Cyto-Histological Profile of MicroRNAs as Diagnostic Biomarkers in Differentiated Thyroid Carcinomas
Abstract
1. Introduction
2. Materials and Methods
2.1. Study Design
2.2. MicroRNAs Expression Profile Analysis
2.2.1. MicroRNA Extraction from FFPE Tissues and FNAC Samples
2.2.2. Reverse Transcription and Quantitative Real Time PCR (RT-qPCR)
2.3. Genetic Analysis
2.3.1. DNA Extraction
2.3.2. Mutational Screening
2.4. Clinicopathological Characteristics
2.5. Statistical Analysis
3. Results
3.1. Series Description
3.1.1. Epidemiologic Data
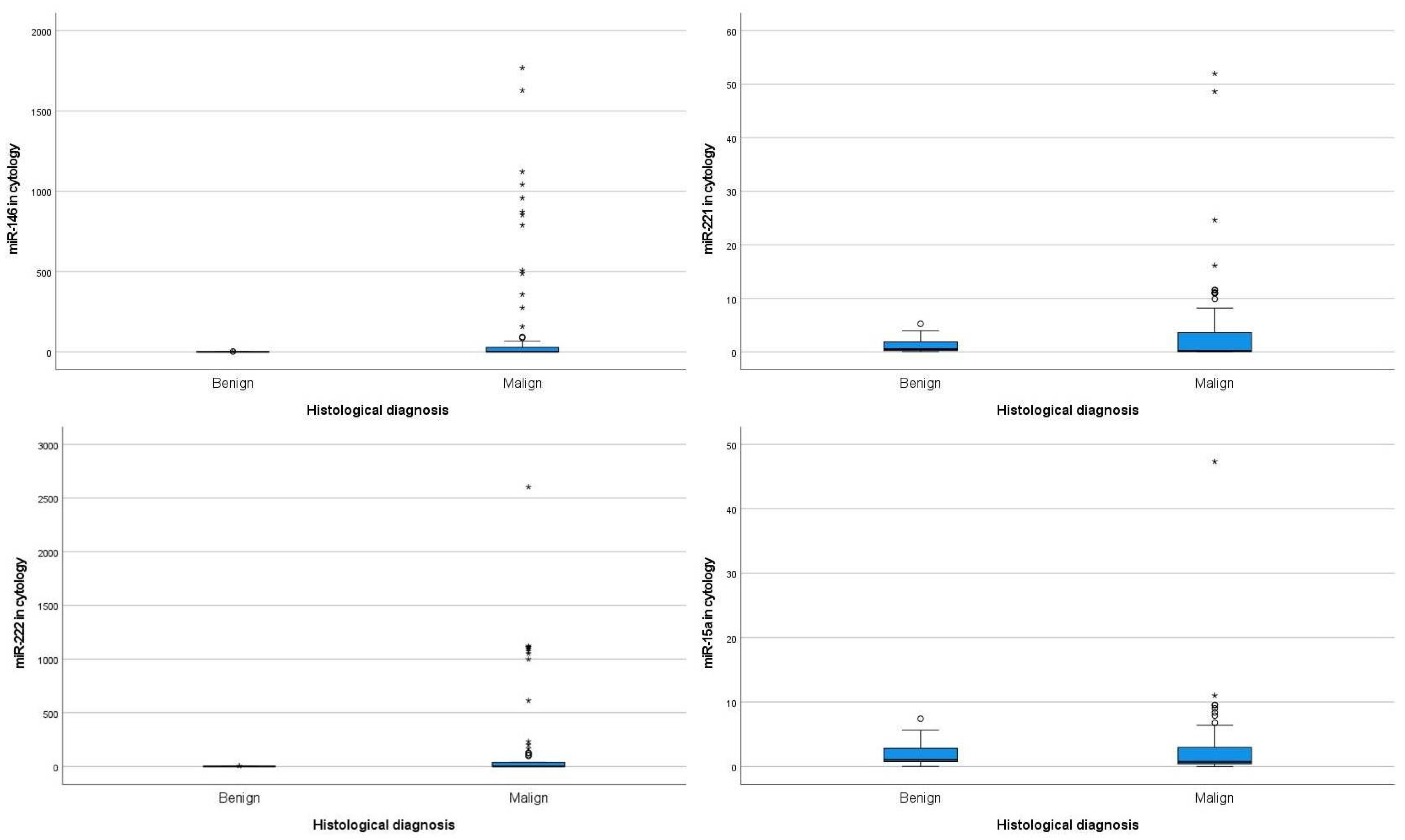
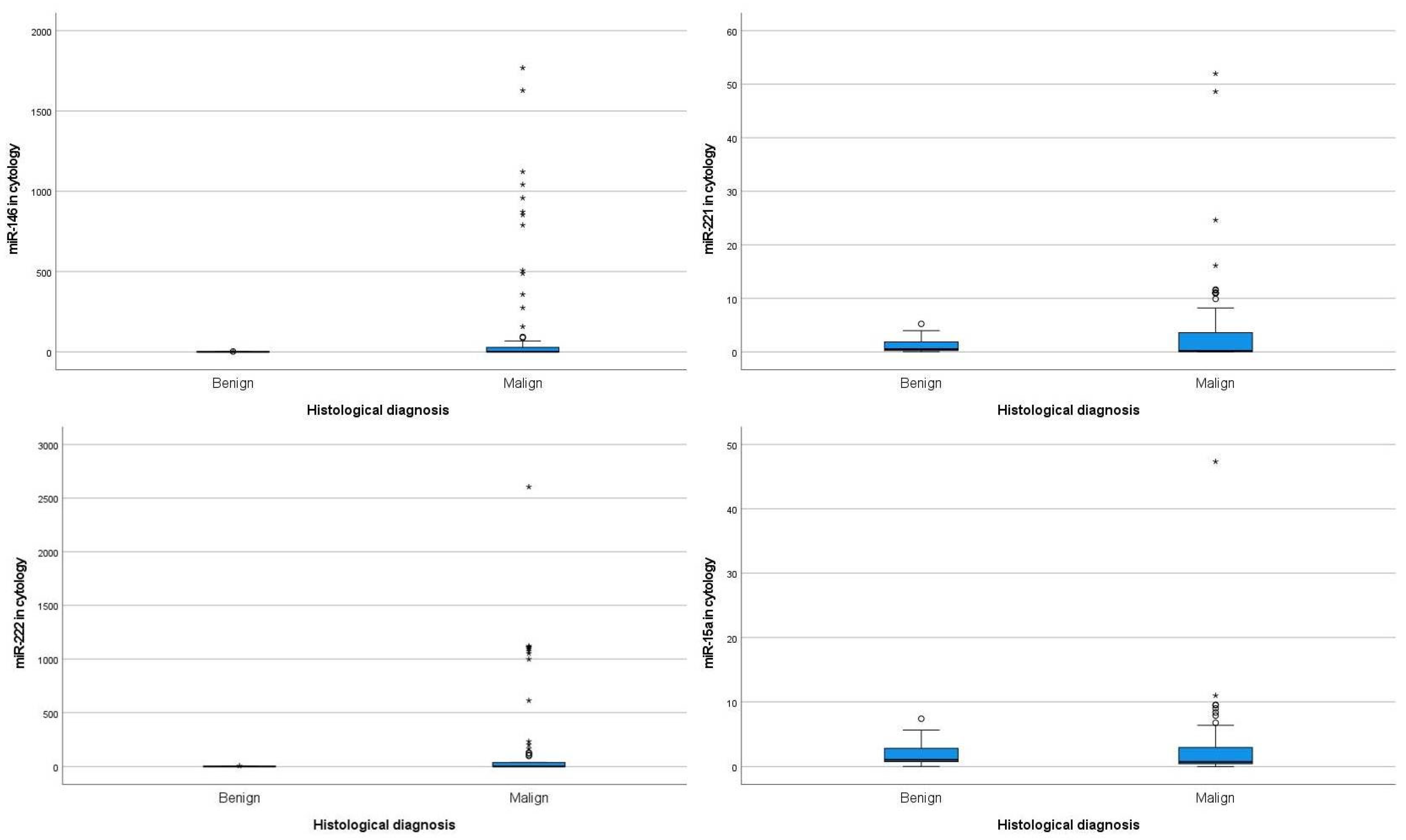
3.1.2. MiRNAs Profile in Cytology Samples
3.1.3. MiRNAs Profile in Histology Samples
3.2. MiRNA Expression and Mutations in PTCs
3.3. MiRNA Expression and Clinicopatological Features in PTCs
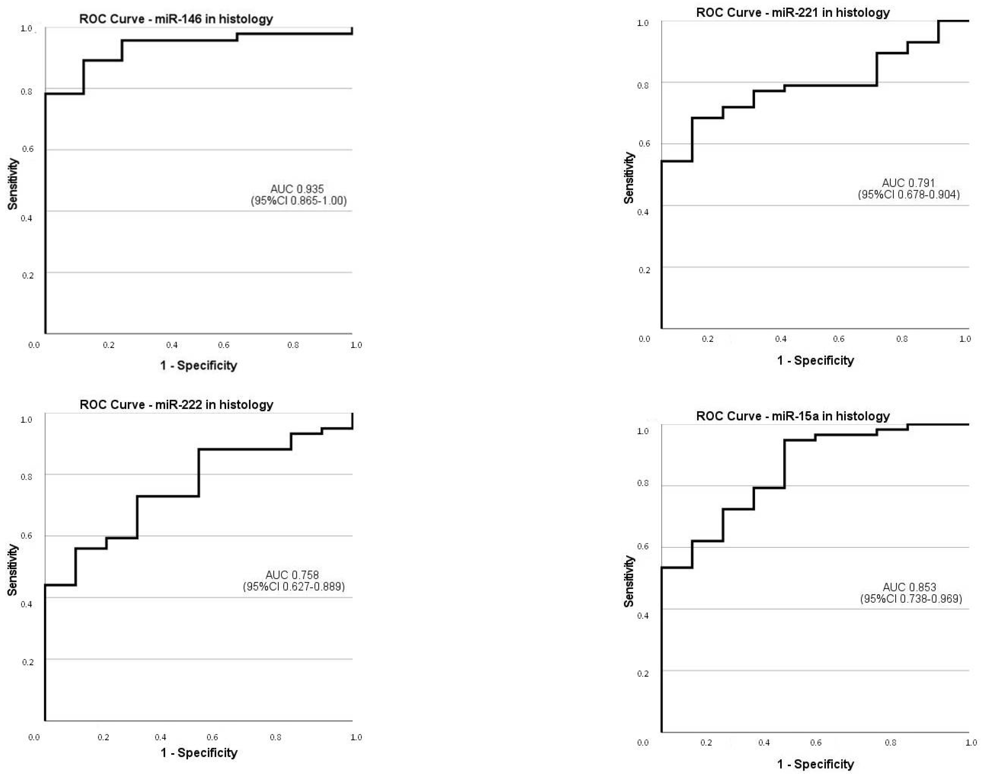
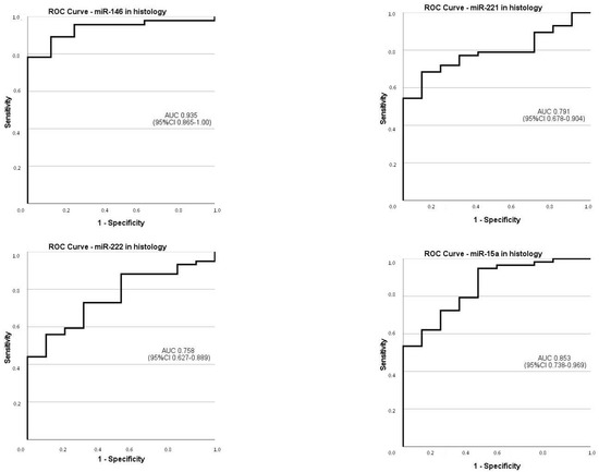
3.4. The Discriminative Ability of miRNAs in Histology for Malignancy
4. Discussion
5. Conclusions
Supplementary Materials
Author Contributions
Funding
Institutional Review Board Statement
Informed Consent Statement
Data Availability Statement
Acknowledgments
Conflicts of Interest
References
- Schlumberger, M.; Pacini, F.; Tuttle, R.M. Thyroid Tumors, 4th ed.; Institut Médico-Educatif: Paris, France, 2015. [Google Scholar]
- Grussendorf, M.; Ruschenburg, I.; Brabant, G. Malignancy rates in thyroid nodules: A long-term cohort study of 17,592 patients. Eur. Thyroid. J. 2022, 11, e220027. [Google Scholar] [CrossRef] [PubMed]
- Li, M.; Brito, J.P.; Vaccarella, S. Long-Term Declines of Thyroid Cancer Mortality: An International Age-Period-Cohort Analysis. Thyroid 2020, 30, 838–846. [Google Scholar] [CrossRef] [PubMed]
- Miranda-Filho, A.; Lortet-Tieulent, J.; Bray, F.; Cao, B.; Franceschi, S.; Vaccarella, S.; Dal Maso, L. Thyroid Cancer Incidence Trends by Histology in 25 Countries: A Population-Based Study. Lancet Diabetes Endocrinol. 2021, 9, 225–234. [Google Scholar] [CrossRef] [PubMed]
- Ren, H.; Shen, Y. Co-existence of BRAF (V600E) and TERT promoter mutations in papillary thyroid carcinoma is associated with tumor aggressiveness, but not with lymph node metastasis. Cancer Manag. Res. 2018, 10, 1005–1013. [Google Scholar] [CrossRef] [PubMed]
- Hlozek, J.; Pekova, B.; Rotnágl, J.; Holý, R.; Astl, J. Genetic Changes in Thyroid Cancers and the Importance of Their Preoperative Detection in Relation to the General Treatment and Determination of the Extent of Surgical Intervention—A Review. Biomedicines 2022, 10, 1515. [Google Scholar] [CrossRef] [PubMed]
- Ali, S.Z.; Cibas, E.S. The Bethesda System for Reporting Thyroid Cytopathology: Definitions, Criteria, and Explanatory Notes, 2nd ed.; Springer International Publishing: Cham, Switzerland, 2018. [Google Scholar]
- Ali, S.Z.; Baloch, Z.W.; Cochand-Priollet, B.; Schmitt, F.C.; Vielh, P.; VanderLaan, P.A. The 2023 Bethesda System for Reporting Thyroid Cytopathology. Thyroid 2023, 33, 1039–1044. [Google Scholar] [CrossRef] [PubMed]
- Basolo, F.; Macerola, E.; Poma, A.M.; Torregrossa, L. The 5th edition of WHO classification of tumors of endocrine organs: Changes in the diagnosis of follicular-derived thyroid carcinoma. Endocrine 2023, 80, 470–476. [Google Scholar] [CrossRef]
- Durante, C.; Hegedüs, L.; Czarniecka, A.; Paschke, R.; Russ, G.; Schmitt, F.; Soares, P.; Solymosi, T.; Papini, E. 2023 European Thyroid Association Clinical Practice Guidelines for thyroid nodule management. Eur. Thyroid J. 2023, 12, e230067. [Google Scholar] [CrossRef]
- Haugen, B.R.; Alexander, E.K.; Bible, K.C.; Doherty, G.M.; Mandel, S.J.; Nikiforov, Y.E.; Pacini, F.; Wartofsky, L. 2015 American Thyroid Association: Management Guidelines for Adult Patients with Thyroid Nodules and differentiated Thyroid Cancer: The American Thyroid Association Guidelines Task Force on Thyroid Nodules and Differentiated Thyroid Cancer. Thyroid 2016, 26, 1–133. [Google Scholar] [CrossRef]
- Oczko-Wojciechowska, M.; Kotecka-Blicharz, A.; Krajewska, J.; Rusinek, D.; Barczynski, M.; Jarzab, B.; Czarniecka, A. European perspective on the use of molecular tests in the diagnosis and therapy of thyroid neoplasms. Gland. Surg. 2020, 9 (Suppl. S2), S69–S76. [Google Scholar] [CrossRef]
- Moore, A.; Bar, Y.; Maurice-Dror, C.; Finkel, I.; Goldvaser, H.; Dudnik, E.; Goldstein, D.A.; Gordon, N.; Billan, S.; Gutfeld, O.; et al. Next-generation sequencing in thyroid cancers: Do targetable alterations lead to a therapeutic advantage: A multicenter experience. Medicine 2021, 100, e26388. [Google Scholar] [CrossRef] [PubMed]
- Silaghi, C.A.; Lozovanu, V.; Georgescu, C.E.; Georgescu, R.D.; Susman, S.; Năsui, B.A.; Dobrean, A.; Silaghi, H. Thyroseq v3, Afirma GSC, and microRNA Panels Versus Previous Molecular Tests in the Preoperative Diagnosis of Indeterminate Thyroid Nodules: A Systematic Review and Meta-Analysis. Front. Endocrinol. 2021, 12, 649522. [Google Scholar] [CrossRef] [PubMed]
- Titov, S.; Demenkov, P.S.; Lukyanov, S.A.; Sergiyko, S.V.; Katanyan, G.A.; Veryaskina, Y.A.; Ivanov, M.K. Preoperative detection of malignancy in fine-needle aspiration cytology (FNAC) smears with indeterminate cytology (Bethesda III, IV) by a combined molecular classifier. J. Clin. Pathol. 2020, 73, 722–727. [Google Scholar] [CrossRef] [PubMed]
- Agarwal, S.; Bychkov, A.; Jung, C.-K. Emerging Biomarkers in Thyroid Practice and Research. Cancers 2021, 14, 204. [Google Scholar] [CrossRef] [PubMed]
- Santos, M.T.; Rodrigues, B.M.; Shizukuda, S.; Oliveira, A.F.; Oliveira, M.; Figueiredo, D.L.; Melo, G.M.; Silva, R.A.; Fainstein, C.; Reis, G.F.; et al. Clinical decision support analysis of a microRNA-based thyroid molecular classifier: A real-world, prospective and multicentre validation studies. EBioMedicine 2022, 82, 104137. [Google Scholar] [CrossRef] [PubMed]
- Lithwick-Yanai, G.; Dromi, N.; Shtabsky, A.; Morgenstern, S.; Strenov, Y.; Feinmesser, M.; Kravtsov, V.; Leon, M.E.; Hajdúch, M.; Ali, S.Z.; et al. Multicentre validation of a microRNA-based assay for diagnosing indeterminate thyroid nodules utilising fine needle aspirate smears. J. Clin. Pathol. 2017, 70, 500–507. [Google Scholar] [CrossRef] [PubMed]
- Chen, Y.; Dong, B.; Huang, L.; Huang, H. Serum microRNAs as biomarkers for the diagnosis of papillary thyroid carcinoma: A meta-analysis. Bosn. J. Basic. Med. Sci. 2022, 22, 862–871. [Google Scholar] [CrossRef] [PubMed]
- Xu, S.-L.; Tian, Y.-Y.; Zhou, Y.; Liu, L.-Q. Diagnostic value of circulating microRNAs in thyroid carcinoma: A systematic review and meta-analysis. Clin. Endocrinol. 2020, 93, 489–498. [Google Scholar] [CrossRef]
- Nikiforova, M.N.; Chiosea, S.I.; Nikiforov, Y.E. MicroRNA expression profiles in thyroid tumors. Endocr. Pathol. 2009, 20, 85–91. [Google Scholar] [CrossRef]
- Wójcicka, A.; Kolanowska, M.; Jażdżewski, K. Mechanisms in Endocrinology: MicroRNA in diagnostics and therapy of thyroid cancer. Eur. J. Endocrinol. 2016, 174, R89–R98. [Google Scholar] [CrossRef]
- Ludvíková, M.; Kalfeřt, D.; Kholová, I. Pathobiology of MicroRNAs and Their Emerging Role in Thyroid Fine-Needle Aspiration. Acta Cytol. 2015, 59, 435–444. [Google Scholar] [CrossRef] [PubMed]
- Abdullah, M.I.; Junit, S.M.; Leong Ng, K.; Jayapalan, J.J.; Karikalan, B.; Hashim, O.H. Papillary Thyroid Cancer: Genetic Alterations and Molecular Biomarker Investigations. Int. J. Med. Sci. 2019, 16, 450–460. [Google Scholar] [CrossRef] [PubMed]
- Jin, J.; Zhang, J.; Xue, Y.; Luo, L.; Wang, S.; Tian, H. miRNA-15a regulates the proliferation and apoptosis of papillary thyroid carcinoma via regulating AKT pathway. OncoTargets Ther. 2019, 12, 6217–6226. [Google Scholar] [CrossRef] [PubMed]
- Marini, F.; Luzi, E.; Brandi, M.L. MicroRNA Role in Thyroid Cancer Development. J. Thyroid. Res. 2011, 2011, 407123. [Google Scholar] [CrossRef] [PubMed]
- Luzón-Toro, B.; Fernández, R.M.; Villalba-Benito, L.; Torroglosa, A.; Antiñolo, G.; Borrego, S. Influencers on Thyroid Cancer Onset: Molecular Genetic Basis. Genes 2019, 10, 913. [Google Scholar] [CrossRef]
- Nikiforova, M.N.; Tseng, G.C.; Steward, D.; Diorio, D.; Nikiforov, Y.E. MicroRNA Expression Profiling of Thyroid Tumors: Biological Significance and Diagnostic Utility. J. Clin. Endocrinol. Metab. 2008, 93, 1600–1608. [Google Scholar] [CrossRef]
- Castagna, M.G.; Marzocchi, C.; Pilli, T.; Forleo, R.; Pacini, F.; Cantara, S. MicroRNA expression profile of thyroid nodules in fine-needle aspiration cytology: A confirmatory series. J. Endocrinol. Investig. 2019, 42, 97–100. [Google Scholar] [CrossRef]
- Wei, Z.L.; Gao, A.B.; Wang, Q.; Lou, X.E.; Zhao, J.; Lu, Q.J. MicroRNA-221 promotes papillary thyroid carcinoma cell migration and invasion via targeting RECK and regulating epithelial–mesenchymal transition. OncoTargets Ther. 2019, 12, 2323–2333. [Google Scholar] [CrossRef]
- Napoli, F.; Rapa, I.; Mortara, U.; Massa, F.; Izzo, S.; Rigutto, A.; Zambelli, V.; Bellevicine, C.; Troncone, G.; Papotti, M.; et al. MicroRNA profiling predicts positive nodal status in papillary thyroid carcinoma in the preoperative setting. Cancer Cytopathol. 2022, 130, 695–704. [Google Scholar] [CrossRef]
- Park, J.-L.; Kim, S.-K.; Jeon, S.; Jung, C.-K.; Kim, Y.-S. MicroRNA Profile for Diagnostic and Prognostic Biomarkers in Thyroid Cancer. Cancers 2021, 13, 632. [Google Scholar] [CrossRef]
- Ruiz-Pozo, V.A.; Cadena-Ullauri, S.; Guevara-Ramírez, P.; Paz-Cruz, E.; Tamayo-Trujillo, R.; Zambrano, A.K. Differential microRNA expression for diagnosis and prognosis of papillary thyroid cancer. Rev. Front. Med. 2023, 10, 1139362. [Google Scholar] [CrossRef]
- Lu, Z.; Wu, Z.; Hu, J.; Wei, W.; Ma, B.; Wen, D. MicroRNA-15 regulates the proliferation, migration and invasion of thyroid cancer cells by targeting Bcl-2. JBUON 2019, 24, 2114–2119. [Google Scholar] [PubMed]
- Lebrun, L.; Salmon, I. Pathology and new insights in thyroid neoplasms in the 2022 WHO classification. Rev. Curr. Opin. Oncol. 2024, 36, 13–21. [Google Scholar] [CrossRef] [PubMed]
- Paschke, R.; Cantara, S.; Crescenzi, A.; Jarzab, B.; Musholt, T.J.; Sobrinho Simões, M. European Thyroid Association Guidelines regarding Thyroid Nodule Molecular Fine-Needle Aspiration Cytology Diagnostics. Eur. Thyroid J. 2017, 6, 115–129. [Google Scholar] [CrossRef] [PubMed]
- Cameselle-Teijeiro, J.M.; Sobrinho-Simões, M. New WHO classification of thyroid tumors: A pragmatic categorization of thyroid gland neoplasms. Endocrinol. Diabetes Nutr. 2018, 65, 133–135. [Google Scholar] [CrossRef] [PubMed]
- Wang, J.; Wu, L.; Jin, Y.; Li, S.; Liu, X. Identification of key miRNAs in papillary thyroid carcinoma based on data mining and bioinformatics methods. Biomed. Rep. 2020, 12, 11–16. [Google Scholar] [CrossRef]
- Zhang, Y.; Xu, D.; Pan, J.; Yang, Z.; Chen, M.; Han, J.; Qiao, H. Dynamic monitoring of circulating microRNAs as a predictive biomarker for the diagnosis and recurrence of papillary thyroid carcinoma. Oncol. Lett. 2017, 13, 4252–4266. [Google Scholar] [CrossRef]
- Livak, K.J.; Schmittgen, T.D. Analysis of Relative Gene Expression Data Using Real-Time Quantitative PCR and the 2-ΔΔCT Method. Methods 2001, 25, 402–408. [Google Scholar] [CrossRef]
- Melo, M.; Gaspar da Rocha, A.; Batista, R.; Vinagre, J.; Martins, M.J.; Costa, G.; Ribeiro, C.; Carrilho, F.; Leite, V.; Lobo, C.; et al. TERT, BRAF, and NRAS in Primary Thyroid Cancer and Metastatic Disease. J. Clin. Endocrinol. Metab. 2017, 102, 1898–1907. [Google Scholar] [CrossRef]
- Celano, M.; Rosignolo, F.; Maggisano, V.; Pecce, V.; Iannone, M.; Russo, D.; Bulotta, S. MicroRNAs as Biomarkers in Thyroid Carcinoma. Int. J. Genom. 2017, 2017, 6496570. [Google Scholar] [CrossRef]
- Macerola, E.; Poma, A.M.; Vignali, P.; Proietti, A.; Ugolini, C.; Torregrossa, L.; Basolo, A.; Elisei, R.; Santini, F.; Basolo, F. Predictive Biomarkers in Thyroid Cancer. Front. Oncol. 2022, 12, 901004. [Google Scholar] [CrossRef] [PubMed]
- Papaioannou, M.; Chorti, A.G.; Chatzikyriakidou, A.; Giannoulis, K.; Bakkar, S.; Papavramidis, T.S. MicroRNAs in Papillary Thyroid Cancer: What Is New in Diagnosis and Treatment. Rev. Front. Oncol. 2022, 11, 755097. [Google Scholar] [CrossRef] [PubMed]
- Baloch, Z.W.; Asa, S.L.; Barletta, J.A.; Ghossein, R.A.; Juhlin, C.C.; Jung, C.K.; LiVolsi, V.A.; Papotti, M.G.; Sobrinho-Simões, M.; Tallini, G.; et al. Overview of the 2022 WHO Classification of Thyroid Neoplasms. Rev. Endocr Pathol. 2022, 33, 27–63. [Google Scholar] [CrossRef] [PubMed]
- Pallante, P.; Visone, R.; Ferracin, M.; Ferraro, A.; Berlingieri, M.T.; Troncone, G.; Fusco, A. MicroRNA deregulation in human thyroid papillary carcinomas. Endocr. -Relat. Cancer 2006, 13, 497–508. [Google Scholar] [CrossRef] [PubMed]
- Panebianco, F.; Mazzanti, C.; Tomei, S.; Aretini, P.; Franceschi, S.; Lessi, F.; Di Coscio, G.; Bevilacqua, G.; Marchetti, I. The combination of four molecular markers improves thyroid cancer cytologic diagnosis and patient management. BMC Cancer 2015, 15, 918. [Google Scholar] [CrossRef]
- Sheikholeslami, S.; Shabani, N.; Shivaee, S.; Tavangar, S.M.; Yeganeh, M.; Hedayati, M. Overexpression of mir-129-1, miR-146b, mir-183, and mir-197 in follicular thyroid carcinoma and adenoma tissues. Mol. Cell Probes 2020, 51, 1–6. [Google Scholar] [CrossRef] [PubMed]
- Qiu, Z.; Li, H.; Wang, J.; Sun, C. miR-146a and miR-146b in the diagnosis and prognosis of papillary thyroid carcinoma. Oncol. Rep. 2017, 38, 2735–2740. [Google Scholar] [CrossRef]
- Pamedytyte, D.; Simanaviciene, V.; Dauksiene, D.; Leipute, E.; Zvirbliene, A.; Sarauskas, V.; Dauksa, A.; Verkauskiene, R.; Zilaitiene, B. Association of MicroRNA Expression and BRAFV600E Mutation with Recurrence of Thyroid Cancer. Biomolecules 2020, 10, 625. [Google Scholar] [CrossRef]
- Sistrunk, J.W.; Shifrin, A.; Frager, M.; Bardales, R.H.; Thomas, J.; Fishman, N.; Goldberg, P.; Guttler, R.; Grant, E. Clinical impact of testing for mutations and microRNAs in thyroid nodules. Diagn. Cytopathol. 2019, 47, 758–764. [Google Scholar] [CrossRef]
- Visone, R.; Russo, L.; Pallante, P.; De Martino, I.; Ferraro, A.; Fusco, A. MicroRNAs (miR)-221 and miR-222, both overexpressed in human thyroid papillary carcinomas, regulate p27Kip1 levels and cell cycle. Endocr. -Relat. Cancer 2007, 14, 791–798. [Google Scholar] [CrossRef]
- Liu, X.; Zhang, S.; Gang, Q.; Shen, S.; Zhang, J.; Lun, Y.; Xu, D.; Duan, Z.; Xin, S. Interstitial fibrosis in papillary thyroid microcarcinoma and its association with biological behavior. Oncol. Lett. 2018, 15, 4937–4943. [Google Scholar] [CrossRef] [PubMed]
- Bournaud, C.; Descotes, F.; Decaussin-Petrucci, M.; Berthiller, J.; de La Fouchardière, C.; Giraudet, A.L. TERT promoter mutations identify a high-risk group in metastasis-free advanced thyroid carcinoma. Eur. J. Cancer 2019, 108, 41–49. [Google Scholar] [CrossRef] [PubMed]
- Syed, M.; Gilani, M.D.; Rita Abi-Raad, M.D.; James Garritano, B.S.; Guoping Cai, M.D.; Manju, L.; Prasad, M.D.; Adebowale JAdeniran, M.D. RAS mutation and associated risk of malignancy in the thyroid gland: An FNA study with cytology-histology correlation. Cancer Cytopathol. 2022, 130, 284–293. [Google Scholar] [CrossRef]
- Matos, M.D.L.; Pinto, M.; Alves, M.; Canberk, S.; Gonçalves, A.; Bugalho, M.J.; Papoila, A.L.; Soares, P. Comparative CytoHistological Genetic Profile in a Series of Differentiated Thyroid Carcinomas. Diagnostics 2024, 14, 278. [Google Scholar] [CrossRef] [PubMed]
- Yang, S.I.; Choi, Y.S. Expressions of miRNAs in Papillary Thyroid Carcinoma and Their Associations with the BRAFV600EMutation and Clinicopathological Features. Kosin Med. J. 2020, 35, 1–14. [Google Scholar] [CrossRef]
- Sun, Y.; Yu, S.; Liu, Y.; Wang, F.; Liu, Y.; Xiao, H. Expression of miRNAs in Papillary Thyroid Carcinomas Is Associated with BRAF Mutation and Clinicopathological Features in Chinese Patients. Int. J. Endocrinol. 2013, 2013, 128735. [Google Scholar] [CrossRef] [PubMed]
- Cipriani, N.A.; Johnson, D.N.; Sarne, D.H.; Angelos, P.; Reeves, W.; Antic, T. The Significance of RAS-Like Mutations and MicroRNA Profiling in Predicting Malignancy in Thyroid Biopsy Specimens. Endocr. Pathol. 2022, 33, 446–456. [Google Scholar] [CrossRef]
- Banizs, A.B.; Silverman, J.F. The utility of combined mutation analysis and microRNA classification in reclassifying cancer risk of cytologically indeterminate thyroid nodules. Diagn. Cytopathol. 2019, 47, 268–274. [Google Scholar] [CrossRef]



| Cytology Diagnosis n = 106 | Histology Diagnosis n = 106 | ||||||
|---|---|---|---|---|---|---|---|
| Benign | WDT-UMP | NIFT | PTC | FTC | HCC | Total | |
| 1. ND | 0 (0%) | 0 (0%) | 1 (0.9%) | 2 (1.9%) | 0 (0%) | 0 (0%) | 3 (2.8%) |
| 2. Benign | 12 (11.3%) | 0 (0%) | 2 (1.9%) | 7 (6.6%) | 1 (0.9%) | 1(0.9%) | 23 (21.7%) |
| 3. AUS | 00 (0%) | 0 (0%) | 0 (0%) | 23 (21.7%) | 0 (0%) | 0 (0%) | 23 (21.7%) |
| 4. FN | 01 (0.9%) | 2 (1.9%) | 1 (0.9%) | 23 (21.7%) | 1 (0.9%) | 1 (0.9%) | 29 (27.4%) |
| 5. SM | 00 (0%) | 0 (0%) | 0 (0%) | 12 (11.3%) | 2 (1.9%) | 0 (0%) | 14 (13.2%) |
| 6. Malignant | 00 (0%) | 0 (0%) | 0 (0%) | 14 (13.2%) | 0 (0%) | 0 (0%) | 14 (13.2%) |
| Total | 13 (12.3%) | 2 (1.9%) | 4 (3.8%) | 81 (76.4%) | 4 (3.8%) | 2 (1.9%) | 106 (100%) |
| miRNAs in Cytology | Frequencies of miRNAs Expression by Histology Diagnosis | ||||
|---|---|---|---|---|---|
| Final Diagnosis | Median * | Under Maximum value * n = (%) | Over Maximum Value * n = (%) | Total n = (%) | |
| miRNA146 | ≤4.394 | >4.394 | 96 (100) | ||
| Benign | 0.308 | 11 (100) | - | 11 (11.5) | |
| Malignant | 0.489 | 55 (64.7) | 30 (35.3) | 85 (88.5) | |
| miRNA221 | ≤5.242 | >5.242 | 97 (100) | ||
| Benign | 0.535 | 11 (100) | - | 11 (11.3) | |
| Malignant | 0.172 | 70 (81.4) | 16 (18.6) | 86 (88.7) | |
| miRNA222 | ≤6.358 | >6.358 | 97 (100) | ||
| Benign | 0.914 | 11 (100) | - | 11 (11.3) | |
| Malignant | 1.46 | 56 (65.1) | 30 (34.9) | 86 (88.7) | |
| miRNA15a | ≤7.39 | >7.39 | 98 (100) | ||
| Benign | 1.053 | 11 (100) | - | 11 (11.2) | |
| Malignant | 0.686 | 77 (88.5) | 10 (11.5) | 87 (88.8) | |
| miRNAs in Histology | Histology Diagnosis | |||||
|---|---|---|---|---|---|---|
| n | Final Diagnosis | Median * | P25–P75 * | Min–Max Value * | p-Value | |
| miRNA146 | 60 | 0.002 | ||||
| 8 | Benign | 0.66 | 0.392–2.455 | 0.322–5.341 | ||
| 52 | Malignant | 44.529 | 3.215–907.373 | 0.016–27,755 | ||
| miRNA221 | 76 | 0.008 | ||||
| 10 | Benign | 1.312 | 0.781–1.798 | 0.192–4.395 | ||
| 66 | Malignant | 4.297 | 1.475–9.695 | 0.012–63.304 | ||
| miRNA222 | 78 | 0.017 | ||||
| 10 | Benign | 1.067 | 0.645–2.544 | 0.328–4.347 | ||
| 68 | Malignant | 3.409 | 1.075–13.027 | 0.114–3006.772 | ||
| miRNA15a | 77 | 0.002 | ||||
| 10 | Benign | 0.683 | 0.510–1.619 | 0.282–2.513 | ||
| 67 | Malignant | 2.111 | 1.204–37.237 | 0.230–99.640 | ||
| miRNAs in Histology | ||||||||
|---|---|---|---|---|---|---|---|---|
| Genetic Mutations in Histology | miRNA-146 | miRNA-221 | miRNA-222 | miRNA15a | ||||
| n | Median * | n | Median * | n | Median * | n | Median * | |
| TERTp | 54 | 67 | 69 | 68 | ||||
| Absent | 48 | 29.856 | 59 | 2.99 | 61 | 3.076 | 60 | 1.981 |
| Present | 6 | 60.203 | 8 | 6.31 | 8 | 3.958 | 8 | 37.494 |
| p-value | 0.563 | 0.451 | 0.708 | 0.033 | ||||
| BRAF | 54 | 67 | 69 | 68 | ||||
| Absent | 39 | 9.9 | 49 | 1.82 | 50 | 1.548 | 50 | 2.087 |
| Present | 15 | 133.574 | 18 | 8.625 | 19 | 14.006 | 18 | 2.257 |
| p-value | 0.02 | 0.001 | <0.001 | 0.792 | ||||
| RAS | 54 | 67 | 69 | 68 | ||||
| Absent | 41 | 26.511 | 53 | 2.464 | 55 | 2.325 | 54 | 1.713 |
| Present | 13 | 716.144 | 14 | 10.9 | 14 | 5.284 | 14 | 24.767 |
| p-value | 0.016 | 0.01 | 0.144 | 0.026 | ||||
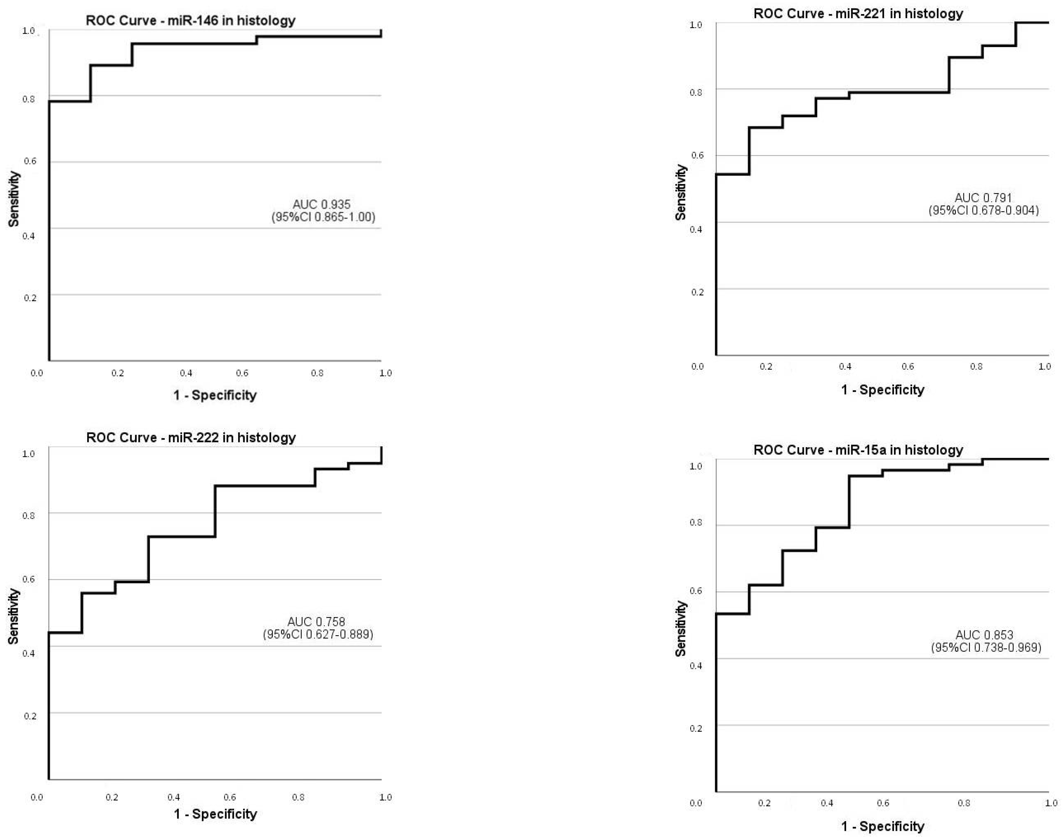
| miRNAs in Histology | Papillary Thyroid Carcinomas | |||||
|---|---|---|---|---|---|---|
| (n) | Cutoff | AUC (95% CI) | Se % (95% CI) | Sp % (95% CI) | PPV % (95% CI) | NPV % (95% CI) |
| miRNA-146b | 3. 070 | 93.5 (86.5–100) | 89.1 (76.4–96.3) | 87.5 (84–99.2) | 97.6 (84–99.2) | 58.3 (35.6–98.4) |
| miRNA-221 | 1.762 | 79.1 (67.8–90.4) | 71.9 (58.5–83) | 80 (44.4–97.5) | 95.3 (80.4–97.5) | 33.3 (21.5–82.9) |
| miRNA-222 | 1.392 | 75.8 (62.7–88.9 | 72.9 (59.7–83.6) | 70 (34.8–93.3) | 93.5 (76.6–96.5) | 30.4 (19.5–72.4) |
| miRNA-15a | 1.537 | 85.3 (73.8–96.9) | 72.4 (59.1–83.3) | 80 (44.4–97.5) | 95.5 (80.7–97.6) | 33.3 (21.6–82.9) |
Disclaimer/Publisher’s Note: The statements, opinions and data contained in all publications are solely those of the individual author(s) and contributor(s) and not of MDPI and/or the editor(s). MDPI and/or the editor(s) disclaim responsibility for any injury to people or property resulting from any ideas, methods, instructions or products referred to in the content. |
© 2024 by the authors. Licensee MDPI, Basel, Switzerland. This article is an open access article distributed under the terms and conditions of the Creative Commons Attribution (CC BY) license (https://creativecommons.org/licenses/by/4.0/).
Share and Cite
Matos, M.d.L.; Pinto, M.; Alves, M.; Canberk, S.; Gonçalves, A.; Bugalho, M.J.; Papoila, A.L.; Soares, P. Cyto-Histological Profile of MicroRNAs as Diagnostic Biomarkers in Differentiated Thyroid Carcinomas. Genes 2024, 15, 389. https://doi.org/10.3390/genes15030389
Matos MdL, Pinto M, Alves M, Canberk S, Gonçalves A, Bugalho MJ, Papoila AL, Soares P. Cyto-Histological Profile of MicroRNAs as Diagnostic Biomarkers in Differentiated Thyroid Carcinomas. Genes. 2024; 15(3):389. https://doi.org/10.3390/genes15030389
Chicago/Turabian StyleMatos, Maria de Lurdes, Mafalda Pinto, Marta Alves, Sule Canberk, Ana Gonçalves, Maria João Bugalho, Ana Luísa Papoila, and Paula Soares. 2024. "Cyto-Histological Profile of MicroRNAs as Diagnostic Biomarkers in Differentiated Thyroid Carcinomas" Genes 15, no. 3: 389. https://doi.org/10.3390/genes15030389
APA StyleMatos, M. d. L., Pinto, M., Alves, M., Canberk, S., Gonçalves, A., Bugalho, M. J., Papoila, A. L., & Soares, P. (2024). Cyto-Histological Profile of MicroRNAs as Diagnostic Biomarkers in Differentiated Thyroid Carcinomas. Genes, 15(3), 389. https://doi.org/10.3390/genes15030389

