Phenotypic and Genetic Evidence for a More Prominent Role of Blood Glucose than Cholesterol in Atherosclerosis of Hyperlipidemic Mice
Abstract
1. Introduction
2. Materials and Methods
2.1. Mice
2.2. Measurement of Atherosclerotic Lesions
2.3. Glucose Assay
2.4. Lipid Assays
2.5. Genotyping
2.6. Statistical Analysis
2.7. Causal Inference from Deep Analysis of Overlap QTL
2.8. Prioritization of Candidate Genes
3. Results
3.1. Atherosclerotic Lesion Analysis
3.2. QTL Analysis
3.3. Coincident QTL for Atherosclerotic Lesions, Plasma Glucose and Lipids
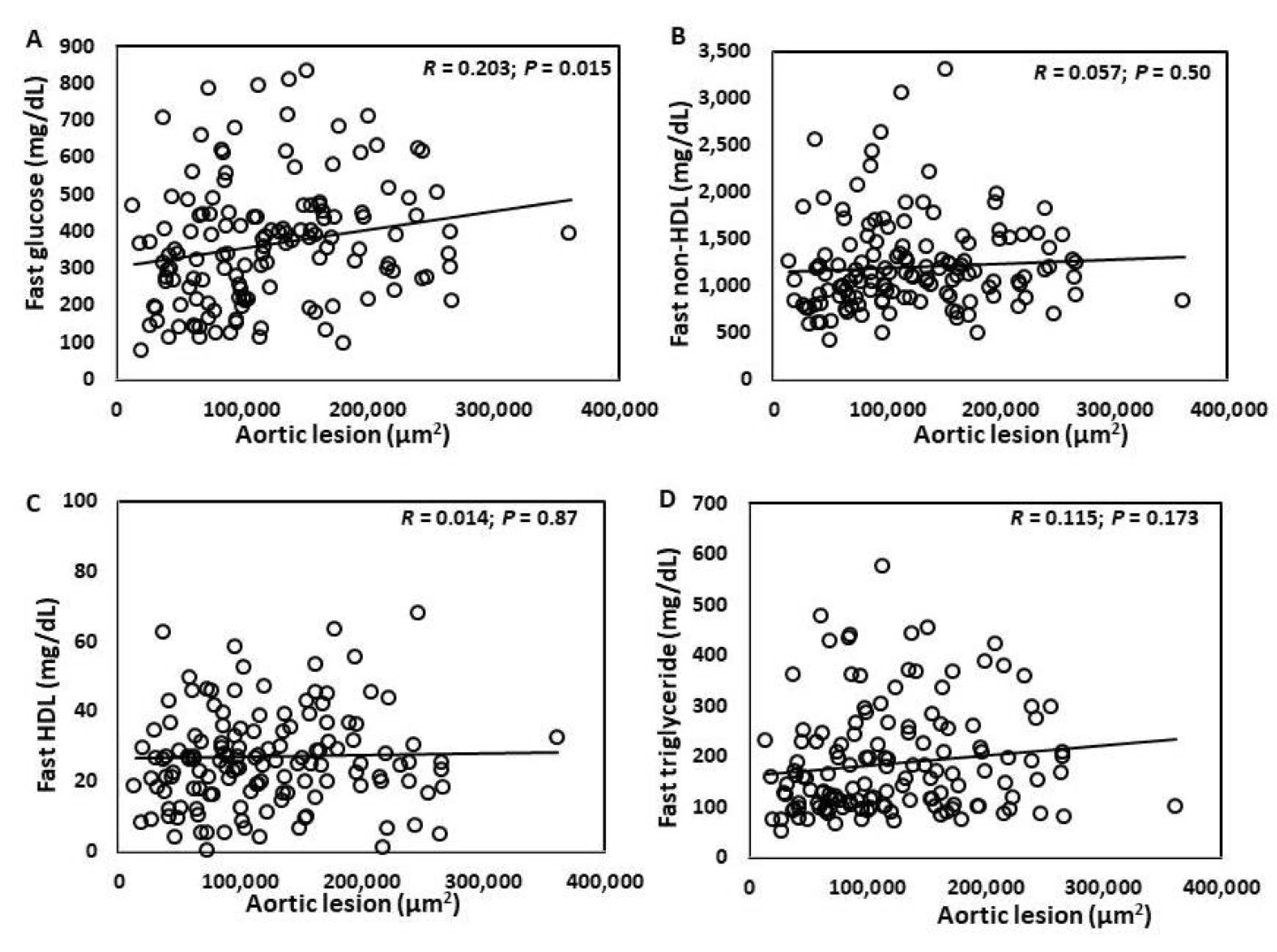
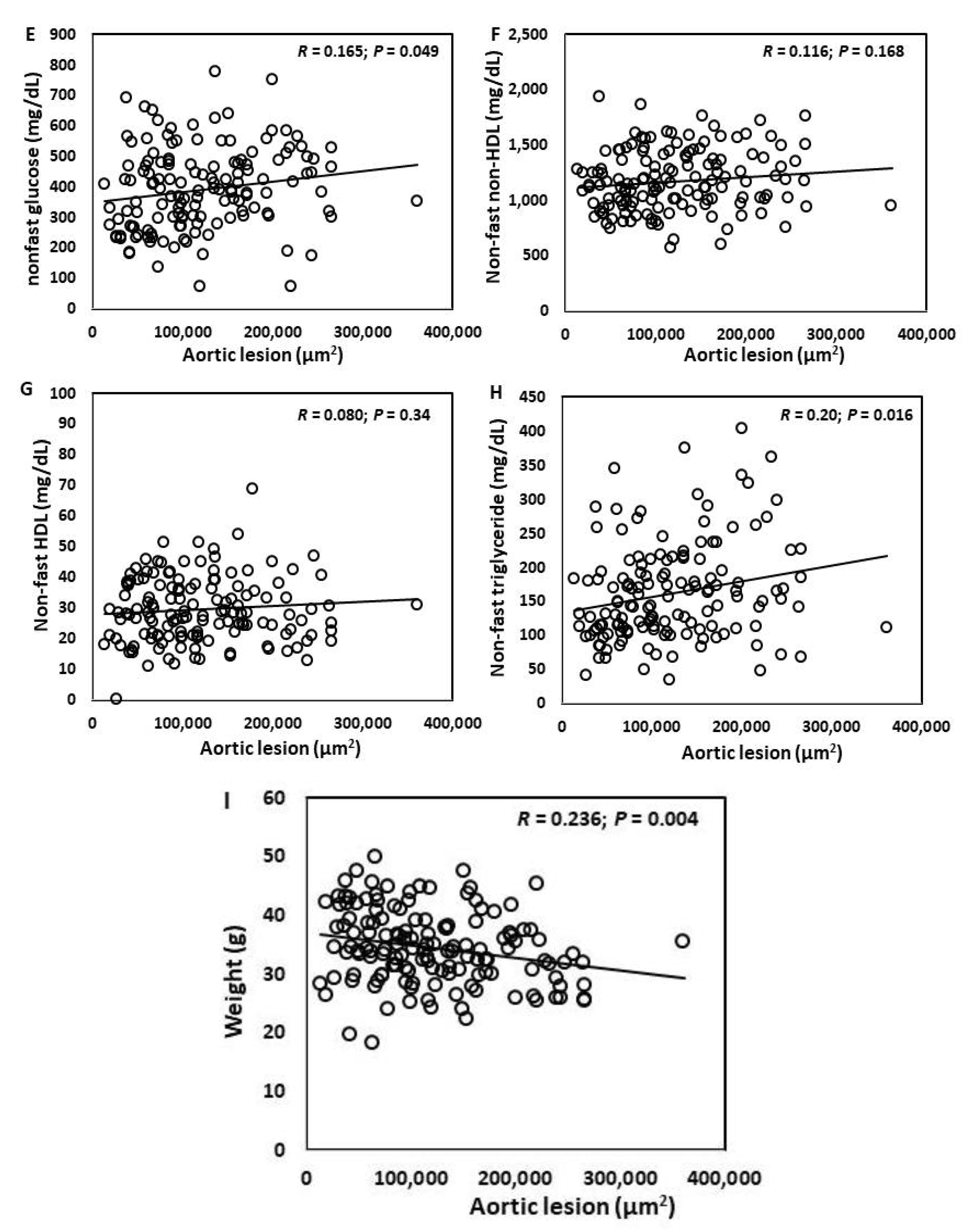
3.4. Associations of Atherosclerotic Lesion Sizes with Plasma Glucose, Lipid Levels and Body Weight
3.5. Causal Associations of Atherosclerotic Lesion Sizes with Plasma Glucose, Triglyceride and Body Weight
3.6. Prioritization of Candidate Genes for Significant QTL
4. Discussion
Supplementary Materials
Author Contributions
Funding
Institutional Review Board Statement
Informed Consent Statement
Data Availability Statement
Conflicts of Interest
References
- Stumvoll, M.; Goldstein, B.J.; Haeften, T.W. van Type 2 Diabetes: Principles of Pathogenesis and Therapy. Lancet 2005, 365, 1333–1346. [Google Scholar] [CrossRef]
- Martín-Timón, I.; Sevillano-Collantes, C.; Segura-Galindo, A.; del Cañizo-Gómez, F.J. Type 2 Diabetes and Cardiovascular Disease: Have All Risk Factors the Same Strength? World J. Diabetes 2014, 5, 444–470. [Google Scholar] [CrossRef] [PubMed]
- Bellou, V.; Belbasis, L.; Tzoulaki, I.; Evangelou, E. Risk Factors for Type 2 Diabetes Mellitus: An Exposure-Wide Umbrella Review of Meta-Analyses. PLoS ONE 2018, 13, e0194127. [Google Scholar] [CrossRef] [PubMed]
- De Rosa, S.; Arcidiacono, B.; Chiefari, E.; Brunetti, A.; Indolfi, C.; Foti, D.P. Type 2 Diabetes Mellitus and Cardiovascular Disease: Genetic and Epigenetic Links. Front. Endocrinol. 2018, 9, 2. [Google Scholar] [CrossRef] [PubMed]
- Mani, A.; Radhakrishnan, J.; Wang, H.; Mani, A.; Mani, M.A.; Nelson-Williams, C.; Carew, K.S.; Mane, S.; Najmabadi, H.; Wu, D.; et al. LRP6 Mutation in a Family with Early Coronary Disease and Metabolic Risk Factors. Science 2007, 315, 1278–1282. [Google Scholar] [CrossRef]
- Bodzioch, M.; Orso, E.; Klucken, J.; Langmann, T.; Bottcher, A.; Diederich, W.; Drobnik, W.; Barlage, S.; Buchler, C.; Porsch-Ozcurumez, M.; et al. The Gene Encoding ATP-Binding Cassette Transporter 1 Is Mutated in Tangier Disease. Nat. Genet. 1999, 22, 347–351. [Google Scholar] [CrossRef]
- Saleheen, D.; Nazir, A.; Khanum, S.; Haider, S.R.; Frossard, P.M. R1615P: A Novel Mutation in ABCA1 Associated with Low Levels of HDL and Type II Diabetes Mellitus. Int. J. Cardiol. 2006, 110, 259–260. [Google Scholar] [CrossRef]
- Albert, J.S.; Yerges-Armstrong, L.M.; Horenstein, R.B.; Pollin, T.I.; Sreenivasan, U.T.; Chai, S.; Blaner, W.S.; Snitker, S.; O’Connell, J.R.; Gong, D.W.; et al. Null Mutation in Hormone-Sensitive Lipase Gene and Risk of Type 2 Diabetes. N. Engl. J. Med. 2014, 370, 2307–2315. [Google Scholar] [CrossRef]
- Hu, Y.; Ren, Y.; Luo, R.Z.; Mao, X.; Li, X.; Cao, X.; Guan, L.; Chen, X.; Li, J.; Long, Y.; et al. Novel Mutations of the Lipoprotein Lipase Gene Associated with Hypertriglyceridemia in Members of Type 2 Diabetic Pedigrees. J. Lipid Res. 2007, 48, 1681–1688. [Google Scholar] [CrossRef]
- Pulai, J.I.; Latour, M.A.; Kwok, P.Y.; Schonfeld, G. Diabetes Mellitus in a New Kindred with Familial Hypobetalipoproteinemia and an Apolipoprotein B Truncation (ApoB-55). Atherosclerosis 1998, 136, 289–295. [Google Scholar] [CrossRef]
- Goodarzi, M.O.; Rotter, J.I. Genetics Insights in the Relationship Between Type 2 Diabetes and Coronary Heart Disease. Circ. Res. 2020, 126, 1526–1548. [Google Scholar] [CrossRef] [PubMed]
- Nakashima, Y.; Plump, A.S.; Raines, E.W.; Breslow, J.L.; Ross, R. ApoE-Deficient Mice Develop Lesions of All Phases of Atherosclerosis throughout the Arterial Tree. Arterioscler. Thromb. A J. Vasc. Biol./Am. Heart Assoc. 1994, 14, 133–140. [Google Scholar] [CrossRef] [PubMed]
- Su, Z.; Li, Y.; James, J.C.; Matsumoto, A.H.; Helm, G.A.; Lusis, A.J.; Shi, W. Genetic Linkage of Hyperglycemia, Body Weight and Serum Amyloid-P in an Intercross between C57BL/6 and C3H Apolipoprotein E-Deficient Mice. Hum. Mol. Genet. 2006, 15, 1650–1658. [Google Scholar] [CrossRef] [PubMed]
- Liu, S.; Li, J.; Chen, M.H.; Liu, Z.; Shi, W. Variation in Type 2 Diabetes-Related Phenotypes among Apolipoprotein E-Deficient Mouse Strains. PLoS ONE 2015, 10, e0120935. [Google Scholar] [CrossRef]
- Zhang, Z.; Rowlan, J.S.; Wang, Q.; Shi, W. Genetic Analysis of Atherosclerosis and Glucose Homeostasis in an Intercross between C57BL/6 and BALB/CJ Apolipoprotein E-Deficient Mice. Circulation. Cardiovasc. Genet. 2012, 5, 190–201. [Google Scholar] [CrossRef][Green Version]
- Shi, L.J.; Chagari, B.; An, A.; Chen, M.-H.; Bao, Y.; Shi, W. Genetic Connection between Hyperglycemia and Carotid Atherosclerosis in Hyperlipidemic Mice. Genes 2022, 13, 510. [Google Scholar] [CrossRef]
- Fuller, D.T.; Grainger, A.T.; Manichaikul, A.; Shi, W. Genetic Linkage of Oxidative Stress with Cardiometabolic Traits in an Intercross Derived from Hyperlipidemic Mouse Strains. Atherosclerosis 2019, 293, 1–10. [Google Scholar] [CrossRef]
- Li, Y.; Tesson, B.M.; Churchill, G.A.; Jansen, R.C. Critical Reasoning on Causal Inference in Genome-Wide Linkage and Association Studies. Trends Genet. 2010, 26, 493–498. [Google Scholar] [CrossRef]
- Lilue, J.; Doran, A.G.; Fiddes, I.T.; Abrudan, M.; Armstrong, J.; Bennett, R.; Chow, W.; Collins, J.; Collins, S.; Czechanski, A.; et al. Sixteen Diverse Laboratory Mouse Reference Genomes Define Strain-Specific Haplotypes and Novel Functional Loci. Nat. Genet. 2018, 50, 1574–1583. [Google Scholar] [CrossRef]
- Parks, B.W.; Sallam, T.; Mehrabian, M.; Psychogios, N.; Hui, S.T.; Norheim, F.; Castellani, L.W.; Rau, C.; Pan, C.; Phun, J.; et al. Genetic Architecture of Insulin Resistance in the Mouse. Cell Metab. 2015, 21, 334–346. [Google Scholar] [CrossRef]
- Bennett, B.J.; Davis, R.C.; Civelek, M.; Orozco, L.; Wu, J.; Qi, H.; Pan, C.; Packard, R.R.; Eskin, E.; Yan, M.; et al. Genetic Architecture of Atherosclerosis in Mice: A Systems Genetics Analysis of Common Inbred Strains. PLoS Genet. 2015, 11, e1005711. [Google Scholar] [CrossRef] [PubMed]
- Shi, W.; Wang, Q.; Choi, W.; Li, J. Mapping and Congenic Dissection of Genetic Loci Contributing to Hyperglycemia and Dyslipidemia in Mice. PLoS ONE 2016, 11, e0148462. [Google Scholar] [CrossRef]
- Shi, W.; Li, J.; Bao, K.; Chen, M.-H.; Liu, Z. Ldlr-Deficient Mice with an Atherosclerosis-Resistant Background Develop Severe Hyperglycemia and Type 2 Diabetes on a Western-Type Diet. Biomedicines 2022, 10, 1429. [Google Scholar] [CrossRef] [PubMed]
- Wang, Q.; Grainger, A.T.; Manichaikul, A.; Farber, E.; Onengut-Gumuscu, S.; Shi, W. Genetic Linkage of Hyperglycemia and Dyslipidemia in an Intercross between BALB/CJ and SM/J Apoe-Deficient Mouse Strains. BMC Genet. 2015, 16, 133. [Google Scholar] [CrossRef] [PubMed]
- Qiao, J.H.; Xie, P.Z.; Fishbein, M.C.; Kreuzer, J.; Drake, T.A.; Demer, L.L.; Lusis, A.J. Pathology of Atheromatous Lesions in Inbred and Genetically Engineered Mice. Genetic Determination of Arterial Calcification. Arterioscler. Thromb. A J. Vasc. Biol. Am. Heart Assoc. 1994, 14, 1480–1497. [Google Scholar] [CrossRef] [PubMed]
- Shi, L.J.; Tang, X.; He, J.; Shi, W. Hyperlipidemia Influences the Accuracy of Glucometer-Measured Blood Glucose Concentrations in Genetically Diverse Mice. Am. J. Med. Sci. 2021, 362, 297–302. [Google Scholar] [CrossRef]
- Tian, J.; Pei, H.; James, J.C.; Li, Y.; Matsumoto, A.H.; Helm, G.A.; Shi, W. Circulating Adhesion Molecules in ApoE-Deficient Mouse Strains with Different Atherosclerosis Susceptibility. Biochem. Biophys. Res. Commun. 2005, 329, 1102–1107. [Google Scholar] [CrossRef]
- Grainger, A.T.; Jones, M.B.; Li, J.; Chen, M.-H.; Manichaikul, A.; Shi, W. Genetic Analysis of Atherosclerosis Identifies a Major Susceptibility Locus in the Major Histocompatibility Complex of Mice. Atherosclerosis 2016, 254, 124–132. [Google Scholar] [CrossRef]
- Joner, M.; Morimoto, K.; Kasukawa, H.; Steigerwald, K.; Merl, S.; Nakazawa, G.; John, M.C.; Finn, A.V.; Acampado, E.; Kolodgie, F.D.; et al. Site-Specific Targeting of Nanoparticle Prednisolone Reduces in-Stent Restenosis in a Rabbit Model of Established Atheroma. Arterioscler. Thromb. Vasc. Biol. 2008, 28, 1960–1966. [Google Scholar] [CrossRef]
- Abiola, O.; Angel, J.M.; Avner, P.; Bachmanov, A.A.; Belknap, J.K.; Bennett, B.; Blankenhorn, E.P.; Blizard, D.A.; Bolivar, V.; Brockmann, G.A.; et al. The Nature and Identification of Quantitative Trait Loci: A Community’s View. Nat. Rev. Genet. 2003, 4, 911–916. [Google Scholar] [CrossRef]
- Delpero, M.; Arends, D.; Sprechert, M.; Krause, F.; Kluth, O.; Schürmann, A.; Brockmann, G.A.; Hesse, D. Identification of Four Novel QTL Linked to the Metabolic Syndrome in the Berlin Fat Mouse. Int. J. Obes. 2022, 46, 307–315. [Google Scholar] [CrossRef] [PubMed]
- Jones, M.B.; An, A.; Shi, L.J.; Shi, W. Regional Variation in Genetic Control of Atherosclerosis in Hyperlipidemic Mice. G3 (Bethesda) 2020, 10, 4679–4689. [Google Scholar] [CrossRef] [PubMed]
- Grainger, A.T.; Pilar, N.; Li, J.; Chen, M.-H.; Abramson, A.M.; Becker-Pauly, C.; Shi, W. Identification of Mep1a as a Susceptibility Gene for Atherosclerosis in Mice. Genetics 2021, 219, iyab160. [Google Scholar] [CrossRef] [PubMed]
- Garrett, N.E., 3rd; Grainger, A.T.; Li, J.; Chen, M.H.; Shi, W. Genetic Analysis of a Mouse Cross Implicates an Anti-Inflammatory Gene in Control of Atherosclerosis Susceptibility. Mamm. Genome Off. J. Int. Mamm. Genome Soc. 2017, 28, 90–99. [Google Scholar] [CrossRef]
- Vaser, R.; Adusumalli, S.; Leng, S.N.; Sikic, M.; Ng, P.C. SIFT Missense Predictions for Genomes. Nat. Protoc. 2016, 11, 1–9. [Google Scholar] [CrossRef] [PubMed]
- Teupser, D.; Tan, M.; Persky, A.D.; Breslow, J.L. Atherosclerosis Quantitative Trait Loci Are Sex- and Lineage-Dependent in an Intercross of C57BL/6 and FVB/N Low-Density Lipoprotein Receptor-/- Mice. Proc. Natl. Acad. Sci. USA. 2006, 103, 123–128. [Google Scholar] [CrossRef]
- Smith, J.D.; Bhasin, J.M.; Baglione, J.; Settle, M.; Xu, Y.; Barnard, J. Atherosclerosis Susceptibility Loci Identified from a Strain Intercross of Apolipoprotein E-Deficient Mice via a High-Density Genome Scan. Arterioscler. Thromb. Vasc. Biol. 2006, 26, 597–603. [Google Scholar] [CrossRef] [PubMed]
- Wang, S.S.; Schadt, E.E.; Wang, H.; Wang, X.; Ingram-Drake, L.; Shi, W.; Drake, T.A.; Lusis, A.J. Identification of Pathways for Atherosclerosis in Mice: Integration of Quantitative Trait Locus Analysis and Global Gene Expression Data. Circ. Res. 2007, 101, e11–e30. [Google Scholar] [CrossRef]
- Shi, L.J.; Tang, X.; He, J.; Shi, W. Genetic Evidence for a Causal Relationship between Hyperlipidemia and Type 2 Diabetes in Mice. Int. J. Mol. Sci. 2022, 23, 6184. [Google Scholar] [CrossRef]
- Wiltshire, S.; Hattersley, A.T.; Hitman, G.A.; Walker, M.; Levy, J.C.; Sampson, M.; O’Rahilly, S.; Frayling, T.M.; Bell, J.I.; Lathrop, G.M.; et al. A Genomewide Scan for Loci Predisposing to Type 2 Diabetes in a U.K. Population (the Diabetes UK Warren 2 Repository): Analysis of 573 Pedigrees Provides Independent Replication of a Susceptibility Locus on Chromosome 1q. Am. J. Hum. Genet. 2001, 69, 553–569. [Google Scholar] [CrossRef]
- Hernández-Vargas, P.; Ortiz-Muñoz, G.; López-Franco, O.; Suzuki, Y.; Gallego-Delgado, J.; Sanjuán, G.; Lázaro, A.; López-Parra, V.; Ortega, L.; Egido, J.; et al. Fcgamma Receptor Deficiency Confers Protection against Atherosclerosis in Apolipoprotein E Knockout Mice. Circ. Res. 2006, 99, 1188–1196. [Google Scholar] [CrossRef] [PubMed]
- Rowlan, J.S.; Li, Q.; Manichaikul, A.; Wang, Q.; Matsumoto, A.H.; Shi, W. Atherosclerosis Susceptibility Loci Identified in an Extremely Atherosclerosis-Resistant Mouse Strain. J. Am. Heart Assoc. 2013, 2, e000260. [Google Scholar] [CrossRef] [PubMed]
- Li, J.; Wang, Q.; Chai, W.; Chen, M.H.; Liu, Z. Hyperglycemia in Apolipoprotein E-Deficient Mouse Strains with Different Atherosclerosis Susceptibility. Cardiovasc. Diabet 2011, 10, 123. [Google Scholar] [CrossRef]
- Zhang, Y.; Kundu, B.; Zhong, M.; Huang, T.; Li, J.; Chen, M.-H.; Pan, D.; He, J.; Shi, W. PET Imaging Detection of Macrophages with a Formylpeptide Receptor Antagonist. Nucl. Med. Biol. 2015, 42, 381–386. [Google Scholar] [CrossRef]
- Langsted, A.; Nordestgaard, B.G. Nonfasting versus Fasting Lipid Profile for Cardiovascular Risk Prediction. Pathology 2019, 51, 131–141. [Google Scholar] [CrossRef] [PubMed]
- Superko, H.R.; Gadesam, R.R. Is It LDL Particle Size or Number That Correlates with Risk for Cardiovascular Disease? Curr. Atheroscler. Rep. 2008, 10, 377–385. [Google Scholar] [CrossRef] [PubMed]
- Pichler, G.; Amigo, N.; Tellez-Plaza, M.; Pardo-Cea, M.A.; Dominguez-Lucas, A.; Marrachelli, V.G.; Monleon, D.; Martin-Escudero, J.C.; Ascaso, J.F.; Chaves, F.J.; et al. LDL Particle Size and Composition and Incident Cardiovascular Disease in a South-European Population: The Hortega-Liposcale Follow-up Study. Int. J. Cardiol. 2018, 264, 172–178. [Google Scholar] [CrossRef]
- Rowlan, J.S.; Zhang, Z.; Wang, Q.; Fang, Y.; Shi, W. New Quantitative Trait Loci for Carotid Atherosclerosis Identified in an Intercross Derived from Apolipoprotein E-Deficient Mouse Strains. Physiol. Genom. 2013, 45, 332–342. [Google Scholar] [CrossRef][Green Version]
- Chagari, B.; Shi, L.J.; Dao, E.; An, A.; Chen, M.-H.; Bao, Y.; Shi, W. Genetic Connection of Carotid Atherosclerosis with Coat Color and Body Weight in an Intercross between Hyperlipidemic Mouse Strains. Physiol Genom. 2022, 54, 166–176. [Google Scholar] [CrossRef]
- Grainger, A.T.; Tustison, N.J.; Qing, K.; Roy, R.; Berr, S.S.; Shi, W. Deep Learning-Based Quantification of Abdominal Fat on Magnetic Resonance Images. PLoS ONE 2018, 13, e0204071. [Google Scholar] [CrossRef]









| Locus Name | Chr | LOD a | Peak (Mb) | Closest Marker | 95%CI (Mb) b | High Allele | Mode of Inheritance | Allelic Effect c | ||
|---|---|---|---|---|---|---|---|---|---|---|
| BB | H | LL | ||||||||
| Ath51 | 3 | 4.35 | 94.5 | gUNC5773934 | 89.8–121.8 | BB | Additive | 165964 ± 67352 | 115155 ± 70832 | 99626 ± 45297 |
| Ath32 | 13 | 2.74 | 103.6 | S1L134123348 | 71.6–117.6 | LL | Additive | 98310 ± 54368 | 121463 ± 72885 | 153891 ± 62109 |
| Ath52 | 15 | 5.42 | 43.1 | SSR151724023 | 34.2–99.0 | LL | Additive | 69437 ± 48256 | 128597 ± 63798 | 150222 ± 68151 |
| Ath53 | 15 | 4.17 | 99.0 | mUNC26203785 | 95.6–102.4 | LL | Additive | 91703 ± 61572 | 121455 ± 63792 | 156986 ± 69456 |
| Chr | Position | Gene | dbSNP | Ref | BALB_cJ | LP_J | FVB_NJ | Csq | AA | AA Coord | SIFT |
|---|---|---|---|---|---|---|---|---|---|---|---|
| 3 | 93323402 | Hrnr | rs31474194 | C | - | A | A | missense_variant | Q/K | 316 | 0.07 |
| 3 | 93323777 | Hrnr | rs214354165 | T | - | A | A | missense_variant | S/T | 441 | 0.01 |
| 3 | 93332492 | Hrnr | rs33030796 | G | - | C | C | missense_variant | G/R | 3169 | 0.23 |
| 3 | 93332617 | Hrnr | rs30076287 | A | - | T | T | missense_variant | R/S | 3210 | 0 |
| 3 | 93332685 | Hrnr | rs30991551 | G | - | A | A | missense_variant | R/K | 3410 | 0.35 |
| 3 | 93471541 | Tchhl1 | rs33037297 | G | - | T | T | missense_variant | E/D | 517 | 0.03 |
| 3 | 93796525 | Tdpoz4 | rs243361353 | T | - | C | C | missense_variant | L/P | 43 | 0.51 |
| 3 | 94317417 | Them4 | rs30700506 | C | - | T | T | missense_variant | R/C | 34 | 0.21 |
| 3 | 94364230 | C2cd4d | rs47866915 | A | - | G | G | missense_variant | S/G | 268 | 0.27 |
| 3 | 94488171 | Celf3 | rs33065732 | C | - | T | T | missense_variant | P/S | 291 | 0.25 |
| 3 | 94697430 | Selenbp2 | rs31664384 | G | - | C | C | missense_variant | M/I | 100 | 0.45 |
| 3 | 94761419 | Cgn | rs387494032 | C | - | T | T | missense_variant | D/N | 1173 | 0.13 |
| 3 | 94770138 | Cgn | rs47306886 | C | - | T | T | missense_variant | V/M | 693 | 0.16 |
| 3 | 96245528 | Hist2h2aa2 | rs31428119 | G | - | T | t | 5_prime_utr_variant | ref as H2ac19 | ||
| 3 | 96269739 | Hist2h2bb | rs30653282 | G | - | A | A | 5_prime_utr_variant | re as H2bc18 | - | - |
| 3 | 96285904 | Fcgr1 | rs31034407 | G | - | A | A | missense_variant | A/V | 259 | 0.22 |
| 3 | 96285911 | Fcgr1 | rs31666647 | C | - | G | G | missense_variant | A/P | 257 | 0.24 |
| 3 | 96292495 | Fcgr1 | rs51306537 | G | - | A | A | missense_variant | A/V | 23 | 0 |
| 3 | 96723591 | Polr3c | rs31519177 | C | - | G | G | missense_variant | R/P | 45 | 0.28 |
| 3 | 98160914 | Adam30 | rs36577954 | A | - | T | T | missense_variant | H/L | 21 | 0.7 |
| 3 | 98713577 | Hsd3b2 | rs13477282 | A | - | T | T | missense_variant | I/N | 54 | 0.02 |
| 3 | 98716526 | Hsd3b2 | rs30748766 | C | - | T | T | missense_variant | G/E | 12 | 0.01 |
| 3 | 98716527 | Hsd3b2 | rs31516234 | C | - | T | T | missense_variant | G/R | 12 | 0.07 |
| 3 | 98806183 | Hsd3b6 | rs8245793 | C | - | T | T | missense_variant | D/N | 267 | 0.3 |
| 3 | 98880505 | Hao2 | rs33195243 | A | - | T | T | missense_variant | S/T | 203 | 0.42 |
| 3 | 99216497 | Wars2 | rs45786206 | T | - | G | G | missense_variant | F/C | 99 | 0.02 |
| 3 | 101815179 | Mab21l3 | rs47531228 | C | - | T | T | missense_variant | R/H | 377 | 0.03 |
| 3 | 101823288 | Mab21l3 | rs31248078 | C | - | A | A | missense_variant | V/L | 212 | 0.19 |
| 3 | 103171686 | Bcas2 | rs51633916 | G | - | A | A | 5_prime_utr_variant | - | - | - |
| 3 | 103173240 | Bcas2 | rs48371516 | T | - | C | C | missense_variant | S/P | 65 | 0 |
| 3 | 104638700 | Slc16a1 | rs240468071 | G | - | C | C | 5_prime_utr_variant | - | - | - |
| 3 | 104638781 | Slc16a1 | rs216996680 | G | - | T | T | 5_prime_utr_variant | - | - | - |
| 3 | 104804630 | Mov10 | rs13459070 | T | - | C | C | missense_variant | H/R | 215 | 0.59 |
| 3 | 104825463 | Capza1 | rs46436792 | T | - | C | C | missense_variant | I/V | 222 | 0.32 |
Publisher’s Note: MDPI stays neutral with regard to jurisdictional claims in published maps and institutional affiliations. |
© 2022 by the authors. Licensee MDPI, Basel, Switzerland. This article is an open access article distributed under the terms and conditions of the Creative Commons Attribution (CC BY) license (https://creativecommons.org/licenses/by/4.0/).
Share and Cite
Abramson, A.M.; Shi, L.J.; Lee, R.N.; Chen, M.-H.; Shi, W. Phenotypic and Genetic Evidence for a More Prominent Role of Blood Glucose than Cholesterol in Atherosclerosis of Hyperlipidemic Mice. Cells 2022, 11, 2669. https://doi.org/10.3390/cells11172669
Abramson AM, Shi LJ, Lee RN, Chen M-H, Shi W. Phenotypic and Genetic Evidence for a More Prominent Role of Blood Glucose than Cholesterol in Atherosclerosis of Hyperlipidemic Mice. Cells. 2022; 11(17):2669. https://doi.org/10.3390/cells11172669
Chicago/Turabian StyleAbramson, Ashley M., Lisa J. Shi, Rebecca N. Lee, Mei-Hua Chen, and Weibin Shi. 2022. "Phenotypic and Genetic Evidence for a More Prominent Role of Blood Glucose than Cholesterol in Atherosclerosis of Hyperlipidemic Mice" Cells 11, no. 17: 2669. https://doi.org/10.3390/cells11172669
APA StyleAbramson, A. M., Shi, L. J., Lee, R. N., Chen, M.-H., & Shi, W. (2022). Phenotypic and Genetic Evidence for a More Prominent Role of Blood Glucose than Cholesterol in Atherosclerosis of Hyperlipidemic Mice. Cells, 11(17), 2669. https://doi.org/10.3390/cells11172669

