Aloe Extracellular Vesicles as Carriers of Photoinducible Metabolites Exhibiting Cellular Phototoxicity
Abstract
1. Introduction
2. Materials and Methods
2.1. Materials
2.2. Aloe EV Isolation and Aloe Crude Extracts
2.3. Nanoparticle Tracking (NTA) Analysis
2.4. Scanning Electron Microscopy (SEM) Analysis
2.5. Anthraquinone Quantification by Targeted Q-TOF LC/MS Analysis
2.6. MTT Cytotoxicity and Phototoxicity Assay
2.7. Intracellular ROS Production Assay
2.8. Immunoblot Analysis
2.9. Q-TOF LC/MS Metabolomics Untargeted Analysis
3. Results and Discussion
3.1. Aloe EV Morphological Characterization
3.2. Q-TOF LC/MS Targeted Analysis for Anthraquinone Quantification
3.3. Phototoxicity Effect of Aloe EVs and ROS Production in SK-MEL-5 Skin Cancer Cells
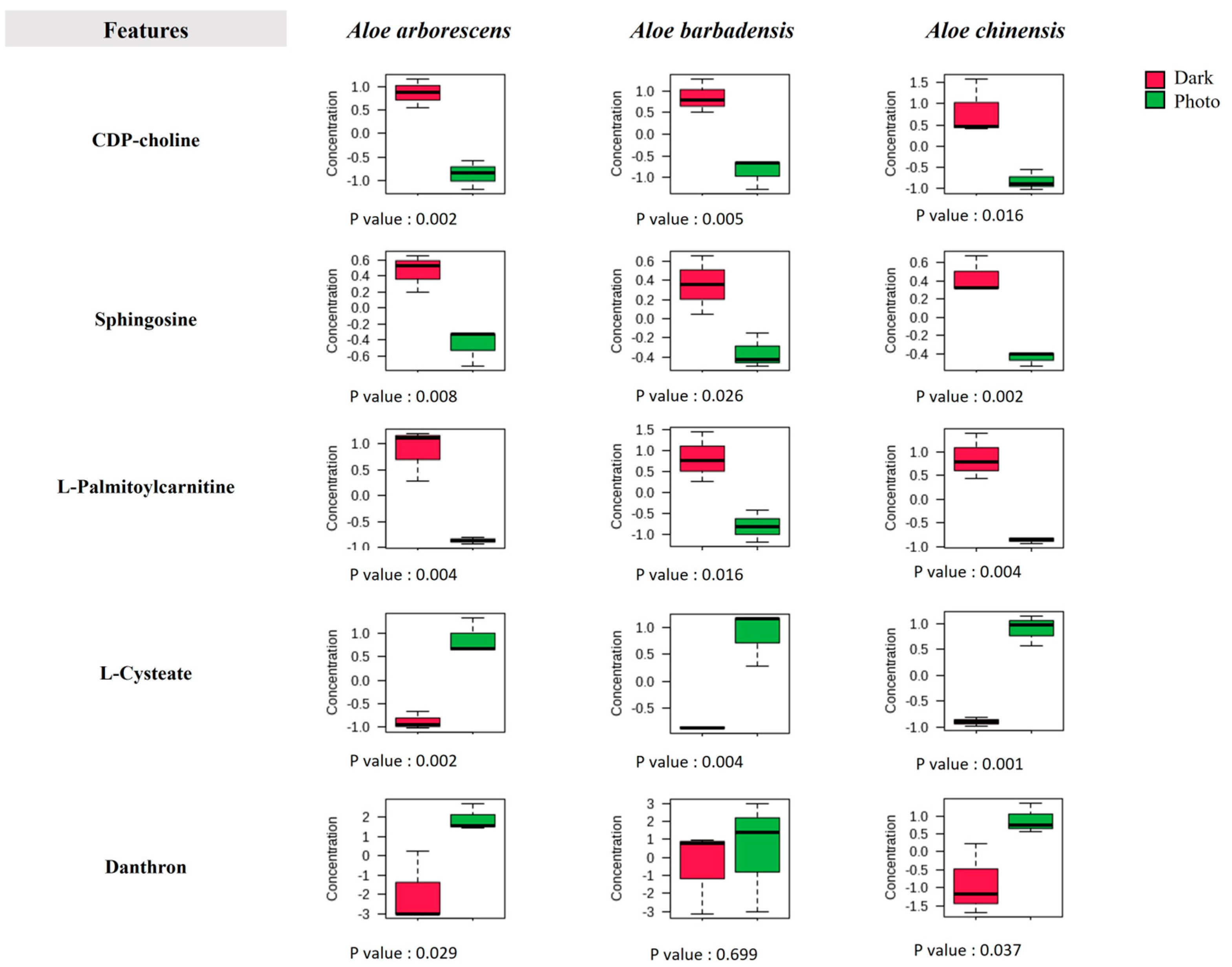
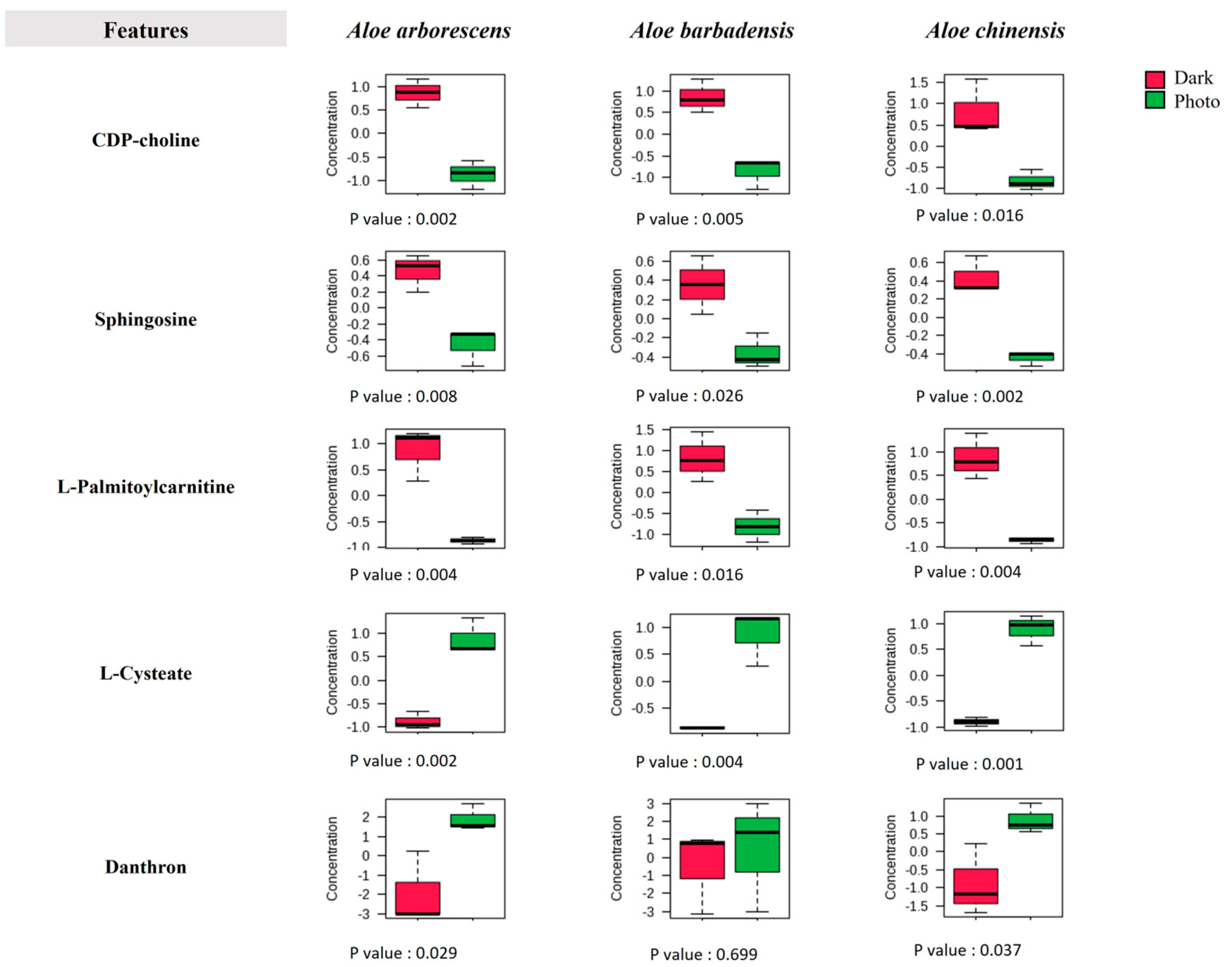
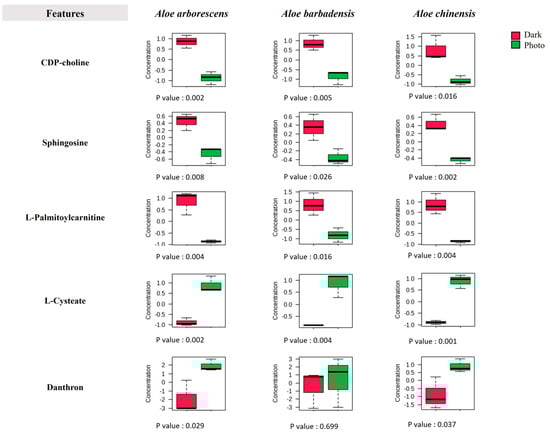
3.4. Metabolomic Analysis of Cancer Cells
4. Conclusions
Supplementary Materials
Author Contributions
Funding
Institutional Review Board Statement
Informed Consent Statement
Data Availability Statement
Conflicts of Interest
References
- Patridge, E.; Gareiss, P.; Kinch, M.S.; Hoyer, D. An Analysis of FDA-Approved Drugs: Natural Products and Their Derivatives. Drug Discov. Today 2016, 21, 204–207. [Google Scholar] [CrossRef] [PubMed]
- Thomford, N.E.; Senthebane, D.A.; Rowe, A.; Munro, D.; Seele, P.; Maroyi, A.; Dzobo, K. Natural Products for Drug Discovery in the 21st Century: Innovations for Novel Drug Discovery. Int. J. Mol. Sci. 2018, 19, 1578. [Google Scholar] [CrossRef] [PubMed]
- Wani, M.C.; Taylor, H.L.; Wall, M.E.; Coggon, P.; McPhail, A.T. Plant Antitumor Agents. VI. Isolation and Structure of Taxol, a Novel Antileukemic and Antitumor Agent from Taxus Brevifolia. Available online: https://pubs.acs.org/doi/pdf/10.1021/ja00738a045 (accessed on 6 October 2023).
- Karamanidou, T.; Tsouknidas, A. Plant-Derived Extracellular Vesicles as Therapeutic Nanocarriers. Int. J. Mol. Sci. 2022, 23, 191. [Google Scholar] [CrossRef]
- Nemati, M.; Singh, B.; Mir, R.A.; Nemati, M.; Babaei, A.; Ahmadi, M.; Rasmi, Y.; Golezani, A.G.; Rezaie, J. Plant-Derived Extracellular Vesicles: A Novel Nanomedicine Approach with Advantages and Challenges. Cell Commun. Signal 2022, 20, 69. [Google Scholar] [CrossRef]
- Kadriya, A.; Falah, M. Nanoscale Phytosomes as an Emerging Modality for Cancer Therapy. Cells 2023, 12, 1999. [Google Scholar] [CrossRef] [PubMed]
- Kameli, N.; Dragojlovic-Kerkache, A.; Savelkoul, P.; Stassen, F.R. Plant-Derived Extracellular Vesicles: Current Findings, Challenges, and Future Applications. Membranes 2021, 11, 411. [Google Scholar] [CrossRef]
- Fan, S.-J.; Chen, J.-Y.; Tang, C.-H.; Zhao, Q.-Y.; Zhang, J.-M.; Qin, Y.-C. Edible Plant Extracellular Vesicles: An Emerging Tool for Bioactives Delivery. Front. Immunol. 2022, 13, 1028418. [Google Scholar] [CrossRef]
- Kim, M.K.; Choi, Y.C.; Cho, S.H.; Choi, J.S.; Cho, Y.W. The Antioxidant Effect of Small Extracellular Vesicles Derived from Aloe Vera Peels for Wound Healing. Tissue Eng. Regen. Med. 2021, 18, 561–571. [Google Scholar] [CrossRef]
- Pinedo, M.; de la Canal, L.; de Marcos Lousa, C. A Call for Rigor and Standardization in Plant Extracellular Vesicle Research. J. Extracell. Vesicles 2021, 10, e12048. [Google Scholar] [CrossRef]
- Qiang, W.; Li, J.; Ruan, R.; Li, Q.; Zhang, X.; Yan, A.; Zhu, H. Plant-Derived Extracellular Vesicles as a Promising Anti-Tumor Approach: A Comprehensive Assessment of Effectiveness, Safety, and Mechanisms. Phytomedicine 2024, 130, 155750. [Google Scholar] [CrossRef]
- Sánchez-López, C.M.; Manzaneque-López, M.C.; Pérez-Bermúdez, P.; Soler, C.; Marcilla, A. Characterization and Bioactivity of Extracellular Vesicles Isolated from Pomegranate. Food Funct. 2022, 13, 12870–12882. [Google Scholar] [CrossRef] [PubMed]
- Yang, M.; Luo, Q.; Chen, X.; Chen, F. Bitter Melon Derived Extracellular Vesicles Enhance the Therapeutic Effects and Reduce the Drug Resistance of 5-Fluorouracil on Oral Squamous Cell Carcinoma. J. Nanobiotechnol. 2021, 19, 259. [Google Scholar] [CrossRef] [PubMed]
- Kim, S.Q.; Kim, K.-H. Emergence of Edible Plant-Derived Nanovesicles as Functional Food Components and Nanocarriers for Therapeutics Delivery: Potentials in Human Health and Disease. Cells 2022, 11, 2232. [Google Scholar] [CrossRef]
- Couto, G.K.; Seixas, F.K.; Iglesias, B.A.; Collares, T. Perspectives of Photodynamic Therapy in Biotechnology. J. Photochem. Photobiol. B Biol. 2020, 213, 112051. [Google Scholar] [CrossRef]
- Foresto, E.; Gilardi, P.; Ibarra, L.E.; Cogno, I.S. Light-Activated Green Drugs: How We Can Use Them in Photodynamic Therapy and Mass-Produce Them with Biotechnological Tools. Phytomed. Plus 2021, 1, 100044. [Google Scholar] [CrossRef]
- Lima, L.F.G.; de Paula Castro, V.; Álvarez, C.M.O.; Ambrósio, S.R.; Rodrigues, M.A.; Pires, R.H. Assessing the Efficacy of Gutiferone E in Photodynamic Therapy for Oral Candidiasis. J. Photochem. Photobiol. B Biol. 2024, 250, 112834. [Google Scholar] [CrossRef]
- Nowak-Perlak, M.; Ziółkowski, P.; Woźniak, M. A Promising Natural Anthraquinones Mediated by Photodynamic Therapy for Anti-Cancer Therapy. Phytomedicine 2023, 119, 155035. [Google Scholar] [CrossRef]
- Mesquita, M.Q.; Ferreira, A.R.; Neves, M.d.G.P.M.S.; Ribeiro, D.; Fardilha, M.; Faustino, M.A.F. Photodynamic Therapy of Prostate Cancer Using Porphyrinic Formulations. J. Photochem. Photobiol. B Biol. 2021, 223, 112301. [Google Scholar] [CrossRef] [PubMed]
- Correia, J.H.; Rodrigues, J.A.; Pimenta, S.; Dong, T.; Yang, Z. Photodynamic Therapy Review: Principles, Photosensitizers, Applications, and Future Directions. Pharmaceutics 2021, 13, 1332. [Google Scholar] [CrossRef]
- Kumar, V.V.; Swamy, M.K.; Akhtar, M.S. Anticancer Plants and Their Conservation Strategies: An Update. In Anticancer Plants: Properties and Application; Akhtar, M.S., Swamy, M.K., Eds.; Springer: Singapore, 2018; Volume 1, pp. 455–483. ISBN 978-981-10-8548-2. [Google Scholar]
- Kubrak, T.P.; Kołodziej, P.; Sawicki, J.; Mazur, A.; Koziorowska, K.; Aebisher, D. Some Natural Photosensitizers and Their Medicinal Properties for Use in Photodynamic Therapy. Molecules 2022, 27, 1192. [Google Scholar] [CrossRef]
- Muniyandi, K.; George, B.; Parimelazhagan, T.; Abrahamse, H. Role of Photoactive Phytocompounds in Photodynamic Therapy of Cancer. Molecules 2020, 25, 4102. [Google Scholar] [CrossRef] [PubMed]
- Ghosh, G.; Colón, K.L.; Fuller, A.; Sainuddin, T.; Bradner, E.; McCain, J.; Monro, S.M.A.; Yin, H.; Hetu, M.W.; Cameron, C.G.; et al. Cyclometalated Ruthenium(II) Complexes Derived from α-Oligothiophenes as Highly Selective Cytotoxic or Photocytotoxic Agents. Inorg. Chem. 2018, 57, 7694–7712. [Google Scholar] [CrossRef] [PubMed]
- Mugas, M.L.; Calvo, G.; Marioni, J.; Céspedes, M.; Martinez, F.; Sáenz, D.; Di Venosa, G.; Cabrera, J.L.; Montoya, S.N.; Casas, A. Photodynamic Therapy of Tumour Cells Mediated by the Natural Anthraquinone Parietin and Blue Light. J. Photochem. Photobiol. B Biol. 2021, 214, 112089. [Google Scholar] [CrossRef] [PubMed]
- Wu, J.-J.; Zhang, J.; Xia, C.-Y.; Ding, K.; Li, X.-X.; Pan, X.-G.; Xu, J.-K.; He, J.; Zhang, W.-K. Hypericin: A Natural Anthraquinone as Promising Therapeutic Agent. Phytomedicine 2023, 111, 154654. [Google Scholar] [CrossRef] [PubMed]
- Comini, L.R.; Fernandez, I.M.; Vittar, N.B.R.; Núñez Montoya, S.C.; Cabrera, J.L.; Rivarola, V.A. Photodynamic Activity of Anthraquinones Isolated from Heterophyllaea Pustulata Hook f. (Rubiaceae) on MCF-7c3 Breast Cancer Cells. Phytomedicine 2011, 18, 1093–1095. [Google Scholar] [CrossRef]
- Guo, X.; Mei, N. Aloe Vera: A Review of Toxicity and Adverse Clinical Effects. J. Environ. Sci. Health Part C 2016, 34, 77–96. [Google Scholar] [CrossRef]
- Majumder, R.; Das, C.K.; Mandal, M. Lead Bioactive Compounds of Aloe Vera as Potential Anticancer Agent. Pharmacol. Res. 2019, 148, 104416. [Google Scholar] [CrossRef]
- Xia, Q.; Yin, J.J.; Fu, P.P.; Boudreau, M.D. Photo-Irradiation of Aloe Vera by UVA—Formation of Free Radicals, Singlet Oxygen, Superoxide, and Induction of Lipid Peroxidation. Toxicol. Lett. 2007, 168, 165–175. [Google Scholar] [CrossRef]
- Liu, Y.; Meng, P.; Zhang, H.; Liu, X.; Wang, M.; Cao, W.; Hu, Z.; Zhang, Z. Inhibitory Effect of Aloe Emodin Mediated Photodynamic Therapy on Human Oral Mucosa Carcinoma in Vitro and in Vivo. Biomed. Pharmacother. 2018, 97, 697–707. [Google Scholar] [CrossRef]
- Odhiambo, W.O.; Geng, S.; Wang, X.; Chen, X.; Qin, M.; Yuan, M.; Wang, Y.; Riaz, F.; Liu, C.; Ji, Y. Aloe-Emodin-Mediated Photodynamic Therapy Induces Apoptosis in Basal Cell Carcinoma Cells via Activation of ERK/JNK Signaling Pathway. Int. J. Photoenergy 2021, 2021, e6935269. [Google Scholar] [CrossRef]
- Urzì, O.; Gasparro, R.; Ganji, N.R.; Alessandro, R.; Raimondo, S. Plant-RNA in Extracellular Vesicles: The Secret of Cross-Kingdom Communication. Membranes 2022, 12, 352. [Google Scholar] [CrossRef] [PubMed]
- Bradford, M.M. A Rapid and Sensitive Method for the Quantitation of Microgram Quantities of Protein Utilizing the Principle of Protein-Dye Binding. Anal. Biochem. 1976, 72, 248–254. [Google Scholar] [CrossRef] [PubMed]
- Chiaradia, E.; Sansone, A.; Ferreri, C.; Tancini, B.; Latella, R.; Tognoloni, A.; Gambelunghe, A.; dell’Omo, M.; Urbanelli, L.; Giovagnoli, S.; et al. Phospholipid Fatty Acid Remodeling and Carbonylated Protein Increase in Extracellular Vesicles Released by Airway Epithelial Cells Exposed to Cigarette Smoke Extract. Eur. J. Cell Biol. 2023, 102, 151285. [Google Scholar] [CrossRef]
- Alabed, H.B.R.; Pellegrino, R.M.; Buratta, S.; Lema Fernandez, A.G.; La Starza, R.; Urbanelli, L.; Mecucci, C.; Emiliani, C.; Gorello, P. Metabolic Profiling as an Approach to Differentiate T-Cell Acute Lymphoblastic Leukemia Cell Lines Belonging to the Same Genetic Subgroup. Int. J. Mol. Sci. 2024, 25, 3921. [Google Scholar] [CrossRef]
- Li, J.; Ma, J.; Li, Q.; Fan, S.; Fan, L.; Ma, H.; Zhang, Y.; Zheng, L. Determination of 35 Free Amino Acids in Tea Using Ultra-Performance Liquid Chromatography Coupled With Quadrupole Time-of-Flight Mass Spectrometry. Front. Nutr. 2021, 8, 767801. [Google Scholar] [CrossRef]
- Bianconi, T.; Cesaretti, A.; Mancini, P.; Montegiove, N.; Calzoni, E.; Ekbote, A.; Misra, R.; Carlotti, B. Room-Temperature Phosphorescence and Cellular Phototoxicity Activated by Triplet Dynamics in Aggregates of Push–Pull Phenothiazine-Based Isomers. J. Phys. Chem. B 2023, 127, 1385–1398. [Google Scholar] [CrossRef]
- Cesaretti, A.; Calzoni, E.; Montegiove, N.; Bianconi, T.; Alebardi, M.; La Serra, M.A.; Consiglio, G.; Fortuna, C.G.; Elisei, F.; Spalletti, A. Lighting-Up the Far-Red Fluorescence of RNA-Selective Dyes by Switching from Ortho to Para Position. Int. J. Mol. Sci. 2023, 24, 4812. [Google Scholar] [CrossRef] [PubMed]
- Laemmli, U.K. Cleavage of Structural Proteins during the Assembly of the Head of Bacteriophage T4. Nature 1970, 227, 680–685. [Google Scholar] [CrossRef]
- Calzoni, E.; Cesaretti, A.; Montegiove, N.; Di Michele, A.; Emiliani, C. Enhanced Stability of Long-Living Immobilized Recombinant β-d-N-Acetyl-Hexosaminidase A on Polylactic Acid (PLA) Films for Potential Biomedical Applications. J. Funct. Biomater. 2021, 12, 32. [Google Scholar] [CrossRef]
- Jung, J.-S.; Yang, C.; Viennois, E.; Zhang, M.; Merlin, D. Isolation, Purification, and Characterization of Ginger-Derived Nanoparticles (GDNPs) from Ginger, Rhizome of Zingiber Officinale. Bio. Protoc. 2019, 9, e3390. [Google Scholar] [CrossRef]
- Yugay, Y.; Tsydeneshieva, Z.; Rusapetova, T.; Grischenko, O.; Mironova, A.; Bulgakov, D.; Silant’ev, V.; Tchernoded, G.; Bulgakov, V.; Shkryl, Y. Isolation and Characterization of Extracellular Vesicles from Arabidopsis Thaliana Cell Culture and Investigation of the Specificities of Their Biogenesis. Plants 2023, 12, 3604. [Google Scholar] [CrossRef] [PubMed]
- Cho, E.-G.; Choi, S.-Y.; Kim, H.; Choi, E.-J.; Lee, E.-J.; Park, P.-J.; Ko, J.; Kim, K.P.; Baek, H.S. Panax Ginseng-Derived Extracellular Vesicles Facilitate Anti-Senescence Effects in Human Skin Cells: An Eco-Friendly and Sustainable Way to Use Ginseng Substances. Cells 2021, 10, 486. [Google Scholar] [CrossRef] [PubMed]
- Boccia, E.; Alfieri, M.; Belvedere, R.; Santoro, V.; Colella, M.; Del Gaudio, P.; Moros, M.; Dal Piaz, F.; Petrella, A.; Leone, A.; et al. Plant Hairy Roots for the Production of Extracellular Vesicles with Antitumor Bioactivity. Commun. Biol. 2022, 5, 848. [Google Scholar] [CrossRef]
- Ipinmoroti, A.O.; Turner, J.; Bellenger, E.J.; Crenshaw, B.J.; Xu, J.; Reeves, C.; Ajayi, O.; Li, T.; Matthews, Q.L. Characterization of Cannabis Strain-Plant-Derived Extracellular Vesicles as Potential Biomarkers. Protoplasma 2023, 260, 1603–1606. [Google Scholar] [CrossRef]
- Regente, M.; Corti-Monzón, G.; Maldonado, A.M.; Pinedo, M.; Jorrín, J.; de la Canal, L. Vesicular Fractions of Sunflower Apoplastic Fluids Are Associated with Potential Exosome Marker Proteins. FEBS Lett. 2009, 583, 3363–3366. [Google Scholar] [CrossRef]
- Timms, K.; Holder, B.; Day, A.; McLaughlin, J.; Westwood, M.; Forbes, K. Isolation and Characterisation of Watermelon (Citrullus lanatus) Extracellular Vesicles and Their Cargo. bioRxiv 2019. [Google Scholar] [CrossRef]
- Chaya, T.; Banerjee, A.; Rutter, B.D.; Adekanye, D.; Ross, J.; Hu, G.; Innes, R.W.; Caplan, J.L. Characterization of Extracellular Vesicles Isolated from Sorghum Bicolor Reveals a Conservation between Monocot and Eudicot Extracellular Vesicle Proteomes. bioRxiv 2023. [Google Scholar] [CrossRef]
- Shen, L.; Ji, H.-F.; Zhang, H.-Y. Theoretical Study on Photophysical and Photosensitive Properties of Aloe Emodin. J. Mol. Struct. Theochem. 2006, 758, 221–224. [Google Scholar] [CrossRef]
- Shoshan-Barmatz, V.; Krelin, Y.; Chen, Q. VDAC1 as a Player in Mitochondria-Mediated Apoptosis and Tar Get for Modulating Apoptosis. Curr. Med. Chem. 2017, 24, 4435–4446. [Google Scholar] [CrossRef]
- Srinivasan, S.; Avadhani, N.G. Cytochrome c Oxidase Dysfunction in Oxidative Stress. Free Radic. Biol. Med. 2012, 53, 1252–1263. [Google Scholar] [CrossRef]
- Al-Humadi, H.; Zarros, A.; Kyriakaki, A.; Al-Saigh, R.; Liapi, C. Choline Deprivation: An Overview of the Major Hepatic Metabolic Response Pathways. Scand. J. Gastroenterol. 2012, 47, 874–886. [Google Scholar] [CrossRef] [PubMed]
- Corbin, K.D.; Zeisel, S.H. Choline Metabolism Provides Novel Insights into Non-Alcoholic Fatty Liver Disease and Its Progression. Curr. Opin. Gastroenterol. 2012, 28, 159–165. [Google Scholar] [CrossRef] [PubMed]
- Zhu, J.; Wu, Y.; Tang, Q.; Leng, Y.; Cai, W. The Effects of Choline on Hepatic Lipid Metabolism, Mitochondrial Function and Antioxidative Status in Human Hepatic C3A Cells Exposed to Excessive Energy Substrates. Nutrients 2014, 6, 2552–2571. [Google Scholar] [CrossRef] [PubMed]
- Lu, S.; Lu, R.; Song, H.; Wu, J.; Liu, X.; Zhou, X.; Yang, J.; Zhang, H.; Tang, C.; Guo, H.; et al. Metabolomic Study of Natrin-Induced Apoptosis in SMMC-7721 Hepatocellular Carcinoma Cells by Ultra-Performance Liquid Chromatography-Quadrupole/Time-of-Flight Mass Spectrometry. Int. J. Biol. Macromol. 2019, 124, 1264–1273. [Google Scholar] [CrossRef]
- Onono, F.O.; Morris, A.J. Phospholipase D and Choline Metabolism. In Lipid Signaling in Human Diseases; Gomez-Cambronero, J., Frohman, M.A., Eds.; Handbook of Experimental Pharmacology; Springer: Cham, Switzerland, 2020; pp. 205–218. ISBN 978-3-030-33668-4. [Google Scholar]
- Phyu, S.M.; Tseng, C.-C.; Smith, T.A.D. CDP-Choline Accumulation in Breast and Colorectal Cancer Cells Treated with a GSK-3-Targeting Inhibitor. Magn. Reason. Mater. Phys. 2019, 32, 227–235. [Google Scholar] [CrossRef]
- Huang, C.; Wu, D.; Zhang, K.; Khan, F.A.; Pandupuspitasari, N.S.; Wang, Y.; Huo, L.; Sun, F. Perfluorooctanoic Acid Alters the Developmental Trajectory of Female Germ Cells and Embryos in Rodents and Its Potential Mechanism. Ecotoxicol. Environ. Saf. 2022, 236, 113467. [Google Scholar] [CrossRef]
- Ghasemitarei, M.; Yusupov, M.; Razzokov, J.; Shokri, B.; Bogaerts, A. Effect of Oxidative Stress on Cystine Transportation by xC− Antiporter. Arch. Biochem. Biophys. 2019, 674, 108114. [Google Scholar] [CrossRef]
- Williams, B.J.; Barlow, C.K.; Kmiec, K.L.; Russell, W.K.; Russell, D.H. Negative Ion Fragmentation of Cysteic Acid Containing Peptides: Cysteic Acid as a Fixed Negative Charge. J. Am. Soc. Mass Spectrom. 2011, 22, 1622–1630. [Google Scholar] [CrossRef][Green Version]
- Chen, H.; Zhao, C.; He, R.; Zhou, M.; Liu, Y.; Guo, X.; Wang, M.; Zhu, F.; Qin, R.; Li, X. Danthron Suppresses Autophagy and Sensitizes Pancreatic Cancer Cells to Doxorubicin. Toxicol. Vitr. 2019, 54, 345–353. [Google Scholar] [CrossRef]
- Vidal-Valenzuela, I.; Torres-Vargas, J.A.; Sánchez López, J.M.; Trigal Martínez, M.; García-Caballero, M.; Medina-Torres, M.Á.; Rodríguez-Quesada, A.M. Danthron, an Anthraquinone Isolated from a Marine Fungus, Is a New Inhibitor of Angiogenesis Exhibiting Interesting Antitumor and Antioxidant Properties. Antioxidants 2023, 12, 1101. [Google Scholar] [CrossRef]







Disclaimer/Publisher’s Note: The statements, opinions and data contained in all publications are solely those of the individual author(s) and contributor(s) and not of MDPI and/or the editor(s). MDPI and/or the editor(s) disclaim responsibility for any injury to people or property resulting from any ideas, methods, instructions or products referred to in the content. |
© 2024 by the authors. Licensee MDPI, Basel, Switzerland. This article is an open access article distributed under the terms and conditions of the Creative Commons Attribution (CC BY) license (https://creativecommons.org/licenses/by/4.0/).
Share and Cite
Calzoni, E.; Bertoldi, A.; Cesaretti, A.; Alabed, H.B.R.; Cerrotti, G.; Pellegrino, R.M.; Buratta, S.; Urbanelli, L.; Emiliani, C. Aloe Extracellular Vesicles as Carriers of Photoinducible Metabolites Exhibiting Cellular Phototoxicity. Cells 2024, 13, 1845. https://doi.org/10.3390/cells13221845
Calzoni E, Bertoldi A, Cesaretti A, Alabed HBR, Cerrotti G, Pellegrino RM, Buratta S, Urbanelli L, Emiliani C. Aloe Extracellular Vesicles as Carriers of Photoinducible Metabolites Exhibiting Cellular Phototoxicity. Cells. 2024; 13(22):1845. https://doi.org/10.3390/cells13221845
Chicago/Turabian StyleCalzoni, Eleonora, Agnese Bertoldi, Alessio Cesaretti, Husam B. R. Alabed, Giada Cerrotti, Roberto Maria Pellegrino, Sandra Buratta, Lorena Urbanelli, and Carla Emiliani. 2024. "Aloe Extracellular Vesicles as Carriers of Photoinducible Metabolites Exhibiting Cellular Phototoxicity" Cells 13, no. 22: 1845. https://doi.org/10.3390/cells13221845
APA StyleCalzoni, E., Bertoldi, A., Cesaretti, A., Alabed, H. B. R., Cerrotti, G., Pellegrino, R. M., Buratta, S., Urbanelli, L., & Emiliani, C. (2024). Aloe Extracellular Vesicles as Carriers of Photoinducible Metabolites Exhibiting Cellular Phototoxicity. Cells, 13(22), 1845. https://doi.org/10.3390/cells13221845

