Genomic Selection in Winter Wheat Breeding Using a Recommender Approach
Abstract
1. Introduction
2. Materials and Methods
2.1. Experimental Datasets
2.2. Genomic Selection Using a Recommender System
2.2.1. Predicting Performance for the Next Growing Season
2.2.2. Predictions across Different Environments
2.2.3. Predictions Using Secondary Correlated Traits
2.2.4. Predictions of Breeding Values Using Genomic Marker Information
3. Results
3.1. Predictive Ability across Different Growing Seasons
3.2. Predictive Ability among Different Environments
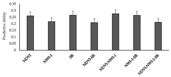
3.3. Predictive Ability for Grain Yield Using Secondary Correlated Traits
3.4. Predictive Ability Using Genomic Marker Information
4. Discussion
5. Conclusions
Supplementary Materials
Author Contributions
Funding
Acknowledgments
Conflicts of Interest
References
- Meuwissen, T.H.E.; Hayes, B.J.; Goddard, M.E. Prediction of Total Genetic Value Using Genome-Wide Dense Marker Maps. Genetics 2001, 157, 1819–1829. [Google Scholar] [PubMed]
- Crossa, J.; Pérez-Rodríguez, P.; Cuevas, J.; Montesinos-López, O.; Jarquín, D.; de los Campos, G.; Burgueño, J.; Camacho-González, J.M.; Pérez-Elizalde, S.; Beyene, Y. Genomic selection in plant breeding: Methods, models, and perspectives. Trends Plant Sci. 2017, 22, 961–975. [Google Scholar] [CrossRef] [PubMed]
- Daetwyler, H.D.; Bansal, U.K.; Bariana, H.S.; Hayden, M.J.; Hayes, B.J. Genomic prediction for rust resistance in diverse wheat landraces. Theor. Appl. Genet. 2014, 127, 1795–1803. [Google Scholar] [CrossRef] [PubMed]
- Desta, Z.A.; Ortiz, R. Genomic selection: Genome-wide prediction in plant improvement. Trends Plant Sci. 2014, 19, 592–601. [Google Scholar] [CrossRef] [PubMed]
- Michel, S.; Ametz, C.; Gungor, H.; Epure, D.; Grausgruber, H.; Löschenberger, F.; Buerstmayr, H. Genomic selection across multiple breeding cycles in applied bread wheat breeding. Theor. Appl. Genet. 2016, 129, 1179–1189. [Google Scholar] [CrossRef] [PubMed]
- Lozada, D.N.; Mason, R.E.; Sarinelli, J.M.; Guedira, G.B. Accuracy of genomic selection for grain yield and agronomic traits in soft red winter wheat. BMC Genet. 2019, 20, 82. [Google Scholar] [CrossRef] [PubMed]
- Cericola, F.; Jahoor, A.; Orabi, J.; Andersen, J.R.; Janss, L.L.; Jensen, J. Optimizing Training Population Size and Genotyping Strategy for Genomic Prediction Using Association Study Results and Pedigree Information. A Case of Study in Advanced Wheat Breeding Lines. PLoS ONE 2017, 12. [Google Scholar] [CrossRef]
- Guo, G.; Zhao, F.; Wang, Y.; Zhang, Y.; Du, L.; Su, G. Comparison of single-trait and multiple-trait genomic prediction models. BMC Genet. 2014, 15, 30. [Google Scholar] [CrossRef]
- Zhong, S.; Dekkers, J.C.M.; Fernando, R.L.; Jannink, J.L. Factors Affecting Accuracy From Genomic Selection in Populations Derived From Multiple Inbred Lines: A Barley Case Study. Genetics 2009, 182, 355–364. [Google Scholar] [CrossRef]
- Larkin, D.; Lozada, D.N.; Mason, R.E. Genomic Selection—Considerations for Successful Implementation in Wheat Breeding Programs. Agronomy 2019, 9, 479. [Google Scholar] [CrossRef]
- Sarwar, B.; Karypis, G.; Konstan, J.; Riedl, J. Item-based collaborative filtering recommendation algorithms. In Proceedings of the 10th international conference on World Wide Web, Hong Kong, China, 1–5 May 2001; pp. 285–295. [Google Scholar]
- Linden, G.; Smith, B.; York, J. Amazon. com recommendations: Item-to-item collaborative filtering. IEEE Internet Comput. 2003, 7, 76–80. [Google Scholar] [CrossRef]
- Juliana, P.; Singh, R.P.; Poland, J.; Mondal, S.; Crossa, J.; Montesinos-López, O.A.; Dreisigacker, S.; Pérez-Rodríguez, P.; Huerta-Espino, J.; Crespo-Herrera, L.; et al. Prospects and Challenges of Applied Genomic Selection—A New Paradigm in Breeding for Grain Yield in Bread Wheat. Plant Genome 2018, 11. [Google Scholar] [CrossRef] [PubMed]
- Montesinos-López, O.A.; Montesinos-López, A.; Crossa, J.; Montesinos-López, J.C.; Mota-Sanchez, D.; Estrada-González, F.; Gillberg, J.; Singh, R.; Mondal, S.; Juliana, P. Prediction of multiple-trait and multiple-environment genomic data using recommender systems. G3 Genes Genomes Genet. 2018, 8, 131–147. [Google Scholar] [CrossRef] [PubMed]
- Juliana, P.; Montesinos-López, O.A.; Crossa, J.; Mondal, S.; González Pérez, L.; Poland, J.; Huerta-Espino, J.; Crespo-Herrera, L.; Govindan, V.; Dreisigacker, S.; et al. Integrating genomic-enabled prediction and high-throughput phenotyping in breeding for climate-resilient bread wheat. Theor. Appl. Genet. 2019, 132, 177–194. [Google Scholar] [CrossRef] [PubMed]
- Montesinos-López, O.A.; Luna-Vázquez, F.J.; Montesinos-López, A.; Juliana, P.; Singh, R.; Crossa, J. An R package for multitrait and multienvironment data with the Item-based collaborative filtering algorithm. Plant Genome 2018, 11, 3. [Google Scholar] [CrossRef]
- Lozada, D.N.; Carter, A.H. Accuracy of single and multi-trait genomic prediction models for grain yield in US Pacific Northwest winter wheat. Crop Breed. Genet. Genom. 2019. [Google Scholar] [CrossRef]
- Lozada, D.N.; Godoy, J.V.; Murray, T.D.; Ward, B.P.; Carter, A.H. Genetic Dissection of Snow Mold Tolerance in US Pacific Northwest Winter Wheat Through Genome-Wide Association Study and Genomic Selection. Front. Plant Sci. 2019, 10, 1337. [Google Scholar] [CrossRef]
- Lozada, D.N.; Godoy, J.V.; Ward, B.P.; Carter, A.H. Genomic Prediction and Indirect Selection for Grain Yield in US Pacific Northwest Winter Wheat Using Spectral Reflectance Indices from High-Throughput Phenotyping. Int. J. Mol. Sci. 2019, 21, 165. [Google Scholar] [CrossRef]
- Lozada, D.N.; Carter, A.H. Insights into the Genetic Architecture of Phenotypic Stability Traits in Winter Wheat. Agronomy 2020, 10, 368. [Google Scholar] [CrossRef]
- Rodríguez, F.; Alvarado, G.; Pacheco, Á.; Burgueño, J. ACBD-R. Augmented Complete Block Design with R for Windows; Version 4.0; CIMMYT: El Batan, Mexico, 2018. [Google Scholar]
- R Core Team. R: A Language and Environment for Statistical Computing; R Foundation for Statistical Computing: Vienna, Austria, 2020. [Google Scholar]
- Kashiani, P.; Saleh, G. Estimation of genetic correlations on sweet corn inbred lines using SAS mixed model. Am. J. Agric. Biol. Sci. 2010, 5, 309–314. [Google Scholar] [CrossRef][Green Version]
- Wang, S.; Wong, D.; Forrest, K.; Allen, A.; Chao, S.; Huang, B.E.; Maccaferri, M.; Salvi, S.; Milner, S.G.; Cattivelli, L.; et al. Characterization of polyploid wheat genomic diversity using a high-density 90000 single nucleotide polymorphism array. Plant Biotechnol. J. 2014, 12, 787–796. [Google Scholar] [CrossRef]
- Chen, C.J.; Zhang, Z. iPat: Intelligent prediction and association tool for genomic research. Bioinformatics 2018, 34, 1925–1927. [Google Scholar] [CrossRef] [PubMed]
- Wang, X.; Xu, Y.; Hu, Z.; Xu, C. Genomic selection methods for crop improvement: Current status and prospects. Crop J. 2018, 6, 330–340. [Google Scholar] [CrossRef]
- Wang, X.; Miao, J.; Chang, T.; Xia, J.; An, B.; Li, Y.; Xu, L.; Zhang, L.; Gao, X.; Li, J. Evaluation of GBLUP, BayesB and elastic net for genomic prediction in Chinese Simmental beef cattle. PLoS ONE 2019, 14, 2. [Google Scholar] [CrossRef] [PubMed]
- Pérez, P.; de los Campos, G. Genome-Wide Regression and Prediction with the BGLR Statistical Package. Genetics 2014, 198, 483–495. [Google Scholar] [CrossRef]
- Loyd, N.; Hoogenboom, G. AgWeatherNet Spring 2015 Weather Review for Washington. Available online: https://weather.wsu.edu/index.php?page=AWN_Spring_2015_Weather_Review (accessed on 7 May 2020).
- Washington State University AgWeatherNet. Available online: https://weather.wsu.edu/ (accessed on 7 May 2020).
- Rutkoski, J.; Poland, J.; Mondal, S.; Autrique, E.; Pérez, L.G.; Crossa, J.; Reynolds, M.; Singh, R. Canopy Temperature and Vegetation Indices from High-Throughput Phenotyping Improve Accuracy of Pedigree and Genomic Selection for Grain Yield in Wheat. G3 Genes Genomes Genet. 2016, 6, 2799–2808. [Google Scholar] [CrossRef]
- Crain, J.; Mondal, S.; Rutkoski, J.; Singh, R.P.; Poland, J. Combining High-Throughput Phenotyping and Genomic Information to Increase Prediction and Selection Accuracy in Wheat Breeding. Plant Genome 2018, 11. [Google Scholar] [CrossRef]
- Schulthess, A.W.; Wang, Y.; Miedaner, T.; Wilde, P.; Reif, J.C.; Zhao, Y. Multiple-trait- and selection indices-genomic predictions for grain yield and protein content in rye for feeding purposes. Theor. Appl. Genet. 2016, 129, 273–287. [Google Scholar] [CrossRef]
- Sun, J.; Rutkoski, J.E.; Poland, J.A.; Crossa, J.; Jannink, J.L.; Sorrells, M.E. Multitrait, Random Regression, or Simple Repeatability Model in High-Throughput Phenotyping Data Improve Genomic Prediction for Wheat Grain Yield. Plant Genome 2017, 10. [Google Scholar] [CrossRef]
- Sarinelli, J.M.; Murphy, J.P.; Tyagi, P.; Holland, J.B.; Johnson, J.W.; Mergoum, M.; Mason, R.E.; Babar, A.; Harrison, S.; Sutton, R.; et al. Training population selection and use of fixed effects to optimize genomic predictions in a historical USA winter wheat panel. Theor. Appl. Genet. 2019. [Google Scholar] [CrossRef]
- Mason, R.E.; Addison, C.K.; Babar, A.; Acuna, A.; Lozada, D.N.; Subramanian, N.; Arguello, M.N.; Miller, R.G.; Brown-Guedira, G. Diagnostic Markers for Vernalization and Photoperiod Loci Improve Genomic Selection for Grain Yield and Spectral Reflectance in Wheat. Crop Sci. 2017, 58. [Google Scholar] [CrossRef]
- Sehgal, D.; Rosyara, U.; Mondal, S.; Singh, R.; Poland, J.; Dreisigacker, S. Incorporating Genome-Wide Association Mapping Results Into Genomic Prediction Models for Grain Yield and Yield Stability in CIMMYT Spring Bread Wheat. Front. Plant Sci. 2020, 11, 197. [Google Scholar] [CrossRef] [PubMed]
- Ali, M.; Zhang, Y.; Rasheed, A.; Wang, J.; Zhang, L. Genomic prediction for grain yield and yield-related traits in chinese winter wheat. Int. J. Mol. Sci. 2020, 21, 1342. [Google Scholar] [CrossRef] [PubMed]
- Hastie, T.; Qian, J. Glmnet Vignette. 2016. Available online: http//www.web.stanford.edu/Hast.pdf (accessed on 3 June 2020).
- Friedman, J.; Hastie, T.; Tibshirani, R. Regularization paths for generalized linear models via coordinate descent. J. Stat. Softw. 2010, 33, 1. [Google Scholar] [CrossRef] [PubMed]
- Rossell, D.; Rubio, F.J. Tractable bayesian variable selection: Beyond normality. J. Am. Stat. Assoc. 2018, 113, 1742–1758. [Google Scholar] [CrossRef] [PubMed]
- Rossell, D.; Telesca, D. Nonlocal priors for high-dimensional estimation. J. Am. Stat. Assoc. 2017, 112, 254–265. [Google Scholar] [CrossRef]
- Covarrubias-Pazaran, G.; Schlautman, B.; Diaz-Garcia, L.; Grygleski, E.; Polashock, J.; Johnson-Cicalese, J.; Vorsa, N.; Iorizzo, M.; Zalapa, J. Multivariate GBLUP Improves Predictive ability of Genomic Selection for Yield and Fruit Weight in Biparental Populations of Vaccinium macrocarpon Ait. Front. Plant Sci. 2018, 9, 1310. [Google Scholar] [CrossRef]



| Line | A | B | C | D |
|---|---|---|---|---|
| 1 | xA1 | 2.00 | 1.50 | 2.25 |
| 2 | 1.75 | xB2 | 2.25 | 3.00 |
| 3 | 1.50 | 2.25 | xC3 | 2.75 |
| 4 | 2.00 | 3.00 | 2.00 | xD4 |
| 5 | 1.25 | 2.75 | 2.00 | 3.00 |
| Mean | 1.63 | 2.50 | 1.94 | 2.75 |
| Std. dev | 0.28 | 0.40 | 0.27 | 0.31 |
| Line | A | B | C | D |
|---|---|---|---|---|
| 1 | xA1 | −1.27 | −1.61 | −1.63 |
| 2 | 0.45 | xB2 | 1.15 | 0.82 |
| 3 | −0.45 | −0.63 | xC3 | 0.0 |
| 4 | 1.34 | 1.27 | 0.23 | xD4 |
| 5 | −1.34 | 0.63 | 0.23 | 0.82 |
| A | B | C | D | |
|---|---|---|---|---|
| A | 1.00 | 0.14 | −0.31 | −0.55 |
| B | 0.14 | 1.00 | 0.44 | 0.52 |
| C | −0.31 | 0.435 | 1.00 | 0.94 |
| D | −0.55 | 0.516 | 0.94 | 1.00 |
| Location | Training Year(s) | Test Year | Predictive Ability | MAAPE |
|---|---|---|---|---|
| LND | 2015 | 2017 | −0.03 | 0.22 |
| LND | 2015 | 2018 | −0.18 | 0.45 |
| LND | 2015 | 2019 | 0.43 | 0.28 |
| LND | 2015, 2017 | 2018 | −0.18 | 0.39 |
| LND | 2015, 2017 | 2019 | 0.43 | 0.21 |
| LND | 2015, 2017, 2018 | 2019 | 0.46 | 0.16 |
| PUL | 2015 | 2016 | −0.20 | 0.31 |
| PUL | 2015 | 2017 | −0.08 | 0.24 |
| PUL | 2015 | 2018 | −0.21 | 0.24 |
| PUL | 2015 | 2019 | 0.43 | 0.25 |
| PUL | 2015, 2016 | 2017 | −0.12 | 0.27 |
| PUL | 2015, 2016 | 2018 | −0.21 | 0.33 |
| PUL | 2015, 2016 | 2019 | 0.36 | 0.29 |
| PUL | 2015, 2016, 2017 | 2018 | −0.16 | 0.35 |
| PUL | 2015, 2016, 2017 | 2019 | 0.19 | 0.21 |
| PUL | 2015, 2016, 2017, 2018 | 2019 | 0.32 | 0.14 |
| Model | Env | Grain Yield | Heading Date | Plant Height | |||
|---|---|---|---|---|---|---|---|
| Pred. Ability (PA) | SE_PA 2 | Pred. Ability (PA) | SE_PA | Pred. Ability (PA) | SE_PA | ||
| BRR 1 | LND15 | 0.20 | 0.03 | 0.62 | 6.10 × 10−3 | 0.61 | 0.02 |
| LND17 | 0.66 | 0.02 | 0.36 | 0.03 | 0.36 | 0.03 | |
| LND18 | 0.60 | 0.02 | −0.15 | 0.03 | 0.56 | 0.02 | |
| LND19 | 0.52 | 0.02 | 0.57 | 0.02 | 0.27 | 0.02 | |
| PUL15 | 0.49 | 0.03 | 0.18 | 0.04 | −0.18 | 0.03 | |
| PUL16 | 0.41 | 0.01 | 0.85 | 0.02 | 0.86 | 7.50 × 10−3 | |
| PUL17 | 0.56 | 0.02 | 0.93 | 5.90 × 10−3 | 0.92 | 7.10 × 10−3 | |
| PUL18 | 0.47 | 0.03 | 0.88 | 0.01 | 0.86 | 0.01 | |
| PUL19 | 0.58 | 0.02 | 0.90 | 6.00 × 10−3 | 0.89 | 6.20 × 10−3 | |
| Bayes A | LND15 | 0.19 | 0.04 | 0.58 | 0.01 | 0.61 | 0.03 |
| LND17 | 0.69 | 0.01 | 0.24 | 0.03 | 0.37 | 0.02 | |
| LND18 | 0.58 | 0.03 | −0.24 | 0.03 | 0.56 | 0.02 | |
| LND19 | 0.59 | 0.02 | 0.57 | 0.02 | 0.22 | 0.02 | |
| PUL15 | 0.55 | 0.02 | 0.17 | 0.02 | −0.12 | 0.03 | |
| PUL16 | 0.42 | 0.03 | 0.83 | 0.02 | 0.83 | 7.80 | |
| PUL17 | 0.60 | 0.03 | 0.94 | 3.80 × 10−3 | 0.91 | 4.30 | |
| PUL18 | 0.45 | 0.03 | 0.86 | 6.80 × 10−3 | 0.87 | 7.10 | |
| PUL19 | 0.61 | 0.01 | 0.90 | 5.10 × 10−3 | 0.88 | 5.90 | |
| Bayes B | LND15 | 0.25 | 0.03 | 0.65 | 0.01 | 0.63 | 0.02 |
| LND17 | 0.62 | 0.02 | 0.30 | 0.02 | 0.33 | 0.03 | |
| LND18 | 0.55 | 0.02 | −0.17 | 0.03 | 0.59 | 0.01 | |
| LND19 | 0.55 | 0.03 | 0.52 | 0.01 | 0.23 | 0.02 | |
| PUL15 | 0.48 | 0.03 | 0.15 | 0.04 | −0.14 | 0.02 | |
| PUL16 | 0.41 | 0.03 | 0.83 | 0.02 | 0.83 | 0.01 | |
| PUL17 | 0.57 | 0.02 | 0.93 | 5.00 × 10−3 | 0.92 | 4.50 × 10−3 | |
| PUL18 | 0.45 | 0.02 | 0.87 | 6.20 × 10−3 | 0.87 | 0.01 | |
| PUL19 | 0.58 | 0.02 | 0.90 | 5.00 × 10−3 | 0.87 | 0.01 | |
| Bayes C | LND15 | 0.28 | 0.03 | 0.64 | 0.02 | 0.56 | 0.02 |
| LND17 | 0.69 | 0.02 | 0.24 | 0.03 | 0.36 | 0.03 | |
| LND18 | 0.55 | 0.02 | −0.22 | 0.03 | 0.55 | 0.03 | |
| LND19 | 0.51 | 0.02 | 0.54 | 0.02 | 0.31 | 0.03 | |
| PUL15 | 0.52 | 0.013 | 0.09 | 0.03 | −0.19 | 0.02 | |
| PUL16 | 0.40 | 0.03 | 0.86 | 0.01 | 0.84 | 8.50 × 10−3 | |
| PUL17 | 0.60 | 0.02 | 0.93 | 5.00 × 10−3 | 0.91 | 4.70 × 10−3 | |
| PUL18 | 0.44 | 0.01 | 0.87 | 9.20 × 10−3 | 0.86 | 6.10 × 10−3 | |
| PUL19 | 0.56 | 0.01 | 0.90 | 4.90 × 10−3 | 0.88 | 6.30 × 10−3 | |
| BL 3 | LND15 | 0.34 | 0.03 | 0.64 | 0.02 | 0.66 | 0.02 |
| LND17 | 0.66 | 0.01 | 0.30 | 0.04 | 0.40 | 0.04 | |
| LND18 | 0.61 | 0.02 | −0.22 | 0.03 | 0.59 | 0.02 | |
| LND19 | 0.56 | 0.02 | 0.59 | 0.02 | 0.25 | 0.03 | |
| PUL15 | 0.57 | 0.02 | 0.24 | 0.03 | −0.20 | 0.03 | |
| PUL16 | 0.42 | 0.03 | 0.88 | 9.70 × 10−3 | 0.86 | 7.90 × 10−3 | |
| PUL17 | 0.61 | 0.02 | 0.93 | 5.20 × 10−3 | 0.92 | 4.40 × 10−3 | |
| PUL18 | 0.43 | 0.01 | 0.86 | 6.80 × 10−3 | 0.86 | 0.01 | |
| PUL19 | 0.65 | 0.03 | 0.91 | 6.60 × 10−3 | 0.90 | 6.70 × 10−3 | |
| Env | Grain Yield | Heading Date | Plant Height | |||
|---|---|---|---|---|---|---|
| Pred. Ability | RMSE | Pred. Ability | RMSE | Pred. Ability | RMSE | |
| LND15 | 0.47 | 0.47 | 0.59 | 2.13 | 0.63 | 5.91 |
| LND17 | 0.39 | 0.68 | 0.30 | 2.23 | 0.27 | 8.19 |
| LND18 | 0.44 | 0.86 | 0.25 | 2.30 | 0.29 | 7.08 |
| LND19 | 0.39 | 0.56 | 0.68 | 1.82 | 0.38 | 6.03 |
| PUL15 | 0.41 | 0.85 | 0.20 | 2.20 | 0.18 | 6.86 |
| PUL16 | 0.43 | 0.78 | 0.71 | 1.54 | 0.42 | 6.90 |
| PUL17 | 0.39 | 0.63 | 0.69 | 2.26 | 0.51 | 2.55 |
| PUL18 | 0.42 | 0.79 | 0.64 | 1.60 | 0.52 | 6.95 |
| PUL19 | 0.36 | 1.14 | 0.61 | 2.23 | 0.58 | 6.32 |
© 2020 by the authors. Licensee MDPI, Basel, Switzerland. This article is an open access article distributed under the terms and conditions of the Creative Commons Attribution (CC BY) license (http://creativecommons.org/licenses/by/4.0/).
Share and Cite
Lozada, D.N.; Carter, A.H. Genomic Selection in Winter Wheat Breeding Using a Recommender Approach. Genes 2020, 11, 779. https://doi.org/10.3390/genes11070779
Lozada DN, Carter AH. Genomic Selection in Winter Wheat Breeding Using a Recommender Approach. Genes. 2020; 11(7):779. https://doi.org/10.3390/genes11070779
Chicago/Turabian StyleLozada, Dennis N., and Arron H. Carter. 2020. "Genomic Selection in Winter Wheat Breeding Using a Recommender Approach" Genes 11, no. 7: 779. https://doi.org/10.3390/genes11070779
APA StyleLozada, D. N., & Carter, A. H. (2020). Genomic Selection in Winter Wheat Breeding Using a Recommender Approach. Genes, 11(7), 779. https://doi.org/10.3390/genes11070779

