Therapeutic Potential of Ex Vivo Expanded γδ T Cells against Osteosarcoma Cells
Abstract
:1. Introduction
- (1)
- What is the optimal ex vivo condition for expanding γδ T cells obtained from human peripheral blood?
- (2)
- Do ex vivo expanded γδ T cells show a better function (especially antitumor activity) compared to naïve γδ T cells?
- (3)
- Do ex vivo expanded γδ T cells have a synergistic effect with conventional chemotherapeutic agents against OS cells?
2. Materials and Methods
2.1. Expansion of Human γδ T Cells
- (1)
- CON media (unstimulated control);
- (2)
- EX media, CON media with 100 IU rhIL-2 and 1 μM zoledronate (EX media);
- (3)
- EX28 media, CON media with 100 IU rhIL-2, 1 μM zoledronate, and 25 µL/mL CD3/CD28 activator (StemCell Technologies, Vancouver, Canada).
2.2. Cytotoxicity and Cytokine Production of Expanded γδ T Cells
2.3. Flow Cytometry Analysis
2.4. Statistical Analysis
3. Results
3.1. Optimum Culture Conditions for Expansion and Activation of Human γδ T Cells
3.2. Cytotoxicity of Ex Vivo Expanded γδ T Cells against OS Cells
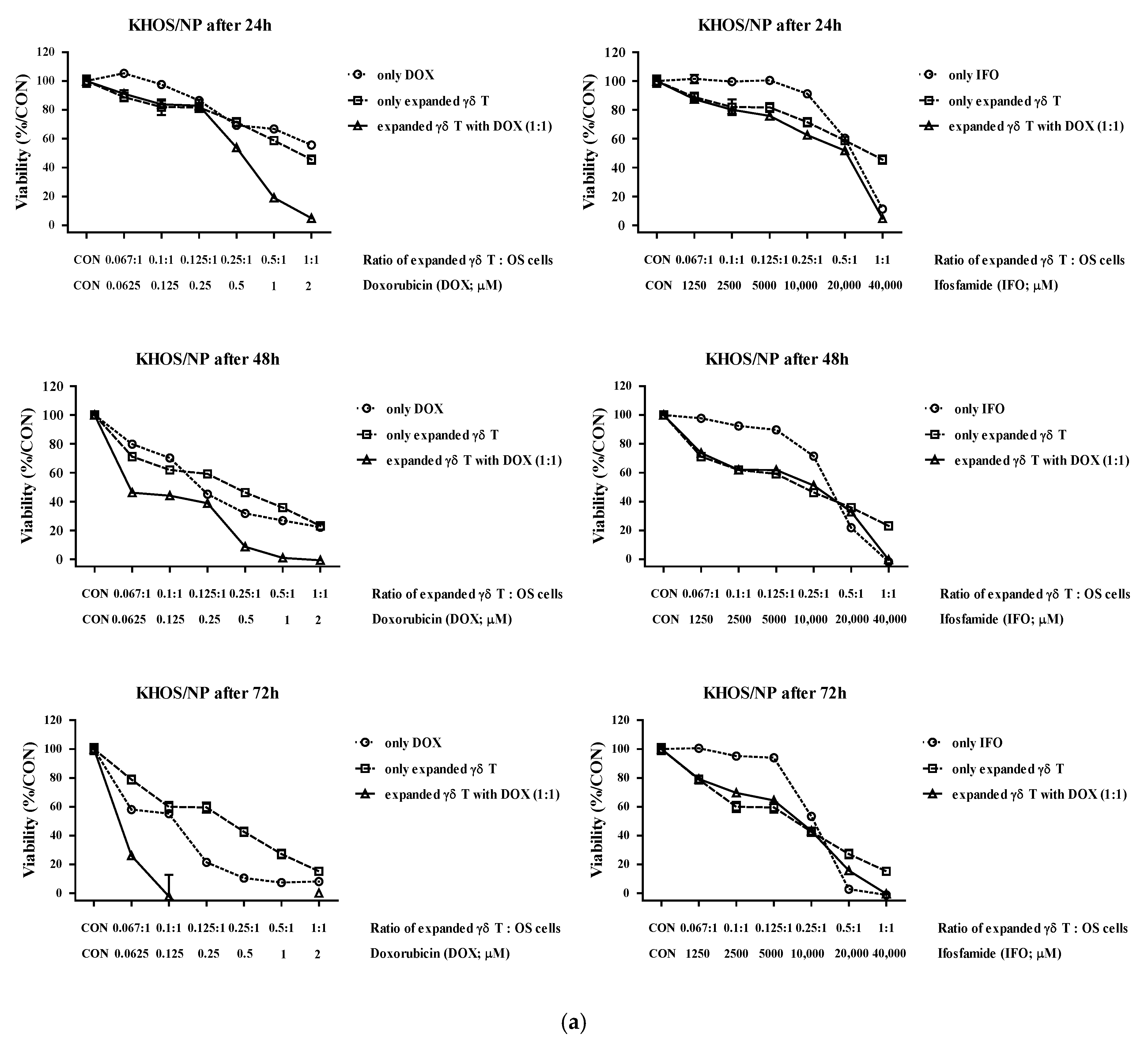
3.3. Addition of DOX/IFO to the γδ T-OS Co-Culture Condition
4. Discussion
Author Contributions
Funding
Institutional Review Board Statement
Informed Consent Statement
Data Availability Statement
Acknowledgments
Conflicts of Interest
References
- Zoumpoulidou, G.; Alvarez-Mendoza, C.; Mancusi, C.; Ahmed, R.-M.; Denman, M.; Steele, C.D.; Tarabichi, M.; Roy, E.; Davies, L.R.; Manji, J.; et al. Therapeutic vulnerability to PARP1,2 inhibition in RB1-mutant osteosarcoma. Nat. Commun. 2021, 12, 1–16. [Google Scholar] [CrossRef] [PubMed]
- Zhao, X.; Wu, Q.; Gong, X.; Liu, J.; Ma, Y. Osteosarcoma: A review of current and future therapeutic approaches. Biomed. Eng. Online 2021, 20, 1–14. [Google Scholar] [CrossRef] [PubMed]
- Pushpam, D.; Garg, V.; Ganguly, S.; Biswas, B. Management of Refractory Pediatric Sarcoma: Current Challenges and Future Prospects. OncoTargets Ther. 2020, 13, 5093–5112. [Google Scholar] [CrossRef] [PubMed]
- Liao, Z.; Qiu, M.; Yang, J.; Yang, Y.; Zhu, L.; Yang, B.; Bai, X.; Xing, P.; Zhang, J.; Xing, R.; et al. Outcomes of surgery and/or combination chemotherapy for extraskeletal osteosarcoma: A single-center retrospective study from China. Sci. Rep. 2019, 9, 4816. [Google Scholar] [CrossRef]
- Anderson, M.E. Update on Survival in Osteosarcoma. Orthop. Clin. N. Am. 2016, 47, 283–292. [Google Scholar] [CrossRef]
- Lussier, D.M.; Johnson, J.L.; Hingorani, P.; Blattman, J.N. Combination immunotherapy with α-CTLA-4 and α-PD-L1 an-tibody blockade prevents immune escape and leads to complete control of metastatic osteosarcoma. J. Immunother. Cancer 2015, 3, 21. [Google Scholar] [CrossRef]
- Lussier, D.M.; O’Neill, L.; Nieves, L.M.; McAfee, M.S.; Holechek, S.A.; Collins, A.W.; Dickman, P.; Jacobsen, J.; Hingorani, P.; Blattman, J.N. Enhanced T-cell immunity to osteosarcoma through antibody blockade of PD-1/PD-L1 interactions. J. Immunother. 2015, 38, 96–106. [Google Scholar] [CrossRef]
- Thanindratarn, P.; Dean, D.C.; Nelson, S.D.; Hornicek, F.J.; Duan, Z. Advances in immune checkpoint inhibitors for bone sarcoma therapy. J. Bone Oncol. 2019, 15, 100221. [Google Scholar] [CrossRef]
- Chen, C.; Xie, L.; Ren, T.; Huang, Y.; Xu, J.; Guo, W. Immunotherapy for osteosarcoma: Fundamental mechanism, rationale, and recent breakthroughs. Cancer Lett. 2020, 500, 1–10. [Google Scholar] [CrossRef]
- Miwa, S.; Shirai, T.; Yamamoto, N.; Hayashi, K.; Takeuchi, A.; Igarashi, K.; Tsuchiya, H. Current and Emerging Targets in Immunotherapy for Osteosarcoma. J. Oncol. 2019, 2019, 1–8. [Google Scholar] [CrossRef] [Green Version]
- Meyers, P.A.; Chou, A.J. Muramyl Tripeptide-Phosphatidyl Ethanolamine Encapsulated in Liposomes (L-MTP-PE) in the Treatment of Osteosarcoma. Adv. Exp. Med. Biol. 2014, 804, 307–321. [Google Scholar] [CrossRef] [PubMed]
- Biteau, K.; Guiho, R.; Chatelais, M.; Taurelle, J.; Chesneau, J.; Corradini, N.; Heymann, D.; Redini, F. L-MTP-PE and zoledronic acid combination in osteosarcoma: Preclinical evidence of positive therapeutic combination for clinical transfer. Am. J. Cancer Res. 2016, 6, 677–689. [Google Scholar] [PubMed]
- Meyers, P.A. Muramyl Tripeptide-Phosphatidyl Ethanolamine Encapsulated in Liposomes (L-MTP-PE) in the Treatment of Osteosarcoma. In Current Advances in Osteosarcoma: Clinical Perspectives: Past, Present and Future, 2nd ed.; Kleinerman, E.S., Gorlick, R., Eds.; Springer International Publishing: Cham, Switzerland, 2020; pp. 133–139. [Google Scholar]
- Zhao, Y.; Niu, C.; Cui, J. Gamma-delta (γδ) T cells: Friend or foe in cancer development? J. Transl. Med. 2018, 16, 3. [Google Scholar] [CrossRef] [PubMed] [Green Version]
- Lawand, M.; Déchanet-Merville, J.; Dieu-Nosjean, M.-C. Key Features of Gamma-Delta T-Cell Subsets in Human Diseases and Their Immunotherapeutic Implications. Front. Immunol. 2017, 8, 761. [Google Scholar] [CrossRef] [Green Version]
- Park, J.H.; Lee, H.K. Function of γδ T cells in tumor immunology and their application to cancer therapy. Exp. Mol. Med. 2021, 53, 318–327. [Google Scholar] [CrossRef]
- Cheng, C.; Wang, B.; Gao, L.; Liu, J.; Chen, X.; Huang, H.; Zhao, Z. Next generation sequencing reveals changes of the γδ T cell receptor repertoires in patients with pulmonary tuberculosis. Sci. Rep. 2018, 8, 1–13. [Google Scholar] [CrossRef]
- Dantzler, K.W.; de la Parte, L.; Jagannathan, P. Emerging role of γδ T cells in vaccine-mediated protection from infectious diseases. Clin. Transl. Immunol. 2019, 8, e1072. [Google Scholar] [CrossRef] [Green Version]
- Lee, H.W.; Chung, Y.S.; Kim, T.J. Heterogeneity of Human γδ T Cells and Their Role in Cancer Immunity. Immune Netw. 2020, 20, e5. [Google Scholar] [CrossRef]
- Hoeres, T.; Holzmann, E.; Smetak, M.; Birkmann, J.; Wilhelm, M. PD-1 signaling modulates interferon-γ production by Gamma Delta (γδ) T-Cells in response to leukemia. Oncoimmunology 2019, 3, 1550618. [Google Scholar] [CrossRef] [Green Version]
- Yu, D.; Zhang, S.; Feng, A.; Xu, D.; Zhu, Q.; Mao, Y.; Zhao, Y.; Lv, Y.; Han, C.; Liu, R.; et al. Methotrexate, doxorubicin, and cisplatinum regimen is still the preferred option for osteosarcoma chemotherapy: A meta-analysis and clinical observation. Medicine 2019, 98, e15582. [Google Scholar] [CrossRef]
- Zhang, B.; Zhang, Y.; Li, R.; Li, J.; Lu, X.; Zhang, Y. The efficacy and safety comparison of first-line chemotherapeutic agents (high-dose methotrexate, doxorubicin, cisplatin, and ifosfamide) for osteosarcoma: A network meta-analysis. J. Orthop. Surg. Res. 2020, 15, 1–10. [Google Scholar] [CrossRef] [Green Version]
- Xia, F.; Qian, C.-R.; Xun, Z.; Hamon, Y.; Sartre, A.-M.; Formisano, A.; Mailfert, S.; Phelipot, M.-C.; Billaudeau, C.; Jaeger, S.; et al. TCR and CD28 Concomitant Stimulation Elicits a Distinctive Calcium Response in Naive T Cells. Front. Immunol. 2018, 9, 2864. [Google Scholar] [CrossRef] [PubMed]
- Glinos, D.A.; Soskic, B.; Williams, C.; Kennedy, A.; Jostins, L.; Sansom, D.M.; Trynka, G. Genomic profiling of T-cell activation suggests increased sensitivity of memory T cells to CD28 costimulation. Genes Immun. 2020, 21, 390–408. [Google Scholar] [CrossRef] [PubMed]
- Kalamasz, D.; Long, S.A.; Taniguchi, R.; Buckner, J.H.; Berenson, R.J.; Bonyhadi, M. Optimization of Human T-Cell Expansion Ex Vivo Using Magnetic Beads Conjugated with Anti-CD3 and Anti-CD28 Antibodies. J. Immunother. 2004, 27, 405–418. [Google Scholar] [CrossRef] [PubMed]
- Poltorak, M.P.; Graef, P.; Tschulik, C.; Wagner, M.; Cletiu, V.; Dreher, S.; Borjan, B.; Fraessle, S.P.; Effenberger, M.; Turk, M.; et al. Expamers: A new technology to control T cell activation. Sci. Rep. 2020, 10, 1–15. [Google Scholar] [CrossRef] [PubMed]
- Zhu, S.; Zhang, T.; Zheng, L.; Liu, H.; Song, W.; Liu, D.; Li, Z.; Pan, C.-X. Combination strategies to maximize the benefits of cancer immunotherapy. J. Hematol. Oncol. 2021, 14, 1–33. [Google Scholar] [CrossRef]
- Rocco, D.; Della Gravara, L.; Battiloro, C.; Gridelli, C. The role of combination chemo-immunotherapy in advanced non-small cell lung cancer. Expert Rev. Anticancer Ther. 2019, 19, 561–568. [Google Scholar] [CrossRef]
- Wu, D.; Zhao, Z.; Kim, J.; Razmi, A.; Wang, L.L.; Kapate, N.; Gao, Y.; Peng, K.; Ukidve, A.; Mitragotri, S. Gemcitabine and doxorubicin in immunostimulatory monophosphoryl lipid A liposomes for treating breast cancer. Bioeng. Transl. Med. 2020, 6, e10188. [Google Scholar] [CrossRef]
- Lu, J.; Liu, X.; Liao, Y.P.; Wang, X.; Ahmed, A.; Jiang, W.; Ji, Y.; Meng, H.; Nel, A.E. Breast Cancer Chemo-immunotherapy through Liposomal Delivery of an Immunogenic Cell Death Stimulus Plus Interference in the IDO-1 Pathway. ACS Nano 2018, 12, 11041–11061. [Google Scholar] [CrossRef] [Green Version]
- Liu, J.; Zhao, Z.; Qiu, N.; Zhou, Q.; Wang, G.; Jiang, H.; Piao, Y.; Zhou, Z.; Tang, J.; Shen, Y. Co-delivery of IOX1 and doxo-rubicin for antibody-independent cancer chemo-immunotherapy. Nat. Commun. 2021, 12, 2425. [Google Scholar] [CrossRef]







| KHOS/NP Cells | MG-63 Cells | |||
|---|---|---|---|---|
| CI Values at | Degree of Additive /Synergism | CI Values at | Degree of Additive /Synergism | |
| ED50 | 0.45283 | synergism | 0.82904 | synergism |
| ED75 | 0.98269 | synergism | 2.31524 | antagonism |
| ED90 | 2.22817 | antagonism | 7.63283 | antagonism |
Publisher’s Note: MDPI stays neutral with regard to jurisdictional claims in published maps and institutional affiliations. |
© 2022 by the authors. Licensee MDPI, Basel, Switzerland. This article is an open access article distributed under the terms and conditions of the Creative Commons Attribution (CC BY) license (https://creativecommons.org/licenses/by/4.0/).
Share and Cite
Ko, Y.; Jeong, Y.H.; Lee, J.A. Therapeutic Potential of Ex Vivo Expanded γδ T Cells against Osteosarcoma Cells. Cells 2022, 11, 2164. https://doi.org/10.3390/cells11142164
Ko Y, Jeong YH, Lee JA. Therapeutic Potential of Ex Vivo Expanded γδ T Cells against Osteosarcoma Cells. Cells. 2022; 11(14):2164. https://doi.org/10.3390/cells11142164
Chicago/Turabian StyleKo, Yunmi, Yeon Ho Jeong, and Jun Ah Lee. 2022. "Therapeutic Potential of Ex Vivo Expanded γδ T Cells against Osteosarcoma Cells" Cells 11, no. 14: 2164. https://doi.org/10.3390/cells11142164
APA StyleKo, Y., Jeong, Y. H., & Lee, J. A. (2022). Therapeutic Potential of Ex Vivo Expanded γδ T Cells against Osteosarcoma Cells. Cells, 11(14), 2164. https://doi.org/10.3390/cells11142164

