A Distribution-Free Model for Longitudinal Metagenomic Count Data
Abstract
1. Introduction
2. Materials and Methods
2.1. Overview of Longitudinal Zero-Inflated Poisson (ZIP) and Zero-Inflated Negative Binomial (ZINB) Models
2.2. Functional Response Models (FRM) for Zero-Inflated Count Responses
2.3. FRM Model Inference
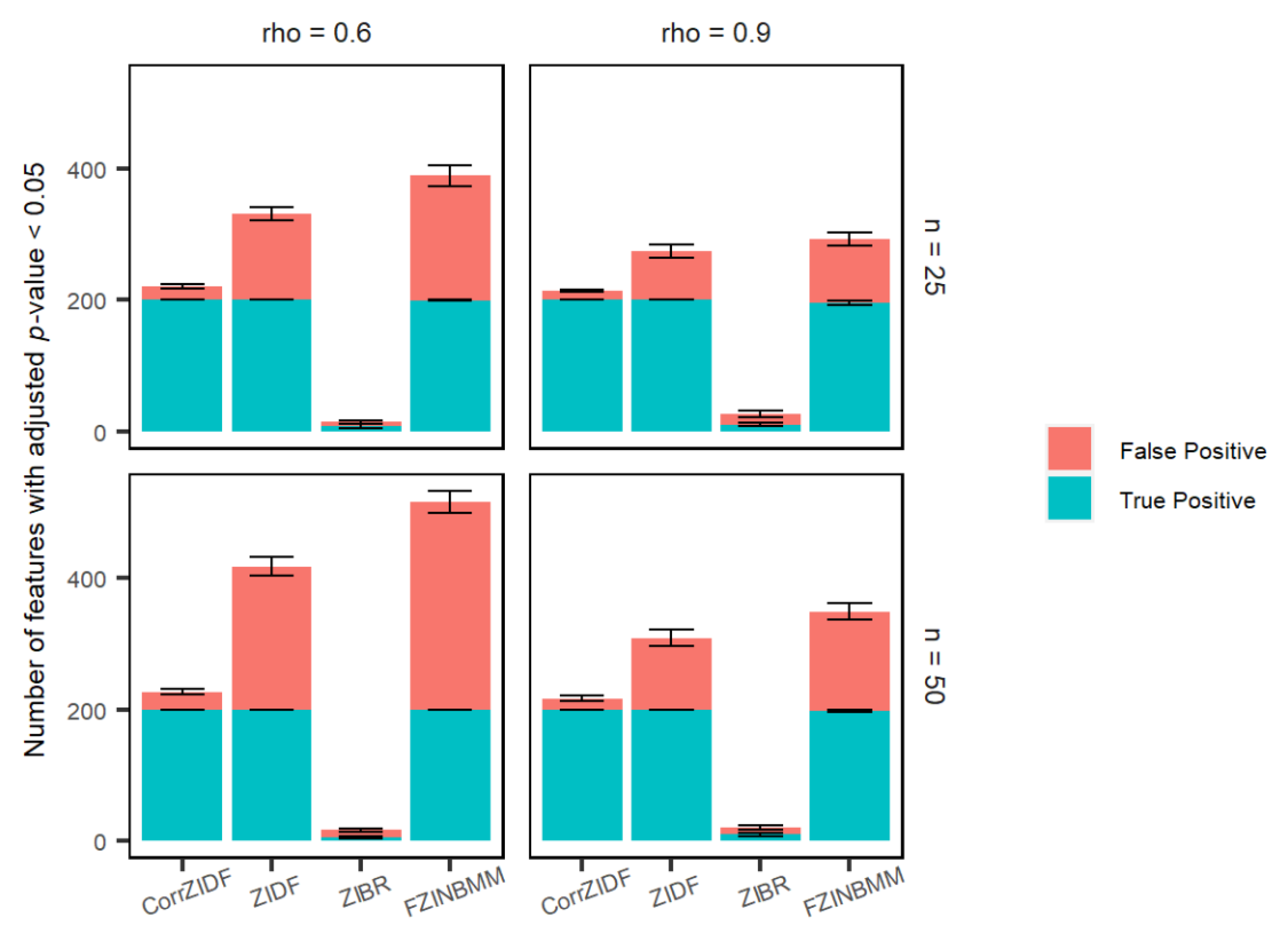
2.4. Simulation Setting
3. Results
3.1. Simulation Results
3.2. Real Data Analysis
3.2.1. Pregnancy Study
3.2.2. Humanized Gnotobiotic Mouse Gut Study
4. Discussion
Supplementary Materials
Author Contributions
Funding
Data Availability Statement
Conflicts of Interest
References
- Faust, K.; Lahti, L.; Gonze, D.; de Vos, W.M.; Raes, J. Metagenomics meets time series analysis: Unraveling microbial community dynamics. Curr. Opin. Microbiol. 2015, 25, 56–66. [Google Scholar] [CrossRef]
- Faust, K.; Lima-Mendez, G.; Lerat, J.-S.; Sathirapongsasuti, J.F.; Knight, R.T.; Huttenhower, C.; Lenaerts, T.; Raes, J.; Faust, K.; Lima-Mendez, G.; et al. Cross-biome comparison of microbial association networks. Front. Microbiol. 2015, 6, 1200. [Google Scholar] [CrossRef] [PubMed]
- Knight, R.; Jansson, J.; Field, D.; Fierer, N.; Desai, N.; Fuhrman, J.; Hugenholtz, P.; Van Der Lelie, D.; Meyer, F.; Stevens, R.; et al. Unlocking the potential of metagenomics through replicated experimental design. Nat. Biotechnol. 2012, 30, 513–520. [Google Scholar] [CrossRef] [PubMed]
- Portillo, M.C.; Anderson, S.; Fierer, N. Temporal variability in the diversity and composition of stream bacterioplankton communities. Environ. Microbiol. 2012, 14, 2417–2428. [Google Scholar] [CrossRef] [PubMed]
- Lauber, C.L.; Ramirez, K.; Aanderud, Z.; Lennon, J.T.; Fierer, N. Temporal variability in soil microbial communities across land-use types. ISME J. 2013, 7, 1641–1650. [Google Scholar] [CrossRef] [PubMed]
- Unterseher, M.; Jumpponen, A.; Öpik, M.; Tedersoo, L.; Moora, M.; Dormann, C.F.; Schnittler, M. Species abundance distributions and richness estimations in fungal metagenomics-lessons learned from community ecology. Mol. Ecol. 2010, 20, 275–285. [Google Scholar] [CrossRef] [PubMed]
- Coddington, J.A.; Agnarsson, I.; Miller, J.A.; Kuntner, M.; Hormiga, G. Undersampling bias: The null hypothesis for singleton species in tropical arthropod surveys. J. Anim. Ecol. 2009, 78, 573–584. [Google Scholar] [CrossRef]
- Anders, S.; Huber, W. Differential expression analysis for sequence count data. Genome Biol. 2010, 11, R106. [Google Scholar] [CrossRef]
- Robinson, M.D.; McCarthy, D.J.; Smyth, G.K. EdgeR: A Bioconductor package for differential expression analysis of digital gene expression data. Bioinformatics 2010, 26, 139–140. [Google Scholar] [CrossRef]
- Zhang, H.; Xia, Y.; Chen, R.; Gunzler, D.; Tang, W.; Tu, X. Modeling longitudinal binomial responses: Implications from two dueling paradigms. J. Appl. Stat. 2011, 38, 2373–2390. [Google Scholar] [CrossRef]
- Hall, D.B.; Zhang, Z. Marginal models for zero inflated clustered data. Stat. Model. 2004, 4, 161–180. [Google Scholar] [CrossRef]
- Dobbie, M.J.; Welsh, A. Theory & Methods: Modelling Correlated Zero-inflated Count Data. Aust. N. Z. J. Stat. 2001, 43, 431–444. [Google Scholar] [CrossRef]
- Chen, E.Z.; Li, H. A two-part mixed-effects model for analyzing longitudinal microbiome compositional data. Bioinformatics 2016, 32, 2611–2617. [Google Scholar] [CrossRef]
- Zhang, X.; Yi, N. Fast zero-inflated negative binomial mixed modeling approach for analyzing longitudinal metagenomics data. Bioinformatics 2020, 36, 2345–2351. [Google Scholar] [CrossRef]
- Chen, T.; Wu, P.; Tang, W.; Zhang, H.; Feng, C.; Kowalski, J.; Tu, X.M. Variable selection for distribution-free models for longitudinal zero-inflated count responses. Stat. Med. 2016, 35, 2770–2785. [Google Scholar] [CrossRef]
- Pardo, M.D.C.; Alonso, R. Working correlation structure selection in GEE analysis. Stat. Pap. 2017, 60, 1447–1467. [Google Scholar] [CrossRef]
- Hardin, J.W.; Hilbe, J.M. Generalized Estimating Equations; CRC Press: Boca Raton, FL, USA, 2012. [Google Scholar]
- Diggle, P.; Diggle, P.J.; Heagerty, P.; Liang, K.-Y.; Zeger, S. Analysis of Longitudinal Data; Oxford University Press: Oxford, UK, 2002. [Google Scholar]
- Zorn, C.J.W. Generalized Estimating Equation Models for Correlated Data: A Review with Applications. Am. J. Polit. Sci. 2001, 45, 470–490. [Google Scholar] [CrossRef]
- Wang, Y.G.; Carey, V. Working correlation structure misspecification, estimation and covariate design: Implications for generalised estimating equations performance. Biometrika 2003, 90, 29–41. [Google Scholar] [CrossRef]
- Bell, M.L.; Grunwald, G.K. Small sample estimation properties of longitudinal count models. J. Stat. Comput. Simul. 2011, 81, 1067–1079. [Google Scholar] [CrossRef]
- Long, J.S. Regression models for categorical and limited dependent variables. Adv. Quant. Tech. Soc. Sci. 1997, 7, 219. [Google Scholar]
- Kowalski, J.; Tu, X.M. Modern Applied U-Statistics; John Wiley & Sons: Hoboken, NJ, USA, 2008; Volume 714. [Google Scholar]
- Liang, K.Y.; Zeger, S.L.; Qaqish, B. Multivariate regression analyses for categorical data. J. R. Stat. Soc. Ser. B Methodol. 1992, 54, 3–24. [Google Scholar] [CrossRef]
- Tang, W.; Lu, N.; Chen, T.; Wang, W.; Gunzler, D.D.; Han, Y.; Tu, X.M. On performance of parametric and distribution-free models for zero-inflated and over-dispersed count responses. Stat. Med. 2015, 34, 3235–3245. [Google Scholar] [CrossRef] [PubMed]
- Benjamini, Y.; Hochberg, Y. Controlling the False Discovery Rate: A Practical and Powerful Approach to Multiple Testing. J. R. Stat. Soc. Ser. B 1995, 57, 289–300. [Google Scholar] [CrossRef]
- Nelsen, R.B. An Introduction to Copulas; Springer Science & Business Media: Berlin/Heidelberg, Germany, 2007. [Google Scholar]
- Sklar, M. Fonctions de Repartition an Dimensions et Leurs Marges; Publications Institute Statistique University: Paris, France, 1959; Volume 8, pp. 229–231. [Google Scholar]
- Luo, D.; Ziebell, S.; An, L. An Informative Approach on Differential Abundance Analysis for Time-course Metagenomic Sequencing Data. Bioinformatics 2017, 33, 1286–1292. [Google Scholar] [CrossRef]
- DiGiulio, D.B.; Callahan, B.J.; McMurdie, P.J.; Costello, E.K.; Lyell, D.J.; Robaczewska, A.; Sun, C.L.; Goltsman, D.S.A.; Wong, R.J.; Shaw, G.; et al. Temporal and spatial variation of the human microbiota during pregnancy. Proc. Natl. Acad. Sci. USA 2015, 112, 11060–11065. [Google Scholar] [CrossRef]
- Kostadinov, S.; Gundogan, F.; Struminsky, J.; Pinar, H.; Sung, C.J.; He, M. Pregnancy and Perinatal Outcomes Associated with Acinetobacter baumannii Infection. Am. J. Perinatol. Rep. 2013, 3, 051–056. [Google Scholar] [CrossRef][Green Version]
- Aivazova, V.; Kainer, F.; Friese, K.; Mylonas, I. Acinetobacter baumannii infection during pregnancy and puerperium. Arch. Gynecol. Obstet. 2009, 281, 171–174. [Google Scholar] [CrossRef]
- Shin, H.; Wu, J.; Nelson, D.B.; Dominguez-Bello, M.G. The Gestational Vaginal Microbiome and Spontaneous Preterm Birth among Nulliparous African American Women. Am. J. Perinatol. 2016, 33, 887–893. [Google Scholar] [CrossRef]
- Odogwu, N.M.; Chen, J.; Onebunne, C.A.; Jeraldo, P.; Yang, L.; Johnson, S.; Ayeni, F.A.; Walther-Antonio, M.R.S.; Olayemi, O.O.; Chia, N.; et al. Predominance of Atopobium vaginae at Midtrimester: A Potential Indicator of Preterm Birth Risk in a Nigerian Cohort. mSphere 2021, 6, e01261-20. [Google Scholar] [CrossRef]
- Shiozaki, A.; Yoneda, S.; Yoneda, N.; Yonezawa, R.; Matsubayashi, T.; Seo, G.; Saito, S. Intestinal Microbiota is Different in Women with Preterm Birth: Results from Terminal Restriction Fragment Length Polymorphism Analysis. PLoS ONE 2014, 9, e111374. [Google Scholar] [CrossRef]
- Kaakoush, N.O.; Quinlivan, J.A.; Mendz, G.L. Bacteroides and Hafnia Infections Associated with Chorioamnionitis and Preterm Birth. J. Clin. Gynecol. Obstet. 2014, 3, 76–79. [Google Scholar] [CrossRef][Green Version]
- Satokari, R.; Grönroos, T.; Laitinen, K.; Salminen, S.; Isolauri, E. Bifidobacterium and Lactobacillus DNA in the human placenta. Lett. Appl. Microbiol. 2009, 48, 8–12. [Google Scholar] [CrossRef]
- McDonald, S.D.; Gruslin, A. A review of Campylobacter infection during pregnancy: A focus on C. jejuni. Prim. Care Updat. OB/GYNS 2001, 8, 253–257. [Google Scholar] [CrossRef]
- Han, Y.W.; Redline, R.W.; Li, M.; Yin, L.; Hill, G.B.; McCormick, T.S. Fusobacterium nucleatum Induces Premature and Term Stillbirths in Pregnant Mice: Implication of Oral Bacteria in Preterm Birth. Infect. Immun. 2004, 72, 2272–2279. [Google Scholar] [CrossRef]
- Nelson, D.B.; Hanlon, A.; Nachamkin, I.; Haggerty, C.; Mastrogiannis, D.S.; Liu, C.; Fredricks, D. Early Pregnancy Changes in Bacterial Vaginosis-Associated Bacteria and Preterm Delivery. Paediatr. Périnat. Epidemiol. 2014, 28, 88–96. [Google Scholar] [CrossRef]
- Beauruelle, C.; Le Bars, H.; Bocher, S.; Tandé, D.; Héry-Arnaud, G. Closing the Brief Case: Extragenitourinary Location of Oligella urethralis. J. Clin. Microbiol. 2019, 57, e01542-18. [Google Scholar] [CrossRef]
- Tulikangas, P.; Schimpf, M. Chapter 22-Genital and Urinary Tract Infections. General Gynecology. Phila. Mosby 2007, 523–542. [Google Scholar] [CrossRef]
- Freitas, A.C.; Bocking, A.; Hill, J.E.; Money, D.M.; Money, D.; Bocking, A.; Hemmingsen, S.; Hill, J.; Reid, G.; Dumonceaux, T.; et al. Increased richness and diversity of the vaginal microbiota and spontaneous preterm birth. Microbiome 2018, 6, 117. [Google Scholar] [CrossRef]
- Ferrocino, I.; Ponzo, V.; Pellegrini, M.; Goitre, I.; Papurello, M.; Franciosa, I.; D’Eusebio, C.; Ghigo, E.; Cocolin, L.; Bo, S. Mycobiota composition and changes across pregnancy in patients with gestational diabetes mellitus (GDM). Sci. Rep. 2022, 12, 9192. [Google Scholar] [CrossRef]
- Zhao, D.; Yuan, S.; Ma, Y.; An, Y.X.; Yang, Y.X.; Yang, J.K. Associations of maternal hyperglycemia in the second and third trimesters of pregnancy with prematurity. Medicine 2020, 99, e19663. [Google Scholar] [CrossRef]
- Koester, L.R.; Petry, A.L.; Youngs, C.R.; Schmitz-Esser, S. Ewe Vaginal Microbiota: Associations with Pregnancy Outcome and Changes During Gestation. Front. Microbiol. 2021, 12, 745884. [Google Scholar] [CrossRef]
- Petricevic, L.; Domig, K.J.; Nierscher, F.J.; Sandhofer, M.J.; Fidesser, M.; Krondorfer, I.; Husslein, P.; Kneifel, W.; Kiss, H. Characterisation of the vaginal Lactobacillus microbiota associated with preterm delivery. Sci. Rep. 2014, 4, 5136. [Google Scholar] [CrossRef]
- Estrada, S.M.; Magann, E.F.; Napolitano, P.G. Actinomyces in Pregnancy: A Review of the Literature. Obstet. Gynecol. Surv. 2017, 72, 242–247. [Google Scholar] [CrossRef]
- Dinsdale, N.K.; Castaño-Rodríguez, N.; Quinlivan, J.A.; Mendz, G.L. Comparison of the Genital Microbiomes of Pregnant Aboriginal and Non-aboriginal Women. Front. Cell. Infect. Microbiol. 2020, 10, 523764. [Google Scholar] [CrossRef]
- MacIntyre, D.A.; Chandiramani, M.; Lee, Y.S.; Kindinger, L.; Smith, A.; Angelopoulos, N.; Lehne, B.; Arulkumaran, S.; Brown, R.; Teoh, T.G.; et al. The vaginal microbiome during pregnancy and the postpartum period in a European population. Sci. Rep. 2015, 5, 8988. [Google Scholar] [CrossRef]
- Turnbaugh, P.J.; Ridaura, V.K.; Faith, J.J.; Rey, F.E.; Knight, R.; Gordon, J.I. The Effect of Diet on the Human Gut Microbiome: A Metagenomic Analysis in Humanized Gnotobiotic Mice. Sci. Transl. Med. 2009, 1, 6ra14. [Google Scholar] [CrossRef]
- Koo, S.H.; Chu, C.W.; Khoo, J.J.C.; Cheong, M.; Soon, G.H.; Ho, E.X.P.; Law, N.M.; De Sessions, P.F.; Fock, K.M.; Ang, T.L.; et al. A pilot study to examine the association between human gut microbiota and the host’s central obesity. JGH Open 2019, 3, 480–487. [Google Scholar] [CrossRef]
- Devkota, S.; Wang, Y.; Musch, M.W.; Leone, V.; Fehlner-Peach, H.; Nadimpalli, A.; Antonopoulos, D.A.; Jabri, B.; Chang, E.B. Dietary-fat-induced taurocholic acid promotes pathobiont expansion and colitis in Il10−/−mice. Nature 2012, 487, 104–108. [Google Scholar] [CrossRef]
- Obanda, D.N.; Husseneder, C.; Raggio, A.M.; Page, R.; Marx, B.; Stout, R.W.; Guice, J.; Coulon, D.; Keenan, M.J. Abundance of the species Clostridium butyricum in the gut microbiota contributes to differences in obesity phenotype in outbred Sprague-Dawley CD rats. Nutrition 2020, 78, 110893. [Google Scholar] [CrossRef]
- Wang, J.; Lang, T.; Shen, J.; Dai, J.; Tian, L.; Wang, X. Core Gut Bacteria Analysis of Healthy Mice. Front. Microbiol. 2019, 10, 887. [Google Scholar] [CrossRef]
- Schneeberger, M.; Everard, A.; Gómez-Valadés, A.G.; Matamoros, S.; Ramírez, S.; Delzenne, N.; Gomis, R.; Claret, M.; Cani, P.D. Akkermansia muciniphila inversely correlates with the onset of inflammation, altered adipose tissue metabolism and metabolic disorders during obesity in mice. Sci. Rep. 2015, 5, 16643. [Google Scholar] [CrossRef] [PubMed]
- Wang, B.; Kong, Q.; Li, X.; Zhao, J.; Zhang, H.; Chen, W.; Wang, G. A High-Fat Diet Increases Gut Microbiota Biodiversity and Energy Expenditure Due to Nutrient Difference. Nutrients 2020, 12, 3197. [Google Scholar] [CrossRef] [PubMed]
- Madsen, L.; Myrmel, L.S.; Fjære, E.; Øyen, J.; Kristiansen, K. Dietary Proteins, Brown Fat, and Adiposity. Front. Physiol. 2018, 9, 1792. [Google Scholar] [CrossRef] [PubMed]
- Pu, S.; Khazanehei, H.; Jones, P.J.; Khafipour, E. Interactions between Obesity Status and Dietary Intake of Monounsaturated and Polyunsaturated Oils on Human Gut Microbiome Profiles in the Canola Oil Multicenter Intervention Trial (COMIT). Front. Microbiol. 2016, 7, 1612. [Google Scholar] [CrossRef]
- Paulson, J.N.; Stine, O.C.; Bravo, H.C.; Pop, M. Differential abundance analysis for microbial marker-gene surveys. Nat. Methods 2013, 10, 1200–1202. [Google Scholar] [CrossRef]





| Setting | AR (1) | Exchangeable | ||
|---|---|---|---|---|
| 25 subjects per condition | Moderately Correlated | Highly Correlated ρ | Moderately Correlated ρ | Highly Correlated |
| 50 subjects per condition | ||||
| Method | Genus | Relevance | Reference |
|---|---|---|---|
| CorrZIDF | Acinetobacter | Acinetobacter infection in adverse pregnancy and perinatal outcomes | [31,32] |
| Aerococcus | Low abundance in preterms | [33] | |
| Atopobium | High relative abundance of Atopobium vaginae at the midtrimester was highly predictive of preterm birth | [34] | |
| Bacteroides | Abundance reduction in Bacteroides in women who delivered preterm | [35,36] | |
| Brevibacterium | Occasionally found in the placenta, considered as contaminants | [37] | |
| Campylobacter | Associated with an increased risk of spontaneous abortion, stillbirth, and preterm delivery | [38] | |
| Fusobacterium | Associated with preterm birth and has been isolated from the amniotic fluid, placenta, and chorioamnionic membranes of women delivering prematurely | [39] | |
| Mobiluncus | For women with a prior preterm delivery, high level of Mobiluncus significantly indicate a spontaneous preterm delivery | [40] | |
| Oligella | Mostly found as a commensal organism of the human genitourinary tract, which is also the main infection site | [41] | |
| Peptostreptococcus | Pregnant women with Bacterial vaginosis including Peptostreptococcus and other bacteria have increased risk of preterm labor and preterm premature rupture of membranes. | [42] | |
| Porphyromonas | Significantly high abundance in preterms | [43] | |
| Sneathia | Low abundance found in preterm | [33] | |
| Sutterella | Associated with metabolic/inflammatory variables across pregnancy in Gestational diabetes mellitus patients; hyperglycemia in the second and third trimester of pregnancy is an independent risk factor and a better predictor of prematurity. | [44,45] | |
| ZIDF | Facklamia | More abundant in animals that failed to establish a pregnancy | [46] |
| Ureaplasma | High abundance of Ureaplasma is associated with preterm birth | [30,47] | |
| FZINBMM | Actinomyces | Actinomyces infections in pregnancy are rare but, if they occur, have been linked primarily with preterm deliveries. | [48] |
| Anaerococcus | The vaginal microbiota of Non-aboriginal women had higher relative abundance of the taxa Anaerococcus | [49] | |
| Finegoldia | Associated with bacterial vaginosis, which is linked to an increased risk of preterm birth: | [50] |
| Method | Genus | Relevance | Reference |
|---|---|---|---|
| CorrZIDF | Anaerofilum | The relative abundances of Anaerofilum were significantly lower in the obese group. | [52] |
| Bilophila | Increased abundance of Bilophila has been associated with fat feeding and inflammation | [53] | |
| Clostridium | High fat diet lowers C. butyricum levels; C. butyricum maybe one of the species that constitute a core microbiota involved in energy storage and metabolism through mechanisms that are not yet known; Clostridium XIVb is more abundant in high fat diet group than the control group. | [54,55] | |
| Eggerthella | It metabolized amino acids rather than sugar | [55] | |
| ZIBR | Akkermansia | Akkermansia muciniphila abundance was strongly and negatively affected by high-fat diet feeding | [56] |
| ErysipelotrichaceaeIncertaeSedis | Aaccelerated postnatal growth suppressed the abundance of Erysipelotrichaceae_incertae_sedi | [55] | |
| FZINBMM | Alistipes | Were significantly different between the high-fat diet and low-fat diet groups | [57] |
| Bryantella | Relatively high abundance in the gut in high protein fed mice | [58] | |
| Mogibacterium | In overweight people, Mogibacterium is associated with PUFA-rich (polyunsaturated fatty acid) diets | [59] |
Publisher’s Note: MDPI stays neutral with regard to jurisdictional claims in published maps and institutional affiliations. |
© 2022 by the authors. Licensee MDPI, Basel, Switzerland. This article is an open access article distributed under the terms and conditions of the Creative Commons Attribution (CC BY) license (https://creativecommons.org/licenses/by/4.0/).
Share and Cite
Luo, D.; Liu, W.; Chen, T.; An, L. A Distribution-Free Model for Longitudinal Metagenomic Count Data. Genes 2022, 13, 1183. https://doi.org/10.3390/genes13071183
Luo D, Liu W, Chen T, An L. A Distribution-Free Model for Longitudinal Metagenomic Count Data. Genes. 2022; 13(7):1183. https://doi.org/10.3390/genes13071183
Chicago/Turabian StyleLuo, Dan, Wenwei Liu, Tian Chen, and Lingling An. 2022. "A Distribution-Free Model for Longitudinal Metagenomic Count Data" Genes 13, no. 7: 1183. https://doi.org/10.3390/genes13071183
APA StyleLuo, D., Liu, W., Chen, T., & An, L. (2022). A Distribution-Free Model for Longitudinal Metagenomic Count Data. Genes, 13(7), 1183. https://doi.org/10.3390/genes13071183

