Outdoor Thermal Comfort and Building Energy Use Potential in Different Land-Use Areas in Tropical Cities: Case of Kuala Lumpur
Abstract
1. Introduction
2. On-Site Monitoring
2.1. Monitoring Equipment and Locations
2.2. Kampung Baru (KB)
2.3. Diurnal Average Temperature and Relative Humidity Variations
3. Metrics Indicative of Thermal Comfort and Energy Use
3.1. Heat Index
3.2. Apparent Temperature
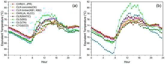
3.3. Equivalent Temperature
4. Discussion
5. Conclusions
Author Contributions
Funding
Acknowledgments
Conflicts of Interest
Abbreviations
| T | Air temperature (°C) |
| RH | Ambient relative humidity (%) |
| P | Water vapor pressure (kPa) |
| Wind speed at 10 m above ground (m/s) | |
| TE | Equivalent temperature (°C) |
| CLR | Compact Low-Rise |
| OLR | Open Low-Rise |
| JA | Jalan Ampang |
| L | Latent heat of vaporization (kJ/kg) |
| JPR | Jalan P Ramlee |
| BG | Botanic Gardens |
| ECO | Eco Park |
| CHR | Compact High-Rise |
| OHR | Open High-Rise |
| CK | Chow Kit |
| KB | Kampung Baru |
| IH | Intercontinental Hotel |
| HI | Heat index (°C) |
| TApp | Apparent temperature (°C) |
| Cp | Heat capacity of air (kJ/(kg·°C)) |
| q | Specific humidity (kg/kg) |
| MATIC | Malaysia Tourism Centre |
| TN | Tugu Negara |
| KLCC | KL City Centre Park |
References
- Oke, T.R. Boundary Layer Climates, 2nd ed.; Routledge: New York, NY, USA, 1987. [Google Scholar]
- Hunt, J.C.R.; Aktas, Y.D.; Mahalov, A.; Moustaoui, M.; Salamanca, F.; Georgescu, M.; Palou, F.S. Climate change and growing megacities: Hazards and vulnerability. Proc. Inst. Civ. Eng. Eng. Sustain. 2018, 171, 314–326. [Google Scholar] [CrossRef]
- Matthews, T. Humid heat and climate change. Prog. Phys. Geogr. Earth Environ. 2018, 42, 391–405. [Google Scholar] [CrossRef]
- Wichmann, J.; Andersen, Z.J.; Ketzel, M.; Ellermann, T.; Loft, S. Apparent Temperature and Cause-Specific Emergency Hospital Admissions in Greater Copenhagen, Denmark. PLoS ONE 2011, 6, e22904. [Google Scholar] [CrossRef]
- Baccini, M.; Biggeri, A.; Accetta, G.; Kosatsky, T.; Katsouyanni, K.; Analitis, A.; Anderson, H.R. Heat effects on mortality in 15 European cities. Epidemiology 2008, 19, 711–719. [Google Scholar] [CrossRef]
- Basu, R. High ambient temperature and mortality: A review of epidemiologic studies from 2001 to 2008. Environ. Health 2009, 8, 40. [Google Scholar] [CrossRef]
- Basu, R.; Ostro, B.D. A Multicounty Analysis Identifying the Populations Vulnerable to Mortality Associated with High Ambient Temperature in California. Am. J. Epidemiol. 2008, 168, 632–637. [Google Scholar] [CrossRef]
- Zanobetti, A.; Schwartz, J. Temperature and Mortality in Nine US Cities. Epidemiology 2008, 19, 563–570. [Google Scholar] [CrossRef]
- Bell, M.; O’Neill, M.S.; Ranjit, N.; Borja-Aburto, V.H.; A Cifuentes, L.; Gouveia, N. Vulnerability to heat-related mortality in Latin America: A case-crossover study in São Paulo, Brazil, Santiago, Chile and Mexico City, Mexico. Int. J. Epidemiol. 2008, 37, 796–804. [Google Scholar] [CrossRef]
- Stafoggia, M.; Forastiere, F.; Agostini, D.; Biggeri, A.; Bisanti, L.; Cadum, E.; Caranci, N.; Donato, F.K.D.; De Lisio, S.; De Maria, M.; et al. Vulnerability to Heat-Related Mortality. Epidemiology 2006, 17, 315–323. [Google Scholar] [CrossRef]
- Raymond, C.; Matthews, T.; Horton, R.M. The emergence of heat and humidity too severe for human tolerance. Sci. Adv. 2020, 6, eaaw1838. [Google Scholar] [CrossRef] [PubMed]
- Wang, Z.; Song, J.; Chan, P.W.; Li, Y. The urban moisture island phenomenon and its mechanisms in a high-rise high-density city. Int. J. Clim. 2020. [Google Scholar] [CrossRef]
- Doan, Q.-V.; Kusaka, H.; Ho, Q.-B. Impact of future urbanization on temperature and thermal comfort index in a developing tropical city: Ho Chi Minh City. Urban Clim. 2016, 17, 20–31. [Google Scholar] [CrossRef]
- Qaid, A.; Bin Lamit, H.; Ossen, D.R.; Shahminan, R.N.R. Urban heat island and thermal comfort conditions at micro-climate scale in a tropical planned city. Energy Build. 2016, 133, 577–595. [Google Scholar] [CrossRef]
- Chow, W.T.L.; Akbar, S.N. Assyakirin, B.A.; Heng, S.L.; Roth, M. Assessment of measured and perceived microclimates within a tropical urban forest. Urban For. Urban Green. 2016, 16, 62–75. [Google Scholar] [CrossRef]
- Maia-Silva, D.; Kumar, R.; Nateghi, R. The critical role of humidity in modeling summer electricity demand across the United States. Nat. Commun. 2020, 11, 1–8. [Google Scholar] [CrossRef]
- Roth, M. Review of urban climate research in (sub)tropical regions. Int. J. Clim. 2007, 27, 1859–1873. [Google Scholar] [CrossRef]
- Ramakreshnan, L.; Aghamohammadi, N.; Fong, C.S.; GhaffarianHoseini, A.; GhaffarianHoseini, A.; Wong, L.-P.; Hassan, N.; Sulaiman, N.M. A critical review of Urban Heat Island phenomenon in the context of Greater Kuala Lumpur, Malaysia. Sustain. Cities Soc. 2018, 39, 99–113. [Google Scholar] [CrossRef]
- Aghamohammadi, N.; Ramakreshnan, L.; Fong, C.S.; Sulaiman, N.M. Climate-Related Disasters and Health Impact in Malaysia. In Extreme Weather Events and Human Health: International Case Studies; Springer: Cham, Switzerland, 2019; pp. 247–264. [Google Scholar]
- Wong, L.P.; Alias, H.; Aghamohammadi, N.; Aghazadeh, S.; Lai, S.H. Urban heat island experience, control measures and health impact: A survey among working community in the city of Kuala Lumpur. Sustain. Cities Soc. 2017, 35, 660–668. [Google Scholar] [CrossRef]
- Yatim, A.N.M.; Latif, M.T.; Ahamad, F.; Khan, F.; Nadzir, M.S.M.; Juneng, L. Observed Trends in Extreme Temperature over the Klang Valley, Malaysia. Adv. Atmos. Sci. 2019, 36, 1355–1370. [Google Scholar] [CrossRef]
- Yuen, B.; Kong, L. Climate change and urban planning in Southeast Asia. SAPIENS Surv. Perspect. Integr. Environ. Soc. 2009, 2, 1–11. [Google Scholar]
- CERC. ADMS Urban Canopy Tool User Guide; CERC: Cambridge, UK, 2014. [Google Scholar]
- DBKL. Kuala Lumpur Structure Plan 2020; Kuala Lumpur City Hall: Kuala Lumpur, Malaysia, 2018. [Google Scholar]
- Alhabshi, S.M. Urban Renewal of Traditional Settlements in Singapore and Malaysia: The Cases of Geylang Serai and Kampung Bharu. Asian Surv. 2010, 50, 1135–1161. [Google Scholar] [CrossRef]
- Chee, W.T. From Spontaneous Settlement to Rational Land Use Planning: The Case of Kuala Lumpur, Malaysia. Sojourn J. Soc. Issues Southeast Asia 1991, 6, 240–262. [Google Scholar]
- Mayberry, K. A Village Amid Skyscrapers: How Long Can Kuala Lumpur’s Enclave Hold out? The Guardian. 9 March 2017. Available online: https://www.theguardian.com/cities/2017/mar/09/village-amid-skyscrapers-kuala-lumpur-kampung-bharu (accessed on 14 April 2020).
- FMT News. Skyscrapers Threaten to Swallow KL’s Last Malay Village. Free Malaysia Today. 13 April 2018. Available online: https://www.freemalaysiatoday.com/category/nation/2018/04/13/skyscrapers-threaten-to-swallow-kls-last-malay-village/ (accessed on 14 April 2020).
- Hassan, H. Malaysia’s Malay Enclave of Kampung Baru Inches Closer to Redevelopment. The Straits Times. 13 January 2020. Available online: https://www.straitstimes.com/asia/se-asia/malaysias-malay-enclave-of-kampung-baru-inches-closer-to-redevelopment (accessed on 18 April 2020).
- Azis Ngah, O.M. Bandar Moden Simbol Kekuatan Melayu Kota. BH Online. 21 April 2019. Available online: https://www.bharian.com.my/berita/nasional/2019/04/555541/bandar-moden-simbol-kekuatan-melayu-kota (accessed on 11 April 2020).
- Babulal, V.; Ying, T.P. Kampung Baru Land Deal: Final Offer to Be Made by PM. New Straits Times. 22 September 2019. Available online: https://www.nst.com.my/news/nation/2019/09/523428/kampung-baru-land-deal-final-offer-be-made-pm (accessed on 3 March 2020).
- New Straits Times. 2019 Sees a Glimmer of Hope towards Kampung Baru Redevelopment. New Straits Times. 26 December 2019. Available online: https://www.nst.com.my/news/nation/2019/12/550875/2019-sees-glimmer-hope-towards-kampung-baru-redevelopment (accessed on 9 March 2020).
- Rodzi, N.H. PH Govt Makes Fresh Offer to Redevelop Malay Enclave in KL. The Straits Times. 22 September 2019. Available online: https://www.straitstimes.com/asia/se-asia/ph-govt-makes-fresh-offer-to-redevelop-malay-enclave-in-kl (accessed on 5 April 2020).
- Zainol, M.J. Transform Kampung Baru into a Central Park. New Straits Times. 3 October 2019. Available online: https://www.nst.com.my/opinion/letters/2019/10/526867/transform-kampung-baru-central-park (accessed on 7 March 2020).
- Fujita, M.A. Forays into Building Identity. J. Arch. Educ. 2010, 63, 8–24. [Google Scholar] [CrossRef]
- Hashim, W.; Nasir, A.H. The Traditional Malay House; Institut Terjemahan Negara Malaysia: Kuala Lumpur, Malaysia, 2011. [Google Scholar]
- Yuan, L.J. Under one roof: The traditional Malay house. IDRC Rep. 1984, 12, 15–16. [Google Scholar]
- Chan, N.W.; Parker, D.J. Response to Dynamic Flood Hazard Factors in Peninsular Malaysia. Geogr. J. 1996, 162, 313. [Google Scholar] [CrossRef]
- Chan, N.W. Increasing flood risk in Malaysia: Causes and solutions. Disaster Prev. Manag. Int. J. 1997, 6, 72–86. [Google Scholar] [CrossRef]
- Yuan, L.J. The Malay House: Rediscovering Malaysia’s Indigenous Shelter System; Institut Masyarakat: Penang, Malaysia, 1987. [Google Scholar]
- Kamal, K.S.; Wahab, L.A.; Ahmad, A.C. Climatic design of the traditional Malay house to meet the requirement of modern living. In Proceedings of the 38th International Conference of Architectural Science Association ANZAScA: “Contexts of Architecture”, Launceston, Tasmania, 10–12 November 2004; pp. 175–179. [Google Scholar]
- Nordin, T.E.; Husin, H.N.; Kamal, K.S. Climatic Design Feature in the Traditional Malay House for Ventilation Purpose. In Proceedings of the International Seminar on Malay Architecture as Lingua Franca, Jakarta, Indonesia, 22–23 June 2005; pp. 41–48. [Google Scholar]
- Ooi, M.; Chan, A.; Subramaniam, K.; Morris, K.; Oozeer, M.Y. Interaction of Urban Heating and Local Winds During the Calm Intermonsoon Seasons in the Tropics. J. Geophys. Res. Atmos. 2017, 122, 11, 499–523. [Google Scholar] [CrossRef]
- Aktaş, Y.D.; Stocker, J.; Carruthers, D.; Hunt, J. A Sensitivity Study Relating to Local Urban Climate Modelling within the Built Environment. Procedia Eng. 2017, 198, 589–599. [Google Scholar] [CrossRef]
- Mora, C.; Dousset, B.; Caldwell, I.; Powell, F.E.; Geronimo, R.C.; Bielecki, C.R.; Counsell, C.W.W.; Dietrich, B.S.; Johnston, E.T.; Louis, L.; et al. Global risk of deadly heat. Nat. Clim. Chang. 2017, 7, 501–506. [Google Scholar] [CrossRef]
- Rothfusz, L.P. The Heat Index Equation; SR/SSD 90–23; NWS Southern Region Technical Attachment: Fort Worth, TX, USA, 1990. [Google Scholar]
- Blazejczyk, K.; Epstein, Y.; Jendritzky, G.; Staiger, H.; Tinz, B. Comparison of UTCI to selected thermal indices. Int. J. Biometeorol. 2011, 56, 515–535. [Google Scholar] [CrossRef]
- Anderson, G.B.; Bell, M.; Peng, R.D. Methods to Calculate the Heat Index as an Exposure Metric in Environmental Health Research. Environ. Health Perspect. 2013, 121, 1111–1119. [Google Scholar] [CrossRef] [PubMed]
- Wang, S.K. Handbook of Air Conditioning and Refrigeration; McGraw-Hill: New York, NY, USA, 2001. [Google Scholar]
- Saat, M.; Tochihara, Y.; Hashiguchi, N.; Sirisinghe, R.G.; Fujita, M.; Chou, C.M. Effects of Exercise in the Heat on Thermoregulation of Japanese and Malaysian Males. J. Physiol. Anthr. Appl. Hum. Sci. 2005, 24, 267–275. [Google Scholar] [CrossRef] [PubMed]
- Nguyen, M.; Tokura, H. Observations on Normal Body Temperatures in Vietnamese and Japanese in Vietnam. J. Physiol. Anthr. Appl. Hum. Sci. 2002, 21, 59–65. [Google Scholar] [CrossRef] [PubMed]
- Mallick, F.H. Thermal comfort and building design in the tropical climates. Energy Build. 1996, 23, 161–167. [Google Scholar] [CrossRef]
- Nasir, R.A.; Ahmad, S.; Zain-Ahmed, A. Adaptive Outdoor Thermal Comfort at an Urban Park in Malaysia. Asian J. Behav. Stud. 2018, 3, 13. [Google Scholar] [CrossRef]
- Karyono, T.H. Thermal Comfort in the Tropical South East Asia Region. Arch. Sci. Rev. 1996, 39, 135–139. [Google Scholar] [CrossRef]
- Steadman, R.G. A Universal Scale of Apparent Temperature. J. Clim. Appl. Meteorol. 1984, 23, 1674–1687. [Google Scholar] [CrossRef]
- Steadman, R.G. The assessment of sultriness. Part I: A temperature-humidity index based on human physiology and clothing science. J. Appl. Meteorol. 1979, 18, 861–873. [Google Scholar] [CrossRef]
- CERC. ADMS-Urban Urban Air Quality Management System User Guide; CERC: Cambridge, UK, 2017. [Google Scholar]
- Wang, K.; Aktas, Y.D.; Stocker, J.; Carruthers, D.; Hunt, J.; Malki-Epshtein, L. Urban heat island modelling of a tropical city: Case of Kuala Lumpur. Geosci. Lett. 2019, 6, 4. [Google Scholar] [CrossRef]
- Hood, C.; Carruthers, D.; Seaton, M.; Stocker, J.; Johnson, K. Urban canopy flow field and advanced street canyon modelling in ADMS-Urban. In Proceedings of the 16th International Conference on Harmonisation within Atmospheric Dispersion Modelling for Regulatory Purposes, Varna, Bulgaria, 8–11 September 2014. [Google Scholar]
- Chung, J.-Y.; Honda, Y.; Hong, Y.-C.; Pan, X.-C.; Guo, Y.L.; Kim, H. Ambient temperature and mortality: An international study in four capital cities of East Asia. Sci. Total. Environ. 2009, 408, 390–396. [Google Scholar] [CrossRef]
- Salim, M.; Schlünzen, K.H.; Grawe, D. Including trees in the numerical simulations of the wind flow in urban areas: Should we care? J. Wind. Eng. Ind. Aerodyn. 2015, 144, 84–95. [Google Scholar] [CrossRef]
- Pielke, R.A., Sr.; Davey, C.; Morgan, J. Assessing “global warming” with surface heat content. Eos Trans. Am. Geophys. Union 2004, 85, 210. [Google Scholar] [CrossRef]
- Ford, T.W.; Schoof, J.T. Characterizing extreme and oppressive heat waves in Illinois. J. Geophys. Res. Atmos. 2017, 122, 682–698. [Google Scholar] [CrossRef]
- Buyadi, S.N.A.; Mohd, W.M.N.W.; Misni, A. Impact of Land Use Changes on the Surface Temperature Distribution of Area Surrounding the National Botanic Garden, Shah Alam. Procedia Soc. Behav. Sci. 2013, 101, 516–525. [Google Scholar] [CrossRef]
- Richards; Fung, T.; Belcher, R.; Edwards, P. Differential air temperature cooling performance of urban vegetation types in the tropics. Urban For. Urban Green. 2020, 50, 126651. [Google Scholar] [CrossRef]
- Ali, S.B.; Patnaik, S. Thermal comfort in urban open spaces: Objective assessment and subjective perception study in tropical city of Bhopal, India. Urban Clim. 2018, 24, 954–967. [Google Scholar] [CrossRef]
- Nguyen, J.; Schwartz, J.D.; Dockery, D. The relationship between indoor and outdoor temperature, apparent temperature, relative humidity, and absolute humidity. ISEE Conf. Abstr. 2013, 2013, 4712. [Google Scholar] [CrossRef]
- Elsayed, I.S. A study on the urban heat island of the city of Kuala Lumpur, Malaysia. JKAU Met. Environ. Arid. Land Agric. Sci. 2012, 23, 121–134. [Google Scholar] [CrossRef]
- Elsayed, I.S. Mitigation of urban heat island of the city of Kuala Lumpur, Malaysia. Middle East J. Sci. Res. 2012, 11, 1602–1613. [Google Scholar]










| Open High-Rise (OHR) | Jalan Ampang Near KL City Centre Park (KLCC) | Jalan Ampang—Jalan Tun Razak Intersection (JA) | Green (OLG and CTG) | Botanic Gardens (BG) | Tugu Negara (TN) | Eco Park (ECO) | Open Low-Rise (OLR) | Malaysia Tourism Centre (MATIC) |
![]() | ![]() | ![]() | ![]() | ![]() | ![]() | |||
| Compact High-Rise (CHR) | Intercontinental Hotel (IH) | Jalan P Ramlee (JPR) | Compact Low-Rise (CLR) | Kampung Baru (KB1) | Kampung Baru (KB2) | Chow Kit (CK) | ||
![]() | ![]() | ![]() | ![]() | ![]() | ||||
© 2020 by the authors. Licensee MDPI, Basel, Switzerland. This article is an open access article distributed under the terms and conditions of the Creative Commons Attribution (CC BY) license (http://creativecommons.org/licenses/by/4.0/).
Share and Cite
Aktas, Y.D.; Wang, K.; Zhou, Y.; Othman, M.; Stocker, J.; Jackson, M.; Hood, C.; Carruthers, D.; Latif, M.T.; D’Ayala, D.; et al. Outdoor Thermal Comfort and Building Energy Use Potential in Different Land-Use Areas in Tropical Cities: Case of Kuala Lumpur. Atmosphere 2020, 11, 652. https://doi.org/10.3390/atmos11060652
Aktas YD, Wang K, Zhou Y, Othman M, Stocker J, Jackson M, Hood C, Carruthers D, Latif MT, D’Ayala D, et al. Outdoor Thermal Comfort and Building Energy Use Potential in Different Land-Use Areas in Tropical Cities: Case of Kuala Lumpur. Atmosphere. 2020; 11(6):652. https://doi.org/10.3390/atmos11060652
Chicago/Turabian StyleAktas, Yasemin D., Kai Wang, Yu Zhou, Murnira Othman, Jenny Stocker, Mark Jackson, Christina Hood, David Carruthers, Mohd Talib Latif, Dina D’Ayala, and et al. 2020. "Outdoor Thermal Comfort and Building Energy Use Potential in Different Land-Use Areas in Tropical Cities: Case of Kuala Lumpur" Atmosphere 11, no. 6: 652. https://doi.org/10.3390/atmos11060652
APA StyleAktas, Y. D., Wang, K., Zhou, Y., Othman, M., Stocker, J., Jackson, M., Hood, C., Carruthers, D., Latif, M. T., D’Ayala, D., & Hunt, J. (2020). Outdoor Thermal Comfort and Building Energy Use Potential in Different Land-Use Areas in Tropical Cities: Case of Kuala Lumpur. Atmosphere, 11(6), 652. https://doi.org/10.3390/atmos11060652












