Comparison Between Signal Transduction Pathway Activity in Blood Cells of Sepsis Patients and Laboratory Models
Abstract
1. Introduction
2. Materials and Methods
2.1. Measurement of Activity of Signal Transduction Pathways
2.2. Microarray Data Quality Control
2.3. GEO Datasets
2.3.1. Study on PBMCs of Sepsis Patients
- A.
- GSE9960 [28]: PBMCs isolated from healthy subjects and sepsis patients infected by Gram-positive bacteriae, Gram-negative bacteriae or both, or by an unidentified microorganism. For patient characteristics see Supplementary Materials Figure S2.
2.3.2. Studies on In Vitro LPS-Stimulated Whole Blood or PBMC Samples
- B.
- GSE20114 [29]: Whole blood from hypertriglyceridemic men stimulated in vitro for 4 h with 10 µg/mL LPS (Escherichia coli O157:H7) or vehicle. Docosahexaenoic acid (DHA) treatment groups were excluded from the analysis.
- C.
- GSE46914 [30]: PBMCs from healthy donors stimulated once with LPS (100 ng/mL; LPS unprimed) or twice (LPS primed). To induce the LPS-primed state, PBMCs were first cultured in the presence or absence (control group) of 2 ng/mL LPS (mix from Escherichia coli O55:B5, O127:B8, and O111:B4) for 15 h. Then, PBMCs were washed, left untreated for 24 h, and subsequently stimulated with LPS (100 ng/mL) for 6 h. LPS priming is used to induce LPS tolerance that mimics immunosuppression. LPS tolerance can be induced by exposure to low concentrations of LPS.
2.3.3. In Vivo Human Endotoxemia Whole Blood Model Study
- D.
- GSE3284 [31]: Human endotoxemia model. Intravenous administration of LPS (2 ng/kg body weight) to healthy humans. Whole blood was collected before LPS administration and 2 and 6 h thereafter for leukocyte isolation.
2.4. Comparison of STP Analysis Results with Results Described in Dataset-Associated Publications
2.5. General Rules for Interpretation of STP Activity Score
- (1)
- In the same sample, log2 odds STP activity scores cannot be compared quantitatively between different STPs, since each STP has its own range (ranging from minimum to maximum activity) in log2 odds activity scores.
- (2)
- The log2 odds range for STP activity may vary depending on cell type. Once the range has been defined by using samples with known pathway activity, subsequent samples can be directly interpreted against this reference, allowing for the assessment of absolute values. In the absence of a defined range, only differences in log2 odds activity score between samples can be interpreted. For each dataset, STP activity scores are plotted on the log2 odds scale.
- (3)
- (4)
- A negative log2 odds ratio does not necessarily mean that the pathway is inactive (see 2: for a specific cell type, the activity range may for example, lie between −20 log2 odds for an inactive STP to −5 log2 odds for a maximal active STP).
2.6. Statistics
3. Results
3.1. STP Activity in PBMCs from Patients with Sepsis
3.2. STP Activity in an In Vitro Gram-Negative Sepsis Model, PBMCs
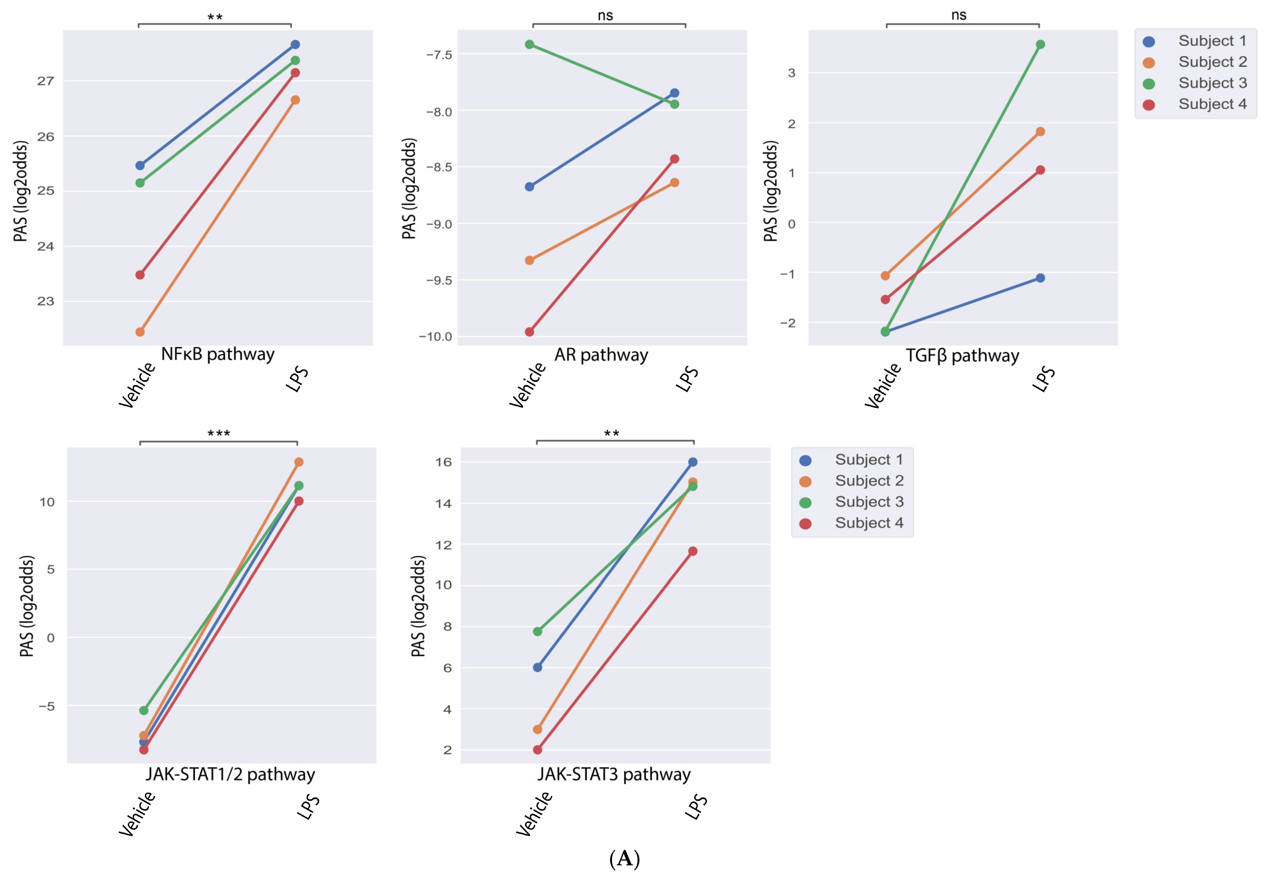
3.3. STP Activity in an In Vitro Gram-Negative Sepsis Model—Whole Blood
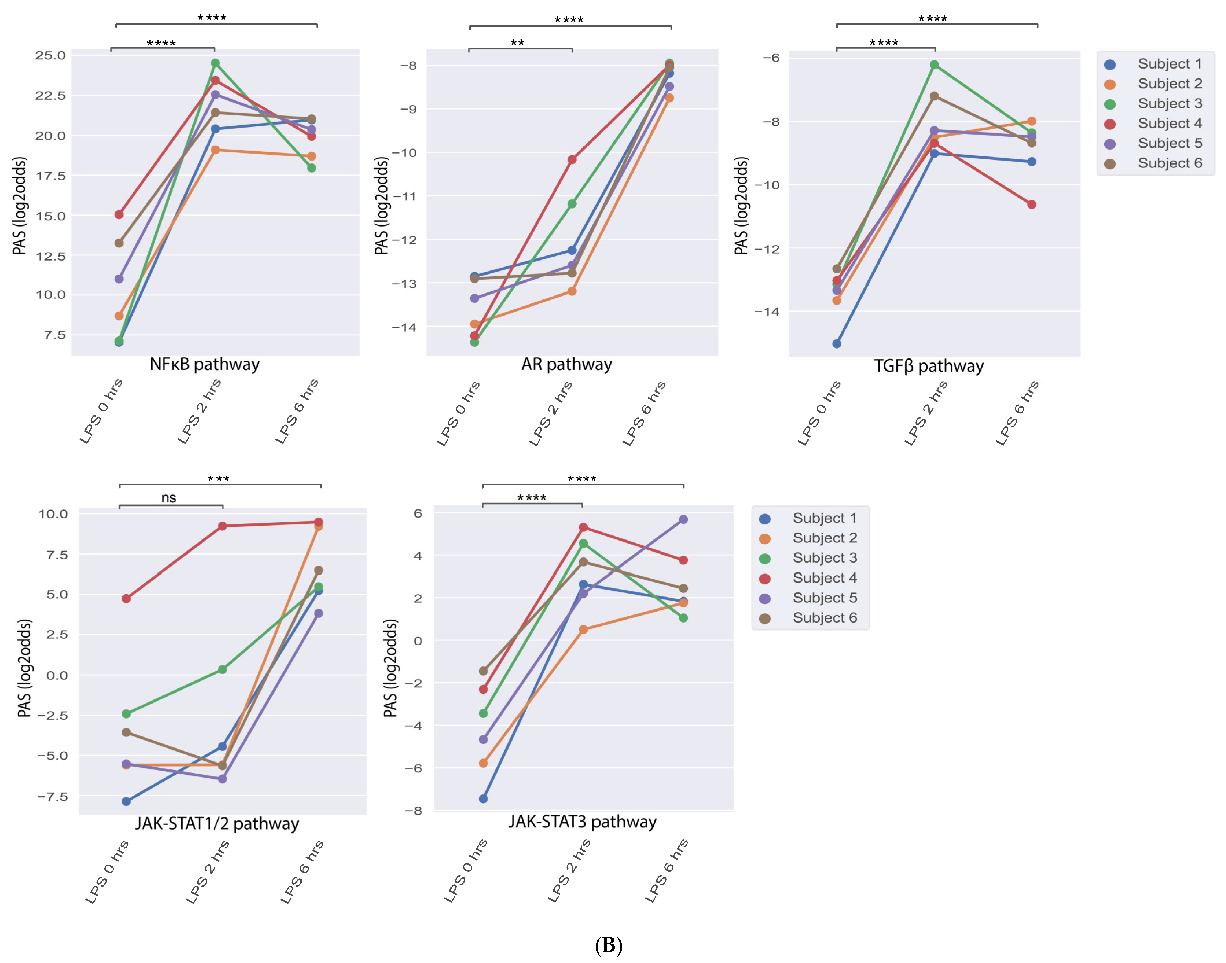
3.4. STP Activity in an In Vivo Gram-Negative Sepsis Model—Whole Blood
3.5. Differences in STP Activity Between Sepsis Models
3.6. Comparison of STP Analysis with Conventional Transcriptome Data Analysis
4. Discussion
5. Limitations of the Study
Supplementary Materials
Author Contributions
Funding
Institutional Review Board Statement
Informed Consent Statement
Data Availability Statement
Acknowledgments
Conflicts of Interest
References
- van der Poll, T.; Shankar-Hari, M.; Wiersinga, W.J. The Immunology of Sepsis. Immunity 2021, 54, 2450–2464. [Google Scholar] [CrossRef] [PubMed]
- Rudd, K.E.; Johnson, S.C.; Agesa, K.M.; Shackelford, K.A.; Tsoi, D.; Kievlan, D.R.; Colombara, D.V.; Ikuta, K.S.; Kissoon, N.; Finfer, S.; et al. Global, Regional, and National Sepsis Incidence and Mortality, 1990-2017: Analysis for the Global Burden of Disease Study. Lancet 2020, 395, 200–211. [Google Scholar] [CrossRef]
- Cecconi, M.; Evans, L.; Levy, M.; Rhodes, A. Sepsis and Septic Shock. Lancet 2018, 392, 75–87. [Google Scholar] [CrossRef] [PubMed]
- Giamarellos-Bourboulis, E.J.; Aschenbrenner, A.C.; Bauer, M.; Bock, C.; Calandra, T.; Gat-Viks, I.; Kyriazopoulou, E.; Lupse, M.; Monneret, G.; Pickkers, P.; et al. The Pathophysiology of Sepsis and Precision-Medicine-Based Immunotherapy. Nat. Immunol. 2024, 25, 19–28. [Google Scholar] [CrossRef] [PubMed]
- Leligdowicz, A.; Matthay, M.A. Heterogeneity in Sepsis: New Biological Evidence with Clinical Applications. Crit. Care 2019, 23, 80. [Google Scholar] [CrossRef]
- Goh, C.; Knight, J.C. Enhanced Understanding of the Host-Pathogen Interaction in Sepsis: New Opportunities for Omic Approaches. Lancet Respir. Med. 2017, 5, 212–223. [Google Scholar] [CrossRef]
- van Lier, D.; Geven, C.; Leijte, G.P.; Pickkers, P. Experimental Human Endotoxemia as a Model of Systemic Inflammation. Biochimie 2019, 159, 99–106. [Google Scholar] [CrossRef]
- Remick, D.G.; Ward, P.A. Evaluation of Endotoxin Models for the Study of Sepsis. Shock 2005, 24 (Suppl. 1), 7–11. [Google Scholar] [CrossRef]
- Fink, M.P.; Warren, H.S. Strategies to Improve Drug Development for Sepsis. Nat. Rev. Drug Discov. 2014, 13, 741–758. [Google Scholar] [CrossRef]
- Li, D.; Wu, M. Pattern Recognition Receptors in Health and Diseases. Signal Transduct. Target. Ther. 2021, 6, 291. [Google Scholar] [CrossRef]
- van Ooijen, H.; Hornsveld, M.; Dam-de Veen, C.; Velter, R.; Dou, M.; Verhaegh, W.; Burgering, B.; van de Stolpe, A. Assessment of Functional Phosphatidylinositol 3-Kinase Pathway Activity in Cancer Tissue Using Forkhead Box-O Target Gene Expression in a Knowledge-Based Computational Model. Am. J. Pathol. 2018, 188, 1956–1972. [Google Scholar] [CrossRef] [PubMed]
- Bouwman, W.; Verhaegh, W.; Holtzer, L.; van de Stolpe, A. Measurement of Cellular Immune Response to Viral Infection and Vaccination. Front. Immunol. 2020, 11, 575074. [Google Scholar] [CrossRef] [PubMed]
- Verhaegh, W.; van Ooijen, H.; Inda, M.A.; Hatzis, P.; Versteeg, R.; Smid, M.; Martens, J.; Foekens, J.; van de Wiel, P.; Clevers, H.; et al. Selection of Personalized Patient Therapy through the Use of Knowledge-Based Computational Models That Identify Tumor-Driving Signal Transduction Pathways. Cancer Res. 2014, 74, 2936–2945. [Google Scholar] [CrossRef]
- van de Stolpe, A.; Holtzer, L.; van Ooijen, H.J.; de Inda, M.A.; Verhaegh, W. Enabling Precision Medicine by Unravelling Disease Pathophysiology: Quantifying Signal Transduction Pathway Activity across Cell and Tissue Types. Sci. Rep. 2019, 9, 1603. [Google Scholar] [CrossRef]
- Canté-Barrett, K.; Holtzer, L.; van Ooijen, H.; Hagelaar, R.; Cordo’, V.; Verhaegh, W.; van de Stolpe, A.; Meijerink, J.P.P. A Molecular Test for Quantifying Functional Notch Signaling Pathway Activity in Human Cancer. Cancers 2020, 12, 3142. [Google Scholar] [CrossRef]
- Wesseling-Rozendaal, Y.; Holtzer, L.; Verhaegh, W.; van de Stolpe, A. Measurement of Activity of Developmental Signal Transduction Pathways to Quantify Stem Cell Pluripotency and Phenotypically Characterize Differentiated Cells. bioRxiv 2021. [Google Scholar] [CrossRef]
- Bouwman, W.; Verhaegh, W.; van de Stolpe, A. Androgen Receptor Pathway Activity Assay for Sepsis Diagnosis and Prediction of Favorable Prognosis. Front. Med. 2021, 8, 767145. [Google Scholar] [CrossRef]
- Wesseling-Rozendaal, Y.; van Doorn, A.; Willard-Gallo, K.; van de Stolpe, A. Characterization of Immunoactive and Immunotolerant CD4+ T Cells in Breast Cancer by Measuring Activity of Signaling Pathways That Determine Immune Cell Function. Cancers 2022, 14, 490. [Google Scholar] [CrossRef]
- van de Stolpe, A.; Verhaegh, W.; Blay, J.-Y.; Ma, C.X.; Pauwels, P.; Pegram, M.; Prenen, H.; De Ruysscher, D.; Saba, N.F.; Slovin, S.F.; et al. RNA Based Approaches to Profile Oncogenic Pathways From Low Quantity Samples to Drive Precision Oncology Strategies. Front. Genet. 2021, 11, 598118. [Google Scholar] [CrossRef]
- Gubbels Bupp, M.R.; Jorgensen, T.N. Androgen-Induced Immunosuppression. Front. Immunol. 2018, 9, 794. [Google Scholar] [CrossRef]
- Li, M.O.; Wan, Y.Y.; Sanjabi, S.; Robertson, A.-K.L.; Flavell, R.A. Transforming Growth Factor-Beta Regulation of Immune Responses. Annu. Rev. Immunol. 2006, 24, 99–146. [Google Scholar] [CrossRef] [PubMed]
- Liu, T.; Zhang, L.; Joo, D.; Sun, S.-C. NF-κB Signaling in Inflammation. Signal Transduct. Target. Ther. 2017, 2, 17023. [Google Scholar] [CrossRef] [PubMed]
- Hu, X.; Li, J.; Fu, M.; Zhao, X.; Wang, W. The JAK/STAT Signaling Pathway: From Bench to Clinic. Signal Transduct. Target. Ther. 2021, 6, 402. [Google Scholar] [CrossRef]
- Hillmer, E.J.; Zhang, H.; Li, H.S.; Watowich, S.S. STAT3 Signaling in Immunity. Cytokine Growth Factor Rev. 2016, 31, 1–15. [Google Scholar] [CrossRef]
- Bouwman, W.; Verhaegh, W.; van Doorn, A.; Raymakers, R.; van der Poll, T.; van de Stolpe, A. Quantitative Characterization of Immune Cells by Measuring Cellular Signal Transduction Pathway Activity. Sci. Rep. 2024, 14, 24487. [Google Scholar] [CrossRef]
- affyQCReport: QC Report Generation for affyBatch Objects Version 1.68.0 from Bioconductor. Available online: https://rdrr.io/bioc/affyQCReport/ (accessed on 24 February 2021).
- Gautier, L.; Cope, L.; Bolstad, B.M.; Irizarry, R.A. Affy—Analysis of Affymetrix GeneChip Data at the Probe Level. Bioinformatics 2004, 20, 307–315. [Google Scholar] [CrossRef]
- Tang, B.M.P.; McLean, A.S.; Dawes, I.W.; Huang, S.J.; Lin, R.C.Y. Gene-Expression Profiling of Peripheral Blood Mononuclear Cells in Sepsis. Crit. Care Med. 2009, 37, 882–888. [Google Scholar] [CrossRef]
- Dawson, K.; Zhao, L.; Adkins, Y.; Vemuri, M.; Rodriguez, R.L.; Gregg, J.P.; Kelley, D.S.; Hwang, D.H. Modulation of Blood Cell Gene Expression by DHA Supplementation in Hypertriglyceridemic Men. J. Nutr. Biochem. 2012, 23, 616–621. [Google Scholar] [CrossRef]
- Allantaz-Frager, F.; Turrel-Davin, F.; Venet, F.; Monnin, C.; De Saint Jean, A.; Barbalat, V.; Cerrato, E.; Pachot, A.; Lepape, A.; Monneret, G. Identification of Biomarkers of Response to IFNg during Endotoxin Tolerance: Application to Septic Shock. PLoS ONE 2013, 8, e68218. [Google Scholar] [CrossRef]
- Calvano, S.E.; Xiao, W.; Richards, D.R.; Felciano, R.M.; Baker, H.V.; Cho, R.J.; Chen, R.O.; Brownstein, B.H.; Cobb, J.P.; Tschoeke, S.K.; et al. A Network-Based Analysis of Systemic Inflammation in Humans. Nature 2005, 437, 1032–1037. [Google Scholar] [CrossRef]
- van der Poll, T.; van de Veerdonk, F.L.; Scicluna, B.P.; Netea, M.G. The Immunopathology of Sepsis and Potential Therapeutic Targets. Nat. Rev. Immunol. 2017, 17, 407–420. [Google Scholar] [CrossRef] [PubMed]
- Zhang, Q.; Lenardo, M.J.; Baltimore, D. 30 Years of NF-κB: A Blossoming of Relevance to Human Pathobiology. Cell 2017, 168, 37–57. [Google Scholar] [CrossRef] [PubMed]
- Futosi, K.; Fodor, S.; Mócsai, A. Neutrophil Cell Surface Receptors and Their Intracellular Signal Transduction Pathways. Int. Immunopharmacol. 2013, 17, 638–650. [Google Scholar] [CrossRef] [PubMed]
- Fridlender, Z.G.; Sun, J.; Kim, S.; Kapoor, V.; Cheng, G.; Ling, L.; Worthen, G.S.; Albelda, S.M. Polarization of Tumor-Associated Neutrophil (TAN) Phenotype by TGF-β: “N1” versus “N2” TAN. Cancer Cell 2009, 16, 183–194. [Google Scholar] [CrossRef]
- Panopoulos, A.D.; Zhang, L.; Snow, J.W.; Jones, D.M.; Smith, A.M.; El Kasmi, K.C.; Liu, F.; Goldsmith, M.A.; Link, D.C.; Murray, P.J.; et al. STAT3 Governs Distinct Pathways in Emergency Granulopoiesis and Mature Neutrophils. Blood 2006, 108, 3682–3690. [Google Scholar] [CrossRef]
- Ferguson, N.R.; Galley, H.F.; Webster, N.R. T Helper Cell Subset Ratios in Patients with Severe Sepsis. Intensive Care Med. 1999, 25, 106–109. [Google Scholar] [CrossRef]
- Ono, S.; Ueno, C.; Aosasa, S.; Tsujimoto, H.; Seki, S.; Mochizuki, H. Severe Sepsis Induces Deficient Interferon-Gamma and Interleukin-12 Production, but Interleukin-12 Therapy Improves Survival in Peritonitis. Am. J. Surg. 2001, 182, 491–497. [Google Scholar] [CrossRef]
- Romero, C.R.; Herzig, D.S.; Etogo, A.; Nunez, J.; Mahmoudizad, R.; Fang, G.; Murphey, E.D.; Toliver-Kinsky, T.; Sherwood, E.R. The Role of Interferon-γ in the Pathogenesis of Acute Intra-Abdominal Sepsis. J. Leukoc. Biol. 2010, 88, 725–735. [Google Scholar] [CrossRef]
- Annane, D.; Sébille, V.; Troché, G.; Raphaël, J.-C.; Gajdos, P.; Bellissant, E. A 3-Level Prognostic Classification in Septic Shock Based on Cortisol Levels and Cortisol Response to Corticotropin. JAMA 2000, 283, 1038–1045. [Google Scholar] [CrossRef]
- van den Boogaard, M.; Ramakers, B.P.; van Alfen, N.; van der Werf, S.P.; Fick, W.F.; Hoedemaekers, C.W.; Verbeek, M.M.; Schoonhoven, L.; van der Hoeven, J.G.; Pickkers, P. Endotoxemia-Induced Inflammation and the Effect on the Human Brain. Crit. Care 2010, 14, R81. [Google Scholar] [CrossRef]
- Cohen, O.; Reichenberg, A.; Perry, C.; Ginzberg, D.; Pollmächer, T.; Soreq, H.; Yirmiya, R. Endotoxin-Induced Changes in Human Working and Declarative Memory Associate with Cleavage of Plasma “Readthrough” Acetylcholinesterase. J. Mol. Neurosci. 2003, 21, 199–212. [Google Scholar] [CrossRef] [PubMed]
- Likos, E.; Bhattarai, A.; Weyman, C.M.; Shukla, G.C. The Androgen Receptor Messenger RNA: What Do We Know? RNA Biol. 2022, 19, 819–828. [Google Scholar] [CrossRef] [PubMed]
- Coutinho, A.E.; Chapman, K.E. The Anti-Inflammatory and Immunosuppressive Effects of Glucocorticoids, Recent Developments and Mechanistic Insights. Mol. Cell. Endocrinol. 2011, 335, 2–13. [Google Scholar] [CrossRef] [PubMed]
- Fu, G.; Deng, M.; Neal, M.D.; Billiar, T.R.; Scott, M.J. Platelet–Monocyte Aggregates: Understanding Mechanisms and Functions in Sepsis. Shock 2021, 55, 156–166. [Google Scholar] [CrossRef] [PubMed]
- Opal, S.M.; Scannon, P.J.; Vincent, J.-L.; White, M.; Carroll, S.F.; Palardy, J.E.; Parejo, N.A.; Pribble, J.P.; Lemke, J.H. Relationship between Plasma Levels of Lipopolysaccharide (LPS) and LPS-Binding Protein in Patients with Severe Sepsis and Septic Shock. J. Infect. Dis. 1999, 180, 1584–1589. [Google Scholar] [CrossRef]




| NFκB | AR | TGFβ | JAK-STAT1/2 | JAK-STAT3 | |||||||
|---|---|---|---|---|---|---|---|---|---|---|---|
| Datasets | Baseline Group | Mean | SD | Mean | SD | Mean | SD | Mean | SD | Mean | SD |
| GSE46914 | in vitro—PBMCs—medium control | 17.44 | 5.32 | −6.99 | 0.27 | −12.27 | 3.59 | −6.91 | 1.74 | 5.26 | 4.73 |
| GSE9960 | in vivo—PBMCs—control subjects | 6.64 | 4.31 | −8.72 | 0.98 | −11.68 | 2.72 | −5.52 | 4.11 | −1.81 | 2.23 |
| GSE20114 | in vitro—whole blood—vehicle control | 24.14 | 1.42 | −8.85 | 1.09 | −1.75 | 0.54 | −7.14 | 1.25 | 4.69 | 2.66 |
| GSE3284 | in vivo—whole blood—0 hrs | 10.36 | 3.31 | −13.61 | 0.66 | −13.48 | 0.83 | −3.38 | 4.40 | −4.19 | 2.24 |
Disclaimer/Publisher’s Note: The statements, opinions and data contained in all publications are solely those of the individual author(s) and contributor(s) and not of MDPI and/or the editor(s). MDPI and/or the editor(s) disclaim responsibility for any injury to people or property resulting from any ideas, methods, instructions or products referred to in the content. |
© 2025 by the authors. Licensee MDPI, Basel, Switzerland. This article is an open access article distributed under the terms and conditions of the Creative Commons Attribution (CC BY) license (https://creativecommons.org/licenses/by/4.0/).
Share and Cite
Bouwman, W.; Raymakers, R.; van der Poll, T.; van de Stolpe, A. Comparison Between Signal Transduction Pathway Activity in Blood Cells of Sepsis Patients and Laboratory Models. Cells 2025, 14, 311. https://doi.org/10.3390/cells14040311
Bouwman W, Raymakers R, van der Poll T, van de Stolpe A. Comparison Between Signal Transduction Pathway Activity in Blood Cells of Sepsis Patients and Laboratory Models. Cells. 2025; 14(4):311. https://doi.org/10.3390/cells14040311
Chicago/Turabian StyleBouwman, Wilbert, Reinier Raymakers, Tom van der Poll, and Anja van de Stolpe. 2025. "Comparison Between Signal Transduction Pathway Activity in Blood Cells of Sepsis Patients and Laboratory Models" Cells 14, no. 4: 311. https://doi.org/10.3390/cells14040311
APA StyleBouwman, W., Raymakers, R., van der Poll, T., & van de Stolpe, A. (2025). Comparison Between Signal Transduction Pathway Activity in Blood Cells of Sepsis Patients and Laboratory Models. Cells, 14(4), 311. https://doi.org/10.3390/cells14040311
