The Spherical Evolutionary Multi-Objective (SEMO) Algorithm for Identifying Disease Multi-Locus SNP Interactions
Abstract
:1. Introduction
2. Materials and Methods
2.1. Problem Definition
2.2. Spherical Evolution Search Style
2.3. Initialization
2.4. Mutation Strategy
2.5. Historical Memory
2.5.1. Individual Preservation Strategy for Historical Memory
2.5.2. Parameter Self-Adaptive Strategy for Historical Memory
2.6. K2-Score
2.7. Likelihood Ratio (LR-Score)
2.8. Multi-Objective Fitness Function
3. Results and Discussion
3.1. Assessment Metrics
3.2. Experimental on Simulated Data
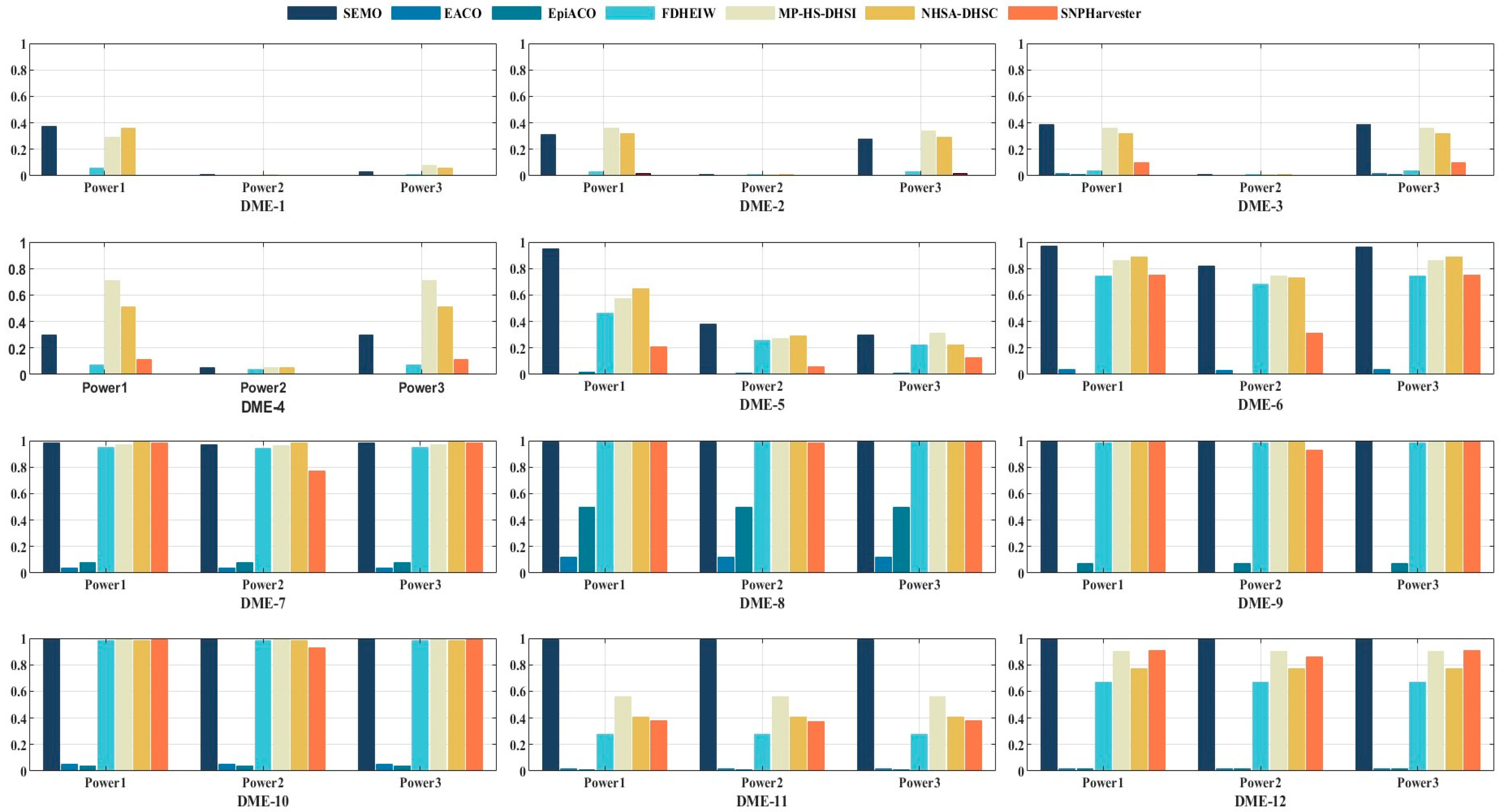
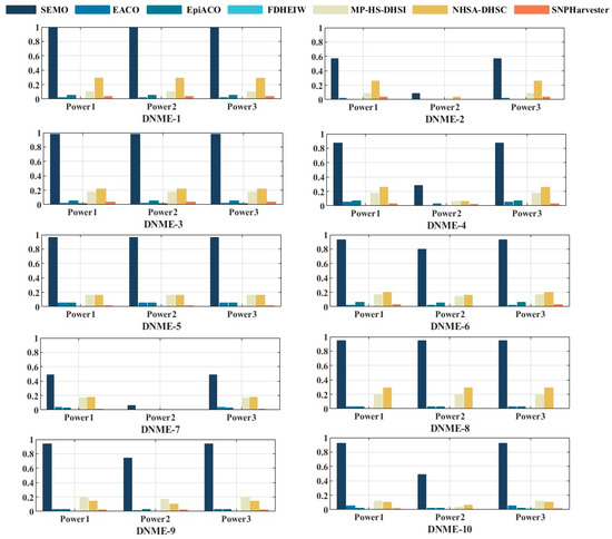
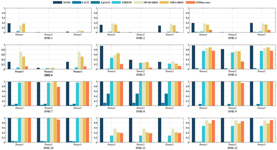
3.2.1. Disease Models without Marginal Effects (DNME)
3.2.2. Disease Models without Marginal Effects (DME)
3.2.3. Analysis of Performance Indicators for Simulation Experiments
3.3. Experiment on Real BC Data
4. Conclusions
Supplementary Materials
Author Contributions
Funding
Institutional Review Board Statement
Informed Consent Statement
Data Availability Statement
Conflicts of Interest
References
- Shang, J.; Cai, X.; Zhang, T.; Sun, Y.; Zhang, Y.; Liu, J.; Guan, B. EpiReSIM: A Resampling Method of Epistatic Model without Marginal Effects Using Under-Determined System of Equations. Genes 2022, 13, 2286. [Google Scholar] [CrossRef]
- Bateson, W.; Mendel, G. Mendel’s Principles of Heredity: A Defence, with a Translation of Mendel’s Original Papers on Hybridisation; Cambridge University Press: Cambridge, UK, 2009. [Google Scholar]
- Uppu, S.; Krishna, A.; Gopalan, R.P. A Review on Methods for Detecting SNP Interactions in High-Dimensional Genomic Data. IEEE/ACM Trans. Comput. Biol. Bioinform. 2018, 15, 599–612. [Google Scholar] [CrossRef]
- Wang, H.; Wu, X. IPP: An Intelligent Privacy-Preserving Scheme for Detecting Interactions in Genome Association Studies. IEEE/ACM Trans. Comput. Biol. Bioinform. 2023, 20, 455–464. [Google Scholar] [CrossRef]
- Guan, B.; Zhao, Y. Self-Adjusting Ant Colony Optimization Based on Information Entropy for Detecting Epistatic Interactions. Genes 2019, 10, 114. [Google Scholar] [CrossRef]
- Becker, T.; Schumacher, J.; Cichon, S.; Baur, M.P.; Knapp, M. Haplotype interaction analysis of unlinked regions. Genet. Epidemiol. 2005, 29, 313–322. [Google Scholar] [CrossRef]
- Milne, R.L.; Herranz, J.; Michailidou, K. A large-scale assessment of two-way SNP interactions in breast cancer susceptibility using 46,450 cases and 42,461 controls from the breast cancer association consortium. Hum. Mol. Genet. 2014, 23, 1934–1946. [Google Scholar] [CrossRef]
- Zubenko, G.S.; Hughes, H.B., 3rd; Zubenko, W.N. D10S1423 identifies a susceptibility locus for Alzheimer’s disease (AD7) in a prospective, longitudinal, double-blind study of asymptomatic individuals: Results at 14 years. Am. J. Med. Genet. Part B Neuropsychiatr. Genet. Off. Publ. Int. Soc. Psychiatr. Genet. 2010, 153B, 359–364. [Google Scholar] [CrossRef]
- Cordell, H.J. Epistasis: What it means, what it doesn’t mean, and statistical methods to detect it in humans. Hum. Mol. Genet. 2002, 11, 2463–2468. [Google Scholar] [CrossRef]
- Yang, C.; He, Z.; Wan, X.; Yang, Q.; Xue, H.; Yu, W. SNPHarvester: A filtering-based approach for detecting epistatic interactions in genome-wide association studies. Bioinformatics 2009, 25, 504–511. [Google Scholar] [CrossRef]
- Shang, J.; Zhang, J.; Lei, X.; Zhang, Y.; Chen, B. Incorporating heuristic information into ant colony optimization for epistasis detection. Genes Genom. 2012, 34, 321–327. [Google Scholar] [CrossRef]
- Ritchie, M.D.; Hahn, L.W.; Roodi, N.; Bailey, L.R.; Dupont, W.D.; Parl, F.F.; Moore, J.H. Multifactor-dimensionality reduction reveals high-order interactions among estrogen-metabolism genes in sporadic breast cancer. Am. J. Hum. Genet. 2001, 69, 138–147. [Google Scholar] [CrossRef] [PubMed]
- Yang, C.H.; Lin, Y.D.; Chuang, L.Y. Class Balanced Multifactor Dimensionality Reduction to Detect Gene-Gene Interactions. IEEE/ACM Trans. Comput. Biol. Bioinform. 2020, 17, 71–81. [Google Scholar] [CrossRef] [PubMed]
- Ponte-Fernandez, C.; Gonzalez-Dominguez, J.; Carvajal-Rodriguez, A.; Martin, M.J. Evaluation of Existing Methods for High-Order Epistasis Detection. IEEE/ACM Trans. Comput. Biol. Bioinform. 2022, 19, 912–926. [Google Scholar] [CrossRef] [PubMed]
- Tuo, S. FDHE-IW: A Fast Approach for Detecting High-Order Epistasis in Genome-Wide Case-Control Studies. Genes 2018, 9, 435. [Google Scholar] [CrossRef]
- Wang, X.; Cao, X.; Feng, Y.; Guo, M.; Yu, G.; Wang, J. ELSSI: Parallel SNP-SNP interactions detection by ensemble multi-type detectors. Brief. Bioinform. 2022, 23, bbac213. [Google Scholar] [CrossRef] [PubMed]
- Sun, Y.; Shang, J.; Liu, J.X.; Li, S.; Zheng, C.H. epiACO—A method for identifying epistasis based on ant Colony optimization algorithm. BioData Min. 2017, 10, 23. [Google Scholar] [CrossRef] [PubMed]
- Tuo, S.; Zhang, J.; Yuan, X.; He, Z.; Liu, Y.; Liu, Z. Niche harmony search algorithm for detecting complex disease associated high-order SNP combinations. Sci. Rep. 2017, 7, 11529. [Google Scholar] [CrossRef]
- Sun, Y.; Wang, X.; Shang, J.; Liu, J.X.; Zheng, C.H.; Lei, X. Introducing Heuristic Information Into Ant Colony Optimization Algorithm for Identifying Epistasis. IEEE/ACM Trans. Comput. Biol. Bioinform. 2020, 17, 1253–1261. [Google Scholar] [CrossRef]
- Tuo, S.; Liu, H.; Chen, H. Multipopulation harmony search algorithm for the detection of high-order SNP interactions. Bioinformatics 2020, 36, 4389–4398. [Google Scholar] [CrossRef]
- Cooper, G.F.; Herskovits, E. A Bayesian method for the induction of probabilistic networks from data. Mach. Learn. 1992, 9, 309–347. [Google Scholar] [CrossRef]
- Agresti, A. Introduction: Distributions and Inference for Categorical Data. In Categorial Data Analysis; Wiley Series in Probability and Statistics; John Wiley & Sons: Hoboken, NJ, USA, 2002; pp. 1–35. [Google Scholar]
- Tang, D. Spherical evolution for solving continuous optimization problems. Appl. Soft Comput. 2019, 81, 105499. [Google Scholar] [CrossRef]
- Bush, W.S.; Edwards, T.L.; Dudek, S.M.; McKinney, B.A.; Ritchie, M.D. Alternative contingency table measures improve the power and detection of multifactor dimensionality reduction. BMC Bioinform. 2008, 9, 238. [Google Scholar] [CrossRef] [PubMed]
- Zhang, Q.; Li, H. MOEA/D: A Multiobjective Evolutionary Algorithm Based on Decomposition. IEEE Trans. Evol. Comput. 2007, 11, 712–731. [Google Scholar] [CrossRef]
- Abo Alchamlat, S.; Farnir, F. KNN-MDR: A learning approach for improving interactions mapping performances in genome wide association studies. BMC Bioinform. 2017, 18, 184. [Google Scholar] [CrossRef]
- Urbanowicz, R.J.; Kiralis, J.; Sinnott-Armstrong, N.A.; Heberling, T.; Fisher, J.M.; Moore, J.H. GAMETES: A fast, direct algorithm for generating pure, strict, epistatic models with random architectures. BioData Min. 2012, 5, 16. [Google Scholar] [CrossRef]
- Cordell, H.J. Detecting gene-gene interactions that underlie human diseases. Nat. Rev. Genet. 2009, 10, 392–404. [Google Scholar] [CrossRef]
- Culverhouse, R.; Suarez, B.K.; Lin, J.; Reich, T. A perspective on epistasis: Limits of models displaying no main effect. Am. J. Hum. Genet. 2002, 70, 461–471. [Google Scholar] [CrossRef]
- Burton, P.R.; Clayton, D.G.; Cardon, L.R.; Craddock, N.; Deloukas, P. Association scan of 14,500 nonsynonymous SNPs in four diseases identifies autoimmunity variants. Nat. Genet. 2007, 39, 1329–1337. [Google Scholar]
- Niu, M.; He, Y.; Xu, J.; Ding, L.; He, T.; Yi, Y.; Fu, M.; Guo, R.; Li, F.; Chen, H.; et al. Noncanonical TGF-β signaling leads to FBXO3-mediated degradation of ΔNp63α promoting breast cancer metastasis and poor clinical prognosis. PLoS Biol. 2021, 19, e3001113. [Google Scholar] [CrossRef]
- Katsyv, I.; Wang, M.; Song, W.M.; Zhou, X.; Zhao, Y.; Park, S.; Zhu, J.; Zhang, B.; Irie, H.Y. EPRS is a critical regulator of cell proliferation and estrogen signaling in ER+ breast cancer. Oncotarget 2016, 7, 69592–69605. [Google Scholar] [CrossRef]
- Wang, J.; Wang, L.; Xia, B.; Yang, C.; Lai, H.; Chen, X. BSP gene silencing inhibits migration, invasion, and bone metastasis of MDA-MB-231BO human breast cancer cells. PLoS ONE 2013, 8, e62936. [Google Scholar] [CrossRef] [PubMed]
- Shi, W.; Chen, Z.; Liu, H.; Miao, C.; Feng, R.; Wang, G.; Chen, G.; Chen, Z.; Fan, P.; Pang, W.; et al. COL11A1 as an novel biomarker for breast cancer with machine learning and immunohistochemistry validation. Front. Immunol. 2022, 13, 937125. [Google Scholar] [CrossRef] [PubMed]





| Model | Algorithm | TPR | PPV | ACC | FDR | F1 | |||||
|---|---|---|---|---|---|---|---|---|---|---|---|
| E-mean | E-sd | E-mean | E-sd | E-mean | E-sd | E-mean | E-sd | E-mean | E-sd | ||
| DME 1–12 | SEMO | 0.64 | 0.43 | 0.97 | 0.8 | 0.83 | 0.19 | 0.3 | 0.8 | 0.66 | 0.41 |
| EACO | 0.48 | 0.48 | 0.17 | 0.28 | 0.81 | 0.27 | 0.83 | 0.28 | 0.21 | 0.29 | |
| EpiACO | 0.54 | 0.48 | 0.28 | 0.36 | 0.88 | 0.17 | 0.72 | 0.36 | 30.1 | 0.32 | |
| FDHEIW | 0.73 | 0.34 | 0.71 | 0.38 | 0.94 | 0.6 | 0.28 | 0.38 | 0.71 | 0.36 | |
| MP-HS-DHSI | 0.63 | 0.43 | 0.79 | 0.32 | 0.81 | 0.21 | 0.21 | 0.32 | 0.65 | 0.42 | |
| NHSA-DHSC | 0.63 | 0.42 | 0.83 | 0.33 | 0.83 | 0.17 | 0.17 | 0.33 | 0.67 | 0.40 | |
| SNPHarvester | 0.52 | 0.43 | 0.67 | 0.47 | 0.89 | 0.12 | 0.33 | 0.47 | 0.57 | 0.43 | |
| DNME 1–10 | SEMO | 0.68 | 0.34 | 1.00 | 0.5 | 0.77 | 0.22 | 0.4 | 0.5 | 0.75 | 0.30 |
| EACO | 0.57 | 0.45 | 0.70 | 0.46 | 0.98 | 0.02 | 0.30 | 0.46 | 0.61 | 0.43 | |
| EpiACO | 0.73 | 0.40 | 0.78 | 0.39 | 0.99 | 0.01 | 0.22 | 0.39 | 0.74 | 0.39 | |
| FDHEIW | 0.10 | 0.30 | 0.03 | 0.10 | 0.98 | 0.01 | 0.97 | 0.10 | 0.05 | 0.15 | |
| MP-HS-DHSI | 0.64 | 0.39 | 0.77 | 0.27 | 0.93 | 0.05 | 0.27 | 0.27 | 0.65 | 0.34 | |
| NHSA-DHSC | 0.65 | 0.37 | 0.84 | 0.29 | 0.92 | 0.08 | 0.16 | 0.29 | 0.69 | 0.34 | |
| SNPHarvester | 0.47 | 0.48 | 0.50 | 0.50 | 0.99 | 0.01 | 0.50 | 0.50 | 0.48 | 0.48 | |
| SNPs Interactions | Chromosome | Related Genes | p-Value |
|---|---|---|---|
| (rs13376679, rs2242637) | (1, 1) | (STIL, ARTN) | <1 × 10−100 |
| (rs1402954, rs2230301) | (11, 1) | (FBXO3, EPRS1) | <1 × 10−100 |
| (rs1321, rs2276724) | (2, 3) | (ALG12, ALDH1L1) | <1 × 10−100 |
| (rs13376679, rs661174) | (1, 18) | (STIL, N/A) | <1 × 10−100 |
| (rs13376679, rs7163, rs13144371) | (1, 1, 4) | (STIL, EBNA1BP2, IBSP) | <1 × 10−100 |
| (rs1321, rs4715630, rs11164663) | (22, 6, 1) | (ALG12, DST, COL11A1) | <1 × 10−100 |
| (rs1321, rs11978101, rs13376679) | (22, 6, 1) | (ALG12, SDK1, STIL) | <1 × 10−100 |
| (rs13376679, rs2290501, rs7038903) | (1, 1, 9) | (STIL, HSPG2, SVEP1) | <1 × 10−100 |
| (rs13376679, rs1321, rs1402954) | (1, 22, 11) | (STIL, ALG12, FBXO3) | <1 × 10−100 |
| (rs13376679, rs2304305, rs2021349) | (1, 1, 20) | (STIL, ACOT11, N/A) | <1 × 10−100 |
Disclaimer/Publisher’s Note: The statements, opinions and data contained in all publications are solely those of the individual author(s) and contributor(s) and not of MDPI and/or the editor(s). MDPI and/or the editor(s) disclaim responsibility for any injury to people or property resulting from any ideas, methods, instructions or products referred to in the content. |
© 2023 by the authors. Licensee MDPI, Basel, Switzerland. This article is an open access article distributed under the terms and conditions of the Creative Commons Attribution (CC BY) license (https://creativecommons.org/licenses/by/4.0/).
Share and Cite
Ren, F.; Li, S.; Wen, Z.; Liu, Y.; Tang, D. The Spherical Evolutionary Multi-Objective (SEMO) Algorithm for Identifying Disease Multi-Locus SNP Interactions. Genes 2024, 15, 11. https://doi.org/10.3390/genes15010011
Ren F, Li S, Wen Z, Liu Y, Tang D. The Spherical Evolutionary Multi-Objective (SEMO) Algorithm for Identifying Disease Multi-Locus SNP Interactions. Genes. 2024; 15(1):11. https://doi.org/10.3390/genes15010011
Chicago/Turabian StyleRen, Fuxiang, Shiyin Li, Zihao Wen, Yidi Liu, and Deyu Tang. 2024. "The Spherical Evolutionary Multi-Objective (SEMO) Algorithm for Identifying Disease Multi-Locus SNP Interactions" Genes 15, no. 1: 11. https://doi.org/10.3390/genes15010011
APA StyleRen, F., Li, S., Wen, Z., Liu, Y., & Tang, D. (2024). The Spherical Evolutionary Multi-Objective (SEMO) Algorithm for Identifying Disease Multi-Locus SNP Interactions. Genes, 15(1), 11. https://doi.org/10.3390/genes15010011

