CoNet: Efficient Network Regression for Survival Analysis in Transcriptome-Wide Association Studies—With Applications to Studies of Breast Cancer
Abstract
1. Introduction
2. Materials and Methods
2.1. eQTL Study
2.2. Gene Expression Prediction
2.3. PMI between Two Predicted Gene Expressions in TWAS Framework
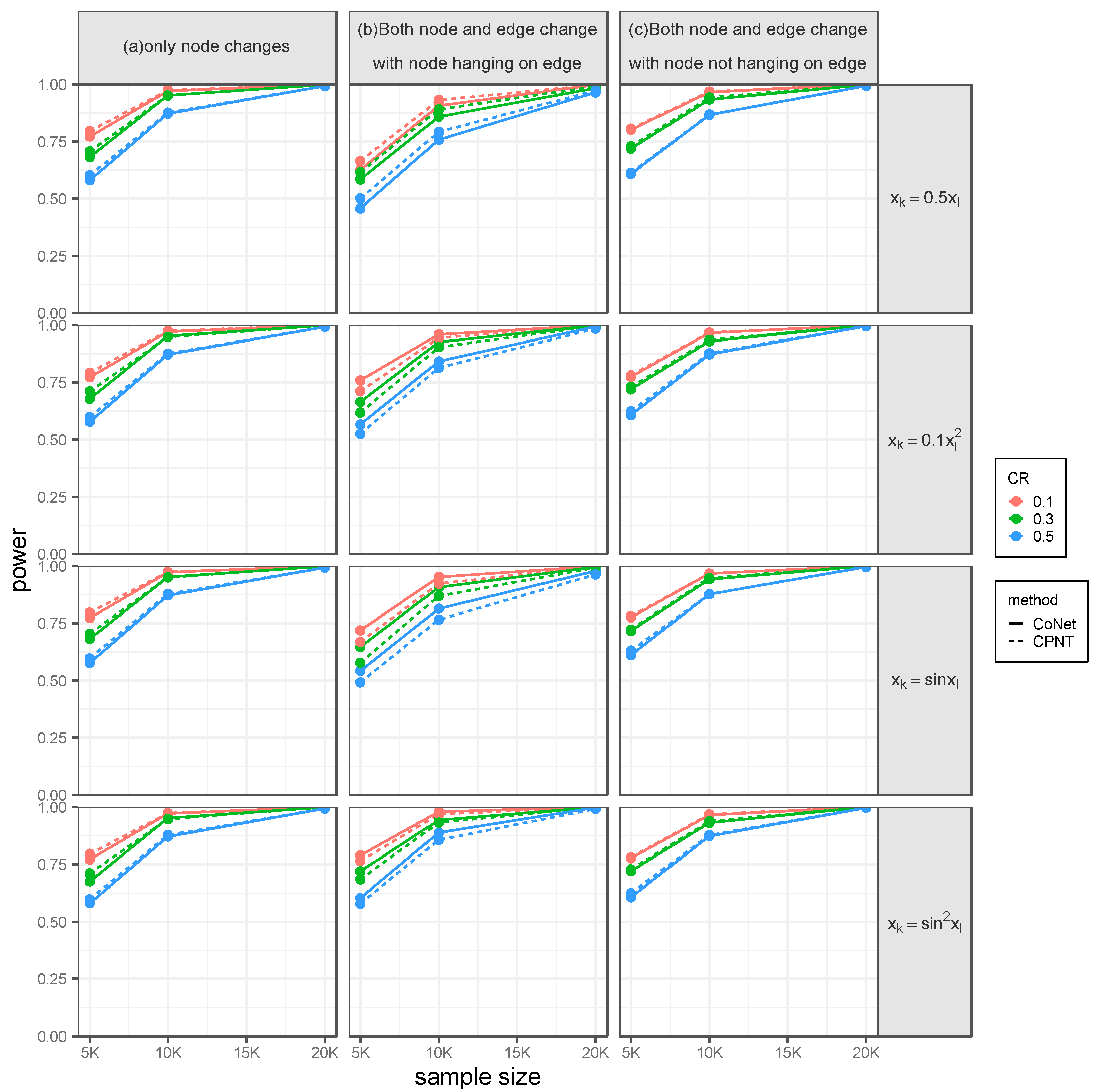
2.4. Simulation Study
2.5. Real Data Analysis
3. Results
3.1. Simulation
3.2. Application
4. Discussion
5. Conclusions
Supplementary Materials
Author Contributions
Funding
Institutional Review Board Statement
Informed Consent Statement
Data Availability Statement
Acknowledgments
Conflicts of Interest
References
- Zeng, P.; Zhao, Y.; Qian, C.; Zhang, L.; Zhang, R.; Gou, J.; Liu, J.; Liu, L.; Chen, F. Statistical Analysis for Genome-Wide Association Study. J. Biomed. Res. 2015, 29, 285. [Google Scholar] [PubMed]
- Li, B.; Ritchie, M.D. From GWAS to Gene: Transcriptome-Wide Association Studies and Other Methods to Functionally Understand GWAS Discoveries. Front. Genet. 2021, 12, 713230. [Google Scholar] [CrossRef] [PubMed]
- Bossé, Y.; Li, Z.; Xia, J.; Manem, V.; Carreras-Torres, R.; Gabriel, A.; Gaudreault, N.; Albanes, D.; Aldrich, M.C.; Andrew, A.; et al. Transcriptome-wide Association Study Reveals Candidate Causal Genes for Lung Cancer. Int. J. Cancer 2020, 146, 1862–1878. [Google Scholar] [CrossRef] [PubMed]
- Gong, L.; Zhang, D.; Lei, Y.; Qian, Y.; Tan, X.; Han, S. Transcriptome-Wide Association Study Identifies Multiple Genes and Pathways Associated with Pancreatic Cancer. Cancer Med. 2018, 7, 5727–5732. [Google Scholar] [CrossRef]
- Gusev, A.; Mancuso, N.; Won, H.; Kousi, M.; Finucane, H.K.; Reshef, Y.; Song, L.; Safi, A.; McCarroll, S.; Neale, B.; et al. Transcriptome-Wide Association Study of Schizophrenia and Chromatin Activity Yields Mechanistic Disease Insights. Nat. Genet. 2018, 50, 538–548. [Google Scholar] [CrossRef]
- Gamazon, E.R.; Wheeler, H.E.; Shah, K.P.; Mozaffari, S.V.; Aquino-Michaels, K.; Carroll, R.J.; Eyler, A.E.; Denny, J.C.; Nicolae, D.L.; Cox, N.J.; et al. A Gene-Based Association Method for Mapping Traits Using Reference Transcriptome Data. Nat. Genet. 2015, 47, 1091–1098. [Google Scholar] [CrossRef]
- Gusev, A.; Ko, A.; Shi, H.; Bhatia, G.; Chung, W.; Penninx, B.W.J.H.; Jansen, R.; de Geus, E.J.C.; Boomsma, D.I.; Wright, F.A.; et al. Integrative Approaches for Large-Scale Transcriptome-Wide Association Studies. Nat. Genet. 2016, 48, 245–252. [Google Scholar] [CrossRef]
- Zeng, P.; Zhou, X. Non-Parametric Genetic Prediction of Complex Traits with Latent Dirichlet Process Regression Models. Nat. Commun. 2017, 8, 456. [Google Scholar] [CrossRef]
- Nagpal, S.; Meng, X.; Epstein, M.P.; Tsoi, L.C.; Patrick, M.; Gibson, G.; De Jager, P.L.; Bennett, D.A.; Wingo, A.P.; Wingo, T.S.; et al. TIGAR: An Improved Bayesian Tool for Transcriptomic Data Imputation Enhances Gene Mapping of Complex Traits. Am. J. Hum. Genet. 2019, 105, 258–266. [Google Scholar] [CrossRef]
- Tang, S.; Buchman, A.S.; De Jager, P.L.; Bennett, D.A.; Epstein, M.P.; Yang, J. Novel Variance-Component TWAS Method for Studying Complex Human Diseases with Applications to Alzheimer’s Dementia. PLoS Genet. 2021, 17, e1009482. [Google Scholar] [CrossRef]
- Yuan, Z.; Zhu, H.; Zeng, P.; Yang, S.; Sun, S.; Yang, C.; Liu, J.; Zhou, X. Testing and Controlling for Horizontal Pleiotropy with Probabilistic Mendelian Randomization in Transcriptome-Wide Association Studies. Nat. Commun. 2020, 11, 3861. [Google Scholar] [CrossRef] [PubMed]
- Liu, L.; Zeng, P.; Xue, F.; Yuan, Z.; Zhou, X. Multi-Trait Transcriptome-Wide Association Studies with Probabilistic Mendelian Randomization. Am. J. Hum. Genet. 2021, 108, 240–256. [Google Scholar] [CrossRef] [PubMed]
- Mancuso, N.; Freund, M.K.; Johnson, R.; Shi, H.; Kichaev, G.; Gusev, A.; Pasaniuc, B. Probabilistic Fine-Mapping of Transcriptome-Wide Association Studies. Nat. Genet. 2019, 51, 675–682. [Google Scholar] [CrossRef] [PubMed]
- Wu, C.; Pan, W. A Powerful Fine-Mapping Method for Transcriptome-Wide Association Studies. Hum. Genet. 2020, 139, 199–213. [Google Scholar] [CrossRef] [PubMed]
- Barabási, A.-L.; Gulbahce, N.; Loscalzo, J. Network Medicine: A Network-Based Approach to Human Disease. Nat. Rev. Genet. 2011, 12, 56–68. [Google Scholar] [CrossRef] [PubMed]
- Lin, W.; Ji, J.; Zhu, Y.; Li, M.; Zhao, J.; Xue, F.; Yuan, Z. PMINR: Pointwise Mutual Information-Based Network Regression—With Application to Studies of Lung Cancer and Alzheimer’s Disease. Front. Genet. 2020, 11, 556259. [Google Scholar] [CrossRef] [PubMed]
- Jin, X.; Zhang, L.; Ji, J.; Ju, T.; Zhao, J.; Yuan, Z. Network Regression Analysis in Transcriptome-Wide Association Studies. BMC Genom. 2022, 23, 562. [Google Scholar] [CrossRef]
- Zhang, L.; Ju, T.; Jin, X.; Ji, J.; Han, J.; Zhou, X.; Yuan, Z. Network Regression Analysis for Binary and Ordinal Categorical Phenotypes in Transcriptome-Wide Association Studies. Genetics 2022, 222, iyac153. [Google Scholar] [CrossRef]
- Johnson, D.C.; Weinhold, N.; Mitchell, J.S.; Chen, B.; Kaiser, M.; Begum, D.B.; Hillengass, J.; Bertsch, U.; Gregory, W.A.; Cairns, D.; et al. Genome-Wide Association Study Identifies Variation at 6q25.1 Associated with Survival in Multiple Myeloma. Nat. Commun. 2016, 7, 10290. [Google Scholar] [CrossRef]
- Labadie, J.D.; Savas, S.; Harrison, T.A.; Banbury, B.; Huang, Y.; Buchanan, D.D.; Campbell, P.T.; Gallinger, S.J.; Giles, G.G.; Gunter, M.J.; et al. Genome-wide Association Study Identifies Tumor Anatomical Site-specific Risk Variants for Colorectal Cancer Survival. Sci. Rep. 2022, 12, 127. [Google Scholar] [CrossRef]
- Cao, C.; Ding, B.; Li, Q.; Kwok, D.; Wu, J.; Long, Q. Power Analysis of Transcriptome-Wide Association Study: Implications for Practical Protocol Choice. PLoS Genet. 2021, 17, e1009405. [Google Scholar] [CrossRef]
- Zeng, P.; Dai, J.; Jin, S.; Zhou, X. Aggregating Multiple Expression Prediction Models Improves the Power of Transcriptome-Wide Association Studies. Hum. Mol. Genet. 2021, 30, 939–951. [Google Scholar] [CrossRef] [PubMed]
- Zhou, X.; Carbonetto, P.; Stephens, M. Polygenic Modeling with Bayesian Sparse Linear Mixed Models. PLoS Genet. 2013, 9, e1003264. [Google Scholar] [CrossRef] [PubMed]
- Church, K.W.; Hanks, P. Word Association Norms, Mutual Information and Lexicography. In Proceedings of the 27th Annual Meeting on Association for Computational Linguistics; Association for Computational Linguistics, Vancouver, BC, Canada, 26–29 June 1989; pp. 76–83. [Google Scholar]
- Duong, T.; Hazelton, M. Plug-in Bandwidth Matrices for Bivariate Kernel Density Estimation. J. Nonparametric Stat. 2003, 15, 17–30. [Google Scholar] [CrossRef]
- Bilock, A.; Jidling, C.; Rydin, Y. Modelling Bivariate Distributions Using Kernel Density Estimation; Uppsala University: Uppsala, Sweden, 2016. [Google Scholar]
- Bender, R.; Augustin, T.; Blettner, M. Generating Survival Times to Simulate Cox Proportional Hazards Models. Stat. Med. 2005, 24, 1713–1723. [Google Scholar] [CrossRef]
- Lappalainen, T.; Sammeth, M.; Friedländer, M.R.; ‘t Hoen, P.A.; Monlong, J.; Rivas, M.A.; Gonzàlez-Porta, M.; Kurbatova, N.; Griebel, T.; Ferreira, P.G.; et al. Transcriptome and Genome Sequencing Uncovers Functional Variation in Humans. Nature 2013, 501, 506–511. [Google Scholar] [CrossRef] [PubMed]
- Wen, X.; Luca, F.; Pique-Regi, R. Cross-Population Joint Analysis of EQTLs: Fine Mapping and Functional Annotation. PLoS Genet. 2015, 11, e1005176. [Google Scholar] [CrossRef] [PubMed]
- Harrow, J.; Frankish, A.; Gonzalez, J.M.; Tapanari, E.; Diekhans, M.; Kokocinski, F.; Aken, B.L.; Barrell, D.; Zadissa, A.; Searle, S. GENCODE: The Reference Human Genome Annotation for The ENCODE Project. Genome Res. 2012, 22, 1760–1774. [Google Scholar] [CrossRef] [PubMed]
- Stegle, O.; Parts, L.; Piipari, M.; Winn, J.; Durbin, R. Using Probabilistic Estimation of Expression Residuals (PEER) to Obtain Increased Power and Interpretability of Gene Expression Analyses. Nat. Protoc. 2012, 7, 500–507. [Google Scholar] [CrossRef]
- Bycroft, C.; Freeman, C.; Petkova, D.; Band, G.; Elliott, L.T.; Sharp, K.; Motyer, A.; Vukcevic, D.; Delaneau, O.; O’Connell, J. The UK Biobank Resource with Deep Phenotyping and Genomic Data. Nature 2018, 562, 203–209. [Google Scholar] [CrossRef]
- Zhang, H.; Zhao, B.; Wang, X.; Zhang, F.; Yu, W. LINC00511 Knockdown Enhances Paclitaxel Cytotoxicity in Breast Cancer via Regulating MiR-29c/CDK6 Axis. Life Sci. 2019, 228, 135–144. [Google Scholar] [CrossRef] [PubMed]
- Hu, W.; Hu, Y.; Pei, Y.; Li, R.; Xu, F.; Chi, X.; Mi, J.; Bergquist, J.; Lu, L.; Zhang, L. Silencing DTX3L Inhibits the Progression of Cervical Carcinoma by Regulating PI3K/AKT/MTOR Signaling Pathway. Int. J. Mol. Sci. 2023, 24, 861. [Google Scholar] [CrossRef] [PubMed]
- Knüpfer, H.; Preiß, R. Significance of Interleukin-6 (IL-6) in Breast Cancer. Breast Cancer Res. Treat. 2007, 102, 129–135. [Google Scholar] [CrossRef] [PubMed]
- Zhang, Y.; Lu, Q.; Li, N.; Xu, M.; Miyamoto, T.; Liu, J. Sulforaphane Suppresses Metastasis of Triple-Negative Breast Cancer Cells by Targeting the RAF/MEK/ERK Pathway. NPJ Breast Cancer 2022, 8, 40. [Google Scholar] [CrossRef]
- Dong, H.; Zhu, L.; Sun, J.; Zhang, Y.; Cui, Q.; Wu, L.; Chen, S.; Lu, J. Pan-Cancer Analysis of NEDD4L and Its Tumor Suppressor Effects in Clear Cell Renal Cell Carcinoma. J. Cancer 2021, 12, 6242. [Google Scholar] [CrossRef]
- Fang, Q.; Yao, S.; Luo, G.; Zhang, X. Identification of Differentially Expressed Genes in Human Breast Cancer Cells Induced by 4-Hydroxyltamoxifen and Elucidation of Their Pathophysiological Relevance and Mechanisms. Oncotarget 2018, 9, 2475. [Google Scholar] [CrossRef]
- Urano, T.; Saito, T.; Tsukui, T.; Fujita, M.; Hosoi, T.; Muramatsu, M.; Ouchi, Y.; Inoue, S. Efp Targets 14-3-3σ for Proteolysis and Promotes Breast Tumour Growth. Nature 2002, 417, 871–875. [Google Scholar] [CrossRef]



| Network | KEGG | Overlap | ||
|---|---|---|---|---|
| Node | Edge | Node | Edge | |
| hsa04115 | 73 | 88 | 68 | 82 |
| hsa04330 | 59 | 164 | 57 | 131 |
| hsa04623 | 75 | 100 | 60 | 73 |
| hsa04960 | 37 | 37 | 31 | 31 |
| hsa04622 | 71 | 147 | 53 | 86 |
| hsa05211 | 68 | 98 | 62 | 31 |
| hsa04630-nt06219 | 7 | 6 | 7 | 6 |
| Total | 390 | 640 | 338 | 440 |
| Scenario 1: Only Node Changes | ||||
| Correlation patterns | Methods | Censoring rate | ||
| 0.1 | 0.3 | 0.5 | ||
| CoNet | 0.051 | 0.050 | 0.046 | |
| CPNT | 0.051 | 0.047 | 0.048 | |
| CoNet | 0.038 | 0.049 | 0.043 | |
| CPNT | 0.039 | 0.050 | 0.044 | |
| CoNet | 0.037 | 0.047 | 0.043 | |
| CPNT | 0.040 | 0.048 | 0.045 | |
| CoNet | 0.037 | 0.045 | 0.043 | |
| CPNT | 0.040 | 0.050 | 0.045 | |
| Scenario 2: Both node and edge change with node hanging on the edge | ||||
| Correlation patterns | Methods | Censoring rate | ||
| 0.1 | 0.3 | 0.5 | ||
| CoNet | 0.044 | 0.046 | 0.047 | |
| CPNT | 0.048 | 0.044 | 0.051 | |
| CoNet | 0.051 | 0.047 | 0.055 | |
| CPNT | 0.057 | 0.049 | 0.052 | |
| CoNet | 0.046 | 0.048 | 0.054 | |
| CPNT | 0.046 | 0.046 | 0.054 | |
| CoNet | 0.058 | 0.055 | 0.055 | |
| CPNT | 0.053 | 0.045 | 0.053 | |
| Scenario 3: Both node and edge change with node not hanging on the edge | ||||
| Correlation patterns | Methods | Censoring rate | ||
| 0.1 | 0.3 | 0.5 | ||
| CoNet | 0.047 | 0.061 | 0.068 | |
| CPNT | 0.044 | 0.055 | 0.064 | |
| CoNet | 0.069 | 0.068 | 0.061 | |
| CPNT | 0.060 | 0.071 | 0.054 | |
| CoNet | 0.069 | 0.069 | 0.061 | |
| CPNT | 0.058 | 0.071 | 0.057 | |
| CoNet | 0.068 | 0.068 | 0.062 | |
| CPNT | 0.059 | 0.072 | 0.058 | |
| Scenario 1: Only Edge Changes | ||||
| Correlation patterns | Methods | Censoring rates | ||
| 0.1 | 0.3 | 0.5 | ||
| CoNet | 0.049 | 0.039 | 0.043 | |
| CPNT | 0.046 | 0.040 | 0.043 | |
| CoNet | 0.055 | 0.058 | 0.054 | |
| CPNT | 0.042 | 0.055 | 0.056 | |
| CoNet | 0.040 | 0.048 | 0.049 | |
| CPNT | 0.040 | 0.054 | 0.052 | |
| CoNet | 0.050 | 0.050 | 0.042 | |
| CPNT | 0.043 | 0.058 | 0.060 | |
| Scenario 2: Both node and edge change with node hanging on the edge | ||||
| Correlation patterns | Methods | Censoring rates | ||
| 0.1 | 0.3 | 0.5 | ||
| CoNet | 0.051 | 0.053 | 0.049 | |
| CPNT | 0.053 | 0.060 | 0.051 | |
| CoNet | 0.056 | 0.052 | 0.054 | |
| CPNT | 0.056 | 0.053 | 0.046 | |
| CoNet | 0.058 | 0.060 | 0.053 | |
| CPNT | 0.056 | 0.058 | 0.058 | |
| CoNet | 0.042 | 0.044 | 0.039 | |
| CPNT | 0.057 | 0.056 | 0.050 | |
| Scenario 3: Both node and edge change with node not hanging on the edge | ||||
| Correlation patterns | Methods | Censoring rates | ||
| 0.1 | 0.3 | 0.5 | ||
| CoNet | 0.069 | 0.044 | 0.063 | |
| CPNT | 0.059 | 0.039 | 0.055 | |
| CoNet | 0.056 | 0.052 | 0.055 | |
| CPNT | 0.056 | 0.053 | 0.052 | |
| CoNet | 0.064 | 0.057 | 0.053 | |
| CPNT | 0.059 | 0.056 | 0.058 | |
| CoNet | 0.043 | 0.046 | 0.039 | |
| CPNT | 0.066 | 0.054 | 0.050 | |
| CoNet | CPNT | |||
|---|---|---|---|---|
| Node | Edge | Node | Edge | |
| hsa04115 | CDK6 (p = 0.048) | GADD45A_CDK1 (p = 0.027) | CDK6 (p = 0.043) | / |
| hsa04623 | IL6 (p = 0.012) | / | / | / |
| hsa04622 | / | DDX58_TRIM25 (p = 1.15 × 10−3) MAP3K1_MAPK12 (p = 0.027) | / | / |
| hsa05211 | / | VHL_EP300 (p = 5.78 × 10−6) | / | / |
| hsa04960 | NEDD4L_SFN (p = 3.28 × 10−3) | / | ||
| hsa04330 | DTX3L (p = 0.034) MAML2 (p = 0.096) | NOTCH2_DVL2 (p = 0.011) NOTCH4_DVL2(p = 1.26 × 10−3) | DTX3L (p = 0.012) MAML2(p = 0.043) | / |
Disclaimer/Publisher’s Note: The statements, opinions and data contained in all publications are solely those of the individual author(s) and contributor(s) and not of MDPI and/or the editor(s). MDPI and/or the editor(s) disclaim responsibility for any injury to people or property resulting from any ideas, methods, instructions or products referred to in the content. |
© 2023 by the authors. Licensee MDPI, Basel, Switzerland. This article is an open access article distributed under the terms and conditions of the Creative Commons Attribution (CC BY) license (https://creativecommons.org/licenses/by/4.0/).
Share and Cite
Han, J.; Zhang, L.; Yan, R.; Ju, T.; Jin, X.; Wang, S.; Yuan, Z.; Ji, J. CoNet: Efficient Network Regression for Survival Analysis in Transcriptome-Wide Association Studies—With Applications to Studies of Breast Cancer. Genes 2023, 14, 586. https://doi.org/10.3390/genes14030586
Han J, Zhang L, Yan R, Ju T, Jin X, Wang S, Yuan Z, Ji J. CoNet: Efficient Network Regression for Survival Analysis in Transcriptome-Wide Association Studies—With Applications to Studies of Breast Cancer. Genes. 2023; 14(3):586. https://doi.org/10.3390/genes14030586
Chicago/Turabian StyleHan, Jiayi, Liye Zhang, Ran Yan, Tao Ju, Xiuyuan Jin, Shukang Wang, Zhongshang Yuan, and Jiadong Ji. 2023. "CoNet: Efficient Network Regression for Survival Analysis in Transcriptome-Wide Association Studies—With Applications to Studies of Breast Cancer" Genes 14, no. 3: 586. https://doi.org/10.3390/genes14030586
APA StyleHan, J., Zhang, L., Yan, R., Ju, T., Jin, X., Wang, S., Yuan, Z., & Ji, J. (2023). CoNet: Efficient Network Regression for Survival Analysis in Transcriptome-Wide Association Studies—With Applications to Studies of Breast Cancer. Genes, 14(3), 586. https://doi.org/10.3390/genes14030586
