Non-Invasive Prenatal Test Analysis Opens a Pandora’s Box: Identification of Very Rare Cases of SRY-Positive Healthy Females, Segregating for Three Generations Thanks to Preferential Inactivation of the XqYp Translocated Chromosome
Abstract
1. Introduction
2. Materials and Methods
2.1. Samples
2.2. Conventional Karyotyping
2.3. Fluorescence In Situ Hybridization (FISH) to Characterize Chromosomal Rearrangement
2.4. Sanger Sequencing
2.5. Chromosomal Microarray Analysis (CMA)
2.6. Detection of X-Inactivation Pattern and FISH Analysis
3. Results
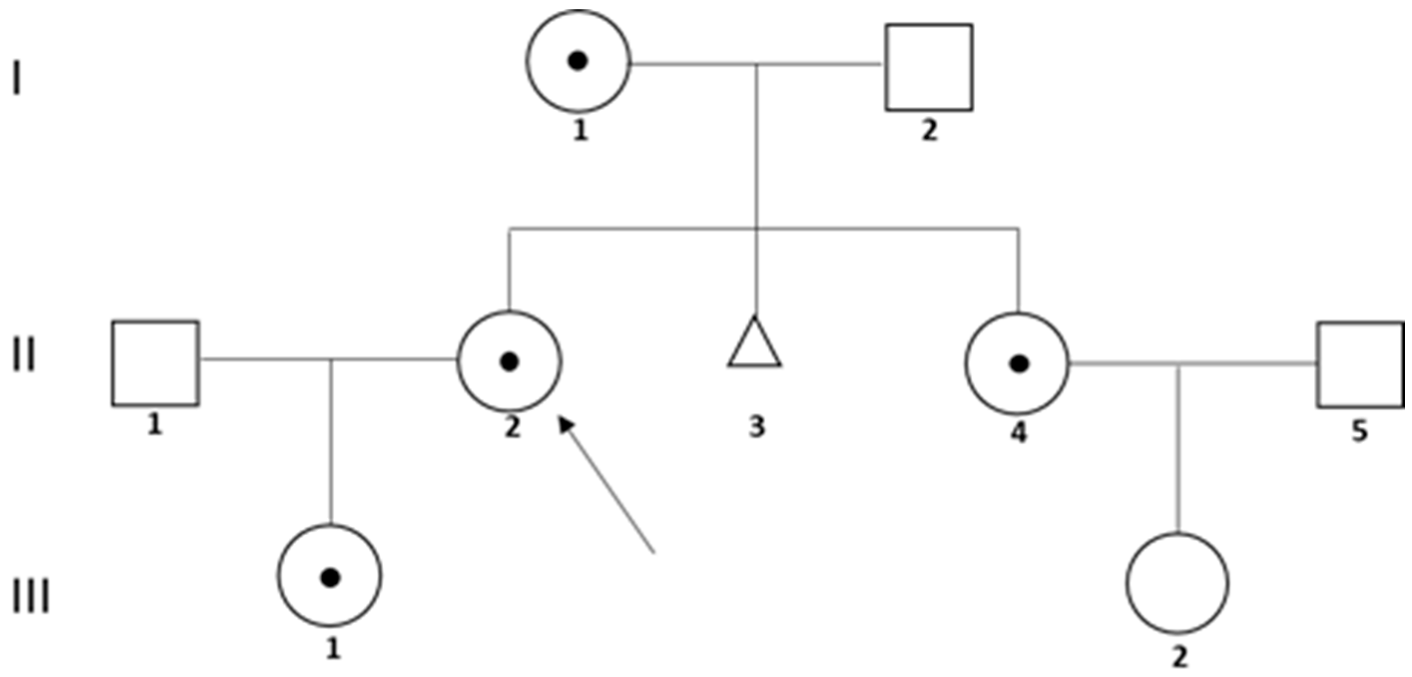
3.1. Identification of a Rare t(X;Y)(q28;p11.2)(SRY+) Translocation in Healthy Females from Three Generations of the Same Family
3.2. Investigation of Molecular Mechanisms Underlying the Lack of Phenotype Associated with the Presence of SRY on the X Chromosome of Healthy Females
4. Discussion
5. Conclusions
Supplementary Materials
Author Contributions
Funding
Informed Consent Statement
Data Availability Statement
Acknowledgments
Conflicts of Interest
References
- Gao, X.; Chen, G.; Huang, J.; Bai, Q.; Zhao, N.; Shao, M.; Jiao, L.; Wei, Y.; Chang, L.; Li, D.; et al. Clinical, cytogenetic, and molecular analysis with 46,XX male sex reversal syndrome: Case reports. J. Assist. Reprod. Genet. 2013, 30, 431–435. [Google Scholar] [CrossRef]
- Sharp, A.; Kusz, K.; Jaruzelska, J.; Tapper, W.; Szarras-Czapnik, M.; Wolski, J.; Jacobs, P. Variability of sexual phenotype in 46,XX(SRY+) patients: The influence of spreading X inactivation versus position effects. J. Med. Genet. 2005, 42, 420–427. [Google Scholar] [CrossRef] [PubMed]
- Saavedra-Castillo, E.; Cortes-Gutierrez, E.I.; Davila-Rodriguez, M.I.; Reyes-Martinez, M.E.; Oliveros-Rodriguez, A. 47,XXY female with testicular feminization and positive SRY: A case report. J. Reprod. Med. 2005, 50, 138–140. [Google Scholar] [PubMed]
- Li, H.; He, J.; Leong, I. A rare case of 46, XX (SRY positive) testicular disorder of sex development with growth hormone deficiency: Case report. Medicine 2021, 100, e24641. [Google Scholar] [CrossRef] [PubMed]
- Wu, Q.-Y.; Li, N.; Li, W.-W.; Li, T.-F.; Zhang, C.; Cui, Y.-X.; Xia, X.-Y.; Zhai, J.-S. Clinical, molecular and cytogenetic analysis of 46, XX testicular disorder of sex development with SRY-positive. BMC Urol. 2014, 14, 70. [Google Scholar] [CrossRef]
- Ashfaq, S.; Siddiqui, A.; Shafiq, W.; Azmat, U. A Rare Presentation of Disorder of Sex Development. Cureus 2021, 13, e12782. [Google Scholar] [CrossRef] [PubMed]
- Nakashima, S.; Ohishi, A.; Takada, F.; Kawamura, H.; Igarashi, M.; Fukami, M.; Ogata, T. Clinical and molecular studies in four patients with SRY-positive 46,XX testicular disorders of sex development: Implications for variable sex development and genomic rearrangements. J. Hum. Genet. 2014, 59, 549–553. [Google Scholar] [CrossRef]
- Osaka, A.; Ide, H.; Matsuoka, K.; Iwahata, T.; Kobori, Y.; Ban, S.; Okada, H.; Saito, K. SRY-Positive 46, XX Testicular Disorder of Sexual Development with Leydig Cell Tumor. Am. J. Men’s Health 2020, 14, 1557988320970071. [Google Scholar] [CrossRef]
- Albu, C.C.; Albu, D.F.; Muşat, A.R.; Stancu, I.G.; Albu, D.; Pătraşcu, A.; Gogănău, A.M. The crucial role of SRY gene in the determination of human genetic sex: 46,XX disorder of sex development. Rom. J. Morphol. Embryol. 2019, 60, 1311–1316. [Google Scholar]
- Cameron, I.T.; Buckton, K.E.; Baird, D.T. X-Y translocation. A case report. Hum. Genet. 1984, 67, 457–459. [Google Scholar] [CrossRef]
- McGowan-Jordan, J.; Hastings, R.J.; Moore, S. (Eds.) An International System for Human Cytogenomic Nomenclature; Karger AG: Basel, Switzerland, 2020. [Google Scholar]
- Scalise, S.; Scaramuzzino, L.; Lucchino, V.; Esposito, C.; Malatesta, P.; Grillone, K.; Perrotti, N.; Cuda, G.; Parrotta, E.I. Generation of iPSC lines from two patients affected by febrile seizure due to inherited missense mutation in SCN1A gene. Stem Cell Res. 2020, 49, 102083. [Google Scholar] [CrossRef] [PubMed]
- Miyamoto, Y.; Taniguchi, H.; Hamel, F.; Silversides, D.W.; Viger, R.S. A GATA4/WT1 cooperation regulates transcription of genes required for mammalian sex determination and differentiation. BMC Mol. Biol. 2008, 9, 44. [Google Scholar] [CrossRef] [PubMed]
- Sisdelli, L.; Vidi, A.C.; Moysés-Oliveira, M.; Di Battista, A.; Bortolai, A.; Moretti-Ferreira, D.; da Silva, M.R.D.; Melaragno, M.I.; Carvalheira, G. Incorporation of 5-ethynyl-2′-deoxyuridine (EdU) as a novel strategy for identification of the skewed X inactivation pattern in balanced and unbalanced X-rearrangements. Hum. Genet. 2016, 135, 185–192. [Google Scholar] [CrossRef] [PubMed]
- Lo, Y.M.D.; Chan, K.C.A.; Sun, H.; Chen, E.Z.; Jiang, P.; Lun, F.M.F.; Zheng, Y.W.; Leung, T.Y.; Lau, T.K.; Cantor, C.R.; et al. Maternal plasma DNA sequencing reveals the genome-wide genetic and mutational profile of the fetus. Sci. Transl. Med. 2010, 2, 61ra91. [Google Scholar] [CrossRef]
- Margarit, E.; Coll, M.D.; Oliva, R.; Soler, A.; Ballesta, F.; Gómez, D. SRY gene transferred to the long arm of the X chromosome in a Y-positive XX true hermaphrodite. Am. J. Med. Genet. 2000, 90, 25–28. [Google Scholar] [CrossRef]
- Liu, S.; Zheng, J.; Liu, X.; Lai, Y.; Zhang, X.; He, T.; Yang, Y.; Wang, H.; Zhang, X. Comprehensive analysis of three female patients with different types of X/Y translocations and literature review. Mol. Cytogenet. 2023, 16, 7. [Google Scholar] [CrossRef] [PubMed]
- Santos-Rebouças, C.B.; Boy, R.; Vianna, E.Q.; Gonçalves, A.P.; Piergiorge, R.M.; Abdala, B.B.; dos Santos, J.M.; Calassara, V.; Machado, F.B.; Medina-Acosta, E.; et al. Skewed X-Chromosome Inactivation and Compensatory Upregulation of Escape Genes Precludes Major Clinical Symptoms in a Female with a Large Xq Deletion. Front. Genet. 2020, 11, 101. [Google Scholar] [CrossRef]
- Lissoni, S.; Baronchelli, S.; Villa, N.; Lucchini, V.; Betri, E.; Cavalli, P.; Dalprà, L. Chromosome territories, X;Y translocation and Premature Ovarian Failure: Is there a relationship? Mol. Cytogenet. 2009, 2, 19. [Google Scholar] [CrossRef]
- Delon, B.; Lallaoui, H.; Abel-Lablanche, C.; Geneix, A.; Bellec, V.; Benkhalifa, M. Fluorescent in-situ hybridization and sequence-tagged sites for delineation of an X:Y translocation in a patient with secondary amenorrhoea. Mol. Hum. Reprod. 1997, 3, 439–443. [Google Scholar] [CrossRef][Green Version]
- Beke, A.; Piko, H.; Haltrich, I.; Csomor, J.; Matolcsy, A.; Fekete, G.; Rigo, J.; Karcagi, V. Molecular cytogenetic analysis of Xq critical regions in premature ovarian failure. Mol. Cytogenet. 2013, 6, 62. [Google Scholar] [CrossRef][Green Version]
- Rossetti, F.; Rizzolio, F.; Pramparo, T.; Sala, C.; Bione, S.; Bernardi, F.; Goegan, M.; Zuffardi, O.; Toniolo, D. A susceptibility gene for premature ovarian failure (POF) maps to proximal Xq28. Eur. J. Hum. Genet. 2004, 12, 829–834. [Google Scholar] [CrossRef] [PubMed]
- Ferreira, S.I.; Matoso, E.; Pinto, M.; Almeida, J.; Liehr, T.; Melo, J.B.; Carreira, I.M. X-chromosome terminal deletion in a female with premature ovarian failure: Haploinsufficiency of X-linked genes as a possible explanation. Mol. Cytogenet. 2010, 3, 14. [Google Scholar] [CrossRef] [PubMed]
- Primerano, A.; Colao, E.; Villella, C.; Nocera, M.D.; Ciambrone, A.; Luciano, E.; D’antona, L.; Vismara, M.F.M.; Loddo, S.; Novelli, A.; et al. A cryptic balanced translocation (5;17), a puzzle revealed through a critical evaluation of the pedigree and a FISH focused on candidate loci suggested by the phenotype. Mol. Cytogenet. 2015, 8, 70. [Google Scholar] [CrossRef] [PubMed][Green Version]




Disclaimer/Publisher’s Note: The statements, opinions and data contained in all publications are solely those of the individual author(s) and contributor(s) and not of MDPI and/or the editor(s). MDPI and/or the editor(s) disclaim responsibility for any injury to people or property resulting from any ideas, methods, instructions or products referred to in the content. |
© 2024 by the authors. Licensee MDPI, Basel, Switzerland. This article is an open access article distributed under the terms and conditions of the Creative Commons Attribution (CC BY) license (https://creativecommons.org/licenses/by/4.0/).
Share and Cite
Politi, C.; Grillone, K.; Nocera, D.; Colao, E.; Bellisario, M.L.; Loddo, S.; Catino, G.; Novelli, A.; Perrotti, N.; Iuliano, R.; et al. Non-Invasive Prenatal Test Analysis Opens a Pandora’s Box: Identification of Very Rare Cases of SRY-Positive Healthy Females, Segregating for Three Generations Thanks to Preferential Inactivation of the XqYp Translocated Chromosome. Genes 2024, 15, 103. https://doi.org/10.3390/genes15010103
Politi C, Grillone K, Nocera D, Colao E, Bellisario ML, Loddo S, Catino G, Novelli A, Perrotti N, Iuliano R, et al. Non-Invasive Prenatal Test Analysis Opens a Pandora’s Box: Identification of Very Rare Cases of SRY-Positive Healthy Females, Segregating for Three Generations Thanks to Preferential Inactivation of the XqYp Translocated Chromosome. Genes. 2024; 15(1):103. https://doi.org/10.3390/genes15010103
Chicago/Turabian StylePoliti, Cristina, Katia Grillone, Donatella Nocera, Emma Colao, Michelle Li Bellisario, Sara Loddo, Giorgia Catino, Antonio Novelli, Nicola Perrotti, Rodolfo Iuliano, and et al. 2024. "Non-Invasive Prenatal Test Analysis Opens a Pandora’s Box: Identification of Very Rare Cases of SRY-Positive Healthy Females, Segregating for Three Generations Thanks to Preferential Inactivation of the XqYp Translocated Chromosome" Genes 15, no. 1: 103. https://doi.org/10.3390/genes15010103
APA StylePoliti, C., Grillone, K., Nocera, D., Colao, E., Bellisario, M. L., Loddo, S., Catino, G., Novelli, A., Perrotti, N., Iuliano, R., & Malatesta, P. (2024). Non-Invasive Prenatal Test Analysis Opens a Pandora’s Box: Identification of Very Rare Cases of SRY-Positive Healthy Females, Segregating for Three Generations Thanks to Preferential Inactivation of the XqYp Translocated Chromosome. Genes, 15(1), 103. https://doi.org/10.3390/genes15010103

