Structural Characteristics and Phylogenetic Analysis of the Mitochondrial Genomes of Four Krisna Species (Hemiptera: Cicadellidae: Iassinae)
Abstract
1. Introduction
2. Materials and Methods
2.1. Sample Collection and DNA Extraction
2.2. Sequence Processing and Analysis
2.3. Effective Number of Codons
2.4. Parity Rule 2 Bias Plot
2.5. Neutrality Plot
2.6. Correspondence Analysis
2.7. Grand Average of Hydropathy
2.8. Phylogenetic Analysis
3. Results
3.1. Basic Features of the Mitochondria of the Krisna
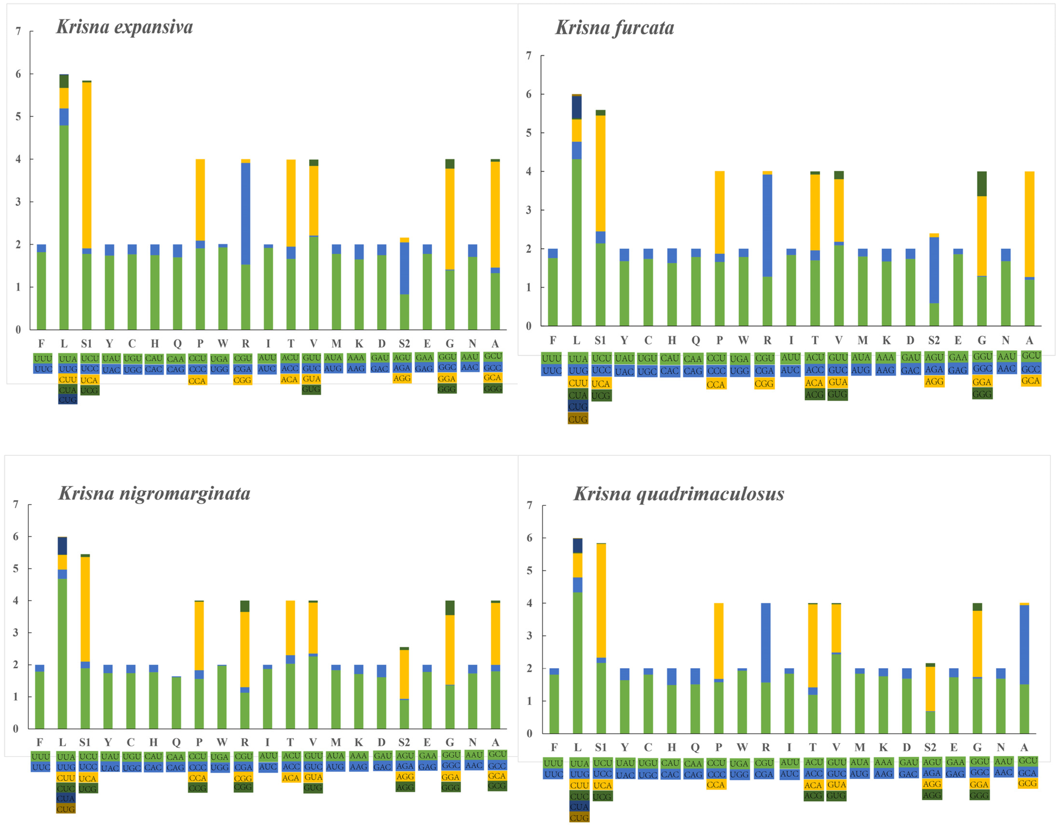
3.2. PCGs and Codon Usage
3.3. Control Region
3.4. Mitochondrial Gene Variation in Krisna
3.5. Analysis of CUB
3.5.1. Relationship between ENC and Compositional Attributes
3.5.2. PR2 Plot Analysis
3.5.3. Neutrality Plot
3.5.4. Correspondence Analysis
3.5.5. Properties of Proteins
3.6. Phylogenetic Analysis
4. Discussion
Supplementary Materials
Author Contributions
Funding
Institutional Review Board Statement
Informed Consent Statement
Data Availability Statement
Acknowledgments
Conflicts of Interest
References
- Dai, W.; Dietrich, C.H.; Zhang, Y.L. A review of the leafhopper tribe Hyalojassini (Hemiptera: Cicadellidae: Iassinae) with description of new taxa. Zootaxa 2015, 3911, 1–42. [Google Scholar] [CrossRef] [PubMed]
- Krishnankutty, S.M.; Dietrich, C.H.; Dai, W.; Siddappaji, M.H. Phylogeny and historical biogeography of leafhopper subfamily Iassinae (Hemiptera: Cicadellidae) with a revised tribal classification based on morphological and molecular data. Syst. Entomol. 2016, 41, 580–595. [Google Scholar] [CrossRef]
- GonÇAlves, C.C.; Takiya, D.M.; Mejdalani, G. Sakakibarana, a new genus of Gyponini (Hemiptera: Cicadellidae: Iassinae) from the Amazon Rainforest. Zootaxa 2017, 4281, 219. [Google Scholar] [CrossRef]
- Domahovski, A.C.; Cavichioli, R.R. Guaricicana, a new genus of Hyalojassini (Hemiptera: Cicadellidae: Iassinae) from the Brazilian Atlantic Forest. Eur. J. Taxon. 2019, 547, 1–12. [Google Scholar] [CrossRef]
- Wang, X.Y.; Wu, Y.F.; Dai, R.H. Three new species of the leafhopper subfamily Iassinae (Hemiptera: Cicadellidae) from China. Zootaxa 2018, 4442, 378–388. [Google Scholar] [CrossRef]
- Linnavuori, R.; Quartau, J.A. Revision of the Ethiopian Cicadellidae (HemipteraHomoptera): Iassinae and Acroponinae. Foundation pour favoriser les recherches scientifiques en Afrique. Etudes Cont. Afr. 1975, 3, 1–170. [Google Scholar]
- Dietrich, C.H. Keys to the families of Cicadomorpha and subfamilies and tribes of Cicadellidae (Hemiptera: Auchenorrhyncha). Fla. Entomol. 2005, 88, 502–517. [Google Scholar] [CrossRef]
- Yuan, L.L.; Liu, H.Y.; Ge, X.Y.; Yang, G.Y.; Xie, G.L.; Yang, Y.X. A Mitochondrial Genome Phylogeny of Cleridae (Coleoptera, Cleroidea). Insects 2022, 13, 118. [Google Scholar] [CrossRef]
- Lian, D.; Wei, J.F.; Chen, C.; Niu, M.M.; Zhang, H.F.; Zhao, Q. Comparative analysis and phylogeny of mitochondrial genomes of Pentatomidae (Hemiptera: Pentatomoidea). Front. Genet. 2022, 13, 1045193. [Google Scholar] [CrossRef]
- Zhou, Z.C.; Liu, Y.Y.; Chen, X.S. Structural features and phylogenetic implications of three new mitochondrial genomes of blister geetles (Coleoptera: Meloidae). J. Insect. Sci. 2021, 21, 19. [Google Scholar] [CrossRef]
- Liu, D.; Guo, H.; Zhu, J.; Qu, K.; Chen, Y.; Guo, Y.T.; Ding, P.; Yang, H.P.; Xu, T.; Jing, Q.; et al. Complex physical structure of complete mitochondrial genome of Quercus acutissima (Fagaceae): A significant energy plant. Genes 2022, 13, 1321. [Google Scholar] [CrossRef]
- Tang, X.Y.; Yao, Y.X.; Li, Y.H.; Song, H.L.; Luo, R.; Shi, P.; Zhou, Z.Y.; Xu, J.S. Comparison of the mitochondrial genomes of three geographical strains of Apis laboriosa indicates high genetic diversity in the black giant honeybee (Hymenoptera: Apidae). Ecol. Evol. 2023, 13, e9782. [Google Scholar] [CrossRef]
- Zhu, W.L.; Yang, L.; Long, J.K.; Chang, Z.M.; Gong, N.; Mu, Y.L.; Lv, S.S.; Chen, X.S. Characterizing the Complete Mitochondrial Genomes of Three Bugs (Hemiptera: Heteroptera) Harming Bamboo. Genes 2023, 14, 342. [Google Scholar] [CrossRef]
- Chen, X.X.; Yuan, Z.W.; Li, C.; Dietrich, C.H.; Song, Y.H. Structural features and phylogenetic implications of Cicadellidae subfamily and two new mitogenomes leafhoppers. PLoS ONE 2021, 16, e0251207. [Google Scholar] [CrossRef] [PubMed]
- Du, Y.M.; Liang, Z.L.; Dietrich, C.H.; Dai, W. Comparative analysis of mitochondrial genomes of Nirvanini and Evacanthini (Hemiptera: Cicadellidae) reveals an explicit evolutionary relationship. Genomics 2021, 113, 1378–1385. [Google Scholar] [CrossRef]
- Wang, J.J.; Zhang, Y.J.; Yang, L.; Chen, X.S. The complete mitochondrial genome of Trifida elongate and comparative analysis of 43 leafhoppers. Comp. Biochem. Physiol. Part D Genom. Proteom. 2021, 39, 100843. [Google Scholar] [CrossRef]
- Lu, J.K.; Wang, J.J.; Li, D.F.; Wang, X.Y.; Dai, R.H. Description of the whole mitochondrial genome of Bhatia longiradiata (Hemiptera, Cicadellidae, Deltocephalinae: Drabescini) and phylogenetic relationship. Genes Genom. 2023, 45, 59–70. [Google Scholar] [CrossRef]
- Dilucca, M.; Pavlopoulou, A.; Georgakilas, A.G.; Giansanti, A. Codon usage bias in radioresistant bacteria. Gene 2020, 742, 144554. [Google Scholar] [CrossRef]
- Li, Q.; Luo, Y.Y.; Sha, A.; Xiao, W.Q.; Xiong, Z.; Chen, X.D.; He, J.; Peng, L.X.; Zou, L. Analysis of synonymous codon usage patterns in mitochondrial genomes of nine Amanita species. Front. Microbiol. 2023, 14, 1134228. [Google Scholar] [CrossRef] [PubMed]
- Duret, L.; Mouchiroud, D. Expression pattern and, surprisingly, gene length shape codon usage in Caenorhabditis, Drosophila, and Arabidopsis. Proc. Natl. Acad. Sci. USA 1999, 96, 4482–4487. [Google Scholar] [CrossRef] [PubMed]
- Zhou, M.; Guo, J.H.; Cha, J.; Chae, M.; Chen, S.; Barral, J.M.; Sachs, M.S.; Liu, Y. Non-optimal codon usage affects expression, structure and function of clock protein FRQ. Nature 2013, 495, 111–115. [Google Scholar] [CrossRef] [PubMed]
- Yu, C.H.; Dang, Y.K.; Zhou, Z.P.; Wu, C.; Zhao, F.Z.; Sachs, M.S.; Liu, Y. Codon Usage Influences the Local Rate of Translation Elongation to Regulate Co-translational Protein Folding. Mol. Cell 2015, 59, 744–754. [Google Scholar] [CrossRef]
- Wei, L.; He, J.; Jia, X.; Qi, Q.; Liang, Z.S.; Zheng, H.; Ping, Y.; Liu, S.Y.; Sun, J.C. Analysis of codon usage bias of mitochondrial genome in Bombyx mori and its relation to evolution. BMC Evol. Biol. 2014, 14, 262. [Google Scholar] [CrossRef]
- Zhao, Y.; Zheng, H.; Xu, A.Y.; Yan, D.H.; Jiang, Z.J.; Qi, Q.; Sun, J.C. Analysis of codon usage bias of envelope glycoprotein genes in nuclear polyhedrosis virus (NPV) and its relation to evolution. BMC Genom. 2016, 17, 677. [Google Scholar] [CrossRef]
- Takaaki, K.; Tatsuo, S. Analysis of factors affecting codon usage bias in human papillomavirus. J. Bioinform. Seq. Anal. 2018, 9, 1–9. [Google Scholar] [CrossRef]
- Kearse, M.; Moir, R.; Wilson, A.; Stones-Havas, S.; Cheung, M.; Sturrock, S.; Buxton, S.; Cooper, A.; Markowitz, S.; Duran, C.; et al. Geneious Basic: An integrated and extendable desktop software platform for the organization and analysis of sequence data. Bioinformatics 2012, 28, 1647–1649. [Google Scholar] [CrossRef] [PubMed]
- Bernt, M.; Donath, A.; Jühling, F.; Externbrink, F.; Florentz, C.; Fritzsch, G.; Pütz, J.; Middendorf, M.; Stadler, P.F. MITOS: Improved de novo metazoan mitochondrial genome annotation. Mol. Phylogenet. Evol. 2013, 69, 313–319. [Google Scholar] [CrossRef] [PubMed]
- Stothard, P.; Grant, J.R.; Van Domselaar, G. Visualizing and comparing circular genomes using the CGView family of tools. Brief. Bioinform. 2019, 20, 1576–1582. [Google Scholar] [CrossRef]
- Kumar, S.; Stecher, G.; Li, M.; Knyaz, C.; Tamura, K. MEGA X: Molecular Evolutionary Genetics Analysis across Computing Platforms. Mol. Biol. Evol. 2018, 35, 1547–1549. [Google Scholar] [CrossRef]
- Librado, P.; Rozas, J. DnaSP v5: A software for comprehensive analysis of DNA polymorphism data. Bioinformatics 2009, 25, 1451–1452. [Google Scholar] [CrossRef]
- Perna, N.T.; Kocher, T.D. Patterns of nucleotide composition at fourfold degenerate sites of animal mitochondrial genomes. J. Mol. Evol. 1995, 41, 353–358. [Google Scholar] [CrossRef] [PubMed]
- Wright, F. The ‘effective number of codons’ used in a gene. Gene 1990, 87, 23–29. [Google Scholar] [CrossRef]
- Sharp, P.M.; Stenico, M.; Peden, J.F.; Lloyd, A.T. Codon usage: Mutational bias, translational selection, or both? Biochem. Soc. Trans. 1993, 21, 835–841. [Google Scholar] [CrossRef]
- Sueoka, N. Intrastrand parity rules of DNA base composition and usage biases of synonymous codons. J. Mol. Evol. 1995, 40, 318–325. [Google Scholar] [CrossRef] [PubMed]
- Abdoli, R.; Mazumder, T.H.; Nematollahian, S.; Zanjani, R.S.; Mesbah, R.A.; Uddin, A. Gaining insights into the compositional constraints and molecular phylogeny of five silkworms mitochondrial genome. Int. J. Biol. Macromol. 2022, 206, 543–552. [Google Scholar] [CrossRef]
- Sueoka, N. Directional mutation pressure and neutral molecular evolution. Proc. Natl. Acad. Sci. USA 1988, 85, 2653–2657. [Google Scholar] [CrossRef]
- Khandia, R.; Singhal, S.; Kumar, U.; Ansari, A.; Tiwari, R.; Dhama, K.; Das, J.; Munjal, A.; Singh, R.K. Analysis of Nipah Virus Codon Usage and Adaptation to Hosts. Front. Microbiol. 2019, 10, 886. [Google Scholar] [CrossRef]
- Shields, D.C.; Sharp, P.M. Synonymous codon usage in Bacillus subtilis reflects both translational selection and mutational biases. Nucleic Acids Res. 1987, 15, 8023–8040. [Google Scholar] [CrossRef]
- Perriere, G.; Thioulouse, J. Use and misuse of correspondence analysis in codon usage studies. Nucleic Acids Res. 2002, 30, 4548–4555. [Google Scholar] [CrossRef] [PubMed]
- Kyte, J.; Doolittle, R.F. A simple method for displaying the hydropathic character of a protein. J. Mol. Biol. 1982, 157, 105–132. [Google Scholar] [CrossRef]
- Afgan, E.; Baker, D.; Batut, B.; van den Beek, M.; Bouvier, D.; Cech, M.; Chilton, J.; Clements, D.; Coraor, N.; Grüning, B.A.; et al. The Galaxy platform for accessible, reproducible and collaborative biomedical analyses: 2018 update. Nucleic Acids Res. 2018, 46, W537–W544. [Google Scholar] [CrossRef]
- Katoh, K.; Rozewicki, J.; Yamada, K.D. MAFFT online service: Multiple sequence alignment, interactive sequence choice and visualization. Brief. Bioinform. 2019, 20, 1160–1166. [Google Scholar] [CrossRef]
- Zhang, D.; Gao, F.L.; Jakovlić, I.; Zou, H.; Zhang, J.; Li, W.X.; Wang, G.T. PhyloSuite: An integrated and scalable desktop platform for streamlined molecular sequence data management and evolutionary phylogenetics studies. Mol. Ecol. Resour. 2020, 20, 348–355. [Google Scholar] [CrossRef] [PubMed]
- Talavera, G.; Castresana, J. Improvement of phylogenies after removing divergent and ambiguously aligned blocks from protein sequence alignments. Syst. Biol. 2007, 56, 564–577. [Google Scholar] [CrossRef] [PubMed]
- Lanfear, R.; Frandsen, P.B.; Wright, A.M.; Senfeld, T.; Calcott, B. PartitionFinder 2: New Methods for Selecting Partitioned Models of Evolution for Molecular and Morphological Phylogenetic Analyses. Mol. Biol. Evol. 2017, 34, 772–773. [Google Scholar] [CrossRef]
- Nguyen, L.T.; Schmidt, H.A.; von Haeseler, A.; Minh, B.Q. IQ-TREE: A fast and effective stochastic algorithm for estimating maximum-likelihood phylogenies. Mol. Biol. Evol. 2015, 32, 268–274. [Google Scholar] [CrossRef]
- Huelsenbeck, J.P.; Ronquist, F. MRBAYES: Bayesian inference of phylogenetic trees. Bioinformatics 2001, 17, 754–755. [Google Scholar] [CrossRef] [PubMed]
- Wang, J.J.; Wu, Y.F.; Dai, R.H.; Yang, M.F. Comparative mitogenomes of six species in the subfamily Iassinae (Hemiptera: Cicadellidae) and phylogenetic analysis. Int. J. Biol. Macromol. 2020, 149, 1294–1303. [Google Scholar] [CrossRef]
- Du, Y.M.; Dai, W.; Dietrich, C.H. Mitochondrial genomic variation and phylogenetic relationships of three groups in the genus Scaphoideus (Hemiptera: Cicadellidae: Deltocephalinae). Sci. Rep. 2017, 7, 16908. [Google Scholar] [CrossRef] [PubMed]
- Du, Y.M.; Zhang, C.N.; Dietrich, C.H.; Zhang, Y.L.; Dai, W. Characterization of the complete mitochondrial genomes of Maiestas dorsalis and Japananus hyalinus (Hemiptera: Cicadellidae) and comparison with other Membracoidea. Sci. Rep. 2017, 7, 14197. [Google Scholar] [CrossRef]
- Dai, R.H.; Wang, J.J.; Yang, M.F. The complete mitochondrial genome of the leafhopper Idioscopus clypealis (Hemiptera: Cicadellidae: Idiocerinae). Mitochondrial DNA Part B Resour. 2017, 3, 32–33. [Google Scholar] [CrossRef]
- Wang, J.J.; Wu, Y.F.; Yang, M.F.; Dai, R.H. The Phylogenetic Implications of the Mitochondrial Genomes of Macropsis notata and Oncopsis nigrofasciata. Front. Genet. 2020, 11, 443. [Google Scholar] [CrossRef] [PubMed]
- Lu, X.Y.; Zhang, Q.F.; Jiang, D.D.; Wang, T.; Sun, Y.; Du, C.H.; Zhang, L.; Yang, X. Characterization of the complete mitochondrial genome of Haemaphysalis (Alloceraea) kolonini (Ixodidae) and its phylogenetic implications. Parasitol. Res. 2022, 121, 1951–1962. [Google Scholar] [CrossRef] [PubMed]
- Mao, M.; Yang, X.S.; Bennett, G. The complete mitochondrial genome of Macrosteles quadrilineatus (Hemiptera: Cicadellidae). Mitochondrial DNA Part B Resour. 2017, 2, 173–175. [Google Scholar] [CrossRef]
- Wang, J.J.; Li, H.; Dai, R.H. Complete mitochondrial genome of Taharana fasciana (Insecta, Hemiptera: Cicadellidae) and comparison with other Cicadellidae insects. Genetica 2017, 145, 593–602. [Google Scholar] [CrossRef]
- Wang, J.J.; Yang, M.F.; Dai, R.H.; Li, H. Complete mitochondrial genome of Evacanthus heimianus (Hemiptera: Cicadellidae: Evacanthinae) from China. Mitochondrial DNA Part B Resour. 2018, 4, 284–285. [Google Scholar] [CrossRef]
- Wang, J.J.; Yang, M.F.; Dai, R.H.; Li, H.; Wang, X.Y. Characterization and phylogenetic implications of the complete mitochondrial genome of Idiocerinae (Hemiptera: Cicadellidae). Int. J. Biol. Macromol. 2018, 120, 2366–2372. [Google Scholar] [CrossRef]
- Yuan, Z.W.; Yang, X.; Li, C.; Song, Y.H. The complete mitochondrial genome of the leafhopper Evacanthus acuminatus (Hemiptera: Cicadellidae: Evacanthinae). Mitochondrial DNA Part B Resour. 2019, 4, 3866–3867. [Google Scholar] [CrossRef]
- Jiang, Y.; Li, H.X.; Yu, X.F.; Yang, M.F. Characterization of two complete mitochondrial genomes of Atkinsoniella (Hemiptera: Cicadellidae: Cicadellinae) and the phylogenetic implications. Insects 2021, 12, 338. [Google Scholar] [CrossRef] [PubMed]
- Jiang, Y.; Li, H.X.; Yu, X.F.; Yang, M.F. Comparative analysis of mitochondrial genomes among twelve sibling species of the genus Atkinsoniella Distant, 1908 (Hemiptera: Cicadellidae: Cicadellinae) and phylogenetic analysis. Insects 2022, 13, 254. [Google Scholar] [CrossRef]
- Jia, W.Z.; Yan, H.B.; Guo, A.J.; Zhu, X.Q.; Wang, Y.C.; Shi, W.G.; Chen, H.T.; Zhan, F.; Zhang, S.H.; Fu, B.Q.; et al. Complete mitochondrial genomes of Taenia multiceps, T. hydatigena and T. pisiformis: Additional molecular markers for a tapeworm genus of human and animal health significance. BMC Genom. 2010, 11, 447. [Google Scholar] [CrossRef]
- Ma, L.; Liu, F.F.; Chiba, H.; Yuan, X. The mitochondrial genomes of three skippers: Insights into the evolution of the family Hesperiidae (Lepidoptera). Genomics 2020, 112, 432–441. [Google Scholar] [CrossRef]
- Huang, W.J.; Zhang, Y.L. Characterization of Two Complete Mitochondrial Genomes of Ledrinae (Hemiptera: Cicadellidae) and Phylogenetic Analysis. Insects 2020, 11, 609. [Google Scholar] [CrossRef] [PubMed]
- Wu, C.; Zhou, Y.; Tian, T.; Li, T.J.; Chen, B. First report of complete mitochondrial genome in the subfamily Alleculinae and mitochondrial genome-based phylogenetics in Tenebrionidae (Coleoptera: Tenebrionoidea). Insect. Sci. 2022, 29, 1226–1238. [Google Scholar] [CrossRef]
- Ding, W.; Xu, H.; Wu, Z.; Hu, L.; Huang, L.; Yang, M.; Li, L. The mitochondrial genomes of the Geometroidea (Lepidoptera) and their phylogenetic implications. Ecol. Evol. 2023, 13, e9813. [Google Scholar] [CrossRef] [PubMed]
- Wong, E.H.; Smith, D.K.; Rabadan, R.; Peiris, M.; Poon, L.L. Codon usage bias and the evolution of influenza A viruses. Codon Usage Biases of Influenza Virus. BMC Evol. Biol. 2010, 10, 253. [Google Scholar] [CrossRef] [PubMed]
- Mazumder, T.H.; Uddin, A.; Chakraborty, S. Insights into the nucleotide composition and codon usage pattern of human tumor suppressor genes. Mol. Carcinog. 2019, 59, 15–23. [Google Scholar] [CrossRef] [PubMed]
- Kumar, U.; Khandia, R.; Singhal, S.; Puranik, N.; Tripathi, M.; Pateriya, A.K.; Khan, R.; Emran, T.B.; Dhama, K.; Munjal, A.; et al. Insight into Codon Utilization Pattern of Tumor Suppressor Gene EPB41L3 from Different Mammalian Species Indicates Dominant Role of Selection Force. Cancers 2021, 13, 2739. [Google Scholar] [CrossRef]
- Butt, A.M.; Nasrullah, I.; Tong, Y.G. Genome-wide analysis of codon usage and influencing factors in chikungunya viruses. PLoS ONE 2014, 9, e90905. [Google Scholar] [CrossRef] [PubMed]
- Du, Y.M.; Dietrich, C.H.; Dai, W. Complete mitochondrial genome of Macrosteles quadrimaculatus (Matsumura) (Hemiptera: Cicadellidae: Deltocephalinae) with a shared tRNA rearrangement and its phylogenetic implications. Int. J. Biol. Macromol. 2019, 122, 1027–1034. [Google Scholar] [CrossRef]
- Wang, X.Y.; Fan, Z.H.; Li, Z.Z.; Dai, R.H. Key to genera of Chinese Coelidiinae leafhoppers, with description a new species of the leafhopper genus Baseprocessa (Hemiptera: Auchenorrhyncha: Cicadellidae). Zootaxa 2019, 4701, 454–460. [Google Scholar] [CrossRef]
- Wang, X.Y.; Wang, J.J.; Dai, R.H. Mitogenomics of five Olidiana leafhoppers (Hemiptera: Cicadellidae: Coelidiinae) and their phylogenetic implications. PeerJ 2021, 9, e11086. [Google Scholar] [CrossRef]
- Dietrich, C.H.; Rakitov, R.A.; Holmes, J.L.; Black, W.C., IV. Phylogeny of the major lineages of Membracoidea (Insecta: Hemiptera: Cicadomorpha) based on 28S rDNA sequences. Mol. Phylogenet. Evol. 2001, 18, 293–305. [Google Scholar] [CrossRef]
- Zhao, X.; Liang, A.P. Complete DNA sequence of the mitochondrial genome of the treehopper Leptobelus gazella (Membracoidea: Hemiptera). Mitochondrial DNA A DNA Mapp. Seq. Anal. 2016, 27, 3318–3319. [Google Scholar] [CrossRef]
- Dietrich, C.H.; Allen, J.M.; Lemmon, A.R.; Lemmon, E.M.; Takiya, D.M.; Evangelista, O.; Walden, K.K.O.; Grady, P.G.S.; Johnson, K.P. Anchored Hybrid Enrichment-Based Phylogenomics of Leafhoppers and Treehoppers (Hemiptera: Cicadomorpha: Membracoidea). Insect Syst. Divers. 2017, 1, 57–72. [Google Scholar] [CrossRef]
- Skinner, R.K.; Dietrich, C.H.; Walden, K.K.O.; Gordon, E.; Sweet, A.D.; Podsiadlowski, L.; Petersen, M.; Simon, C.; Takiya, D.M.; Johnson, K.P. Phylogenomics of Auchenorrhyncha (Insecta: Hemiptera) using transcriptomes: Examining controversial relationships via degeneracy coding and interrogation of gene conflict. Syst. Entomol. 2019, 45, 85–113. [Google Scholar] [CrossRef]
- Wang, X.Y.; Wang, J.J.; Dai, R.H. Structural features of the mitogenome of the leafhopper genus Cladolidia (Hemiptera: Cicadellidae: Coelidiinae) and phylogenetic implications in Cicadellidae. Ecol. Evol. 2021, 11, 12554–12566. [Google Scholar] [CrossRef]
- Hebert, P.D.; Cywinska, A.; Ball, S.L.; deWaard, J.R. Biological identifications through DNA barcodes. Proc. Biol. Sci. 2003, 270, 313–321. [Google Scholar] [CrossRef] [PubMed]
- Shi, F.M.; Yu, T.; Xu, Y.B.; Zhang, S.N.; Niu, Y.M.; Ge, S.X.; Tao, J.; Zong, S.X. Comparative mitochondrial genomic analysis provides new insights into the evolution of the subfamily Lamiinae (Coleoptera: Cerambycidae). Int. J. Biol. Macromol. 2023, 225, 634–647. [Google Scholar] [CrossRef] [PubMed]
- Jia, X.; Liu, S.Y.; Zheng, H.; Li, B.; Qi, Q.; Wei, L.; Zhao, T.Y.; He, J.; Sun, J.C. Non-uniqueness of factors constraint on the codon usage in Bombyx mori. BMC Genom. 2015, 16, 356. [Google Scholar] [CrossRef] [PubMed]
- Xue, Q.Q.; Dietrich, C.H.; Zhang, Y.L. Phylogeny and classification of the leafhopper subfamily Eurymelinae (Hemiptera: Cicadellidae) inferred from molecules and morphology. Syst. Entomol. 2020, 45, 687–702. [Google Scholar] [CrossRef]








| Species | Feature | Length (bp) | A% | G% | C% | T% | AT Skew | CG Skew |
|---|---|---|---|---|---|---|---|---|
| K. expansiva | Whole mitogenome | 15,334 | 46.9 | 7.9 | 10.6 | 34.5 | 0.15 | −0.15 |
| Control region | 1108 | 44.8 | 4.2 | 4.6 | 46.5 | −0.02 | −0.05 | |
| 13 PCGs | 10,942 | 34.3 | 10.1 | 9.8 | 45.7 | −0.14 | 0.02 | |
| 22 tRNAs | 1423 | 40.6 | 11.0 | 7.0 | 41.3 | −0.01 | 0.22 | |
| 2 rRNAs | 1896 | 34.7 | 9.9 | 6.6 | 52.4 | −0.26 | 0.20 | |
| K. furcata | Whole mitogenome | 15,169 | 46.2 | 8.2 | 11.9 | 33.8 | 0.15 | −0.18 |
| Control region | 876 | 48.2 | 5.0 | 8.3 | 38.5 | 0.11 | −0.25 | |
| 13 PCGs | 10,943 | 34.3 | 10.6 | 10.8 | 44.3 | −0.13 | −0.01 | |
| 22 tRNAs | 1430 | 41.3 | 10.8 | 7.6 | 40.3 | 0.01 | 0.22 | |
| 2 rRNAs | 1918 | 30.9 | 10.7 | 6.5 | 51.9 | −0.25 | 0.25 | |
| K. nigromarginata | Whole mitogenome | 14,808 | 45.4 | 8.0 | 11.7 | 34.9 | 0.13 | −0.19 |
| Control region | 470 | 51.7 | 6.8 | 8.7 | 32.8 | 0.22 | −0.12 | |
| 13 PCGs | 10,952 | 34.4 | 10.2 | 10.2 | 45.1 | −0.13 | 0 | |
| 22 tRNAs | 1428 | 41.9 | 10.6 | 8.3 | 39.2 | 0.03 | 0.12 | |
| 2 rRNAs | 1910 | 34.0 | 10.2 | 5.8 | 50.0 | −0.19 | 0.27 | |
| K. quadrimaculosus | Whole mitogenome | 14,442 | 49.1 | 7.8 | 12.0 | 31.1 | 0.22 | −0.21 |
| Control region | 224 | 55.4 | 4.9 | 4.9 | 34.8 | 0.23 | 0 | |
| 13 PCGs | 10,936 | 34.7 | 10.2 | 10.6 | 44.8 | −0.13 | −0.03 | |
| 22 tRNAs | 1424 | 41.6 | 11.0 | 7.4 | 40.0 | 0.02 | 0.20 | |
| 2 rRNAs | 1903 | 28.3 | 10.6 | 6.8 | 54.3 | −0.31 | 0.22 |
| Species | ENC | GCall/% | CG1/% | CG2/% | CG3/% |
|---|---|---|---|---|---|
| K. expansiva | 37.79 | 19.9 | 21.3 | 23.83 | 14.56 |
| K. furcata | 37.98 | 21.37 | 22.97 | 24.73 | 16.4 |
| K. nigromarginata | 37.94 | 20.45 | 22.45 | 24.27 | 14.64 |
| K. quadrimaculosus | 38.35 | 20.49 | 22.48 | 23.77 | 15.22 |
| ATP6: | 0.348 | CYTB: | −0.481 | ND4L: | −0.351 |
| ATP8: | −0.951 * | ND1: | 0.067 | ND5: | 0.173 |
| COI: | 0.543 | ND2: | 0.445 | ND6: | −0.328 |
| COII: | −0.846 | ND3: | 0.701 | ||
| COIII: | 0.438 | ND4: | 0.568 |
| Species | ATP6 | ATP8 | COI | COII | COIII | CYTB | ND1 | ND2 | ND3 | ND4 | ND4L | ND5 | ND6 |
|---|---|---|---|---|---|---|---|---|---|---|---|---|---|
| K. expansiva | 0.698 | 0.819 | 0.637 | 0.763 | 0.686 | 0.791 | 0.135 | 0.632 | 0.636 | 0.147 | 0.103 | 0.234 | 0.832 |
| K. furcata | 0.769 | 0.839 | 0.654 | 0.791 | 0.759 | 0.796 | 0.145 | 0.611 | 0.693 | 0.226 | 0.114 | 0.253 | 0.925 |
| K. nigromarginata | 0.706 | 0.894 | 0.617 | 0.763 | 0.714 | 0.784 | 0.160 | 0.584 | 0.681 | 0.218 | 0.073 | 0.305 | 0.821 |
| K. quadrimaculosus | 0.851 | 0.987 | 0.692 | 0.797 | 0.786 | 0.900 | 0.070 | 0.711 | 0.775 | 0.083 | 0.013 | 0.179 | 0.983 |
| Dataset | NumOTU | Observed Iss | Iss.cSym a | Psym b | Iss.cAsym c | Pasym d |
|---|---|---|---|---|---|---|
| PCG12RNA | 16 | 0.332 | 0.845 | 0.0000 | 0.679 | 0.0000 |
| 32 | 0.344 | 0.816 | 0.0000 | 0.571 | 0.0000 | |
| PCG12 | 16 | 0.324 | 0.841 | 0.0000 | 0.681 | 0.0000 |
| 32 | 0.330 | 0.814 | 0.0000 | 0.570 | 0.0000 |
Disclaimer/Publisher’s Note: The statements, opinions and data contained in all publications are solely those of the individual author(s) and contributor(s) and not of MDPI and/or the editor(s). MDPI and/or the editor(s) disclaim responsibility for any injury to people or property resulting from any ideas, methods, instructions or products referred to in the content. |
© 2023 by the authors. Licensee MDPI, Basel, Switzerland. This article is an open access article distributed under the terms and conditions of the Creative Commons Attribution (CC BY) license (https://creativecommons.org/licenses/by/4.0/).
Share and Cite
Yang, Y.; Wang, J.; Dai, R.; Wang, X. Structural Characteristics and Phylogenetic Analysis of the Mitochondrial Genomes of Four Krisna Species (Hemiptera: Cicadellidae: Iassinae). Genes 2023, 14, 1175. https://doi.org/10.3390/genes14061175
Yang Y, Wang J, Dai R, Wang X. Structural Characteristics and Phylogenetic Analysis of the Mitochondrial Genomes of Four Krisna Species (Hemiptera: Cicadellidae: Iassinae). Genes. 2023; 14(6):1175. https://doi.org/10.3390/genes14061175
Chicago/Turabian StyleYang, Yanqiong, Jiajia Wang, Renhuai Dai, and Xianyi Wang. 2023. "Structural Characteristics and Phylogenetic Analysis of the Mitochondrial Genomes of Four Krisna Species (Hemiptera: Cicadellidae: Iassinae)" Genes 14, no. 6: 1175. https://doi.org/10.3390/genes14061175
APA StyleYang, Y., Wang, J., Dai, R., & Wang, X. (2023). Structural Characteristics and Phylogenetic Analysis of the Mitochondrial Genomes of Four Krisna Species (Hemiptera: Cicadellidae: Iassinae). Genes, 14(6), 1175. https://doi.org/10.3390/genes14061175

