35, 1765–1772. [Google Scholar] [CrossRef]
- Benas, N.; Mourtzanou, E.; Kouvarakis, G.; Bais, A.; Mihalopoulos, N.; Vardavas, I. Surface ozone photolysis rate trends in the Eastern Mediterranean: Modeling the effects of aerosols and total column ozone based on Terra MODIS data. Atmos. Environ. 2013, 74, 1–9. [Google Scholar] [CrossRef]
- Tan, Z.; Fuchs, H.; Lu, K.; Hofzumahaus, A.; Bohn, B.; Broch, S.; Dong, H.; Gomm, S.; Häseler, R.; He, L.; et al. Radical chemistry at a rural site (Wangdu) in the North China Plain: Observation and model calculations of OH, HO2 and RO2 radicals. Atmos. Chem. Phys. 2017, 17, 663–690. [Google Scholar] [CrossRef]
- Tan, Z.; Rohrer, F.; Lu, K.; Ma, X.; Bohn, B.; Broch, S.; Dong, H.; Fuchs, H.; Gkatzelis, G.I.; Hofzumahaus, A.; et al. Wintertime photochemistry in Beijing: Observations of ROx radical concentrations in the North China Plain during the BEST-ONE campaign. Atmos. Chem. Phys. 2018, 18, 12391–12411. [Google Scholar] [CrossRef]
- Lu, K.D.; Rohrer, F.; Holland, F.; Fuchs, H.; Brauers, T.; Oebel, A.; Dlugi, R.; Hu, M.; Li, X.; Lou, S.R.; et al. Nighttime observation and chemistry of HOx in the Pearl River Delta and Beijing in summer 2006. Atmos. Chem. Phys. 2014, 14, 4979–4999. [Google Scholar] [CrossRef]
- Qu, Y.W.; Wang, T.J.; Cai, Y.F.; Wang, S.K.; Chen, P.L.; Li, S.; Li, M.M.; Yuan, C.; Wang, J.; Xu, S.C. Influence of atmospheric particulate matter on ozone in Nanjing, China: Observational study and mechanistic analysis. Adv. Atmos. Sci. 2018, 35, 1381–1395. [Google Scholar] [CrossRef]
- Xing, J.; Wang, J.; Mathur, R.; Wang, S.; Sarwar, G.; Pleim, J.; Hogrefe, C.; Zhang, Y.; Jiang, J.; Wong, D.C.; et al. Impacts of aerosol direct effects on tropospheric ozone through changes in atmospheric dynamics and photolysis rates. Atmos. Chem. Phys. 2017, 17, 9869–9883. [Google Scholar] [CrossRef] [PubMed]
- Yu, Y.J.; Meng, X.Y.; Wang, Z.; Zhou, W.; Yu, H.X. Driving Factors of the Significant Increase in Surface Ozone in the Beijing-Tianjin-Hebei Region, China, During 2013–2018. Environ. Sci. 2020, 41, 106–114. [Google Scholar]
- Hu, X.M.; Klein, P.M.; Xue, M.; Zhang, F.Q.; Doughty, D.C.; Forkel, R.; Joseph, E.; Fuentes, J.D. Impact of the vertical mixing induced by low-level jets on boundary layer ozone concentration. Atmos. Environ. 2013, 70, 123–130. [Google Scholar] [CrossRef]
- Chen, Q.; Li, X.B.; Song, R.F.; Wang, H.W.; Li, B.; He, H.D.; Peng, Z.R. Development and utilization of hexacopter unmanned aerial vehicle platform to characterize vertical distribution of boundary layer ozone in wintertime. Atmos. Poll. Res. 2020, 7, 1073–1083. [Google Scholar] [CrossRef]
- James, B.K. Understanding the factors that affect surface ultraviolet radiation. Opt. Eng. 2005, 44, 041002. [Google Scholar] [CrossRef]
- Aun, M.; Lakkala, K.; Sanchez, R.; Asmi, E.; Nollas, F.; Meinander, O.; Sogacheva, L.; De Bock, V.; Arola, A.; de Leeuw, G.; et al. Solar UV radiation measurements in Marambio, Antarctica, during years 2017–2019. Atmos. Chem. Phys. 2020, 20, 6037–6054. [Google Scholar] [CrossRef]
- Li, R.M.; Wu, Y.Y.; Peng, L.; Ma, Q.L.; Li, Y.H.; Wang, H.J.; Mu, L.; Yan, Y.L.; Bai, H.L. Characteristics and sources apportionment of ambient volatile organic compounds (VOCs) in summer in Shuozhou. Environ. Chem. 2017, 36, 984–993. [Google Scholar]
- Cheng, L.J.; Wang, S.; Gong, Z.Y.; Yang, Q.; Wang, Y.Y. Pollution Trends of Ozone in Ozone Monitoring Pilot Cities from 2008 to 2016. Environ. Monit. China 2017, 33, 26–32. [Google Scholar]
- Li, S.J.; Li, H.; Chen, M.; Cao, Z.L.; Hunag, Y.G.; Li, S. Effect of meteorological parameters on ozone and its precursors in the southwest urban area of Xi’an. J. Meteorol. Environ. 2018, 34, 59–67. [Google Scholar]
- Chang, K.L.; Petropavlovskikh, I.; Cooper, O.R.; Schultz, M.G.; Wang, T. Regional trend analysis of surface ozone observations from monitoring networks in eastern North America, Europe and East Asia. Elem. Sci. Anthr. 2017, 5, 50. [Google Scholar] [CrossRef]
- Xiao, H.; Carmichael, G.R.; Durchenwald, J.; Thornton, D.; Bandy, A. Long-range transport of SOx and dust in East Asia during the PEM B Experiment. J. Geophys. Res. 1997, 102, 28589–28612. [Google Scholar] [CrossRef]
- Cheng, L.J.; Wang, S.; Gong, Z.Y.; Yang, Q.; Wang, Y.Y. Spatial and seasonal variation and regionalization of ozone concentrations in China. China Environ. Sci. 2017, 37, 4003–4012. [Google Scholar]
- Taylor, K.E. Summarizing multiple aspects of model performance in a single diagram. J. Geophys. Res. 2001, 106, 7183–7192. [Google Scholar] [CrossRef]
- Schubert, S.D.; Munteanu, M.J. An analysis of tropopause pressure and total ozone correlations. Mon. Weather Rev. 1988, 116, 569–582. [Google Scholar] [CrossRef]
- Holton, J.R.; Haynes, P.H.; Mcintyre, M.E.; Douglass, A.R.; Rood, R.B.; Pfister, L. Stratosphere-troposphere exchange. Rev. Geophys. 1995, 33, 403–439. [Google Scholar] [CrossRef]
- Tsutsumi, Y.; Igarashi, Y.; Zaizen, Y.; Makino, Y. Case studies of tropospheric ozone events observed at the summit of Mount Fuji. J. Geophys. Res. 1998, 103, 16935–16951. [Google Scholar] [CrossRef]
- Ding, A.J.; Wang, T. Influence of stratosphere-to-troposphere exchange on the seasonal cycle of surface ozone at Mount Waliguan in western China. Geophys. Res. Lett. 2006, 33, L03803. [Google Scholar] [CrossRef]
- Velasco, E.; Márquez, C.; Bueno, E.; Bernabé, R.M.; Sánchez, A.; Fentanes, O.; Wöhrnschimmel, H.; Cárdenas, B.; Kamilla, A.; Wakamatsu, S.; et al. Vertical distribution of ozone and VOCs in the low boundary layer of Mexico City. Atmos. Chem. Phys. 2008, 8, 3061–3079. [Google Scholar] [CrossRef]

















| City | Da tong | Shuo- zhou | Xin zhou | Lv- liang | Tai- yuan | Jin- zhong | Yang- quan | Lin- fen | Chang- zhi | Jin- cheng | Yun- cheng |
|---|---|---|---|---|---|---|---|---|---|---|---|
| Altitude/m | 1052.6 | 1114.8 | 869.9 | 950.8 | 776.3 | 831.2 | 767.2 | 449.5 | 1046.9 | 752.6 | 375.0 |
| Sampling Sites | O3 | Time Period | Primary Meteorological Factors |
|---|---|---|---|
| Shanxi Province, China (This work) | 170 μg·m−3, 90th-MDA8 | 2020 | Temperature, relatively humidity, wind, sunshine duration |
| 337 cities, China | 138 μg·m−3, 90th-MDA8 [36] | 2020 | Temperature, relatively humidity [22] |
| Beijing–Tianjin–Hebei Region, China | 180 μg·m−3, 90th-MDA8 [36] | 2020 | Temperature, relatively humidity, sunshine duration [62] |
| Yangtze River Delta, China | 152 μg·m−3, 90th-MDA8 [36] | 2020 | Relatively humidity, temperature, sunshine duration, wind [24] |
| Fen-Wei plain, China | 161 μg·m−3, 90th-MDA8 [36] | 2020 | Temperature, relatively humidity, wind, pressure [63] |
| 756 sites, Eastern North, America | ~51 ppb, MDA8 [64] | 2014 | Temperature, relatively humidity, wind [27] |
| 1007 sites, Europe | ~50 ppb, MDA8 [64] | 2014 | Temperature, wind [14] |
Publisher’s Note: MDPI stays neutral with regard to jurisdictional claims in published maps and institutional affiliations. |
© 2022 by the authors. Licensee MDPI, Basel, Switzerland. This article is an open access article distributed under the terms and conditions of the Creative Commons Attribution (CC BY) license (https://creativecommons.org/licenses/by/4.0/).
Share and Cite
Chen, L.; Xiao, H.; Zhu, L.; Guo, X.; Wang, W.; Ma, L.; Guo, W.; He, J.; Wang, Y.; Li, M.; et al. Characteristics of Ozone Pollution and the Impacts of Related Meteorological Factors in Shanxi Province, China. Atmosphere 2022, 13, 1729. https://doi.org/10.3390/atmos13101729
Chen L, Xiao H, Zhu L, Guo X, Wang W, Ma L, Guo W, He J, Wang Y, Li M, et al. Characteristics of Ozone Pollution and the Impacts of Related Meteorological Factors in Shanxi Province, China. Atmosphere. 2022; 13(10):1729. https://doi.org/10.3390/atmos13101729
Chicago/Turabian StyleChen, Ling, Hui Xiao, Lingyun Zhu, Xue Guo, Wenya Wang, Li Ma, Wei Guo, Jieying He, Yan Wang, Mingming Li, and et al. 2022. "Characteristics of Ozone Pollution and the Impacts of Related Meteorological Factors in Shanxi Province, China" Atmosphere 13, no. 10: 1729. https://doi.org/10.3390/atmos13101729
APA StyleChen, L., Xiao, H., Zhu, L., Guo, X., Wang, W., Ma, L., Guo, W., He, J., Wang, Y., Li, M., Chen, E., Lan, J., & Nan, R. (2022). Characteristics of Ozone Pollution and the Impacts of Related Meteorological Factors in Shanxi Province, China. Atmosphere, 13(10), 1729. https://doi.org/10.3390/atmos13101729

