Structural and Functional Shifts in the Microbial Community of a Heavy Metal-Contaminated Soil Exposed to Short-Term Changes in Air Temperature, Soil Moisture and UV Radiation
Abstract
1. Introduction
2. Materials and Methods
2.1. Heavy Metal-Contaminated Test Soil
2.2. Soil Invertebrate Species
2.3. Climate Scenarios Simulated
2.3.1. Air Temperature
2.3.2. Soil Moisture Content
2.3.3. UV Radiation
2.4. Soil Incubations
2.5. Physicochemical Soil Analysis
2.6. Microbiological Soil Analysis
2.6.1. Physiological Profiling at the Community Level
2.6.2. DNA Extraction and Quantitative PCR
2.6.3. Illumina High-Throughput Sequencing
2.6.4. Inference of Bacterial Community Function from 16S rRNA Gene Sequencing Data
2.7. Statistical Analysis
3. Results
3.1. Changes in Physicochemical Soil Characteristics
3.2. Changes in Soil Community-Level Physiological Profiles
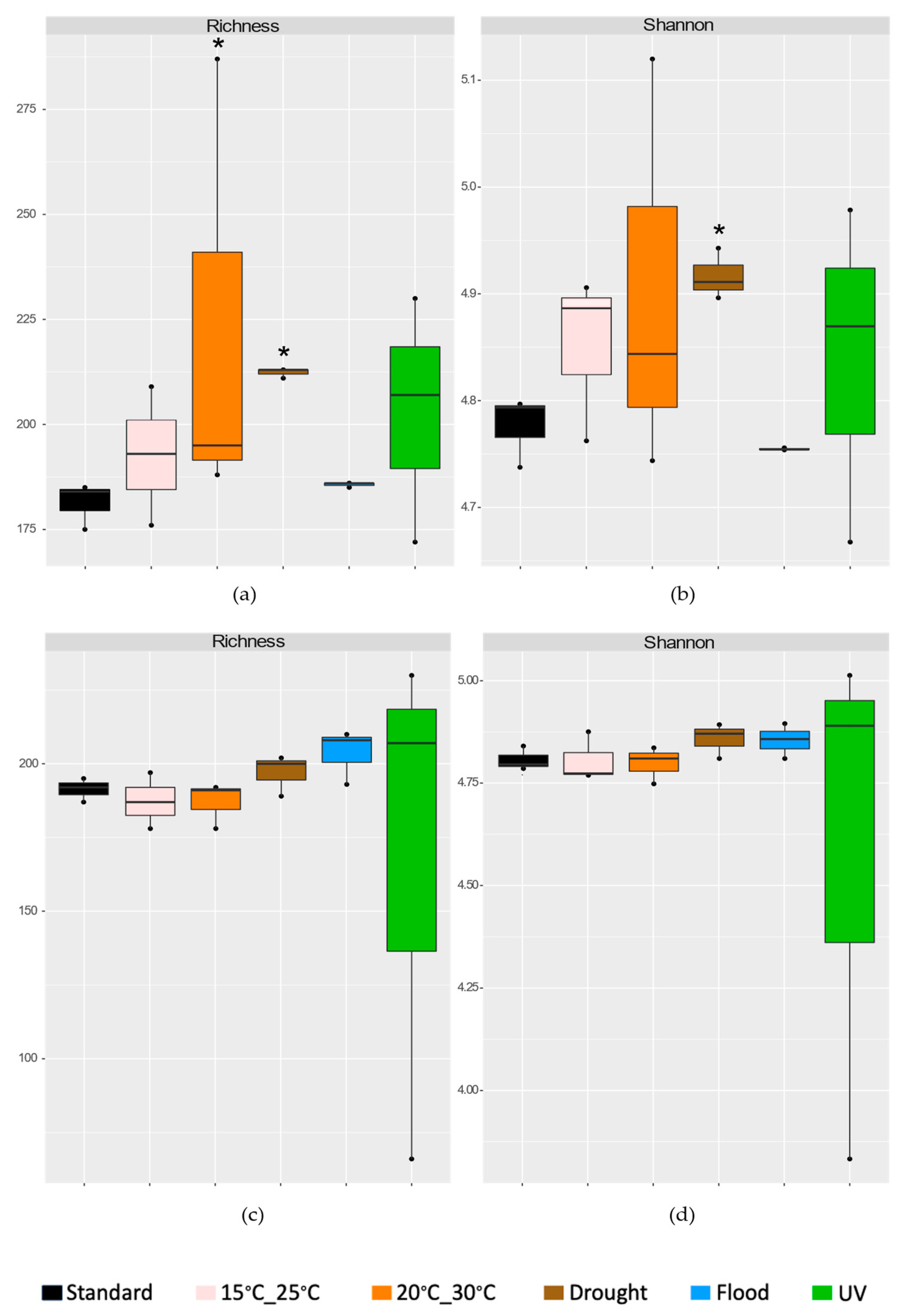
3.3. Changes in Soil Bacterial Abundance, Diversity, and Community Structure
3.4. Predicted Functional Pathways Alterations
3.5. Relative Contribution of Physicochemical Soil Characteristics to Bacterial Community Structure
4. Discussion
5. Conclusions
Supplementary Materials
Author Contributions
Funding
Institutional Review Board Statement
Informed Consent Statement
Data Availability Statement
Conflicts of Interest
References
- FAO; UNEP. Global Assessment of Soil Pollution: Report; FAO: Rome, Italy, 2021. [Google Scholar] [CrossRef]
- Pérez, A.P.; Eugenio, N.R. Status of Local Soil Contamination in Europe; Publications Office of the European Union: Luxembourg, 2018; ISBN 978-92-79-80072-6. [Google Scholar] [CrossRef]
- Fajardo, C.; Costa, G.; Nande, M.; Botías, P.; García-Cantalejo, J.; Martín, M. Pb, Cd, and Zn soil contamination: Monitoring functional and structural impacts on the microbiome. Appl. Soil Ecol. 2019, 135, 56–64. [Google Scholar] [CrossRef]
- Pan, X.; Zhang, S.; Zhong, Q.; Gong, G.; Wang, G.; Guo, X.; Xu, X. Effects of soil chemical properties and fractions of Pb, Cd, and Zn on bacterial and fungal communities. Sci. Total Environ. 2020, 715, 136904. [Google Scholar] [CrossRef] [PubMed]
- Holmstrup, M.; Bindesbøl, A.M.; Oostingh, G.J.; Duschl, A.; Scheil, V.; Köhler, H.R.; Loureiro, S.; Soares, A.M.V.M.; Ferreira, A.L.G.; Kienle, C.; et al. Interactions between effects of environmental chemicals and natural stressors: A review. Sci. Total Environ. 2010, 408, 3746–3762. [Google Scholar] [CrossRef] [PubMed]
- Rengel, Z. Soil pH, soil health and climate change. In Soil Health and Climate Change; Singh, B., Cowie, A., Chan, K., Eds.; Springer: Berlin/Heidelberg, Germany, 2011; Volume 29, pp. 69–85. [Google Scholar] [CrossRef]
- González-Alcaraz, M.N.; van Gestel, C.A.M. Climate change effects on enchytraeid performance in metal-polluted soils explained from changes in metal bioavailability and bioaccumulation. Environ. Res. 2015, 142, 177–184. [Google Scholar] [CrossRef] [PubMed]
- González-Alcaraz, M.N.; van Gestel, C.A.M. Toxicity of a metal (loid)-polluted agricultural soil to Enchytraeus crypticus changes under a global warming perspective: Variations in air temperature and soil moisture content. Sci. Total Environ. 2016, 573, 203–211. [Google Scholar] [CrossRef]
- IPCC. Global Warming of 1.5 °C. In An IPCC Special Report on the Impacts of Global Warming of 1.5 °C Above Pre-Industrial Levels and Related Global Greenhouse Gas Emission Pathways, in the Context of Strengthening the Global Response to the Threat of Climate Change, Sustainable Development, and Efforts to Eradicate Poverty; Masson-Delmotte, V., Zhai, P., Pörtner, H.-O., Roberts, D., Skea, J., Shukla, P.R., Pirani, A., Moufouma-Okia, W., Péan, C., Pidcock, R., et al., Eds.; The Intergovernmental Panel on Climate Change: Geneva, Switzerland, 2018. [Google Scholar]
- IPCC. Climate Change 2021: The Physical Science Basis. In Contribution of Working Group I to the Sixth Assessment Report of the Intergovernmental Panel on Climate Change; Masson-Delmotte, V., Zhai, P., Pirani, A., Connors, S.L., Péan, C., Berger, S., Caud, N., Chen, Y., Goldfarb, L., Gomis, M.I., et al., Eds.; Cambridge University Press: Cambridge, UK; New York, NY, USA, 2021. [Google Scholar]
- Ostle, N.J.; Levy, P.E.; Evans, C.D.; Smith, P. UK land use and soil carbon sequestration. Land Use Policy 2009, 26, S274–S283. [Google Scholar] [CrossRef]
- Mills, R.T.E.; Gavazov, K.S.; Spiegelberger, T.; Johnson, D.; Buttler, A. Diminished soil functions occur under simulated climate change in a sup-alpine pasture, but heterotrophic temperature sensitivity indicates microbial resilience. Sci. Total Environ. 2014, 473–474, 465–472. [Google Scholar] [CrossRef] [PubMed]
- Xiong, X.; Grunwald, S.; Myers, D.B.; Ross, C.W.; Harris, W.G.; Comerford, N.B. Interaction effects of climate and land use/land cover change on soil organic carbon sequestration. Sci. Total Environ. 2014, 493, 974–982. [Google Scholar] [CrossRef] [PubMed]
- Durán, J.; Morse, J.L.; Rodríguez, A.; Campbell, J.L.; Christenson, L.M.; Driscoll, C.T.; Fahey, T.J.; Fisk, M.C.; Mitchell, M.J.; Templer, P.H.; et al. Differential sensitivity to climate change of C and N cycling processes across soil horizons in a northern hardwood forest. Soil Biol. Biochem. 2017, 107, 77–84. [Google Scholar] [CrossRef]
- Alamgir, M. The Effects of Soil Properties to the Extent of Soil Contamination with Metals. In Environmental Remediation Technologies for Metal-Contaminated Soils; Hasegawa, H., Rahman, I., Rahman, M., Eds.; Springer: Tokyo, Japan, 2016. [Google Scholar] [CrossRef]
- European Commission. Communication from the Commission to the European Parliament, the Council, the European Economic and Social Committee and the Committee of the Regions, EU Soil Strategy for 2030—Reaping the Benefits of Healthy Soils for People, Food, Nature and Climate. 2021. Available online: https://eur-lex.europa.eu/legal-content/EN/TXT/?uri=CELEX%3A52021DC0699 (accessed on 1 July 2019).
- Fierer, N. Embracing the unknown: Disentangling the complexities of the soil microbiome. Nat. Rev. Microbiol. 2017, 15, 579–590. [Google Scholar] [CrossRef]
- Ahemad, M. Remediation of metalliferous soils through the heavy metal resistant plant growth promoting bacteria: Paradigms and prospects. Arab. J. Chem. 2019, 12, 1365–1377. [Google Scholar] [CrossRef]
- Hou, D.; O’Connor, D.; Igalavithana, A.D.; Alessi, D.S.; Luo, J.; Tsang, D.C.; Sparks, D.L.; Yamauchi, Y.; Rinklebe, J.; Ok, Y.S. Metal contamination and bioremediation of agricultural soils for food safety and sustainability. Nat. Rev. Earth Environ. 2020, 1, 366–381. [Google Scholar] [CrossRef]
- Gadd, G.M. Microbial influence on metal mobility and application for bioremediation. Geoderma 2024, 122, 109–119. [Google Scholar] [CrossRef]
- Diels, L.; De Smet, M.; Hooyberghs, L.; Corbisier, P. Heavy metals bioremediation of soil. Mol. Biotechnol. 1999, 12, 149–158. [Google Scholar] [CrossRef]
- Xu, X.; Zhang, Z.; Hu, S.; Ruan, Z.; Jiang, J.; Chen, C.; Shen, Z. Response of soil bacterial communities to lead and zinc pollution revealed by Illumina MiSeq sequencing investigation. Environ. Sci. Pollut. Res. 2017, 24, 666–675. [Google Scholar] [CrossRef] [PubMed]
- Jacquiod, S.; Cyriaque, V.; Riber, L.; Al-Soud, W.A.; Gillan, D.C.; Wattiez, R.; Sørensen, S.J. Long-term industrial metal contamination unexpectedly shaped diversity and activity response of sediment microbiome. J. Hazard. Mater. 2018, 344, 299–307. [Google Scholar] [CrossRef] [PubMed]
- Zhao, X.; Huang, J.; Lu, J.; Sun, Y. Study on the influence of soil microbial community on the long-term heavy metal pollution of different land use types and depth layers in mine. Ecotoxicol. Environ. Saf. 2019, 170, 218–226. [Google Scholar] [CrossRef] [PubMed]
- Peixoto, S.; Henriques, I.; Loureiro, S. Long-term effects of Cu(OH)2 nanopesticide exposure on soil microbial communities. Environ. Pollut. 2021, 269, 116113. [Google Scholar] [CrossRef]
- Ardestani, M.M.; van Straalen, N.M.; van Gestel, C.A.M. Uptake and elimination kinetics of metals in soil invertebrates: A review. Environ. Pollut. 2014, 193, 277–295. [Google Scholar] [CrossRef]
- González-Alcaraz, M.N.; van Gestel, C.A.M. Metal/metalloid (As, Cd and Zn) bioaccumulation in the earthworm Eisenia andrei under different scenarios of climate change. Environ. Pollut. 2016, 215, 178–186. [Google Scholar] [CrossRef]
- Gonzalez-Alcaraz, M.N.; Loureiro, S.; van Gestel, C.A.M. Toxicokinetics of Zn and Cd in the earthworm Eisenia andrei exposed to metal-contaminated soils under different combinations of air temperature and soil moisture content. Chemosphere 2018, 197, 26–32. [Google Scholar] [CrossRef] [PubMed]
- Silva, I.; Alves, M.; Malheiro, C.; Silva, A.R.R.; Loureiro, S.; Henriques, I.; González-Alcaraz, M.N. Short-Term Responses of Soil Microbial Communities to Changes in Air Temperature, Soil Moisture and UV Radiation. Genes 2022, 13, 850. [Google Scholar] [CrossRef]
- McCary, M.A.; Schmitz, O.J. Invertebrate functional traits and terrestrial nutrient cycling: Insights from a global meta-analysis. J. Anim. Ecol. 2021, 90, 1714–1726. [Google Scholar] [CrossRef]
- Gong, X.; Wang, S.; Wang, Z.; Jiang, Y.; Hu, Z.; Zheng, Y.; Chen, X.; Li, H.; Hu, F.; Liu, M.; et al. Earthworms modify soil bacterial and fungal communities through enhancing aggregation and buffering pH. Geoderma 2019, 347, 59–69. [Google Scholar] [CrossRef]
- Didden, W.M. Ecology of terrestrial Enchytraeidae. Pedobiologia 1993, 37, 2–29. [Google Scholar]
- Didden, W.; Römbke, J. Enchytraeids as Indicator Organisms for Chemical Stress in Terrestrial Ecosystems. Ecotoxicol. Environ. Saf. 2001, 50, 25–43. [Google Scholar] [CrossRef] [PubMed]
- Costa, C.; Jesus-Rydin, C. Site investigation on heavy metals contaminated ground in Estarreja—Portugal. Eng. Geol. 2001, 60, 39–47. [Google Scholar] [CrossRef]
- Rodrigues, S.M.; Pereira, E.; Duarte, A.C.; Römkens, P.F.A.M. Derivation of soil to plant transfer functions for metals and metalloids: Impact of contaminant’s availability. Plant Soil 2012, 361, 329–341. [Google Scholar] [CrossRef]
- Inácio, M.; Neves, O.; Pereira, V.; Ferreira da Silva, E. Levels of selected potential harmful elements (PHEs) in soils and vegetables used in diet of the population living in the surroundings of the Estarreja Chemical Complex (Portugal). Appl. Geochem. 2014, 44, 38–44. [Google Scholar] [CrossRef]
- González-Alcaraz, M.N.; Malheiro, C.; Cardoso, D.N.; Loureiro, S. Soil moisture influences the avoidance behavior of invertebrate species in anthropogenic metal (loid)-contaminated soils. Environ. Pollut. 2019, 248, 546–554. [Google Scholar] [CrossRef]
- Inácio, M.; Pereira, V.; Pinto, M.S. The soil geochemical atlas of Portugal: Overview and application. J. Geochem. Explor. 2008, 98, 22–33. [Google Scholar] [CrossRef]
- APA—Portuguese Environmental Agency. Solos Contaminados—Guia Técnico. Valores de Referência Para o Solo; Agência Portuguesa do Ambiente: Lisbon, Portugal, 2019.
- Westheide, W.; Graefe, U. Two new terrestrial Enchytraeus species (Oligochaeta, Annelida). J. Nat. Hist. 1992, 26, 479–488. [Google Scholar] [CrossRef]
- Jänsch, S.; Amorim, M.J.; Römbke, J. Identification of the ecological requirements of important terrestrial ecotoxicological test species. Environ. Rev. 2005, 13, 51–83. [Google Scholar] [CrossRef]
- Kuperman, R.G.; Amorim, M.J.B.; Römbke, J.; Lanno, R.; Checkai, R.T.; Dodard, S.G.; Sunahara, G.I.; Scheffczyk, A. Adaptation of the enchytraeid toxicity test for use with natural soil types. Eur. J. Soil Biol. 2006, 42, S234–S243. [Google Scholar] [CrossRef]
- van Gestel, C.A.M.; Borgman, E.; Verweij, R.A.; Ortiz, M.D. The influence of soil properties on the toxicity of molybdenum to three species of soil invertebrates. Ecotoxicol. Environ. Saf. 2011, 74, 1–9. [Google Scholar] [CrossRef] [PubMed]
- OECD. Guidelines for Testing Chemicals No. 217—Soil Microorganisms: Carbon Transformation Test; Organization for Economic Co-operation and Development: Paris, France, 2000. [Google Scholar]
- OECD. Guidelines for Testing Chemicals No. 216—Soil Microorganisms: Nitrogen Transformation Test; Organization for Economic Co-operation and Development: Paris, France, 2000. [Google Scholar]
- ISO 16387; Soil Quality—Effects of Pollutants on Enchytraeidae (Enchytraeus sp.)—Determination of Effects on Reproduction and Survival. ISO (International Organization for Standardization): Geneva, Switzerland, 2004.
- OECD. OECD 220: Guidelines for the Testing of Chemicals—Enchytraeid Reproduction Test; OECD (Organisation for Economic Cooperation and Development): Paris, France, 2004. [Google Scholar]
- Samarajeewa, A.D.; Velicogna, J.R.; Princz, J.I.; Subasinghe, R.M.; Scroggins, R.P.; Beaudette, L.A. Effect of silver nano-particles on soil microbial growth, activity and community diversity in a sandy loam soil. Environ. Pollut. 2017, 220, 504–513. [Google Scholar] [CrossRef] [PubMed]
- Frąc, M.; Oszust, K.; Lipiec, J. Community level physiological profiles (CLPP), characterization and microbial activity of soil amended with dairy sewage sludge. Sensors 2012, 12, 3253–3268. [Google Scholar] [CrossRef]
- Muyzer, G.; De Waal, E.C.; Uitterlinden, A.G. Profiling of complex microbial populations by denaturing gradient gel electrophoresis analysis of polymerase chain reaction-amplified genes coding for 16S rRNA. Appl. Environ. Microbiol. 1993, 59, 695–700. [Google Scholar] [CrossRef]
- Brankatschk, R.; Bodenhausen, N.; Zeyer, J.; Bürgmann, H. Simple absolute quantification method correcting for quantitative PCR efficiency variations for microbial community samples. Appl. Environ. Microbiol. 2012, 78, 4481. [Google Scholar] [CrossRef]
- Magoč, T.; Salzberg, S.L. FLASH: Fast length adjustment of short reads to improve genome assemblies. Bioinformatics 2011, 27, 2957–2963. [Google Scholar] [CrossRef]
- Rognes, T.; Flouri, T.; Nichols, B.; Quince, C.; Mahé, F. VSEARCH: A versatile open source tool for metagenomics. PeerJ 2016, 4, e2584. [Google Scholar] [CrossRef] [PubMed]
- Eren, A.M.; Morrison, H.G.; Lescault, P.J.; Reveillaud, J.; Vineis, J.H.; Sogin, M.L. Minimum entropy decomposition: Unsupervised oligotyping for sensitive partitioning of high-throughput marker gene sequences. ISME J. 2015, 9, 968–979. [Google Scholar] [CrossRef] [PubMed]
- Altschul, S.F.; Gish, W.; Miller, W.; Myers, E.W.; Lipman, D.J. Basic local alignment search tool. J. Mol. Biol. 1990, 215, 403–410. [Google Scholar] [CrossRef] [PubMed]
- Angly, F.E.; Dennis, P.G.; Skarshewski, A.; Vanwonterghem, I.; Hugenholtz, P.; Tyson, G.W. CopyRighter: A rapid tool for improving the accuracy of microbial community profiles through lineage-specific gene copy number correction. Microbiome 2014, 2, 11. [Google Scholar] [CrossRef] [PubMed]
- Iwai, S.; Weinmaier, T.; Schmidt, B.L.; Albertson, D.G.; Poloso, N.J.; Dabbagh, K.; DeSantis, T.Z. Piphillin: Improved prediction of metagenomic content by direct inference from human microbiomes. PLoS ONE 2016, 11, e0166104. [Google Scholar] [CrossRef] [PubMed]
- The Vegan Package. R Package Version 2.2-0. 2018. Available online: http://CRAN.R-project.org/ (accessed on 18 May 2022).
- R Core Team. R: A Language and Environment for Statistical Computing; R Foundation for Statistical Computing: Austria, Vienna, 2020; Available online: https://www.R-project.org/ (accessed on 18 May 2022).
- mvnormtest: Normality Test for Multivariate Variables. 2012. Available online: https://CRAN.R-project.org/package=mvnormtest (accessed on 18 May 2022).
- Schimel, J.; Balser, T.C.; Wallenstein, M. Microbial stress-response physiology and its implications for ecosystem function. Ecology 2007, 88, 1386–1394. [Google Scholar] [CrossRef]
- Fuchslueger, L.; Bahn, M.; Fritz, K.; Hasibeder, R.; Richter, A. Experimental drought reduces the transfer of recently fixed plant carbon to soil microbes and alters the bacterial community composition in a mountain meadow. New Phytol. 2014, 201, 916–927. [Google Scholar] [CrossRef]
- Hueso, S.; García, C.; Hernández, T. Severe drought conditions modify the microbial community structure, size and activity in amended and unamended soils. Soil Biol. Biochem. 2012, 50, 167–173. [Google Scholar] [CrossRef]
- Arrange, A.A.; Phelps, T.J.; Benoit, R.E.; Palumbo, A.V.; White, D.C. Bacterial sensitivity to UV light as a model for ionizing radiation resistance. J. Microbiol. Methods 1993, 18, 127–136. [Google Scholar] [CrossRef]
- Formánek, P.; Rejšek, K.; Vranová, V. Effect of elevated CO2, O3, and UV radiation on soils. Sci. World. J. 2014, 2014, 730148. [Google Scholar] [CrossRef]
- Zepp, R.G.; Erickson Iii, D.J.; Paul, N.D.; Sulzberger, B. Interactive effects of solar UV radiation and climate change on biogeochemical cycling. Photochem. Photobiol. Sci. 2007, 6, 286–300. [Google Scholar] [CrossRef]
- Bar-Even, A.; Noor, E.; Lewis, N.E.; Milo, R. Design and analysis of synthetic carbon fixation pathways. Proc. Natl. Acad. Sci. USA 2010, 107, 8889–8894. [Google Scholar] [CrossRef]
- Lavelle, P.; Decaëns, T.; Aubert, M.; Barot, S.; Blouin, M.; Bureau, F.; Margerie, P.; Mora, P.; Rossi, J.P. Soil invertebrates and ecosystem services. Eur. J. Soil Biol. 2006, 42, S3–S15. [Google Scholar] [CrossRef]
- Griffiths, H.M.; Ashton, L.A.; Parr, C.L.; Eggleton, P. The impact of invertebrate decomposers on plants and soil. New Phytol. 2021, 231, 2142–2149. [Google Scholar] [CrossRef] [PubMed]
- Zhang, L.; Van Gestel, C.A.M. Toxicokinetics and toxicodynamics of lead in the soil invertebrate Enchytraeus crypticus. Environ. Pollut. 2017, 225, 534–541. [Google Scholar] [CrossRef]
- Grobelak, A.; Kowalska, A. Heavy metal mobility in soil under futuristic climatic conditions. In Climate Change and Soil Interactions; Prasad, M.N.V., Pietrzykowski, M., Eds.; Elsevier: Amsterdam, The Netherlands, 2020. [Google Scholar] [CrossRef]
- Ren, B.; Hu, Y.; Chen, B.; Zhang, Y.; Thiele, J.; Shi, R.; Liu, M.; Bu, R. Soil pH and plant diversity shape soil bacterial community structure in the active layer across the latitudinal gradients in continuous permafrost region of Northeastern China. Sci. Rep. 2018, 8, 5619. [Google Scholar] [CrossRef] [PubMed]
- Chen, Q.; Niu, B.; Hu, Y.; Luo, T.; Zhang, G. Warming and increased precipitation indirectly affect the composition and turnover of labile-fraction soil organic matter by directly affecting vegetation and microorganisms. Sci. Total Environ. 2020, 714, 136787. [Google Scholar] [CrossRef]
- Sun, Y.; Chen, H.Y.; Jin, L.; Wang, C.; Zhang, R.; Ruan, H.; Yang, J. Drought stress induced increase of fungi: Bacteria ratio in a poplar plantation. CATENA 2020, 193, 104607. [Google Scholar] [CrossRef]
- Lauber, C.L.; Hamady, M.; Knight, R.; Fierer, N. Pyrosequencing-based assessment of soil pH as a predictor of soil bacterial community structure at the continental scale. Appl. Environ. Microbiol. 2009, 75, 5111. [Google Scholar] [CrossRef]
- Wang, C.Y.; Zhou, X.; Guo, D.; Zhao, J.H.; Yan, L.; Feng, G.Z.; Gao, Q.; Zhao, L.P. Soil pH is the primary factor driving the distribution and function of microorganisms in farmland soils in northeastern China. Ann. Microbiol. 2019, 69, 1461–1473. [Google Scholar] [CrossRef]
- Xu, Z.; Tsang, D.C. Redox-induced transformation of potentially toxic elements with organic carbon in soil. Carbon Res. 2022, 1, 9. [Google Scholar] [CrossRef]
- Obermeier, M.M.; Gnädinger, F.; Raj, A.C.D.; Obermeier, W.A.; Schmid, C.A.; Balàzs, H.; Schröder, P. Under temperate climate, the conversion of grassland to arable land affects soil nutrient stocks and bacteria in a short term. Sci. Total Environ. 2020, 703, 135494. [Google Scholar] [CrossRef]
- Siebielec, S.; Siebielec, G.; Klimkowicz-Pawlas, A.; Gałązka, A.; Grządziel, J.; Stuczyński, T. Impact of water stress on microbial community and activity in sandy and loamy soils. Agronomy 2020, 10, 1429. [Google Scholar] [CrossRef]
- Seidel, L.; Broman, E.; Nilsson, E.; Stahle, M.; Ketzer, M.; Pérez-Martínez, C.; Turner, S.; Hylander, S.; Pinhassi, J.; Forsman, A.; et al. Climate change-related warming reduces thermal sensitivity and modifies metabolic activity of coastal benthic bacterial communities. ISME J. 2023, 17, 855–869. [Google Scholar] [CrossRef] [PubMed]
- Measures, J. Role of amino acids in osmoregulation of non-halophilic bacteria. Nature 1975, 257, 398–400. [Google Scholar] [CrossRef] [PubMed]
- Zhuang, L.; Tang, J.; Wang, Y.; Hu, M.; Zhou, S. Conductive iron oxide minerals accelerate syntrophic cooperation in methanogenic benzoate degradation. J. Hazard. Mater. 2015, 293, 37–45. [Google Scholar] [CrossRef]
- Yang, Z.N.; Liu, Z.S.; Wang, K.H.; Liang, Z.L.; Abdugheni, R.; Huang, Y.; Wang, R.H.; Ma, H.L.; Wang, X.K.; Yang, M.L.; et al. Soil microbiomes divergently respond to heavy metals and polycyclic aromatic hydrocarbons in contaminated industrial sites. Environ. Sci. Ecotechnol. 2022, 10, 100169. [Google Scholar] [CrossRef]
- Cordero, I.; Leizeaga, A.; Hicks, L.C.; Rousk, J.; Bardgett, R.D. High intensity perturbations induce an abrupt shift in soil microbial state. ISME J. 2023, 17, 2190–2199. [Google Scholar] [CrossRef]
- Chau, J.F.; Bagtzoglou, A.C.; Willig, M.R. The effect of soil texture on richness and diversity of bacterial communities. Environ. Forensics 2011, 12, 333–341. [Google Scholar] [CrossRef]
- Bach, E.M.; Williams, R.J.; Hargreaves, S.K.; Yang, F.; Hofmockel, K.S. Greatest soil microbial diversity found in micro-habitats. Soil Biol. Biochem. 2018, 118, 217–226. [Google Scholar] [CrossRef]
- Wagg, C.; Schlaeppi, K.; Banerjee, S.; Kuramae, E.E.; van der Heijden, M.G.A. Fungal-bacterial diversity and microbiome complexity predict ecosystem functioning. Nat. Commun. 2019, 10, 4841. [Google Scholar] [CrossRef] [PubMed]
- Chapman, H.D. Cation Exchange Capacity. In Methods of Soil Analysis; : Black, C.A., Ed.; American Society of Agronomy: Madison, WI, USA, 1965; pp. 891–901. [Google Scholar]
- Gee, G.W.; Bauder, J.W. Particle-size analysis. In Methods of Soil Analysis. Part 1: Physical and Mineralogical Methods, 2nd ed.; Klute, A., Ed.; American Society of Agronomy and Soil Science Society of America: Madison, WI, USA, 1986; pp. 383–410. [Google Scholar]
- ISO 10694; Soil Quality—Determination of Organic and Total Carbon after Dry Combustion (Elementary Analysis). ISO: Geneva, Switzerland, 1995.
- ISO 11274; Soil Quality—Determination of the Water-Retention Characteristics. ISO: Geneva, Switzerland, 1998.







| Climate Scenario | Climate Factor | ||
|---|---|---|---|
| Air Temperature (°C) | Soil Moisture (% WHC) | UV Radiation | |
| Standard conditions | 20 | 50 | Without |
| Air temperature | 15–25 | 50 | Without |
| 20–30 | 50 | Without | |
| Soil moisture | 20 | 25 | Without |
| 20 | 75 | Without | |
| UV radiation | 20 | 50 | With |
Disclaimer/Publisher’s Note: The statements, opinions and data contained in all publications are solely those of the individual author(s) and contributor(s) and not of MDPI and/or the editor(s). MDPI and/or the editor(s) disclaim responsibility for any injury to people or property resulting from any ideas, methods, instructions or products referred to in the content. |
© 2024 by the authors. Licensee MDPI, Basel, Switzerland. This article is an open access article distributed under the terms and conditions of the Creative Commons Attribution (CC BY) license (https://creativecommons.org/licenses/by/4.0/).
Share and Cite
Silva, I.; Alves, M.; Malheiro, C.; Silva, A.R.R.; Loureiro, S.; Henriques, I.; González-Alcaraz, M.N. Structural and Functional Shifts in the Microbial Community of a Heavy Metal-Contaminated Soil Exposed to Short-Term Changes in Air Temperature, Soil Moisture and UV Radiation. Genes 2024, 15, 107. https://doi.org/10.3390/genes15010107
Silva I, Alves M, Malheiro C, Silva ARR, Loureiro S, Henriques I, González-Alcaraz MN. Structural and Functional Shifts in the Microbial Community of a Heavy Metal-Contaminated Soil Exposed to Short-Term Changes in Air Temperature, Soil Moisture and UV Radiation. Genes. 2024; 15(1):107. https://doi.org/10.3390/genes15010107
Chicago/Turabian StyleSilva, Isabel, Marta Alves, Catarina Malheiro, Ana Rita R. Silva, Susana Loureiro, Isabel Henriques, and M. Nazaret González-Alcaraz. 2024. "Structural and Functional Shifts in the Microbial Community of a Heavy Metal-Contaminated Soil Exposed to Short-Term Changes in Air Temperature, Soil Moisture and UV Radiation" Genes 15, no. 1: 107. https://doi.org/10.3390/genes15010107
APA StyleSilva, I., Alves, M., Malheiro, C., Silva, A. R. R., Loureiro, S., Henriques, I., & González-Alcaraz, M. N. (2024). Structural and Functional Shifts in the Microbial Community of a Heavy Metal-Contaminated Soil Exposed to Short-Term Changes in Air Temperature, Soil Moisture and UV Radiation. Genes, 15(1), 107. https://doi.org/10.3390/genes15010107

