Host Genetics Background Affects Intestinal Cancer Development Associated with High-Fat Diet-Induced Obesity and Type 2 Diabetes
Abstract
1. Introduction
2. Material and Methods
2.1. Ethical Statement
2.2. Collaborative Cross-Mouse Research Population
2.3. Study Design
2.4. Dietary Challenge
2.5. Intraperitoneal Glucose Tolerance Test (IPGTT)
2.6. Samples Collection
2.7. Intraperitoneal Glucose Tolerance Analysis
2.8. Polyp Count in Small and Large Intestine
2.9. Data Analysis
2.10. Heritability
3. Results
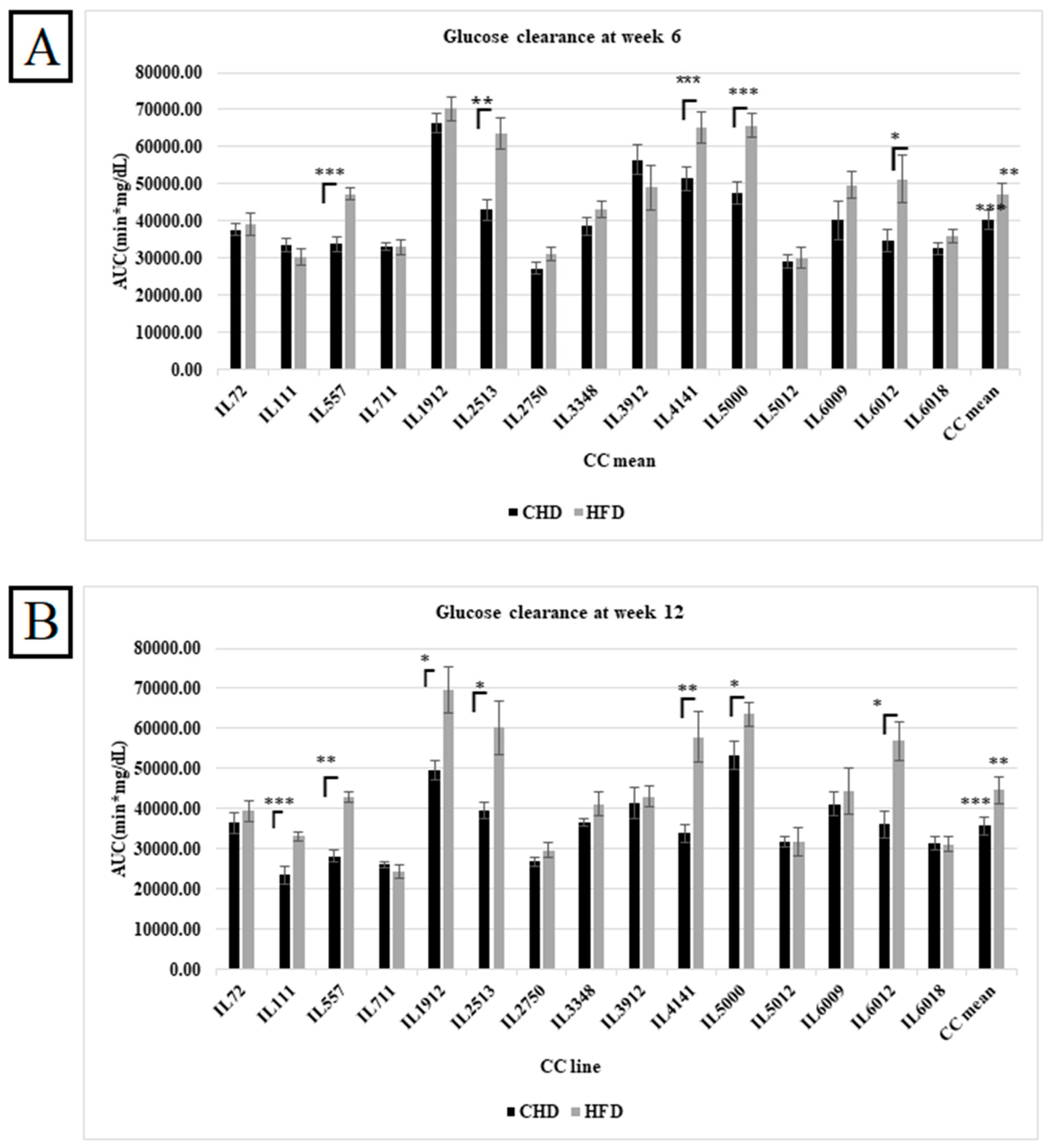
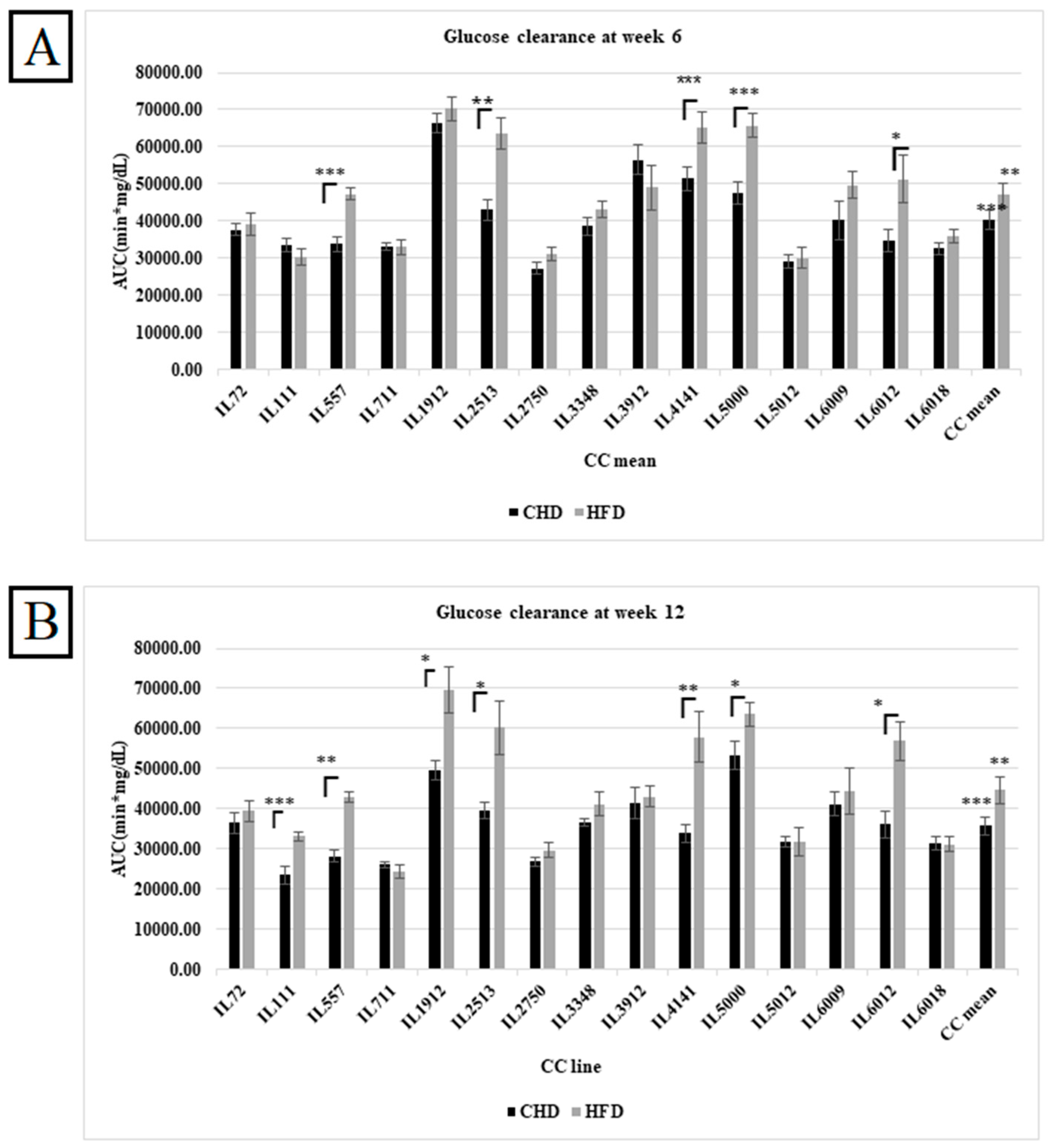
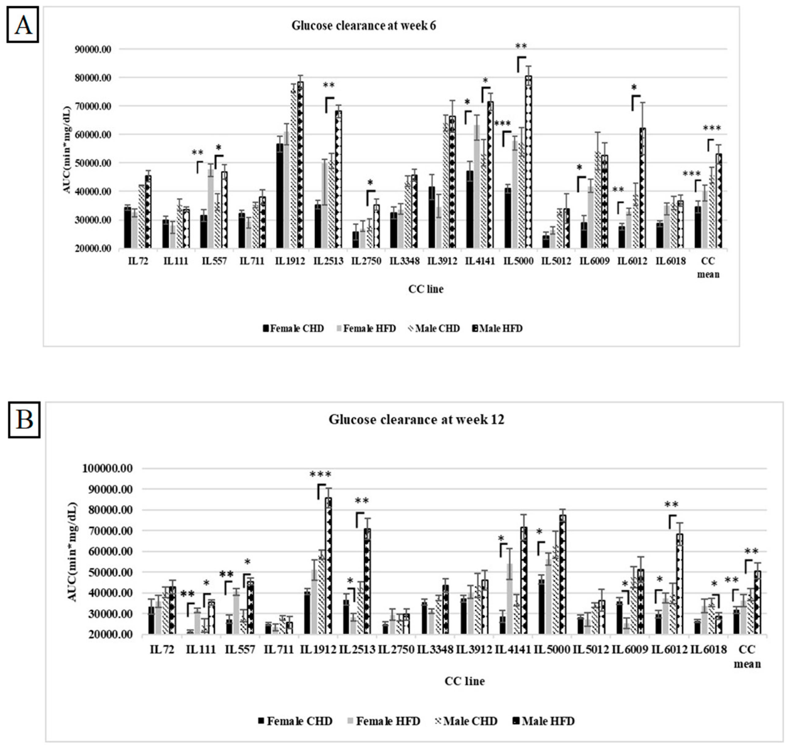
3.1. Assessments of Glucose Clearance in CC Cohort as a Response to Diet at Different Time Points
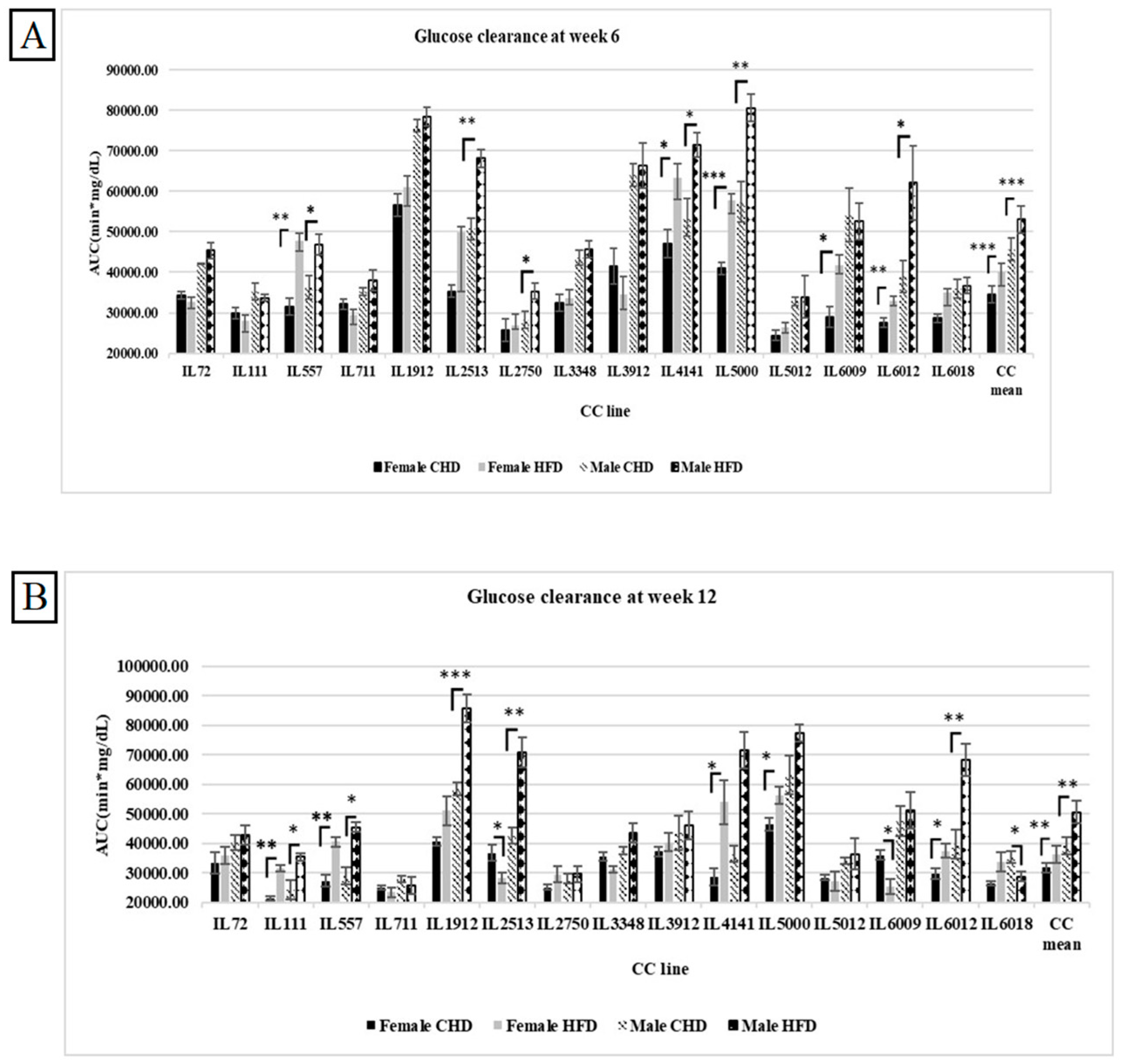
3.2. Glucose Tolerance Assessments in Response to Diet and Sex at Different Time Points
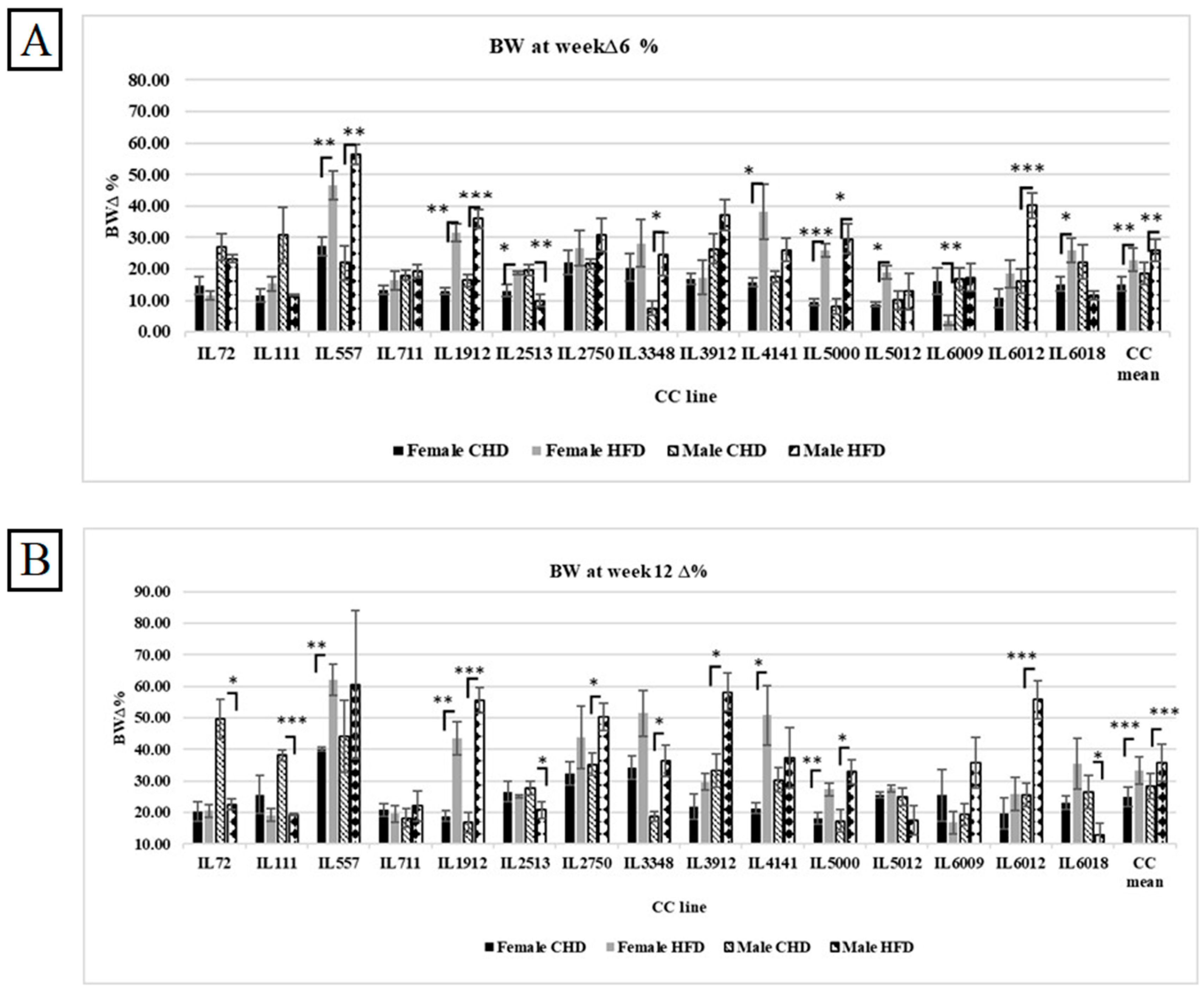
3.3. Effect of HFD on the Body Weight Changes at Two Different Time Points
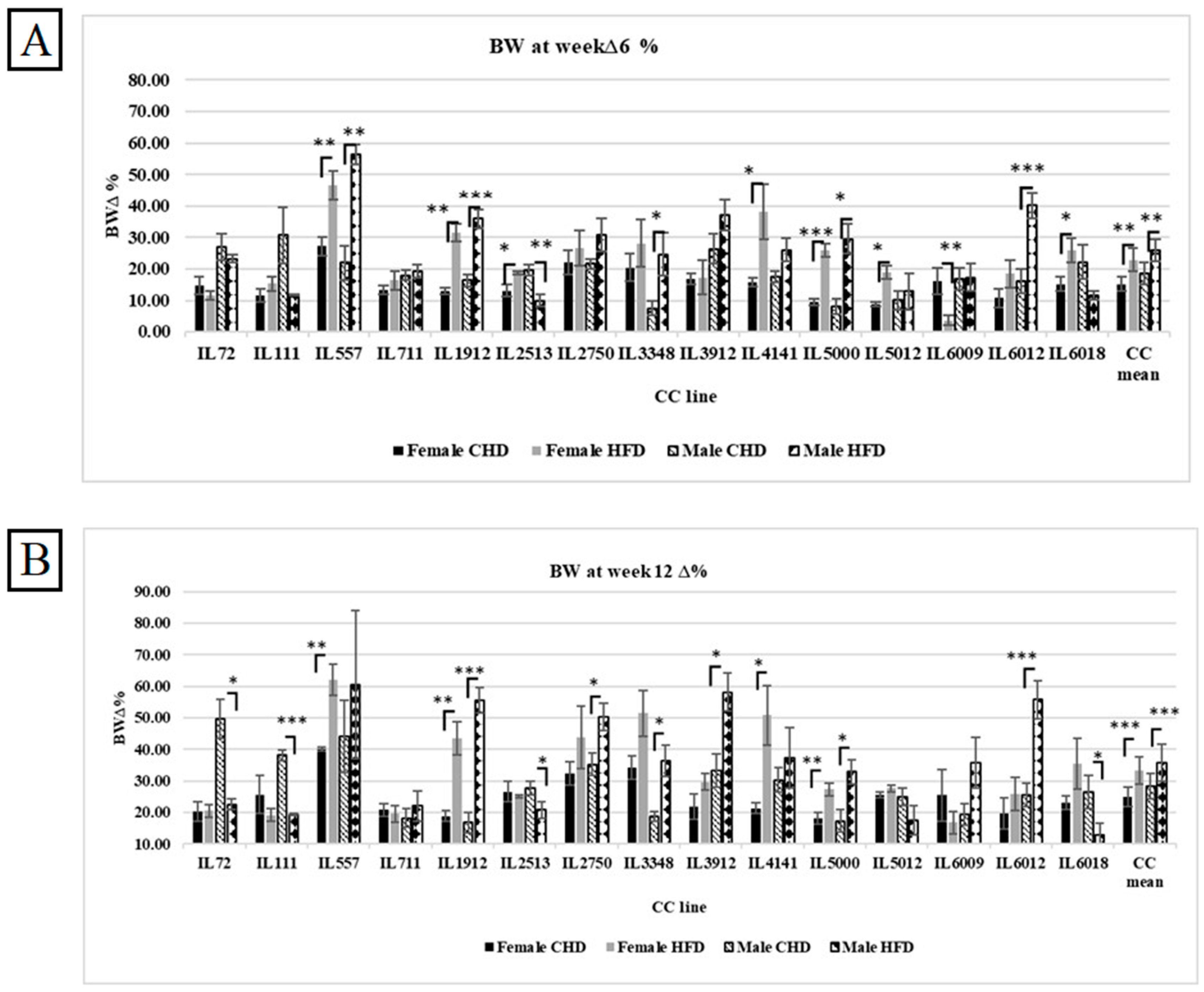
3.4. Effect of HFD and Sex on the Body Weight Changes at Two Different Time Points
3.5. Intestinal Polyp Development Due to HFD Consumption in Different CC Lines
3.6. Intestinal Polyp Development Under the Influence of Diet and Sex in Different CC Lines
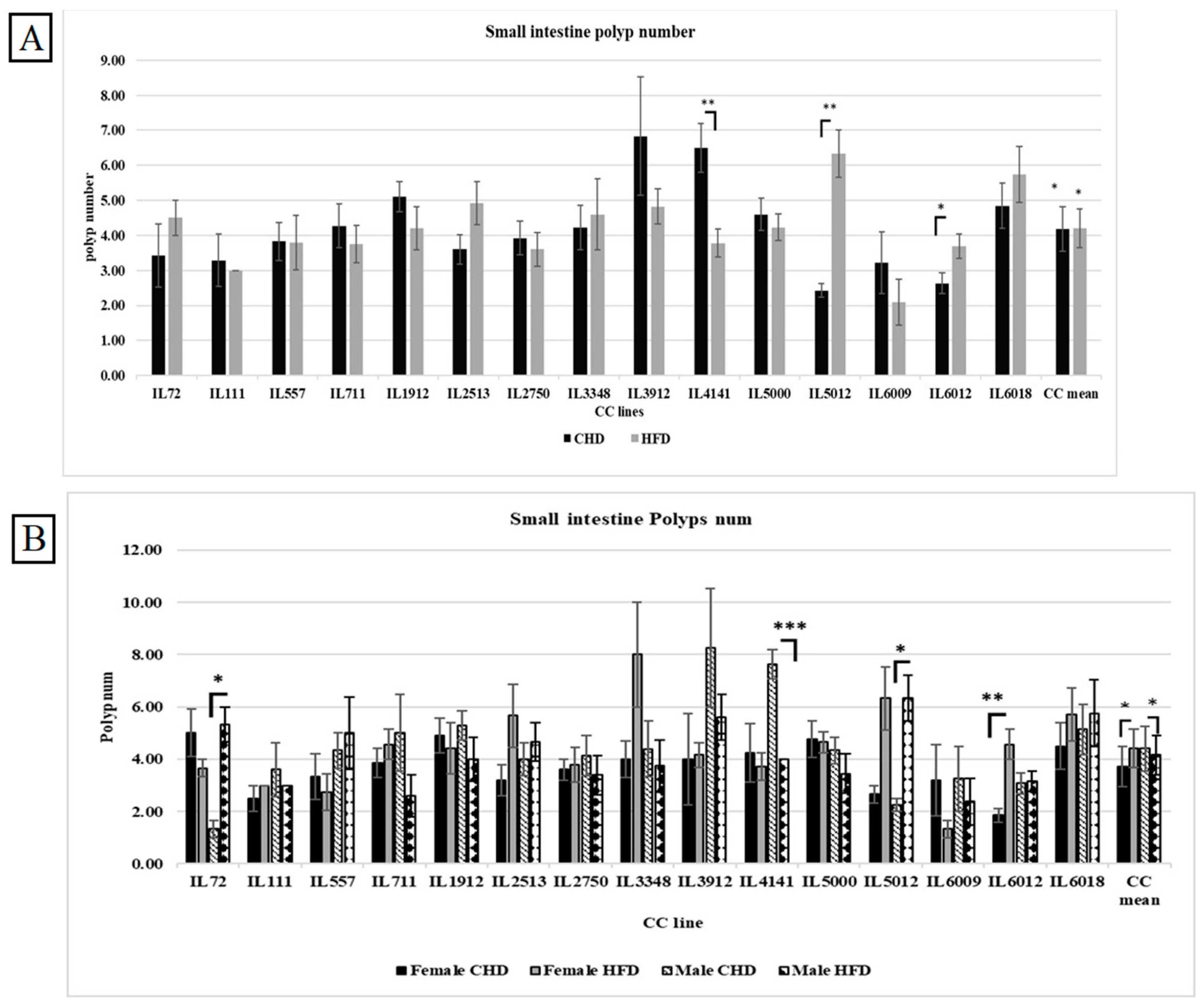
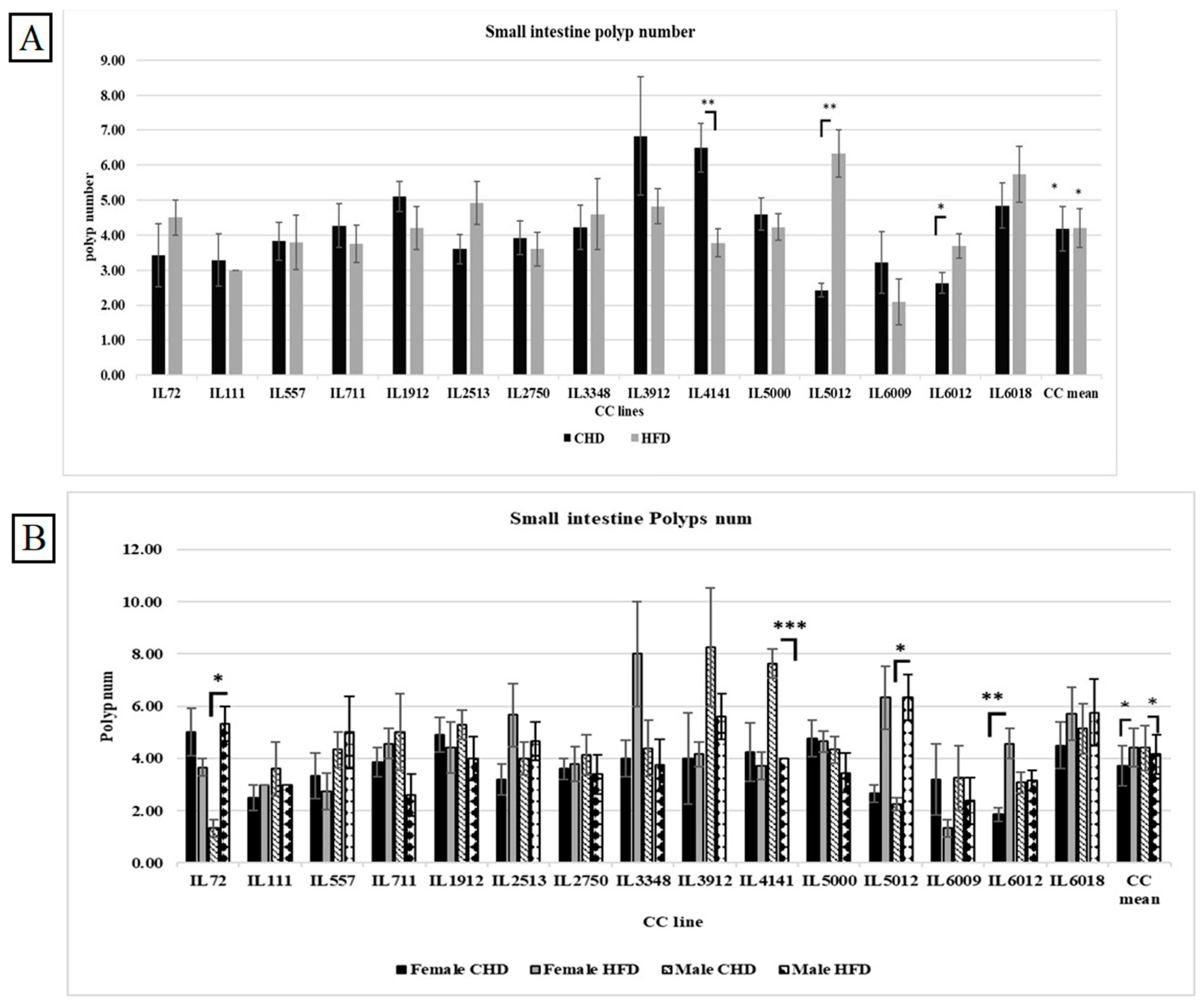
3.7. Small Intestinal Polyp Development Under the Influence of Diet in Different CC Lines
3.8. Small Intestinal Polyp Development Under the Influence of Diet and Sex in Different CC Lines
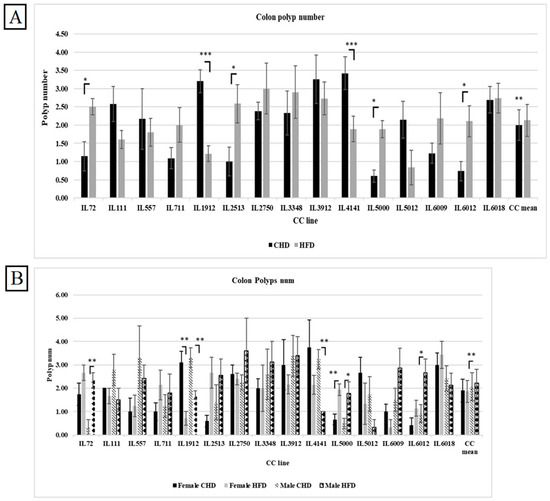
3.9. Colon Polyp Development Under the Influence of Diet in the Overall Population, Regardless of Sex
3.10. Colon Polyp Development Under the Influence of Diet and Sex in Different CC Lines
3.11. Assessment of Cytokines Profile of the CC Lines Under Dietary Challenge
3.12. Correlation Analysis Between the Studied Phenotypes
3.13. Heritability
4. Discussion
5. Conclusions
Supplementary Materials
Author Contributions
Funding
Institutional Review Board Statement
Informed Consent Statement
Data Availability Statement
Conflicts of Interest
References
- Cheng, L.; Eng, C.; Nieman, L.Z.; Kapadia, A.S.; Du, X.L. Trends in Colorectal Cancer Incidence by Anatomic Site and Disease Stage in the United States from 1976 to 2005. Am. J. Clin. Oncol. 2011, 34, 573–580. [Google Scholar] [CrossRef] [PubMed]
- Abualkhair, W.H.; Zhou, M.; Ahnen, D.; Yu, Q.; Wu, X.C.; Karlitz, J.J. Trends in Incidence of Early-Onset Colorectal Cancer in the United States Among Those Approaching Screening Age. JAMA Netw. Open 2020, 3, e1920407. [Google Scholar] [CrossRef] [PubMed]
- Arnold, M.; Sierra, M.S.; Laversanne, M.; Soerjomataram, I.; Jemal, A.; Bray, F. Global Patterns and Trends in Colorectal Cancer Incidence and Mortality. Gut 2017, 66, 683–691. [Google Scholar] [CrossRef] [PubMed]
- Patel, S.G.; Ahnen, D.J. Familial Colon Cancer Syndromes: An Update of a Rapidly Evolving Field. Curr. Gastroenterol. Rep. 2012, 14, 428. [Google Scholar] [CrossRef]
- Lowery, J.T.; Ahnen, D.J.; Schroy, P.C.; Hampel, H.; Baxter, N.; Boland, C.R.; Burt, R.W.; Butterly, L.; Doerr, M.; Doroshenk, M.; et al. Understanding the Contribution of Family History to Colorectal Cancer Risk and Its Clinical Implications: A State-of-the-Science Review. Cancer 2016, 122, 2633–2645. [Google Scholar] [CrossRef]
- Jones, W.F.; Ahnen, D.J.; Schroy, P.C. Improving On-Time Colorectal Cancer Screening through Lead Time Messaging. Cancer 2020, 126, 247–252. [Google Scholar] [CrossRef]
- Peters, U.; Hutter, C.M.; Hsu, L.; Schumacher, F.R.; Conti, D.V.; Carlson, C.S.; Edlund, C.K.; Haile, R.W.; Gallinger, S.; Zanke, B.W.; et al. Meta-Analysis of New Genome-Wide Association Studies of Colorectal Cancer Risk. Hum. Genet. 2012, 131, 217–234. [Google Scholar] [CrossRef]
- Corley, D.A.; Jensen, C.D.; Marks, A.R.; Zhao, W.K.; de Boer, J.; Levin, T.R.; Doubeni, C.; Fireman, B.H.; Quesenberry, C.P. Variation of Adenoma Prevalence by Age, Sex, Race, and Colon Location in a Large Population: Implications for Screening and Quality Programs. Clin. Gastroenterol. Hepatol. 2012, 11, 172. [Google Scholar] [CrossRef]
- Wisse, B.E. The Inflammatory Syndrome: The Role of Adipose Tissue Cytokines in Metabolic Disorders Linked to Obesity. J. Am. Soc. Nephrol. 2004, 15, 2792–2800. [Google Scholar] [CrossRef]
- Flegal, K.M.; Carroll, M.D.; Ogden, C.L.; Curtin, L.R. Prevalence and Trends in Obesity among US Adults, 1999-2008. JAMA 2010, 303, 235–241. [Google Scholar] [CrossRef]
- Agha, M.; Agha, R. The Rising Prevalence of Obesity: Part A: Impact on Public Health. Int. J. Surg. Oncol. 2017, 2, e17. [Google Scholar] [CrossRef] [PubMed]
- DeFronzo, R.A. Insulin Resistance: A Multifaceted Syndrome Responsible for NIDDM, Obesity, Hypertension, Dyslipidaemia and Atherosclerosis. Neth. J. Med. 1997, 50, 191–197. [Google Scholar] [CrossRef]
- Després, J.-P.; Despré, J.-P. Is Visceral Obesity the Cause of the Metabolic Syndrome? Ann. Med. 2006, 38, 52–63. [Google Scholar] [CrossRef] [PubMed]
- Liew, C.W.; Boucher, J.; Cheong, J.K.; Vernochet, C.; Koh, H.J.; Mallol, C.; Townsend, K.; Langin, D.; Kawamori, D.; Hu, J.; et al. Ablation of TRIP-Br2, a Novel Regulator of Fat Lipolysis, Thermogenesis and Oxidative Metabolism, Prevents Diet-Induced Obesity and Insulin Resistance. Nat. Med. 2013, 19, 217. [Google Scholar] [CrossRef] [PubMed]
- Figueiredo, P.S.; Inada, A.C.; Marcelino, G.; Cardozo, C.M.L.; Freitas, K.D.C.; Guimarães, R.D.C.A.; de Castro, A.P.; do Nascimento, V.A.; Hiane, P.A. Fatty Acids Consumption: The Role Metabolic Aspects Involved in Obesity and Its Associated Disorders. Nutrients 2017, 9, 1158. [Google Scholar] [CrossRef]
- Tan, B.L.; Norhaizan, M.E. Effect of High-Fat Diets on Oxidative Stress, Cellular Inflammatory Response and Cognitive Function. Nutrients 2019, 11, 2579. [Google Scholar] [CrossRef]
- Li, B.; Leung, J.C.K.; Chan, L.Y.Y.; Yiu, W.H.; Tang, S.C.W. A Global Perspective on the Crosstalk between Saturated Fatty Acids and Toll-like Receptor 4 in the Etiology of Inflammation and Insulin Resistance. Prog. Lipid Res. 2020, 77, 101020. [Google Scholar] [CrossRef]
- Chen, J.; Huang, X.F. High Fat Diet-Induced Obesity Increases the Formation of Colon Polyps Induced by Azoxymethane in Mice. Ann. Transl. Med. 2015, 3, 6–79. [Google Scholar] [CrossRef]
- Ngo, H.T.; Hetland, R.B.; Nygaard, U.C.; Steffensen, I.L. Genetic and Diet-Induced Obesity Increased Intestinal Tumorigenesis in the Double Mutant Mouse Model Multiple Intestinal Neoplasia X Obese via Disturbed Glucose Regulation and Inflammation. J. Obes. 2015, 2015, 343479. [Google Scholar] [CrossRef]
- Brownlee, M. The Pathobiology of Diabetic Complications: A Unifying Mechanism. Diabetes 2005, 54, 1615–1625. [Google Scholar] [CrossRef]
- Dandona, P.; Aljada, A.; Bandyopadhyay, A. Inflammation: The Link between Insulin Resistance, Obesity and Diabetes. Trends Immunol. 2004, 25, 4–7. [Google Scholar] [CrossRef] [PubMed]
- Civelek, M.; Lusis, A.J. Systems Genetics Approaches to Understand Complex Traits. Nat. Rev. Genet. 2013, 15, 34–48. [Google Scholar] [CrossRef] [PubMed]
- Lone, I.M.; Iraqi, F.A. Genetics of Murine Type 2 Diabetes and Comorbidities. Mamm. Genome 2022, 33, 421–436. [Google Scholar] [CrossRef] [PubMed]
- Dai, J.; Gu, J.; Huang, M.; Eng, C.; Kopetz, E.S.; Ellis, L.M.; Hawk, E.; Wu, X. GWAS-Identified Colorectal Cancer Susceptibility Loci Associated with Clinical Outcomes. Carcinogenesis 2012, 33, 1327–1331. [Google Scholar] [CrossRef] [PubMed]
- Churchill, G.A.; Airey, D.C.; Allayee, H.; Angel, J.M.; Attie, A.D.; Beatty, J.; Beavis, W.D.; Belknap, J.K.; Bennett, B.; Berrettini, W.; et al. The Collaborative Cross, a Community Resource for the Genetic Analysis of Complex Traits. Nat. Genet. 2004, 36, 1133–1137. [Google Scholar] [CrossRef] [PubMed]
- Abu-Toamih-Atamni, H.J.; Lone, I.M.; Binenbaum, I.; Mott, R.; Pilalis, E.; Chatziioannou, A.; Iraqi, F.A. Mapping Novel QTL and Fine Mapping of Previously Identified QTL Associated with Glucose Tolerance Using the Collaborative Cross Mice. Mamm. Genome 2023, 35, 31–55. [Google Scholar] [CrossRef]
- Ghnaim, A.; Lone, I.M.; Nun, N.B.; Iraqi, F.A. Unraveling the Host Genetic Background Effect on Internal Organ Weight Influenced by Obesity and Diabetes Using Collaborative Cross Mice. Int. J. Mol. Sci. 2023, 24, 8201. [Google Scholar] [CrossRef]
- Rudling, R.; Hassan, A.B.; Kitau, J.; Mandir, N.; Goodlad, R.A. A Simple Device to Rapidly Prepare Whole Mounts of Murine Intestine. Cell Prolif. 2006, 39, 415–420. [Google Scholar] [CrossRef]
- Dorman, A.; Baer, D.; Tomlinson, I.; Mott, R.; Iraqi, F.A. Genetic Analysis of Intestinal Polyp Development in Collaborative Cross Mice Carrying the Apc Min/+ Mutation. BMC Genet. 2016, 17, 46. [Google Scholar] [CrossRef]
- Kopelman, P.G. Obesity as a Medical Problem. Nature 2000, 404, 635–643. [Google Scholar] [CrossRef]
- Ataey, A.; Jafarvand, E.; Adham, D.; Moradi-Asl, E. The Relationship Between Obesity, Overweight, and the Human Development Index in World Health Organization Eastern Mediterranean Region Countries. J. Prev. Med. Public Health 2020, 53, 98. [Google Scholar] [CrossRef] [PubMed]
- World Health Organization. Obesity: Preventing and Managing the Global Epidemic. In Report of a WHO Consultation; World Health Organization Technical Report Series; World Health Organization: Geneva, Switzerland, 2000; Volume 894, pp. 1–253. [Google Scholar]
- Heymsfield, S.B.; Wadden, T.A. Mechanisms, Pathophysiology, and Management of Obesity. N. Engl. J. Med. 2017, 376, 254–266. [Google Scholar] [CrossRef] [PubMed]
- Wu, Y.; Duan, H.; Tian, X.; Xu, C.; Wang, W.; Jiang, W.; Pang, Z.; Zhang, D.; Tan, Q. Genetics of Obesity Traits: A Bivariate Genome-Wide Association Analysis. Front. Genet. 2018, 9, 311063. [Google Scholar] [CrossRef] [PubMed]
- Chen, J.; Wang, X.; He, Q.; Bulus, N.; Fogo, A.B.; Zhang, M.Z.; Harris, R.C. YAP Activation in Renal Proximal Tubule Cells Drives Diabetic Renal Interstitial Fibrogenesis. Diabetes 2020, 69, 2446–2457. [Google Scholar] [CrossRef]
- Chen, J.; Sun, M.; Adeyemo, A.; Pirie, F.; Carstensen, T.; Pomilla, C.; Doumatey, A.P.; Chen, G.; Young, E.H.; Sandhu, M.; et al. Genome-Wide Association Study of Type 2 Diabetes in Africa. Diabetologia 2019, 62, 1204–1211. [Google Scholar] [CrossRef]
- Bogardus, C. Missing Heritability and GWAS Utility. Obesity 2009, 17, 209. [Google Scholar] [CrossRef]
- Kojta, I.; Chacińska, M.; Błachnio-Zabielska, A. Obesity, Bioactive Lipids, and Adipose Tissue Inflammation in Insulin Resistance. Nutrients 2020, 12, 1305. [Google Scholar] [CrossRef]
- Yosief, R.H.S.; Lone, I.M.; Nachshon, A.; Himmelbauer, H.; Gat-Viks, I.; Iraqi, F.A. Identifying Genetic Susceptibility to Aspergillus Fumigatus Infection Using Collaborative Cross Mice and RNA-Seq Approach. Anim. Model. Exp. Med. 2024, 7, 36–47. [Google Scholar] [CrossRef]
- Grahn, S.W.; Varma, M.G. Factors That Increase Risk of Colon Polyps. Clin. Colon. Rectal Surg. 2008, 21, 247. [Google Scholar] [CrossRef]
- Zohud, O.; Lone, I.M.; Nashef, A.; Iraqi, F.A.; Fuad Iraqi, C.A. Towards System Genetics Analysis of Head and Neck Squamous Cell Carcinoma Using the Mouse Model, Cellular Platform, and Clinical Human Data. Anim. Models Exp. Med. 2023, 6, 537–558. [Google Scholar] [CrossRef]
- Lone, I.M.; Nun, N.B.; Ghnaim, A.; Schaefer, A.S.; Houri-Haddad, Y.; Iraqi, F.A. High-Fat Diet and Oral Infection Induced Type 2 Diabetes and Obesity Development under Different Genetic Backgrounds. Anim. Model. Exp. Med. 2023, 6, 131–145. [Google Scholar] [CrossRef] [PubMed]
- Lone, I.M.; Midlej, K.; Nun, N.B.; Iraqi, F.A. Intestinal Cancer Development in Response to Oral Infection with High-Fat Diet-Induced Type 2 Diabetes (T2D) in Collaborative Cross Mice under Different Host Genetic Background Effects. Mamm. Genome 2023, 34, 56–75. [Google Scholar] [CrossRef] [PubMed]
- Diels, S.; Vanden Berghe, W.; Van Hul, W. Insights into the Multifactorial Causation of Obesity by Integrated Genetic and Epigenetic Analysis. Obes. Rev. 2020, 21, e13019. [Google Scholar] [CrossRef] [PubMed]
- Franks, P.W.; McCarthy, M.I. Exposing the Exposures Responsible for Type 2 Diabetes and Obesity. Science 2016, 354, 69–73. [Google Scholar] [CrossRef]









| (A) | ||||||
| Heritability | ||||||
| Trait | CHD | HFD | ||||
| Total AUC 6 | 0.598 | 0.459 | ||||
| Total AUC 12 | 0.465 | 0.483 | ||||
| %∆BW6 | 0.177 | 0.419 | ||||
| %∆BW12 | 0.236 | 0.292 | ||||
| Whole Intestinal polyp number. | 0.311 | 0.082 | ||||
| Small intestine polyp number | 0.174 | 0.097 | ||||
| Colon polyp number. | 0.349 | 0.042 | ||||
| (B) | ||||||
| Heritability | ||||||
| Female | Male | |||||
| Trait | CHD | HFD | CHD | HFD | ||
| Total AUC 6 | 0.773 | 0.617 | 0.733 | 0.559 | ||
| Total AUC 12 | 0.745 | 0.564 | 0.511 | 0.725 | ||
| %∆BW6 | 0.314 | 0.412 | 0.194 | 0.572 | ||
| %∆BW12 | 0.242 | 0.457 | 0.336 | 0.308 | ||
| Small intestine polyp number | 0.059 | 0.225 | 0.249 | 0.069 | ||
| Colon polyp number. | 0.430 | 0.238 | 0.258 | 0.013 | ||
Disclaimer/Publisher’s Note: The statements, opinions and data contained in all publications are solely those of the individual author(s) and contributor(s) and not of MDPI and/or the editor(s). MDPI and/or the editor(s) disclaim responsibility for any injury to people or property resulting from any ideas, methods, instructions or products referred to in the content. |
© 2024 by the authors. Licensee MDPI, Basel, Switzerland. This article is an open access article distributed under the terms and conditions of the Creative Commons Attribution (CC BY) license (https://creativecommons.org/licenses/by/4.0/).
Share and Cite
Ghnaim, A.; Midlej, K.; Zohud, O.; Karram, S.; Schaefer, A.; Houri-Haddad, Y.; Lone, I.M.; Iraqi, F.A. Host Genetics Background Affects Intestinal Cancer Development Associated with High-Fat Diet-Induced Obesity and Type 2 Diabetes. Cells 2024, 13, 1805. https://doi.org/10.3390/cells13211805
Ghnaim A, Midlej K, Zohud O, Karram S, Schaefer A, Houri-Haddad Y, Lone IM, Iraqi FA. Host Genetics Background Affects Intestinal Cancer Development Associated with High-Fat Diet-Induced Obesity and Type 2 Diabetes. Cells. 2024; 13(21):1805. https://doi.org/10.3390/cells13211805
Chicago/Turabian StyleGhnaim, Aya, Kareem Midlej, Osayd Zohud, Sama Karram, Arne Schaefer, Yael Houri-Haddad, Iqbal M. Lone, and Fuad A. Iraqi. 2024. "Host Genetics Background Affects Intestinal Cancer Development Associated with High-Fat Diet-Induced Obesity and Type 2 Diabetes" Cells 13, no. 21: 1805. https://doi.org/10.3390/cells13211805
APA StyleGhnaim, A., Midlej, K., Zohud, O., Karram, S., Schaefer, A., Houri-Haddad, Y., Lone, I. M., & Iraqi, F. A. (2024). Host Genetics Background Affects Intestinal Cancer Development Associated with High-Fat Diet-Induced Obesity and Type 2 Diabetes. Cells, 13(21), 1805. https://doi.org/10.3390/cells13211805

