Effects of Stems and Leaves of Panax notoginseng on mRNA Expression of TLR Signaling Pathway in Hepatic Tissue of Duzang Pigs
Abstract
1. Introduction
2. Materials and Methods
2.1. Treatment of the PNSLs
2.2. Animal Management
2.3. Gene Sequence Analysis
2.4. Extraction of RNA
2.5. RNA Detection
2.6. Reverse Transcription
2.7. Primer Design
2.8. qPCR
2.9. Data Processing
3. Results
3.1. Amino Acid Composition and Protein Structure Prediction of TLRs
3.2. Effects of PNSLs on Hepatic TLR Signaling Pathway mRNA Expression Levels of Duzang Pigs
3.2.1. Total RNA Extraction from Hepatic Tissue
3.2.2. Effects of PNSLs on TLRs mRNA Expression Levels
3.2.3. Effects of PNSLs on mRNA Expression Levels of Pivotal Proteins in TLR Signaling Pathway
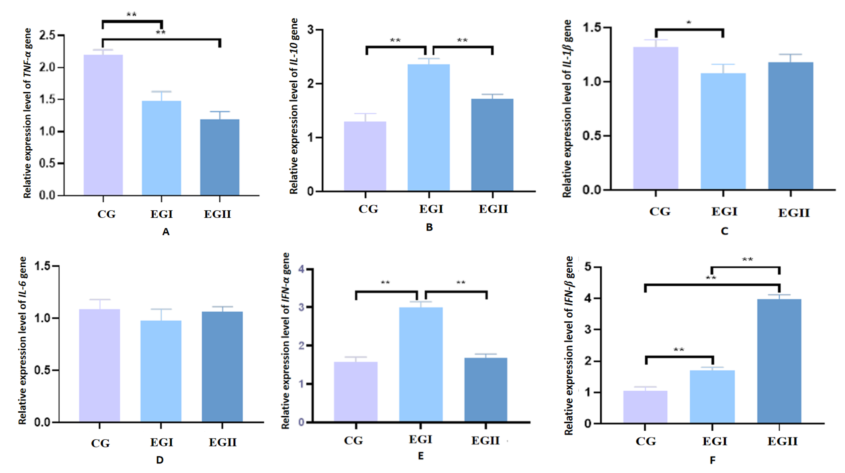
3.2.4. Effects of PNSL on Downstream Cytokines mRNA Expression Levels in TLR Signaling Pathway
3.3. Principal Components and Correlation Analysis of TLR Signaling Pathway Expression
3.3.1. Cluster Analysis and Principal Component Analysis
3.3.2. Correlation Analysis of the mRNA Expression Levels of TLRs and Pivotal Proteins
3.3.3. Correlation Analysis Between TLRs and Cytokine mRNA Expression Levels
4. Discussion
5. Conclusions
Supplementary Materials
Author Contributions
Funding
Institutional Review Board Statement
Informed Consent Statement
Data Availability Statement
Conflicts of Interest
Abbreviations
| TLRs | Toll-like receptor |
| TIR | Toll/interleukin-1 receptor domain |
| PNSL | Panax notoginseng stems and leaves |
| MyD88 | myeloid differentiation factor 88 |
| TRIF | TIR domain-containing adaptor inducing IFN-β |
| TNF-α | tumor necrosis factor-alpha |
| IL-1β | interleukin-1 beta |
| IFN | Interferon |
| IL | Interleukin |
| NF-κB | nuclear factor-kappa B |
References
- Jia, D.; Zhang, J.; Jin, S.; Luo, S.; Ma, Y.; Quek, S.Y.; Yan, D.; Dong, X. Changes of physicochemical and volatile flavor compounds of dry-cured Diqing Tibetan pig hams during fermentation. Food Res. Int. 2024, 197, 115136. [Google Scholar] [CrossRef] [PubMed]
- Yu, J.; Zhao, P.; Zheng, X.; Zhou, L.; Wang, C.; Liu, J.F. Genome-Wide Detection of Selection Signatures in Duroc Revealed Candidate Genes Relating to Growth and Meat Quality. G3 Genes|Genomes|Genet. 2020, 10, 3765–3773. [Google Scholar] [CrossRef] [PubMed] [PubMed Central]
- Xu, C.; Wang, W.; Wang, B.; Zhang, T.; Cui, X.; Pu, Y.; Li, N. Analytical methods and biological activities of Panax notoginseng saponins: Recent trends. J. Ethnopharmacol. 2019, 236, 443–465. [Google Scholar] [CrossRef] [PubMed]
- Mancuso, C. Panax notoginseng: Pharmacological Aspects and Toxicological Issues. Nutrients 2024, 16, 2120. [Google Scholar] [CrossRef] [PubMed] [PubMed Central]
- Kubes, P.; Jenne, C. Immune Responses in the Liver. Annu. Rev. Immunol. 2018, 36, 247–277. [Google Scholar] [CrossRef] [PubMed]
- Parlar, Y.E.; Ayar, S.N.; Cagdas, D.; Balaban, Y.H. Liver immunity, autoimmunity, and inborn errors of immunity. World J. Hepatol. 2023, 15, 52–67. [Google Scholar] [CrossRef] [PubMed] [PubMed Central]
- Bhardwaj, A.; Prasad, D.; Mukherjee, S. Role of toll-like receptor in the pathogenesis of oral cancer. Cell Biochem. Biophys. 2024, 82, 91–105. [Google Scholar] [CrossRef] [PubMed]
- Kawasaki, T.; Kawai, T. Toll-like receptor signaling pathways. Front. Immunol. 2014, 5, 461. [Google Scholar] [CrossRef] [PubMed] [PubMed Central]
- Duan, T.; Du, Y.; Xing, C.; Wang, H.Y.; Wang, R.F. Toll-Like Receptor Signaling and Its Role in Cell-Mediated Immunity. Front. Immunol. 2022, 13, 812774. [Google Scholar] [CrossRef] [PubMed] [PubMed Central]
- Deguine, J.; Barton, G.M. MyD88: A central player in innate immune signaling. F1000Prime Rep. 2014, 6, 97. [Google Scholar] [CrossRef] [PubMed] [PubMed Central]
- Hu, L.; Cheng, Z.; Chu, H.; Wang, W.; Jin, Y.; Yang, L. TRIF-dependent signaling and its role in liver diseases. Front. Cell Dev. Biol. 2024, 12, 1370042. [Google Scholar] [CrossRef] [PubMed] [PubMed Central]
- Liu, C.; Chu, D.; Kalantar-Zadeh, K.; George, J.; Young, H.A.; Liu, G. Cytokines: From Clinical Significance to Quantification. Adv. Sci. 2021, 8, e2004433. [Google Scholar] [CrossRef] [PubMed] [PubMed Central]
- Yi, L.; Zhu, J.; Li, Q.; Guan, X.; Cheng, W.; Xie, Y.; Zhao, Y.; Zhao, S. Panax notoginseng stems and leaves affect microbial community and function in cecum of duzang pigs. Transl. Anim. Sci. 2024, 8, txad142. [Google Scholar] [CrossRef] [PubMed] [PubMed Central]
- Cheng, W.; Yi, L.; Xu, T.; Xie, Y.; Zhu, J.; Guan, X.; Li, Q.; Huang, Y.; Zhao, Y.; Zhao, S. The stems and leaves of Panax notoginseng reduce the abundance of antibiotic resistance genes by regulating intestinal microbiota in Duzang pigs. Anim. Biotechnol. 2025, 36, 2471785. [Google Scholar] [CrossRef] [PubMed]
- Uenishi, H.; Shinkai, H. Porcine Toll-like receptors: The front line of pathogen monitoring and possible implications for disease resistance. Dev Comp Immunol. 2009, 33, 353–361. [Google Scholar] [CrossRef] [PubMed]
- Liu, J.; Luo, Y.; Kong, X.; Yu, B.; Zheng, P.; Huang, Z.; Mao, X.; Yu, J.; Luo, J.; Yan, H.; et al. Effects of Dietary Fiber on Growth Performance, Nutrient Digestibility and Intestinal Health in Different Pig Breeds. Animals 2022, 12, 3298. [Google Scholar] [CrossRef] [PubMed] [PubMed Central]
- Desai, M.S.; Seekatz, A.M.; Koropatkin, N.M.; Kamada, N.; Hickey, C.A.; Wolter, M.; Pudlo, N.A.; Kitamoto, S.; Terrapon, N.; Muller, A.; et al. A dietary fiber-deprived gut microbiota degrades the colonic mucus barrier and enhances pathogen susceptibility. Cell 2016, 167, 1339–1353.e21. [Google Scholar] [CrossRef]
- Hu, R.; Li, S.; Diao, H.; Huang, C.; Yan, J.; Wei, X.; Zhou, M.; He, P.; Wang, T.; Fu, H.; et al. The interaction between dietary fiber and gut microbiota, and its effect on pig intestinal health. Front. Immunol. 2023, 14, 1095740. [Google Scholar] [CrossRef] [PubMed] [PubMed Central]
- Wang, W.; Fan, Z.; Yan, Q.; Pan, T.; Luo, J.; Wei, Y.; Li, B.; Fang, Z.; Lu, W. Gut microbiota determines the fate of dietary fi-ber-targeted interventions in host health. Gut Microbes 2024, 16, 2416915. [Google Scholar] [CrossRef] [PubMed] [PubMed Central]
- Cronin, P.; Joyce, S.A.; O’Toole, P.W.; O’Connor, E.M. Dietary Fibre Modulates the Gut Microbiota. Nutrients 2021, 13, 1655. [Google Scholar] [CrossRef] [PubMed] [PubMed Central]
- Hu, J.; Lin, S.; Zheng, B.; Cheung, P.C.K. Short–chain fatty acids in control of energy metabolism. Crit. Rev. Food Sci. Nutr. 2018, 58, 1243–1249. [Google Scholar] [CrossRef] [PubMed]
- Ding, J.H.; Jin, Z.; Yang, X.X.; Lou, J.; Shan, W.X.; Hu, Y.X.; Du, Q.; Liao, Q.S.; Xie, R.; Xu, J.Y. Role of gut microbiota via the gut-liver-brain axis in digestive diseases. World J. Gastroenterol. 2020, 26, 6141–6162. [Google Scholar] [CrossRef] [PubMed] [PubMed Central]
- Wang, C.; Zheng, L.; Liu, S.; Guo, X.; Qu, Y.; Gao, M.; Cui, X.; Yang, Y. A novel acidic polysaccharide from the residue of Panax notoginseng and its hepatoprotective effect on alcoholic liver damage in mice. Int. J. Biol. Macromol. 2020, 149, 1084–1097. [Google Scholar] [CrossRef] [PubMed]
- Liu, Y.H.; Qin, H.Y.; Zhong, Y.Y.; Li, S.; Wang, H.J.; Wang, H.; Chen, L.L.; Tang, X.; Li, Y.L.; Qian, Z.Y.; et al. Neutral polysaccharide from Panax notoginseng enhanced cyclophosphamide antitumor efficacy in hepatoma H22-bearing mice. BMC Cancer 2021, 21, 37. [Google Scholar] [CrossRef] [PubMed] [PubMed Central]
- Jiang, X.L.; Ma, G.F.; Zhao, B.B.; Meng, Y.; Chen, L.L. Structural characterization and immunomodulatory activity of a novel polysaccharide from Panax notoginseng. Front. Pharmacol. 2023, 14, 1190233. [Google Scholar] [CrossRef] [PubMed] [PubMed Central]
- Xu, Y.; Wang, N.; Tan, H.Y.; Li, S.; Zhang, C.; Feng, Y. Gut-liver axis modulation of Panax notoginseng saponins in nonalcoholic fatty liver disease. Hepatol. Int. 2021, 15, 350–365. [Google Scholar] [CrossRef] [PubMed] [PubMed Central]
- Zhong, H.; Wu, H.; Bai, H.; Wang, M.; Wen, J.; Gong, J.; Miao, M.; Yuan, F. Panax notoginseng saponins promote liver regeneration through activation of the PI3K/AKT/mTOR cell proliferation pathway and upregulation of the AKT/Bad cell survival pathway in mice. BMC Complement. Altern. Med. 2019, 19, 122. [Google Scholar] [CrossRef] [PubMed] [PubMed Central]
- Tao, A.; Zhang, Y.; Gan, Z.; Yin, C.; Tian, Y.; Zhang, L.; Zhong, X.; Fang, X.; Jiang, G.; Zhang, R. Isolation, structural features, and bioactivities of polysaccharides from Panax notoginseng: A review. Int. J. Biol. Macromol. 2024, 280, 135765, Erratum in Int. J. Biol. Macromol. 2024, 283, 136227. [Google Scholar]
- Xu, Y.; Tan, H.Y.; Li, S.; Wang, N.; Feng, Y. Panax notoginseng for Inflammation-Related Chronic Diseases: A Review on the Modulations of Multiple Pathways. Am. J. Chin. Med. 2018, 46, 971–996. [Google Scholar] [CrossRef] [PubMed]
- Mengnan, L.; Xianwen, Y.; Shuyan, Z.; Shuiqing, C.; Wenjuan, X.; Xuan, W.; Jia, W.; Chunshuai, L.; Linlin, Y.; Xinfang, X.; et al. Homotherapy for heteropathy of Alzheimer’s disease and anemia through reducing the expression of toll-like receptor and TNF by steamed Panax notoginseng. Biomed. Pharmacother. 2023, 165, 115075. [Google Scholar] [CrossRef] [PubMed]
- Yang, C.; Qu, L.; Wang, R.; Wang, F.; Yang, Z.; Xiao, F. Multi-layered effects of Panax notoginseng on immune system. Pharmacol. Res. 2024, 204, 107203. [Google Scholar] [CrossRef] [PubMed]
- Kim, B.; Kim, E.Y.; Lee, E.J.; Han, J.H.; Kwak, C.H.; Jung, Y.S.; Lee, S.O.; Chung, T.W.; Ha, K.T. Panax notoginseng Inhibits Tumor Growth through Activating Macrophage to M1 Polarization. Am. J. Chin. Med. 2018, 46, 1369–1385. [Google Scholar] [CrossRef] [PubMed]
- Couture, L.A.; Piao, W.; Ru, L.W.; Vogel, S.N.; Toshchakov, V.Y. Targeting Toll-like receptor (TLR) signaling by Toll/interleukin-1 receptor (TIR) domain-containing adapter protein/MyD88 adapter-like (TIRAP/Mal)-derived decoy peptides. J. Biol. Chem. 2012, 287, 24641–24648. [Google Scholar] [CrossRef] [PubMed] [PubMed Central]
- Yang, Q.; Shu, H.B. Deciphering the pathways to antiviral innate immunity and inflammation. Adv. Immunol. 2020, 145, 1–36. [Google Scholar] [CrossRef] [PubMed]
- Mukherjee, S.; Huda, S.; Sinha Babu, S.P. Toll-like receptor polymorphism in host immune response to infectious diseases: A review. Scand. J. Immunol. 2019, 90, e12771. [Google Scholar] [CrossRef] [PubMed]
- Chen, Y.; Lin, J.; Zhao, Y.; Ma, X.; Yi, H. Toll-like receptor 3 (TLR3) regulation mechanisms and roles in antiviral innate immune responses. J. Zhejiang Univ. Sci. B 2021, 22, 609–632. [Google Scholar] [CrossRef] [PubMed] [PubMed Central]
- Zhou, L.; Liu, Z.; Wang, Z.; Yu, S.; Long, T.; Zhou, X.; Bao, Y. Astragalus polysaccharides exerts immunomodulatory effects via TLR4-mediated MyD88-dependent signaling pathway in vitro and in vivo. Sci. Rep. 2017, 7, 44822. [Google Scholar] [CrossRef] [PubMed] [PubMed Central]
- Jenks, S.A.; Cashman, K.S.; Zumaquero, E.; Marigorta, U.M.; Patel, A.V.; Wang, X.; Tomar, D.; Woodruff, M.C.; Simon, Z.; Bugrovsky, R.; et al. Distinct Effector B Cells Induced by Unregulated Toll-like Receptor 7 Contribute to Pathogenic Responses in Systemic Lupus Erythematosus. Immunity 2018, 49, 725–739.e6, Erratum in Immunity 2020, 52, 203. [Google Scholar] [CrossRef] [PubMed] [PubMed Central]
- O’Shea, J.J.; Murray, P.J. Cytokine signaling modules in inflammatory responses. Immunity 2008, 28, 477–487. [Google Scholar] [CrossRef] [PubMed] [PubMed Central]
- Bezemer, G.F.G.; Garssen, J. TLR9 and COVID-19: A Multidisciplinary Theory of a Multifaceted Therapeutic Target. Front. Pharmacol. 2021, 11, 601685. [Google Scholar] [CrossRef] [PubMed] [PubMed Central]
- Ellenbroek, G.H.; van Puijvelde, G.H.; Anas, A.A.; Bot, M.; Asbach, M.; Schoneveld, A.; van Santbrink, P.J.; Foks, A.C.; Timmers, L.; Doevendans, P.A.; et al. Leukocyte TLR5 deficiency inhibits atherosclerosis by reduced macrophage recruitment and defective T-cell responsiveness. Sci. Rep. 2017, 7, 42688. [Google Scholar] [CrossRef] [PubMed] [PubMed Central]
- Hayashi, F.; Smith, K.D.; Ozinsky, A.; Hawn, T.R.; Yi, E.C.; Goodlett, D.R.; Eng, J.K.; Akira, S.; Underhill, D.M.; Aderem, A. The innate immune response to bacterial flagellin is mediated by Toll-like receptor 5. Nature 2001, 410, 1099–1103. [Google Scholar] [CrossRef] [PubMed]







| Raw Material | Dry Matter | Crude Protein | Crude Ash | Crude Fat | Crude Fiber | Calcium | Phosphorus | NFE |
|---|---|---|---|---|---|---|---|---|
| PNSLs | 94.65 | 12.45 | 8.38 | 2.52 | 20.45 | 1.28 | 2.23 | 50.85 |
| TLR1 | TLR2 | TLR3 | TLR4 | TLR5 | |
|---|---|---|---|---|---|
| mw 1 | 90,967.44 | 89,627.22 | 103,771.83 | 96,331.93 | 97,175.10 |
| pI 2 | 5.87 | 7.53 | 7.18 | 6.10 | 6.74 |
| TLR6 | TLR7 | TLR8 | TLR9 | ||
| mw | 91,459.77 | 120,903.39 | 118,963.22 | 115,942.86 | |
| pI | 5.97 | 7.12 | 6.65 | 8.96 | |
| TLR1 | TLR2 | TLR3 | TLR4 | TLR5 | TLR6 | TLR7 | TLR8 | TLR9 | MyD88 | TRIF | |
|---|---|---|---|---|---|---|---|---|---|---|---|
| TLR1 | 1.000 | ||||||||||
| TLR2 | −0.317 | 1.000 | |||||||||
| TLR3 | 0.282 | −0.059 | 1.000 | ||||||||
| TLR4 | 0.408 | 0.256 | 0.072 | 1.000 | |||||||
| TLR5 | 0.145 | −0.528 * | −0.231 | −0.332 | 1.000 | ||||||
| TLR6 | −0.422 | 0.456 | 0.037 | −0.220 | −0.695 ** | 1.000 | |||||
| TLR7 | 0.270 | 0.143 | 0.395 | 0.704 ** | −0.634 * | 0.214 | 1.000 | ||||
| TLR8 | −0.044 | 0.431 | 0.432 | 0.474 | −0.834 ** | 0.497 | 0.794 ** | 1.000 | |||
| TLR9 | 0.451 | −0.396 | −0.246 | 0.029 | 0.727 ** | −0.734 ** | −0.406 | −0.622 * | 1.000 | ||
| MyD88 | 0.604 * | −0.495 | 0.000 | 0.171 | 0.506 | −0.670 ** | −0.150 | −0.470 | 0.875 ** | 1.000 | |
| TRIF | 0.198 | 0.120 | 0.456 | 0.546 * | −0.631 * | 0.222 | 0.821 ** | 0.735 ** | −0.433 | −0.182 | 1.000 1 |
Disclaimer/Publisher’s Note: The statements, opinions and data contained in all publications are solely those of the individual author(s) and contributor(s) and not of MDPI and/or the editor(s). MDPI and/or the editor(s) disclaim responsibility for any injury to people or property resulting from any ideas, methods, instructions or products referred to in the content. |
© 2025 by the authors. Licensee MDPI, Basel, Switzerland. This article is an open access article distributed under the terms and conditions of the Creative Commons Attribution (CC BY) license (https://creativecommons.org/licenses/by/4.0/).
Share and Cite
Zhang, N.; Yi, L.; Xie, Y.; Jia, H.; Song, G.; Cheng, W.; Shi, W.; Zhu, J.; Zhao, S. Effects of Stems and Leaves of Panax notoginseng on mRNA Expression of TLR Signaling Pathway in Hepatic Tissue of Duzang Pigs. Genes 2025, 16, 781. https://doi.org/10.3390/genes16070781
Zhang N, Yi L, Xie Y, Jia H, Song G, Cheng W, Shi W, Zhu J, Zhao S. Effects of Stems and Leaves of Panax notoginseng on mRNA Expression of TLR Signaling Pathway in Hepatic Tissue of Duzang Pigs. Genes. 2025; 16(7):781. https://doi.org/10.3390/genes16070781
Chicago/Turabian StyleZhang, Na, Lanlan Yi, Yuxiao Xie, Huijin Jia, Guangyao Song, Wenjie Cheng, Wenzhe Shi, Junhong Zhu, and Sumei Zhao. 2025. "Effects of Stems and Leaves of Panax notoginseng on mRNA Expression of TLR Signaling Pathway in Hepatic Tissue of Duzang Pigs" Genes 16, no. 7: 781. https://doi.org/10.3390/genes16070781
APA StyleZhang, N., Yi, L., Xie, Y., Jia, H., Song, G., Cheng, W., Shi, W., Zhu, J., & Zhao, S. (2025). Effects of Stems and Leaves of Panax notoginseng on mRNA Expression of TLR Signaling Pathway in Hepatic Tissue of Duzang Pigs. Genes, 16(7), 781. https://doi.org/10.3390/genes16070781

