Weather Effects of Aerosols in the Global Forecast Model
Abstract
1. Introduction
2. Methods
2.1. Construction of Aerosol Climatology and Implementation of Aerosols into Radiation Module
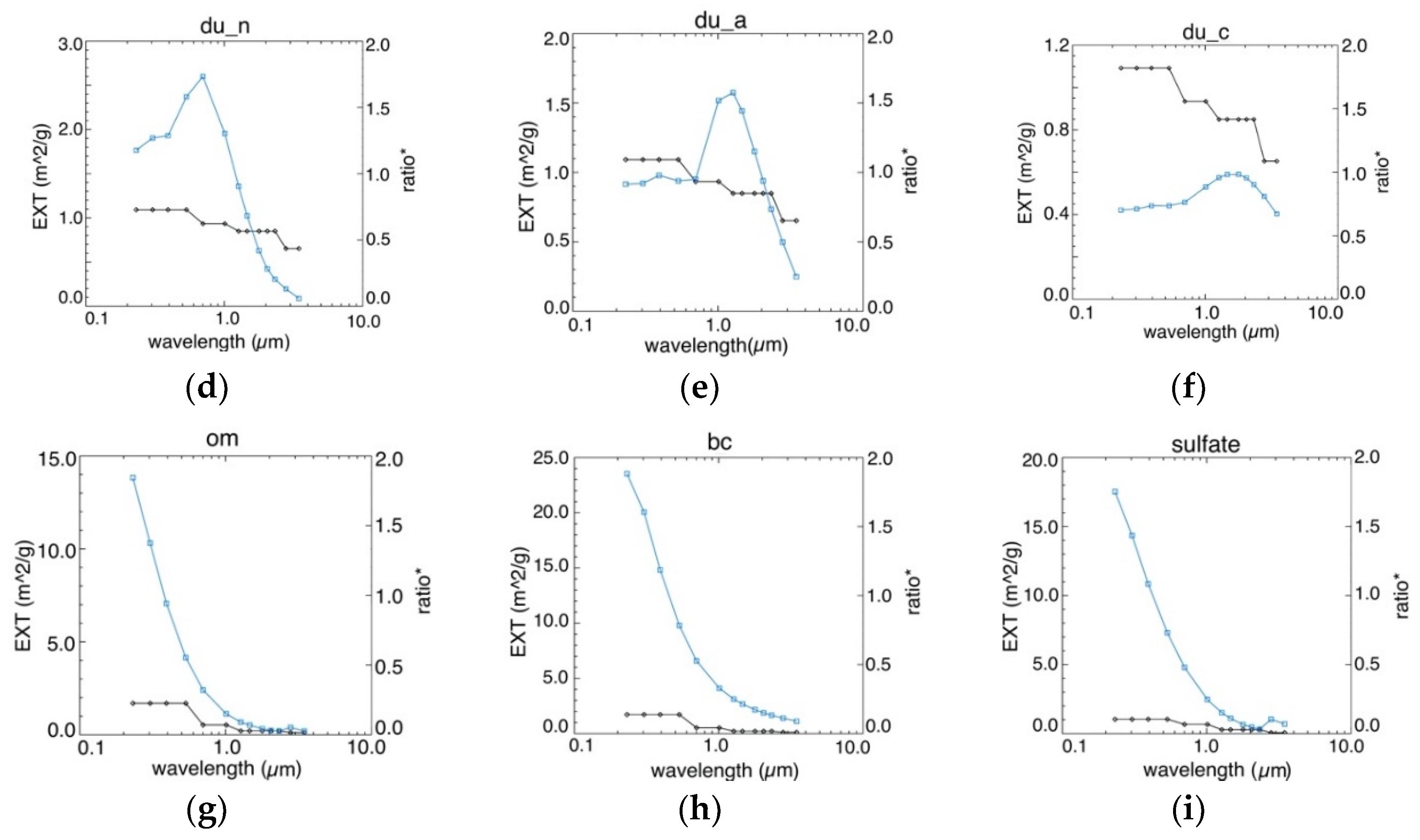
2.2. Aerosol Optical Properties
2.3. Evaluation of AOD and AAOD
2.4. Experimental Setup
3. Radiative Effects of Aerosols
4. Sensitivity in Thermodynamic and Hydrometeor Fields
5. Weather Effects of Aerosols
6. Conclusions
- Well-posed aerosol climatology was constructed by implementing Mie calculation of individual aerosols and their aerosol loading data to radiative transfer modules. Monthly variations of AOD were simulated well in terms of the peaks of individual aerosol types and relative ratios among aerosol species. The representative agents of July ADRF were dust at the surface and the atmosphere, and sulfate at the top of the atmosphere, respectively.
- Negative ADRFs at the surface had an impact on decreasing in sensible and latent heat fluxes at the surface. Positive ADRFs in the atmosphere caused the differences in atmospheric thermodynamic and hydrometeor fields relative to the aerosol-free conditions. The sensitivity tests showed that double-positive maxima in temperature were due to dust and BC, and wet surface and dry above in moisture mainly due to dust. Also, decreasing in cloud liquid or ice contents but a sharp positive layer of cloud liquid contents at 900 hPa were due to dust, BC, and OM. Through ARIs, aerosols tended to change the vertical gradients of temperature and humidity and to stabilize the atmosphere, leading to making the atmosphere with fewer clouds and less precipitation with respect to noaer. The differences due to individual aerosols were linearly additive to those due to total aerosols in heat fluxes, heating rates, humidity, and PRECC; however, they have not additive linearity to the differences due to total aerosols in temperature, geopotential height, and cloud liquid or ice contents, and PRECL. Dust was the most influential among absorbing and nonabsorbing aerosols, on the direct and semidirect effects of aerosols in July.
- Through ARI, aerosols worked unilaterally to decrease SW downward radiation at the surface, increase GPH and temperature, and decrease precipitation relative to aerosol-free atmosphere. The capacity of absorbing light due to aerosols played essential roles in weather forecasts. The verification of medium-range forecasts revealed that aerosols weakened positive biases in SW downward radiation but occurred negative biases in dust and BC source regions. Aerosols improved negative biases in GPH and temperature at the upper and lower atmospheres but worsened positive biases in the mid-atmosphere due to absorbing aerosols. Moreover, they reduced positive biases in weak and moderate precipitation but enhanced negative biases in heavy precipitation mainly due to absorbing aerosols. According to the sensitivity test of hydrometeor fields and the global distribution of precipitation biases, dust and OM weakened the overestimation at high latitude, central Africa, and northmost of South America. In contrast, BC and sea salt enhanced the underestimation in southeast Asia and the southern Indian Ocean, respectively.
- It turned out that weather forecast scores, including current aerosol information, improved in GPH of NH, however, they got worse in temperature of SH and GPH at the upper atmosphere of SH.
Funding
Acknowledgments
Conflicts of Interest
Appendix A




References
- Intergovernmental Panel on Climate Change. Clouds and Aerosols. In Climate Change 2013: The Physical Science Basis: Working Group I Contribution to the Fifth Assessment Report of the Intergovernmental Panel on Climate Change; Cambridge University Press: Cambridge, UK; New York, NY, USA, 2014; pp. 571–658. [Google Scholar]
- Haywood, J.; Boucher, O. Estimates of the direct and indirect radiative forcing due to tropospheric aerosols. A review. Rev. Geophys. 2000, 38, 513–543. [Google Scholar] [CrossRef]
- Boucher, O. Atmospheric Aerosols: Properties and Climate Impacts; Springer: Berlin, Germany, 2015; pp. 227–246. [Google Scholar]
- WMO, Aerosols and Climate, WCP 12 (World Climate Research Program Report No. 12), 1980, International Council of Scientific Unions. Available online: https://library.wmo.int/index.php?lvl=author_see&id=11424#.Xv3BEpMzai4 (accessed on 17 June 2020).
- Wang, C. Anthropogenic aerosols and the distribution of past large-scale precipitation change. Geophys. Res. Lett. 2015, 42, 10876–10884. [Google Scholar] [CrossRef] [PubMed]
- Charlson, R.J.; Langner, J.; Rodhe, H.; Leovy, C.B.; Warren, S.G. Perturbation of the northern hemisphere radiative balance by backscattering from anthropogenic sulfate aerosols. Tellus A Dyn. Meteorol. Oceanogr. 1991, 43, 152–163. [Google Scholar] [CrossRef]
- Kiehl, J.T.; Briegleb, B.P. The Relative Roles of Sulfate Aerosols and Greenhouse Gases in Climate Forcing. Science 1993, 260, 311. [Google Scholar] [CrossRef] [PubMed]
- Wang, C.; Kim, D.; Ekman, A.M.L.; Barth, M.C.; Rasch, P.J. Impact of anthropogenic aerosols on Indian summer monsoon. Geophys. Res. Lett. 2009, 36, L21704. [Google Scholar] [CrossRef]
- Intergovernmental Panel on Climate Change. Anthropogenic and Natural Radiative Forcing. In Climate Change 2013: The Physical Science Basis: Working Group I Contribution to the Fifth Assessment Report of the Intergovernmental Panel on Climate Change; Cambridge University Press: Cambridge, UK; New York, NY, USA, 2014; pp. 659–740. [Google Scholar]
- Baker, L.H.; Collins, W.J.; Olivié, D.J.L.; Cherian, R.; Myhre, G.; Quaas, J. Climate responses to anthropogenic emissions of short-lived climate pollutants. Atmos. Chem. Phys. 2015, 15, 8201–8216. [Google Scholar] [CrossRef]
- Shindell, D.; Schulz, M.; Ming, Y.; Takemura, T.; Faluvegi, G.; Ramaswamy, R. Spatial scales of climate response to inhomogeneous radiative forcing. J. Geophys. Res. 2010, 115, D19110. [Google Scholar] [CrossRef]
- Undorf, S.; Polson, D.; Bollasina, M.A.; Ming, Y.; Schurer, A.; Hegerl, G.C. Detectable Impact of Local and Remote Anthropogenic Aerosols on the 20th Century Changes of West African and South Asian Monsoon Precipitation. J. Geophys. Res. Atmos. 2018, 123, 4871–4889. [Google Scholar] [CrossRef]
- Westervelt, D.M.; Conley, A.J.; Fiore, A.M.; Lamarque, J.-F.; Shindell, D.T.; Previdi, M.; Mascioli, N.R.; Faluvegi, G.; Correa, G.; Horowitz, L.W. Connecting regional aerosol emissions reductions to local and remote precipitation responses. Atmos. Chem. Phys. 2018, 18, 12461–12475. [Google Scholar] [CrossRef]
- Liu, L.; Shawki, D.; Voulgarakis, A.; Kasoar, M.; Samset, B.H.; Myhre, G.; Forster, P.M.; Hodnebrog, Ø.; Sillmann, J.; Aalbergsjø, S.G.; et al. A PDRMIP Multimodel Study on the Impacts of Regional Aerosol Forcings on Global and Regional Precipitation. J. Clim. 2018, 31, 4429–4447. [Google Scholar] [CrossRef]
- Krishnan, R.; Sabin, T.P.; Vellore, R.; Mujumdar, M.; Sanjay, J.; Goswami, B.N.; Hourdin, F.; Dufresne, J.-L.; Terray, P. Deciphering the desiccation trend of the South Asian monsoon hydroclimate in a warming world. Clim. Dyn. 2016, 47, 1007–1027. [Google Scholar] [CrossRef]
- Dong, B.; Sutton, R.T.; Highwood, E.J.; Wilcox, L.J. Preferred response of the East Asian summer monsoon to local and non-local anthropogenic sulphur dioxide emissions. Clim. Dyn. 2016, 46, 1733–1751. [Google Scholar] [CrossRef]
- Bartlett, R.E.; Bollasina, M.A.; Booth, B.B.B.; Dunstone, N.J.; Marenco, F.; Messori, G.; Bernie, D.J. Do differences in future sulfate emission pathways matter for near-term climate? A case study for the Asian monsoon. Clim. Dyn. 2018, 50, 1863–1880. [Google Scholar] [CrossRef]
- Tang, T.; Shindell, D.; Samset, B.H.; Boucher, O.; Forster, P.M.; Hodnebrog, Ø.; Myhre, G.; Sillmann, J.; Voulgarakis, A.; Andrews, T.; et al. Dynamical response of Mediterranean precipitation to greenhouse gases and aerosols. Atmos. Chem. Phys. 2018, 18, 8439–8452. [Google Scholar] [CrossRef]
- Hodnebrog, Ø.; Myhre, G.; Forster, P.M.; Sillmann, J.; Samset, B.H. Local biomass burning is a dominant cause of the observed precipitation reduction in southern Africa. Nat. Commun. 2016, 7, 11236. [Google Scholar] [CrossRef] [PubMed]
- Bozzo, A.; Remy, S.; Benedetti, A.; Flemming, J.; Bechtold, P.; Rodwell, M.J.; Morcrette, J.-J. Implementation of a CAMS-Based Aerosol Climatology in the IFS; ECMWF Tech. Memo. 801: Reading, UK, 2017; Available online: https://www.ecmwf.int/sites/default/files/elibrary/2017/17219-implementation-cams-based-aerosol-climatology-ifs.pdf (accessed on 1 October 2019).
- Mulcahy, J.P.; Walters, D.N.; Bellouin, N.; Milton, S.F. Impacts of increasing the aerosol complexity in the Met Office global numerical weather prediction model. Atmos. Chem. Phys. 2014, 14, 4749–4778. [Google Scholar] [CrossRef]
- Baklanov, A.; Brunner, D.; Carmichael, G.; Flemming, J.; Freitas, S.; Gauss, M.; Hov, Ø.; Mathur, R.; Schlünzen, K.; Seigneur, C.; et al. Key Issues for Seamless Integrated Chemistry-Meteorology Modeling. Bull. Am. Meteorol. Soc. 2018, 98, 2285–2292. [Google Scholar] [CrossRef]
- Bozzo, A.; Benedetti, A.; Flemming, J.; Kipling, Z.; Rémy, S. An aerosol climatology for global models based on the tropospheric aerosol scheme in the Integrated Forecasting System of ECMWF. Geosci. Model Dev. 2020, 13, 1007–1034. [Google Scholar] [CrossRef]
- Toll, V.; Reis, K.; Ots, R.; Kaasik, M.; Männik, A.; Prank, M.; Sofiev, M. SILAM and MACC reanalysis aerosol data used for simulating the aerosol direct radiative effect with the NWP model HARMONIE for summer 2010 wildfire case in Russia. Atmos. Environ. 2015, 121, 75. [Google Scholar] [CrossRef]
- Zhang, J.; Reid, J.S.; Christensen, M.; Benedetti, A. An evaluation of the impact of aerosol particles on weather forecasts from a biomass burning aerosol event over the Midwestern United States: Observational-based analysis of surface temperature. Atmos. Chem. Phys. 2016, 16, 6475–6494. [Google Scholar] [CrossRef]
- Tompkins, A.M.; Cardinali, C.; Morcrette, J.-J.; Rodwell, M. Influence of aerosol climatology on forecasts of the African easterly jet. Geophys. Res. Lett. 2005, 32, L10801. [Google Scholar] [CrossRef]
- Rémy, S.; Benedetti, A.; Bozzo, A.; Haiden, T.; Jones, L.; Razinger, M.; Flemming, J.; Engelen, R.J.; Peuch, V.H.; Thepaut, J.N. Feedbacks of dust and boundary layer meteorology during a dust storm in the eastern Mediterranean. Atmos. Chem. Phys. 2015, 15, 12909–12933. [Google Scholar] [CrossRef]
- Rodwell, M.J.; Jung, T. Understanding the local and global impacts of model physics changes: An aerosol example. Q. J. R. Meteorol. Soc. 2008, 134, 1479. [Google Scholar] [CrossRef]
- Reale, O.; Lau, K.M.; Da Silva, A. Impact of Interactive Aerosol on the African Easterly Jet in the NASA GEOS-5 Global Forecasting System. Weather. Forecast. 2011, 26, 504–519. [Google Scholar] [CrossRef]
- Morcrette, J.-J.; Benedetti, A.; Ghelli, A.; Kaiser, J.W.; Tompkins, A.M. Aerosol-Cloud-Radiation Interactions and their Impact on ECMWF/MACC Forecasts; ECMWF: Reading, UK, 2011. [Google Scholar]
- Toll, V.; Gleeson, E.; Nielsen, K.P.; Männik, A.; Mašek, J.; Rontu, L.; Post, P. Impacts of the direct radiative effect of aerosols in numerical weather prediction over Europe using the ALADIN-HIRLAM NWP system. Atmos. Res. 2016, 172, 163–173. [Google Scholar] [CrossRef]
- Choi, I.-J.; Park, R.-S.; Lee, J. Impacts of a newly-developed aerosol climatology on numerical weather prediction using a global atmospheric forecasting model. Atmos. Environ. 2019, 197, 77–91. [Google Scholar] [CrossRef]
- D’Almeida, G.A.; Koepke, P.; Shettle, E.P. Atmospheric Aerosols(Global Climatology and Radiative Characteristics); A Deepak Publishing: Hampton, VA, USA, 1991. [Google Scholar]
- Hess, M.; Koepke, P.; Schult, I. Optical Properties of Aerosols and Clouds: The Software Package OPAC. Bull. Am. Met. Soc. 1998, 79, 831–844. [Google Scholar] [CrossRef]
- Eskes, H.; Huijnen, V.; Arola, A.; Benedictow, A.; Blechschmidt, A.-M.; Botek, E.; Boucher, O.; Bouarar, I.; Chabrillat, S.; Cuevas, E.; et al. Validation of reactive gases and aerosols in the MACC global analysis and forecast system. Geosci. Model Dev. 2015, 8, 3523–3546. [Google Scholar] [CrossRef]
- Emmons, L.K.; Walters, S.; Hess, P.G.; Lamarque, J.-F.; Pfister, G.G.; Fillmore, D.; Granier, C.; Guenther, A.; Kinnison, D.; Laepple, T.; et al. Description and evaluation of the model for ozone and related chemical tracers, version 4 (MOZART-4). Geosci. Model Dev. 2010, 3, 43–67. [Google Scholar] [CrossRef]
- Tanré, D.; Geleyn, J.-F.; Slingo, J. First results of the introduction of an advanced aerosol-radiation interaction in the ECMWF low resolution global model. In Aerosols and Their Climatic Effects; Gerber, H., Deepak, A., Eds.; A Deepak Publ: Hampton, VA, USA, 1984; pp. 133–177. [Google Scholar]
- WMO/IAMAP, Radiation Commission, A Preliminary Cloudless Standard Atmosphere for Radiation Computation, WMO/TD-NO.24; WCP- No. 112, International Council of Science Union, 1984. Available online: https://library.wmo.int/doc_num.php?explnum_id=4988 (accessed on 17 June 2020).
- Sinyuk, A.; Torres, O.; Dubovik, O. Combined use of satellite and surface observations to infer the imaginary part of refractive index of Saharan dust. Geophys. Res. Lett. 2003, 30, 53. [Google Scholar] [CrossRef]
- Drury, E.; Jacob, D.J.; Spurr, R.J.; Wang, J.; Shinozuka, Y.; Anderson, B.E.; Clarke, A.D.; Dibb, J.; McNaughton, C.; Weber, R. Synthesis of satellite (MODIS), aircraft (ICARTT), and surface (IMPROVE, EPA-AQS, AERONET) aerosol observations over eastern North America to improve MODIS aerosol retrievals and constrain surface aerosol concentrations and sources. J. Geophys. Res. 2010, 115, D14204. [Google Scholar] [CrossRef]
- Flemming, J.; Benedetti, A.; Inness, A.; Engelen, R.J.; Jones, L.; Huijnen, V.; Remy, S.; Parrington, M.; Suttie, M.; Bozzo, A.; et al. The CAMS interim Reanalysis of Carbon Monoxide, Ozone and Aerosol for 2003–2015. Atmos. Chem. Phys. 2017, 17, 1945. [Google Scholar] [CrossRef]
- Hong, S.-Y.; Park, S.K.; Park, R.; Dudhia, J. Korean Global Data Assimilation and Prediction System. AsiaPac. J. Atmos. Sci. 2018, 54, 265. [Google Scholar] [CrossRef]
- Bohren, C.F.; Huffman, D.R. Absorption and Scattering of Light by Small Particles; Wiley Science Paperback Series: New York, NY, USA, 1998; p. 544. [Google Scholar]
- Toon, O.B.; Ackerman, T.P. Algorithms for the calculation of scattering by stratified sphere. Appl. Opt. 1981, 20, 3657–3660. [Google Scholar] [CrossRef] [PubMed]
- Wiscombe, W.J. Improved Mie scattering algorithms. Appl. Opt. 1980, 19, 1505–1509. [Google Scholar] [CrossRef] [PubMed]
- Jeong, G.-R.; Sokolik, I.N. Effect of mineral dust aerosols on the photolysis rates in the clean and polluted marine environments. J. Geophys. Res. 2007, 112, D21308. [Google Scholar] [CrossRef]
- Lesins, G.; Chylek, P.; Lohmann, U. A study of internal and external mixing scenarios and its effect on aerosol optical properties and direct radiative forcing. J. Geophys. Res. 2002, 107, 4094. [Google Scholar] [CrossRef]
- Bond, T.C.; Habib, G.; Bergstrom, R.W. Limitations in the enhancement of visible light absorption due to mixing state. J. Geophys. Res. 2006, 111, D20211. [Google Scholar] [CrossRef]
- Kim, D.; Wang, C.; Ekman, A.M.L.; Barth, M.C.; Lee, D.-I. The responses of cloudiness to the direct radiative effect of sulfate and carbonaceous aerosols. J. Geophys. Res. Atmos. 2014, 119, 1172. [Google Scholar] [CrossRef]
- Woodward, S. Modeling the atmospheric life cycle and radiative impact of mineral dust in the Hadley Centre climate model. J. Geophys. Res. 2001, 106, 18155–18166. [Google Scholar] [CrossRef]
- Lacis, A. Refractive Indices of Three Hygroscopic Aerosols and Their Dependence on Relative Humidity, 2001. Available online: https://gacp.giss.nasa.gov/datasets/lacis/introduction.pdf (accessed on 1 June 2020).
- Remer, L.A.; Kaufman, Y.J.; Tanré, D.; Mottoo, S.; Chu, D.A.; Martins, J.V.; Li, R.-R.; Ichoku, C.; Levy, R.C.; Kleidman, R.G.; et al. The MODIS aerosol algorithm, products, and validation. J. Atmos. Sci. 2005, 62, 947–973. [Google Scholar] [CrossRef]
- Kahn, R.A.; Gaitley, B.J.; Garay, M.J.; Diner, D.J.; Eck, T.F.; Smirnov, A.; Holben, B.N. Multiangle Imaging SpectroRadiometer global aerosol product assessment by comparison with the Aerosol Robotic Network. J. Geophys. Res. 2010, 115, D23209. [Google Scholar] [CrossRef]
- Baek, S. A revised radiation package of G-packed McICA and two-stream ap- proximation: Performance evaluation in a global weather forecasting model. J. Adv. Model. Earth Syst. 2017, 9, 1628–1640. [Google Scholar] [CrossRef]
- Ek, M.B.; Mitchell, K.E.; Lin, Y.; Rogers, E.; Grunmann, P.; Koren, V.; Gayno, G.; Tarpley, J.D. Implementation of noah land surface model advances in the national Centers for environmental prediction operational mesoscale eta model. J. Geophys. Res. 2003, 108, 8851. [Google Scholar] [CrossRef]
- Hong, S.-Y. A new stable boundary-layer mixing scheme and its impact on the simulated East Asian summer monsoon. Quart. J. Roy. Meteor. Soc. 2010, 136, 1481–1496. [Google Scholar] [CrossRef]
- Choi, H.-J.; Hong, S.-Y. An updated subgrid orographic parameterization for global atmospheric forecast. J. Geophys. Res. Atmos. 2015, 120, 12445–12457. [Google Scholar] [CrossRef]
- Han, J.-Y.; Hong, S.-Y.; Lim, K.-S.S.; Han, J. Sensitivity of a cumulus parameterization scheme to precipitation production representation and its impact on a heavy rain event over Korea. Mon. Weather Rev. 2016, 144, 2125–2135. [Google Scholar] [CrossRef]
- Hong, S.-Y.; Park, H.; Cheong, H.-B.; Kim, J.-E.; Koo, M.-S.; Jang, J.; Ham, S.; Hwang, S.-O.; Park, B.-K.; Chang, E.-C.; et al. The global/regional integrated model system (GRIMs). Asia Pac. J. Atmos. Sci. 2013, 49, 219–243. [Google Scholar] [CrossRef]
- Hong, S.-Y.; Duhdia, J.; Chen, S.-H. A revised approach to ice- microphysical processes for the bulk parameterization of cloud and precipitation. Mon. Weather Rev. 2004, 132, 103–120. [Google Scholar] [CrossRef]
- Bae, S.Y.; Hong, S.-Y.; Lim, K.-S.S. Coupling WRF double-moment 6-class micro- physics schemes to RRTMG radiation scheme in weather research forecasting model. Adv. Meteorol. 2016. [Google Scholar] [CrossRef]
- Park, R.-S.; Chae, J.-H.; Hong, S.-Y. A revised prognostic cloud fraction scheme in a global forecasting system. Mon. Weather Rev. 2016, 114, 1219–1229. [Google Scholar] [CrossRef]
- Copernicus Climate Change Service (C3S) (2017): ERA5: Fifth Generation of ECMWF Atmospheric Reanalyses of the Global Climate. Copernicus Climate Change Service Climate Data Store (CDS). Available online: https://cds.climate.copernicus.eu/cdsapp#!/home (accessed on 1 April 2020).
- Kanamitsu, M. Description of the NMC global data assimilation and forecast system. Weather. Forecast. 1989, 4, 335–342. [Google Scholar] [CrossRef]
- Xie, P. CPC Unified Gauge-Based Analysis of Global Daily Precipitation, the 90th American Meteorological Society Annual Meeting, 2010. Available online: https://climatedataguide.ucar.edu/climate-data/cpc-unified-gauge-based-analysis-global-daily-precipitation (accessed on 1 April 2020).
- Huffman, G.J.; Bolvin, D.T.; Nelkin, E.J.; Wolff, D.B.; Adler, R.F.; Gu, G.; Hong, Y.; Bowman, K.P.; Stocker, E.F. The TRMM Multisatellite Precipitation Analysis (TMPA): Quasi-Global, Multiyear, Combined-Sensor Precipitation Estimates at Fine Scales. J. Hydrometeor. 2007, 8, 38–55. [Google Scholar] [CrossRef]
- Myhre, G. 2009: Consistency between satellite-derived and modeled estimates of the direct aerosol effect. Science 2009, 325, 187–190. [Google Scholar] [CrossRef]
- Bellouin, N.; Quaas, J.; Morcrette, J.-J.; Boucher, O. Estimates of aerosol radiative forcing from the MACC re-analysis. Atmos. Chem. Phys. 2013, 13, 2045–2062. [Google Scholar] [CrossRef]
- Ghan, S.J.; Liu, X.; Easter, R.C.; Zaveri, R.; Rasch, P.J.; Yoon, J.-H.; Eaton, B. Toward a minimal representation of aerosols in climate models: Comparative decomposition of aerosol direct, semi-direct, and indirect radiative forcing. J. Clim. 2012, 25, 6461–6476. [Google Scholar] [CrossRef]
- Lohmann, U.; Rotstayn, L.; Storelvmo, T.; Jones, A.; Menon, S.; Quaas, J.; Ekman, A.M.L.; Koch, D.; Ruedy, R. Total aerosol effect: Radiative forcing or radiative flux perturbation? Atmos. Chem. Phys. 2010, 10, 3235–3246. [Google Scholar] [CrossRef]
- Jones, A.; Haywood, J.M.; Boucher, O. Aerosol forcing, climate response and climate sensitivity in the Hadley Centre climate model. J. Geophys. Res. 2007, 112, D20211. [Google Scholar] [CrossRef]
- Persad, G.G.; Ming, Y.; Ramaswamy, V. Tropical Tropospheric-Only Responses to Absorbing Aerosols. J. Clim. 2012, 25, 2471–2480. [Google Scholar] [CrossRef]
- Forecast User Guide, 6.4 Relative Skill of IFS Models. Available online: https://confluence.ecmwf.int/display/FUG/6.4+Relative+Skill+of+IFS+Models (accessed on 1 April 2020).














| Name of Aerosol Climatology | Aerosol Loading | Aerosol Optical Characteristics |
|---|---|---|
| Kimaerclim | Monthly distribution of inverse of AOD at 550 nm based on MACCRA and MOZART grids | Inherent in RRTMG |
| Newaerclim | Monthly distribution of column mass concentration based on CAMSiRA | From mie calculation based on microphysical and chemical information (Table 2) |
| Newaerclim.mod | Monthly distribution of column mass concentration modified from CAMSiRA | From mie calculation based on microphysical and chemical information (Table 2) |
| Aerosol Type | Size Bin | Density, ρ (kg/m3) | Mode Radius, rmod (μm) | Geometric Standard Deviation, σg | Refractive Indices |
|---|---|---|---|---|---|
| Sea salt | 0.03–0.5 | 1.183 × 103 | 0.1992 1.992 | 1.9 2.0 | OPAC [34] |
| 0.5–5.0 | |||||
| 5.0–20.0 | |||||
| Dust | 0.03–0.55 | 2.61 × 103 | 0.29 | 2.0 | Woodward [50] |
| 0.55–0.9 | |||||
| 0.9–20.0 | |||||
| Black carbon | 0.005–0.5 | 1.0 × 103 | 0.0118 | 2.0 | OPAC [34] (SOOT) |
| Sulfate | 0.005–20.0 | 1.8 × 103 | 0.0212 | 2.24 | Lacis [51] (GACP) |
| Organic matter | 0.005–20.0 The external mixture of water-soluble (WASO), insoluble (INSO), and soot (SOOT) | 1.8 × 103 | 0.0212 | 2.24 | OPAC [34] OPAC [34] OPAC [34] |
| 2.0 × 103 | 0.471 | 2.51 | |||
| 1.0 × 103 | 0.0118 | 2.0 |
| Exp. Name | Aerosol Climatology |
|---|---|
| noaer | |
| newaer_all | Newaerclim including all types of aerosols |
| newaer_x | Newaerclim including aerosol type, x |
| Exp. Name | Aerosol Climatology |
|---|---|
| NOAer | |
| KIMAer | Kimaerclim |
| NewAer | Newaerclim |
| NewAer.mod | Newaerclim.mod |
| Sky Condition | Statistics | NOAer | KIMAer | NewAer | NerAer.mod |
|---|---|---|---|---|---|
| Clear-sky | bias | 12.74 | −3.10 | −0.94 | 0.07 |
| RMSE | 13.73 | 7.00 | 6.59 | 6.18 | |
| All-sky | bias | 11.94 | 1.28 | 2.13 | 2.95 |
| RMSE | 41.16 | 36.86 | 37.01 | 37.01 |
© 2020 by the author. Licensee MDPI, Basel, Switzerland. This article is an open access article distributed under the terms and conditions of the Creative Commons Attribution (CC BY) license (http://creativecommons.org/licenses/by/4.0/).
Share and Cite
Jeong, G.-R. Weather Effects of Aerosols in the Global Forecast Model. Atmosphere 2020, 11, 850. https://doi.org/10.3390/atmos11080850
Jeong G-R. Weather Effects of Aerosols in the Global Forecast Model. Atmosphere. 2020; 11(8):850. https://doi.org/10.3390/atmos11080850
Chicago/Turabian StyleJeong, Gill-Ran. 2020. "Weather Effects of Aerosols in the Global Forecast Model" Atmosphere 11, no. 8: 850. https://doi.org/10.3390/atmos11080850
APA StyleJeong, G.-R. (2020). Weather Effects of Aerosols in the Global Forecast Model. Atmosphere, 11(8), 850. https://doi.org/10.3390/atmos11080850
