PM10-Bound Sugars: Chemical Composition, Sources and Seasonal Variations
Abstract
1. Introduction
2. Experiments
2.1. Studied Area and Sampling Details
2.2. Analytical Determinations
2.3. Statistical Treatment
3. Results and Discussion
3.1. Meteorological Conditions
3.2. Particulate Matter and Organic Carbon Seasonal Variations
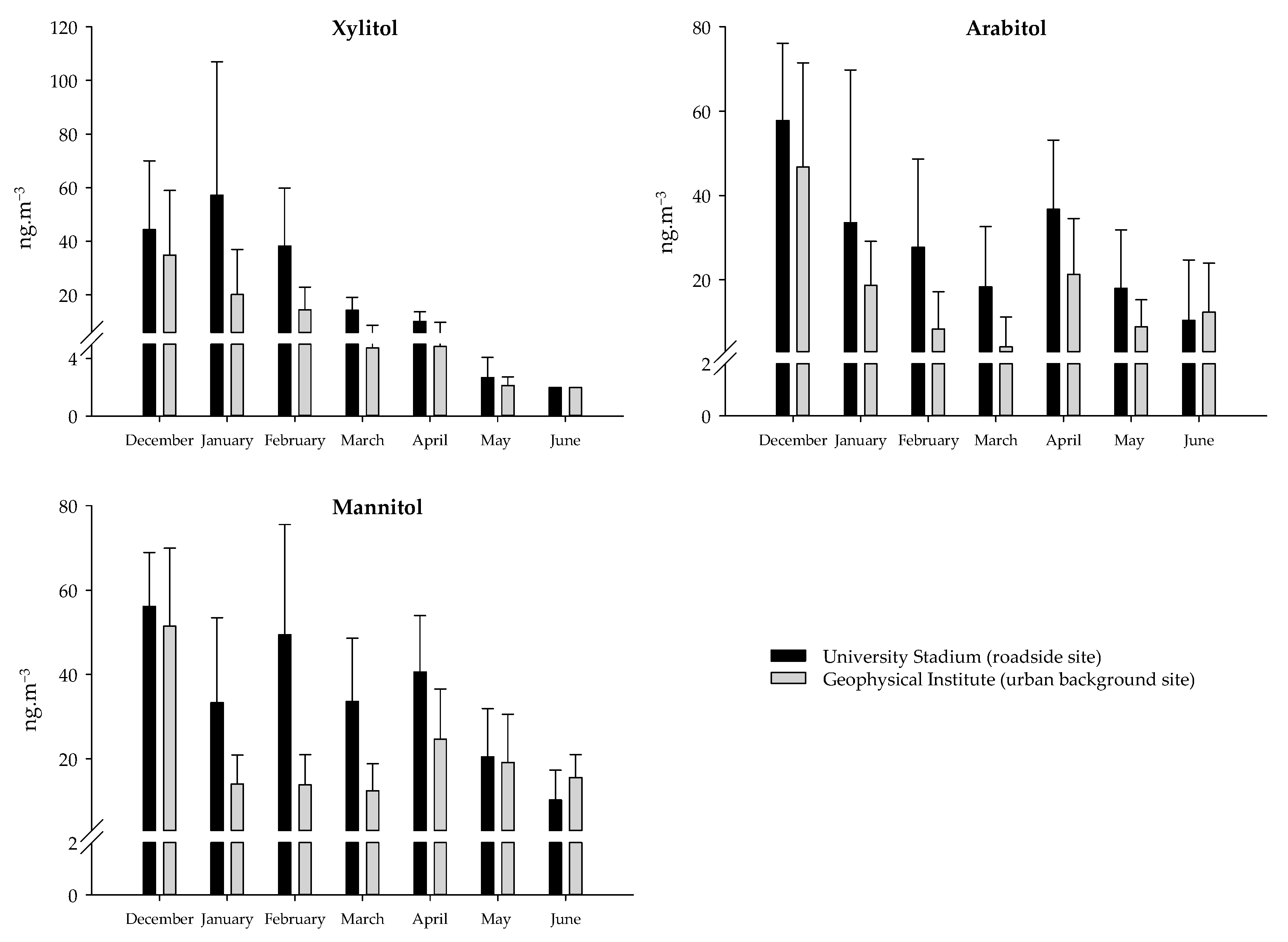
3.3. Sugar Concentrations and Seasonal Variations
3.3.1. Anhydrosugars
3.3.2. Sugar Alcohols
4. Conclusions
Supplementary Materials
Author Contributions
Funding
Institutional Review Board Statement
Informed Consent Statement
Data Availability Statement
Acknowledgments
Conflicts of Interest
References
- European Environment Agency. Industrial Pollution in Europe; EEA: Copenhagen, Denamark, 2019. [Google Scholar]
- Jia, Y.; Clements, A.L.; Fraser, M.P. Saccharide composition in atmospheric particulate matter in the southwest US and estimates of source contributions. J. Aerosol Sci. 2010, 41, 62–73. [Google Scholar] [CrossRef]
- Samaké, A.; Jaffrezo, J.-L.; Favez, O.; Weber, S.; Jacob, V.; Albinet, A.; Riffault, V.; Perdrix, E.; Waked, A.; Golly, B.; et al. Polyols and glucose particulate species as tracers of primary biogenic organic aerosols at 28 French sites. Atmos. Chem. Phys. 2019, 19, 3357–3374. [Google Scholar] [CrossRef]
- Xiao, M.; Wang, Q.; Qin, X.; Yu, G.; Deng, C. Composition, Sources, and Distribution of PM2.5 Saccharides in a Coastal Urban Site of China. Atmosphere 2018, 9, 274. [Google Scholar] [CrossRef]
- Caseiro, A.; Marr, I.L.; Claeys, M.; Kasper-Giebl, A.; Puxbaum, H.; Pio, C.A. Determination of saccharides in atmospheric aerosol using anion-exchange high-performance liquid chromatography and pulsed-amperometric detection. J. Chromatogr. A 2007, 1171, 37–45. [Google Scholar] [CrossRef]
- Medeiros, P.M.; Simoneit, B.R. Analysis of sugars in environmental samples by gas chromatography–mass spec-trometry. J. Chromatogr. A 2007, 1141, 271–278. [Google Scholar] [CrossRef]
- Simoneit, B.R.; Elias, V.O.; Kobayashi, M.; Kawamura, K.; Rushdi, A.I.; Medeiros, P.M.; Rogge, W.F.; Didyk, B.M. Sugars dominant water-soluble organic compounds in soils and characterization as tracers in at-mospheric particulate matter. Environ. Sci. Technol. 2004, 38, 5939–5949. [Google Scholar] [CrossRef] [PubMed]
- Andreae, M.O.; Rosenfeld, D. Aerosol–cloud–precipitation interactions. Part 1. The nature and sources of cloud-active aerosols. Earth Sci. Rev. 2008, 89, 13–41. [Google Scholar] [CrossRef]
- Bauer, H.; Claeys, M.; Vermeylen, R.; Schueller, E.; Weinke, G.; Berger, A.; Puxbaum, H. Arabitol and mannitol as tracers for the quantification of airborne fungal spores. Atmos. Environ. 2008, 42, 588–593. [Google Scholar] [CrossRef]
- Calvo, A.; Alves, C.; Castro, A.; Pont, V.; Vicente, A.; Fraile, R. Research on aerosol sources and chemical composition: Past, current and emerging issues. Atmos. Res. 2013, 120, 1–28. [Google Scholar] [CrossRef]
- Elbert, W.; Taylor, P.E.; Andreae, M.O.; Pöschl, U. Contribution of fungi to primary biogenic aerosols in the atmosphere: Wet and dry discharged spores, carbohydrates, and inorganic ions. Atmos. Chem. Phys. 2007, 7, 4569–4588. [Google Scholar] [CrossRef]
- Womiloju, T.O.; Miller, J.D.; Mayer, P.M.; Brook, J.R. Methods to determine the biological composition of particulate matter collected from outdoor air. Atmos. Environ. 2003, 37, 4335–4344. [Google Scholar] [CrossRef]
- Dahlman, L.; Persson, J.; Näsholm, T.; Palmqvist, K. Carbon and nitrogen distribution in the green algal lichens Hy-pogymnia physodes and Platismatia glauca in relation to nutrient supply. Planta 2003, 217, 41–48. [Google Scholar] [CrossRef] [PubMed]
- Rogge, W.F.; Medeiros, P.M.; Simoneit, B.R. Organic marker compounds for surface soil and fugitive dust from open lot dairies and cattle feedlots. Atmos. Environ. 2006, 40, 27–49. [Google Scholar] [CrossRef]
- Vélëz, H.; Glassbrook, N.J.; Daub, M.E. Mannitol metabolism in the phytopathogenic fungus Alternaria alternata. Fungal Genet. Biol. 2007, 44, 258–268. [Google Scholar] [CrossRef]
- Zhu, C.; Kawamura, K.; Fukuda, Y.; Mochida, M.; Iwamoto, Y. Fungal spores overwhelm biogenic organic aerosols in a midlatitudinal forest. Atmos. Chem. Phys. 2016, 16, 7497–7506. [Google Scholar] [CrossRef]
- Fraser, M.P.; Lakshmanan, K. Using Levoglucosan as a Molecular Marker for the Long-Range Transport of Biomass Combustion Aerosols. Environ. Sci. Technol. 2000, 34, 4560–4564. [Google Scholar] [CrossRef]
- Gonçalves, C.; Alves, C.; Evtyugina, M.; Mirante, F.; Pio, C.; Caseiro, A.; Schmidl, C.; Bauer, H.; Carvalho, F.P. Characterisation of PM10 emissions from woodstove combustion of common woods grown in Portugal. Atmos. Environ. 2010, 44, 4474–4480. [Google Scholar] [CrossRef]
- Simoneit, B.; Schauer, J.; Nolte, C.; Oros, D.; Elias, V.; Fraser, M.; Rogge, W.; Cass, G. Levoglucosan, a tracer for cellulose in biomass burning and atmospheric particles. Atmos. Environ. 1999, 33, 173–182. [Google Scholar] [CrossRef]
- Srithawirat, T.; Brimblecombe, P. Seasonal Variation of Saccharides and Furfural in Atmospheric Aerosols at a Semi-Urban Site. Aerosol Air Qual. Res. 2015, 15, 821–832. [Google Scholar] [CrossRef]
- Draxler, G.D.; Rolph, R.R. HYSPLIT (HYbrid Single-Particle Lagrangian Integrated Trajectory) Model Access via NOAA ARL READY 2013. Available online: https://ready.arl.noaa.gov/HYSPLIT_traj.php (accessed on 20 May 2020).
- Pio, C.; Cerqueira, M.; Harrison, R.M.; Nunes, T.; Mirante, F.; Alves, C.; Oliveira, C.; Sanchez de la Campa, A.; Artinano, B.; Matos, M. OC/EC ratio observations in Europe: Re-thinking the approach for apportionment between primary and sec-ondary organic carbon. Atmos. Environ. 2011, 45, 6121–6132. [Google Scholar] [CrossRef]
- Gonçalves, C.; Figueiredo, B.R.; Alves, C.; Cardoso, A.A.; Vicente, A. Size-segregated aerosol chemical composition from an agro-industrial region of São Paulo state, Brazil. Air Qual. Atmos. Health 2016, 10, 483–496. [Google Scholar] [CrossRef]
- Maroco, J. Análise Estatística com Utilização do SPSS, 3rd ed.; Edições Sílabo: Lisbon, Portugal, 2007. [Google Scholar]
- Mann, D.R.; Whitney, H.B. On a test of whether one of 2 random variables is stochastically larger than the other. Ann. Math. Stat. 1947, 18, 50–60. [Google Scholar] [CrossRef]
- Alves, C.; Nunes, T.; Vicente, A.; Gonçalves, C.; Evtyugina, M.; Marques, T.; Pio, C.; Bate-Epey, F. Speciation of organic compounds in aerosols from urban background sites in the winter season. Atmos. Res. 2014, 150, 57–68. [Google Scholar] [CrossRef]
- European Environment Agency. Air Quality in Europe—2019 Report; EEA: Copenhagen, Denmark, 2019. [Google Scholar]
- Liang, L.; Engling, G.; Du, Z.; Cheng, Y.; Duan, F.; Liu, X.; He, K. Seasonal variations and source estimation of saccharides in atmospheric particulate matter in Beijing, China. Chemosphere 2016, 150, 365–377. [Google Scholar] [CrossRef]
- Alvi, M.U.; Kistler, M.; Shahid, I.; Alam, K.; Chishtie, F.; Mahmud, T.; Kasper-Giebl, A. Composition and source apportionment of saccharides in aerosol particles from an agro-industrial zone in the Indo-Gangetic Plain. Environ. Sci. Pollut. Res. 2020, 27, 14124–14137. [Google Scholar] [CrossRef]
- Shahid, I.; Kistler, M.; Shahid, M.Z.; Puxbaum, H. Aerosol Chemical Characterization and Contribution of Biomass Burning to Particulate Matter at a Residential Site in Islamabad, Pakistan. Aerosol Air Qual. Res. 2019, 19, 148–162. [Google Scholar] [CrossRef]
- Portuguese Environment Agency. Natural Event Forecasting 2020. Available online: https://qualar.apambiente.pt/node/eventos_naturais (accessed on 20 May 2020).
- Yttri, K.E.; Dye, C.; Kiss, G. Ambient aerosol concentrations of sugars and sugar-alcohols at four different sites in Norway. Atmos. Chem. Phys. 2007, 7, 4267–4279. [Google Scholar] [CrossRef]
- Ma, S.; Wang, Z.; Bi, X.; Sheng, G.; Fu, J. Composition and source of saccharides in aerosols in Guangzhou, China. Sci. Bull. 2009, 54, 4500–4506. [Google Scholar] [CrossRef]
- Nolte, C.G.; Schauer, J.J.; Cass, G.R.; Simoneit, B.R.T. Highly Polar Organic Compounds Present in Wood Smoke and in the Ambient Atmosphere. Environ. Sci. Technol. 2001, 35, 1912–1919. [Google Scholar] [CrossRef]
- Nirmalkar, J.; Deshmukh, D.K.; Deb, M.K.; Tsai, Y.I.; Sopajaree, K. Mass loading and episodic variation of molecular markers in PM2.5 aerosols over a rural area in eastern central India. Atmos. Environ. 2015, 117, 41–50. [Google Scholar] [CrossRef]
- Pietrogrande, M.C.; Bacco, D.; Visentin, M.; Ferrari, S.; Casali, P. Polar organic marker compounds in atmospheric aerosol in the Po Valley during the Supersito campaigns—Part 2: Seasonal variations of sugars. Atmos. Environ. 2014, 97, 215–225. [Google Scholar] [CrossRef]
- Scaramboni, C.; Urban, R.; Lima-Souza, M.; Nogueira, R.; Cardoso, A.; Allen, A.; Campos, M.L.A. Total sugars in atmospheric aerosols: An alternative tracer for biomass burning. Atmos. Environ. 2015, 100, 185–192. [Google Scholar] [CrossRef]
- Graham, B.; Guyon, P.; Maenhaut, W.; Taylor, P.E.; Ebert, M.; Matthias-Maser, S.; Mayol-Bracero, O.L.; Godoi, R.H.M.; Artaxo, P.; Meixner, F.X.; et al. Composition and diurnal variability of the natural Amazonian aerosol. J. Geophys. Res. Space Phys. 2003, 108. [Google Scholar] [CrossRef]
- Medeiros, P.M.; Conte, M.H.; Weber, J.C.; Simoneit, B.R. Sugars as source indicators of biogenic organic carbon in aerosols collected above the Howland Experimental Forest, Maine. Atmos. Environ. 2006, 40, 1694–1705. [Google Scholar] [CrossRef]
- Tsai, Y.I.; Sopajaree, K.; Kuo, S.-C.; Hsin, T.-Y. Chemical Composition and Size-Fractionated Origins of Aerosols over a Remote Coastal Site in Southern Taiwan. Aerosol Air Qual. Res. 2015, 15, 2549–2570. [Google Scholar] [CrossRef]
- Du, J.L.; Zhong, Y.; Xu, M.; Hu, B.H.; Sun, C.J.; Feng, W.W. Composition, size distribution and sources of saccharides in the atmosphere particles in Shanghai. Res. Environ. Sci. 2015, 28, 1337–1344. [Google Scholar]
- Wan, E.C.H.; Yu, J.Z. Analysis of Sugars and Sugar Polyols in Atmospheric Aerosols by Chloride Attachment in Liquid Chromatography/Negative Ion Electrospray Mass Spectrometry. Environ. Sci. Technol. 2007, 41, 2459–2466. [Google Scholar] [CrossRef]
- Chen, J.; Kawamura, K.; Liu, C.; Fu, P. Long-term observations of saccharides in remote marine aerosols from the western North Pacific: A comparison between 1990–1993 and 2006–2009 periods. Atmos. Environ. 2013, 67, 448–458. [Google Scholar] [CrossRef]
- Caseiro, A.; Oliveira, C. Variations in wood burning organic marker concentrations in the atmospheres of four European cities. J. Environ. Monit. 2012, 14, 2261. [Google Scholar] [CrossRef]
- Carslaw, D.C.; Ropkins, K. Openair—An R package for air quality data analysis. Environ. Model. Softw. 2012, 27, 52–61. [Google Scholar] [CrossRef]
- Giannoni, M.; Martellini, T.; Del Bubba, M.; Gambaro, A.; Zangrando, R.; Chiari, M.; Lepri, L.; Cincinelli, A. The use of levoglucosan for tracing biomass burning in PM2.5 samples in Tuscany (Italy). Environ. Pollut. 2012, 167, 7–15. [Google Scholar] [CrossRef] [PubMed]
- Caseiro, A.; Bauer, H.; Schmidl, C.; Pio, C.; Puxbaum, H. Wood burning impact on PM10 in three Austrian regions. Atmos. Environ. 2009, 43, 2186–2195. [Google Scholar] [CrossRef]
- Amato, F.; Alastuey, A.; Karanasiou, A.; Lucarelli, F.; Nava, S.; Calzolai, G.; Severi, M.; Becagli, S.; Gianelle, V.L.; Colombi, C.; et al. AIRUSE-LIFE+: A harmonized PM speciation and source apportionment in five southern European cities. Atmos. Chem. Phys. 2016, 16, 3289–3309. [Google Scholar] [CrossRef]
- Fine, P.M.; Cass, G.R.; Simoneit, B.R.T. Chemical characterization of fine particle emissions from the fireplace com-bustion of wood types grown in the Midwestern and Western United States. Environ. Eng. Sci. 2004, 21, 387–409. [Google Scholar] [CrossRef]
- Schmidl, C.; Marr, I.L.; Caseiro, A.; Kotianová, P.; Berner, A.; Bauer, H.; Kasper-Giebl, A.; Puxbaum, H. Chemical characterisation of fine particle emissions from wood stove combustion of common woods growing in mid-European Alpine regions. Atmos. Environ. 2008, 42, 126–141. [Google Scholar] [CrossRef]
- Iinuma, Y.; Engling, G.; Puxbaum, H.; Herrmann, H. A highly resolved anion-exchange chromatographic method for determination of saccharidic tracers for biomass combustion and primary bio-particles in atmospheric aerosol. Atmos. Environ. 2009, 43, 1367–1371. [Google Scholar] [CrossRef]
- Theodosi, C.; Panagiotopoulos, C.; Nouara, A.; Zarmpas, P.; Nicolaou, P.; Violaki, K.; Kanakidou, M.; Sempéré, R.; Mihalopoulos, N. Sugars in atmospheric aerosols over the Eastern Mediterranean. Prog. Oceanogr. 2018, 163, 70–81. [Google Scholar] [CrossRef]
- Bigg, E.K.; Soubeyrand, S.; Morris, C.E. Persistent after-effects of heavy rain on concentrations of ice nuclei and rainfall suggest a biological cause. Atmos. Chem. Phys. 2015, 15, 2313–2326. [Google Scholar] [CrossRef]
- Morris, C.E.; Soubeyrand, S.; Bigg, E.K.; Creamean, J.; Sands, D.C. Mapping Rainfall Feedback to Reveal the Potential Sensitivity of Precipitation to Biological Aerosols. Bull. Am. Meteorol. Soc. 2017, 98, 1109–1118. [Google Scholar] [CrossRef]
- Bauer, H.; Schueller, E.; Weinke, G.; Berger, A.; Hitzenberger, R.; Marr, I.L.; Puxbaum, H. Significant contributions of fungal spores to the organic carbon and to the aerosol mass balance of the urban atmospheric aerosol. Atmos. Environ. 2008, 42, 5542–5549. [Google Scholar] [CrossRef]
- Emygdio, A.P.M.; Andrade, M.D.F.; Gonçalves, F.L.T.; Engling, G.; Zanetti, R.H.D.S.; Kumar, P. Biomarkers as indicators of fungal biomass in the atmosphere of São Paulo, Brazil. Sci. Total. Environ. 2018, 612, 809–821. [Google Scholar] [CrossRef] [PubMed]
- Zhang, T.; Engling, G.; Chan, C.-Y.; Zhang, Y.-N.; Zhang, Z.; Lin, M.; Sang, X.-F.; Li, Y.D.; Li, Y.-S. Contribution of fungal spores to particulate matter in a tropical rainforest. Environ. Res. Lett. 2010, 5, 024010. [Google Scholar] [CrossRef]




| Time (Min) | Flow | % A | % B | % C |
|---|---|---|---|---|
| 0 | 0.25 | 90 | 0 | 10 |
| 10 | 0.25 | 90 | 0 | 10 |
| 20 | 0.25 | 0 | 100 | 0 |
| 30 | 0.25 | 0 | 0 | 10 |
| 50 | 0.25 | 90 | 0 | 10 |
| Meteorological Conditions | Colder Period | Warmer Period |
|---|---|---|
| Temperature (°C) | 11 (4–15) | 16 (9–24) |
| Relative humidity (%) | 81 (39–100) | 72 (28–99) |
| Total accumulated precipitation (mm) | 11 (0.0–1.7) | 10 (0.0–1.3) |
| Wind speed (m·s−1) | 2.3 | 2.6 |
| University Stadium (Roadside Site) | ||||||
| Colder Period | Warmer Period | |||||
| Min. | Max. | Mean (SD) | Min. | Max. | Mean (SD) | |
| PM10 | 12.3 | 75.9 | 32.3 (12.3) | 9.80 | 30.7 | 19.4 (6.12) |
| OC | 1.14 | 17.8 | 7.11 (3.61) | 0.97 | 5.52 | 3.01 (1.30) |
| Geophysical Institute (Urban Background Site) | ||||||
| Colder Period | Warmer Period | |||||
| Min. | Max. | Mean (SD) | Min. | Max. | Mean (SD) | |
| PM10 | 8.28 | 55.7 | 24.5 (10.9) | 7.02 | 26.3 | 15.1 (5.56) |
| OC | 0.66 | 14.8 | 5.35 (3.02) | 0.65 | 5.59 | 2.38 (1.35) |
| University Stadium (Roadside Site) | ||||||
| Colder Period | Warmer Period | |||||
| Min. | Max. | Mean | Min. | Max. | Mean | |
| Levoglucosan | 70.4 | 2.89 × 103 | 692 | 10.2 | 291 | 60.9 |
| Mannosan | 8.94 | 492 | 115 | 0.55 | 46.1 | 9.07 |
| Galactosan | 3.71 | 218 | 45.4 | 1.68 | 35.7 | 4.82 |
| Xylitol | 1.96 | 155 | 41.6 | 1.96 | 15.6 | 5.80 |
| Arabitol | 1.59 | 122 | 36.4 | 1.59 | 70.4 | 21.4 |
| Mannitol | 7.44 | 100 | 42.3 | 1.72 | 68.4 | 26.8 |
| Total sugars | 113 | 3.88 × 103 | 973 | 19.3 | 434 | 129 |
| Geophysical Institute (Urban Background Site) | ||||||
| Colder Period | Warmer Period | |||||
| Min. | Max. | Mean | Min. | Max. | Mean | |
| Levoglucosan | 10.2 | 1.83 × 103 | 444 | 10.2 | 214 | 40.2 |
| Mannosan | 2.13 | 329 | 81.8 | 1.46 | 31.9 | 6.05 |
| Galactosan | 1.68 | 101 | 28.6 | 1.68 | 8.30 | 2.46 |
| Xylitol | 1.96 | 86.0 | 19.9 | 1.96 | 14.4 | 2.95 |
| Arabitol | 1.59 | 103 | 20.9 | 1.59 | 48.5 | 12.9 |
| Mannitol | 1.72 | 80.8 | 23.4 | 1.72 | 43.9 | 19.1 |
| Total sugars | 19.3 | 2.41 × 103 | 619 | 19.3 | 289 | 82.9 |
| Location | Sampling Period | PM | Concentration | Reference |
|---|---|---|---|---|
| MS, Bologna, Italy (urban) | June 2012–May 2013 | PM2.5 | 210 | [36] |
| San Pietro Capofiume, Italy (rural) | June 2012–May 2013 | 193 | ||
| Curbside site, Norway | September–October 2002 | PM2.5 | 17−134 | [32] |
| Urban background site, Norway | November–December 2001 | 10−537 | ||
| Suburban site, Norway | January–March, May–June 2002 | 14−1085 | ||
| Rural background site, Norway | January–December 2002 | 1−43 | ||
| Sao Paulo State, Brazil | May 2010–February 2012 | TSP | 2.540 ± 1.760 | [37] |
| Amazonia, Brazil | July 2001 | PM2.5 | 32−115 (61) | [38] |
| San Augustine, Texas, USA (rural) | November 2005–July 2006 | PM2.5 | 15.4−355.1 (70.4) | [2] |
| Clarksville, Texas, USA (rural) | January–July 2006 | 7.5−372.2 (128.4) | ||
| Dallas, Texas, USA (urban) | January–July 2006 | 15.8−196.0 (52.4) | ||
| Higley, Arizona, USA (agricultural) | January–April 2008 | 1.1−83.0 (24.1) | ||
| Howland experimental forest, Maine, USA | May–October 2002 | PM2.5 | 10−180 | [39] |
| San Joaquin Valley, CA, USA | December 1995–January 1996 | PM2.5 | 144−3644 | [34] |
| Fudan, Shanghai, China (urban) | March 2013–January 2014 | PM2.5 | 9.4–1652.9 (346.9) | [4] |
| Tsinghua University, Beijing, China (urban) | November 2010–October 2011 | PM2.5 | 66.1–3389.1 (600.0) | [28] |
| PM10 | 116.5–4302.3 (792.3) | |||
| Pingtung, Taiwan, China (coastal) | February–April 2013 | PM2.5 | 589.5 | [40] |
| Shanghai, China (urban) | Spring 2012 | 120.3 | [41] | |
| Summer | PM0.056–PM18 | 104 | ||
| Autumn | 292.9 | |||
| Winter 2013 | 206 | |||
| Guangzhou, China (urban) | Spring | TPS | 399.7 | [33] |
| Summer | 443.1 | |||
| Autumn | 725.6 | |||
| Winter | 503.6 | |||
| Hong Kong University, China (urban) | Spring | PM2.5 | 38−129 (84) | [42] |
| Summer | 83−175 (133) | |||
| Fall | 70−1316 (375) | |||
| Winter | 88−683 (292) | |||
| Chichi-Jima Island, Japan (marine) | 1990–1993 | TSP | 1.34–67.5 (14.8) | [43] |
| 2006–2009 | 3.64–247 (38.7) | |||
| Faisalabad, Pakistan (urban) | 2015–2016 | PM10 | 282–10,995 | [29] |
| Rajim, India (rural) | October–November 2011 | PM2.5 | 4781.1–17,979 (10,166) | [35] |
| University Stadium (Roadside Site) | ||||||||||||
| Colder Period | Warmer Period | |||||||||||
| Xylitol | Arabitol | Levoglucosan | Mannitol | Mannosan | Galactosan | Xylitol | Arabitol | Levoglucosan | Mannitol | Mannosan | Galactosan | |
| OC | 0.765 ** | 0.779 ** | 0.785 ** | 0.764 ** | ||||||||
| T | −0.748 ** | −0.756 ** | −0.754 ** | −0.724 ** | −0.674 ** | −0.649 ** | −0.468 ** | −0.724 ** | ||||
| RH | 0.698 ** | 0.494 ** | 0.355 * | 0.475 ** | ||||||||
| TP | 0.302 * | 0.320 * | 0.575 ** | 0.370 * | 0.419 ** | |||||||
| Geophysical Institute (Urban Background Site) | ||||||||||||
| Colder Period | Warmer Period | |||||||||||
| Xylitol | Arabitol | Levoglucosan | Mannitol | Mannosan | Galactosan | Xylitol | Arabitol | Levoglucosan | Mannitol | Mannosan | Galactosan | |
| OC | 0.797 ** | 0.489 ** | 0.723 ** | 0.484 ** | 0.786 ** | 0.728 ** | ||||||
| T | −0.473 ** | −0.430 ** | −0.494 ** | −0.478 ** | −0.325 * | −0.415 ** | −0.572 ** | −0.597 ** | ||||
| RH | 0.576 ** | 0.419 ** | 0.366 * | 0.365 * | 0.320 * | 0.555 ** | 0.398 ** | 0.336 * | 0.330 * | 0.331 * | ||
| TP | 0.446 ** | 0.341 * | ||||||||||
Publisher’s Note: MDPI stays neutral with regard to jurisdictional claims in published maps and institutional affiliations. |
© 2021 by the authors. Licensee MDPI, Basel, Switzerland. This article is an open access article distributed under the terms and conditions of the Creative Commons Attribution (CC BY) license (http://creativecommons.org/licenses/by/4.0/).
Share and Cite
Gonçalves, C.; Rienda, I.C.; Pina, N.; Gama, C.; Nunes, T.; Tchepel, O.; Alves, C. PM10-Bound Sugars: Chemical Composition, Sources and Seasonal Variations. Atmosphere 2021, 12, 194. https://doi.org/10.3390/atmos12020194
Gonçalves C, Rienda IC, Pina N, Gama C, Nunes T, Tchepel O, Alves C. PM10-Bound Sugars: Chemical Composition, Sources and Seasonal Variations. Atmosphere. 2021; 12(2):194. https://doi.org/10.3390/atmos12020194
Chicago/Turabian StyleGonçalves, Cátia, Ismael Casotti Rienda, Noela Pina, Carla Gama, Teresa Nunes, Oxana Tchepel, and Célia Alves. 2021. "PM10-Bound Sugars: Chemical Composition, Sources and Seasonal Variations" Atmosphere 12, no. 2: 194. https://doi.org/10.3390/atmos12020194
APA StyleGonçalves, C., Rienda, I. C., Pina, N., Gama, C., Nunes, T., Tchepel, O., & Alves, C. (2021). PM10-Bound Sugars: Chemical Composition, Sources and Seasonal Variations. Atmosphere, 12(2), 194. https://doi.org/10.3390/atmos12020194

