Sage Essential Oil Improves the Effectiveness of Aloe vera Gel on Postharvest Quality of Tomato Fruit
Abstract
1. Introduction
2. Materials and Methods
2.1. Plant Material and Experimental Design
2.2. Decay Evaluation
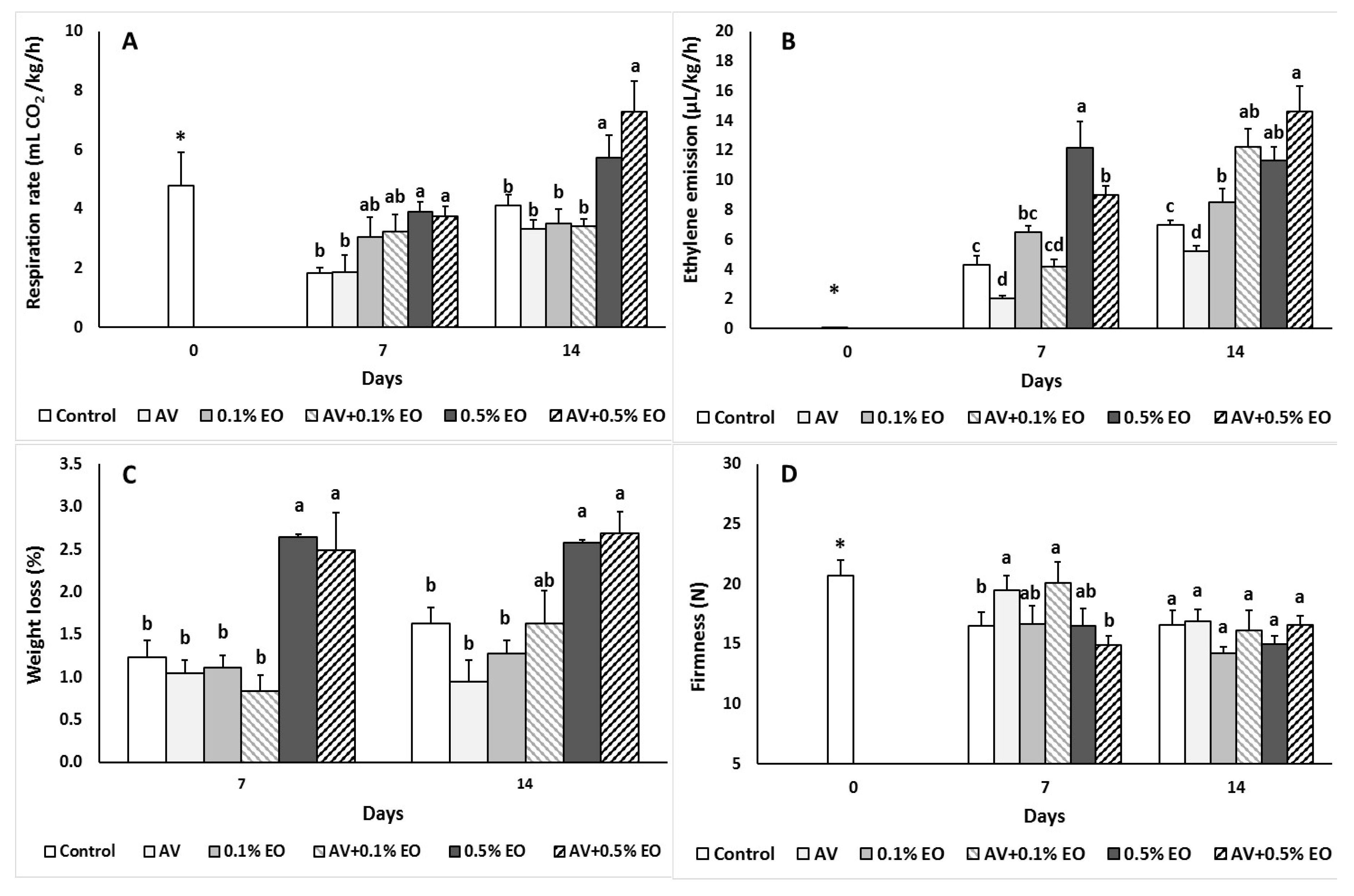
2.3. Respiration Rate and Ethylene Emission
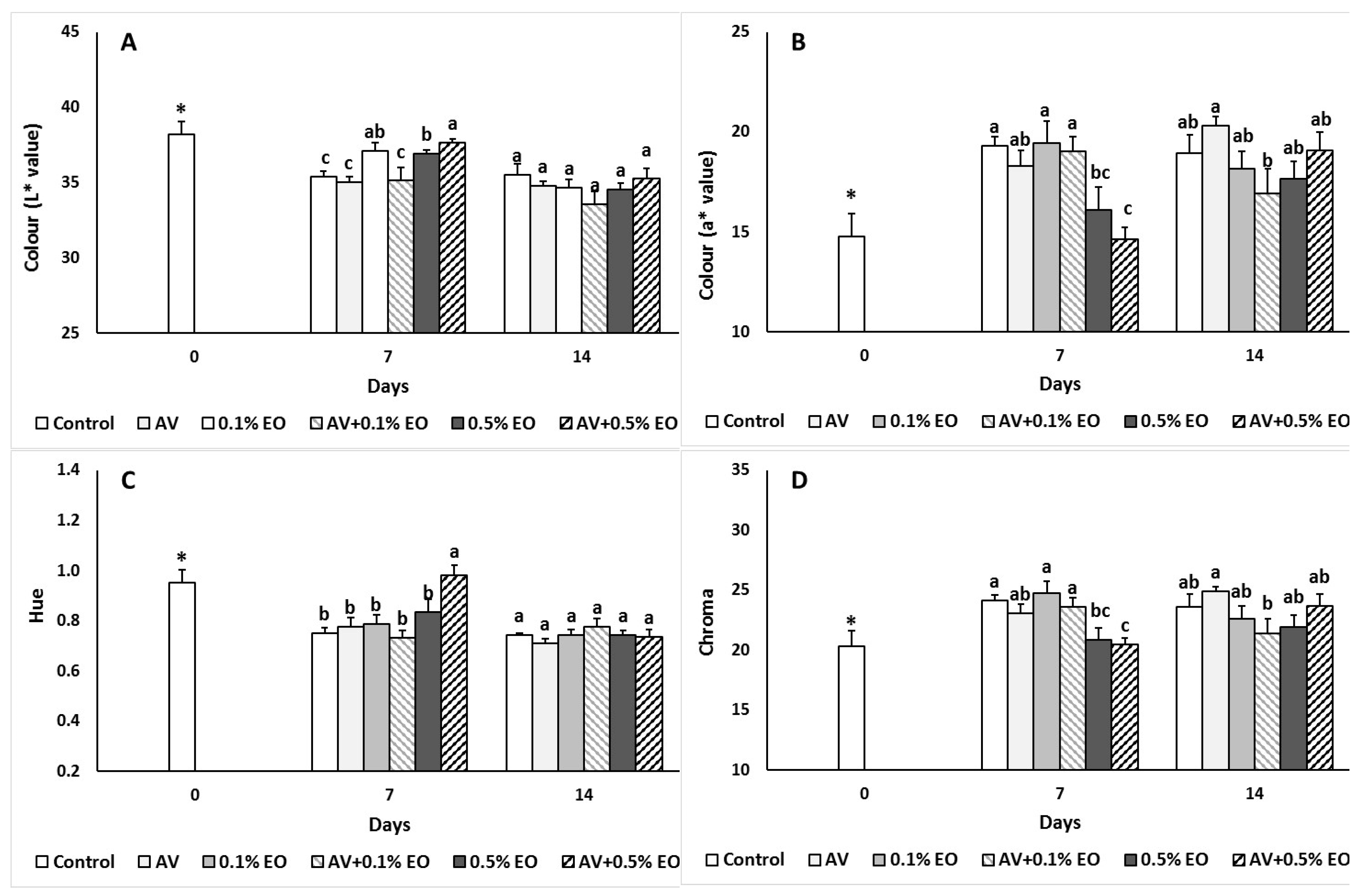
2.4. Weight Loss, Color and Fruit Firmness
2.5. Soluble Solids, Titratable Acidity, Ascorbic Acid and Carotenoids
2.6. Total Phenolics and Antioxidant Activity
2.7. Sensory Evaluation
2.8. Statistical Analysis
3. Results
3.1. Decay Percentage
3.2. Respiration and Ethylene Production Rates
3.3. Tomato Quality Parameter and Bioactive Compounds
3.4. Sensory Evaluation
4. Conclusions
Author Contributions
Funding
Conflicts of Interest
References
- Ayari, A.; Achir, N.; Servent, A.; Ricci, J.; Brat, P. Development of a nutritional profile predicting tool for fresh and processed tomato-based products. Int. J. Food Sci. Technol. 2015, 50, 1598–1606. [Google Scholar] [CrossRef]
- Narváez-Ortiz, W.A.; Becvort-Azcurra, A.A.; Fuentes-Lara, L.O.; Benavides-Mendoza, A.; Valenzuela-García, J.R.; González-Fuentes, J.A. Mineral composition and antioxidant status of tomato with application of selenium. Agronomy 2018, 8, 185. [Google Scholar] [CrossRef]
- Casals, J.; Rivera, A.; Sabaté, J.; del Castillo, R.R.; Simó, J. Cherry and fresh market tomatoes: Differences in chemical, morphological, and sensory traits and their implications for consumer acceptance. Agronomy 2019, 9, 9. [Google Scholar] [CrossRef]
- Tzortzakis, N.G. Maintaining postharvest quality of fresh produce with volatile compounds. Innov. Food Sci. Emerg. Technol. 2007, 8, 111–116. [Google Scholar] [CrossRef]
- Zapata, P.J.; Guillén, F.; Martínez-Romero, D.; Castillo, S.; Valero, D.; Serrano, M. Use of alginate or zein as edible coatings to delay postharvest ripening process and to maintain tomato (Solanum lycopersicon Mill) quality. J. Sci. Food Agric. 2008, 88, 1287–1293. [Google Scholar] [CrossRef]
- Chrysargyris, A.; Nikou, A.; Tzortzakis, N. Effectiveness of Aloe vera gel coating for maintaining tomato fruit quality. N. Z. J. Crop Hortic. Sci. 2016, 44, 203–217. [Google Scholar] [CrossRef]
- Castro, L.R.; Vigneault, C.; Charles, M.T.; Cortez, L.A.B. Effect of cooling delay and cold-chain breakage on ‘Santa Clara’ tomato. J. Food Agric. Environ. 2005, 3, 49–54. [Google Scholar]
- Brummell, D.A.; Harpster, M.H. Cell wall metabolism in fruit softening and quality and its manipulation in transgenic plants. Plant Mol. Biol. 2001, 47, 311–340. [Google Scholar] [CrossRef]
- Osei, M.K.; Danquah, A.; Blay, E.T.; Danquah, E.; Adu-Dapaah, H. An overview of tomato fruit-ripening mutants and their use in increasing shelf life of tomato fruits. Afr. J. Agric. Res. 2017, 12, 3520–3528. [Google Scholar]
- Spotts, R.A.; Peters, B.B. Chlorine and chlorine dioxide for control of d’ Anjou pear decay. Plant Dis. 1980, 64, 1095–1097. [Google Scholar] [CrossRef]
- Romanazzi, G.; Feliziani, E.; Sivakumar, D. Chitosan, a biopolymer with triple action on postharvest decay of fruit and vegetables: Eliciting, antimicrobial and film-forming properties. Front. Microbiol. 2018, 9, 1–9. [Google Scholar] [CrossRef] [PubMed]
- Tzortzakis, N.G. Essential oil: Innovative tool to improve the preservation of fresh produce—A review. Fresh Prod. 2009, 3, 87–97. [Google Scholar]
- Tzortzakis, N.; Chrysargyris, A. Postharvest ozone application for the preservation of fruits and vegetables. Food Rev. Int. 2017, 33, 270–315. [Google Scholar] [CrossRef]
- Usall, J.; Ippolito, A.; Sisquella, M.; Neri, F. Physical treatments to control postharvest diseases of fresh fruits and vegetables. Postharvest Biol. Technol. 2016, 122, 30–40. [Google Scholar] [CrossRef]
- Stavropoulou, A.; Loulakakis, K.; Magan, N.; Tzortzakis, N. Origanum dictamnus oil vapour suppresses the development of grey mould in eggplant fruit in vitro. BioMed Res. Int. 2014, 2014, 1–11. [Google Scholar] [CrossRef]
- Droby, S.; Wisniewski, M.; Teixidó, N.; Spadaro, D.; Jijakli, M.H. The science, development, and commercialization of postharvest biocontrol products. Postharvest Biol. Technol. 2016, 122, 22–29. [Google Scholar] [CrossRef]
- Mahfoudhi, N.; Chouaibi, M.; Hamdi, S. Effectiveness of almond gum trees exudate as a novel edible coating for improving postharvest quality of tomato (Solanum lycopersicum L.) fruits. Food Sci. Technol. Int. 2014, 20, 33–43. [Google Scholar] [CrossRef]
- López-Palestina, C.U.; Aguirre-Mancilla, C.L.; Raya-Pérez, J.C.; Ramírez-Pimentel, J.G.; Gutiérrez-Tlahque, J.; Hernández-Fuentes, A.D. The effect of an edible coating with tomato oily extract on the physicochemical and antioxidant properties of garambullo (Myrtillocactus geometrizans) fruits. Agronomy 2018, 8, 248. [Google Scholar] [CrossRef]
- Valverde, J.M.; Valero, D.; Martínez-Romero, D.; Guillén, F.; Castillo, S.; Serrano, M. Novel edible coating based on Aloe vera gel to maintain table grape quality and safety. J. Agric. Food Chem. 2005, 53, 7807–7813. [Google Scholar] [CrossRef]
- Serrano, M.; Valverde, J.M.; Guillén, F.; Castillo, S.; Martínez-Romero, D.; Valero, D. Use of Aloe vera gel coating preserves the functional properties of table grapes. J. Agric. Food Chem. 2006, 54, 3882–3886. [Google Scholar] [CrossRef]
- Singh, D.B.; Rajbir, S.; Kingsly, A.R.P.; Sharma, R.R. Effect of Aloe vera coatings on fruit quality and storability of strawberry (Fragaria × ananassa). Indian J. Agric. Sci. 2011, 81, 407–412. [Google Scholar]
- Chauhan, O.P.; Nanjappa, C.; Ashok, N.; Ravi, N.; Roopa, N.; Raju, P.S. Shellac and Aloe vera gel based surface coating for shelf life extension of tomatoes. J. Food Sci. Technol. 2013, 52, 1200–1205. [Google Scholar] [CrossRef] [PubMed]
- Ergun, M.; Satici, F. Use of Aloe vera gel as biopreservative for “Granny Smith” and “Red Chief” apples. J. Anim. Plant Sci. 2012, 22, 363–368. [Google Scholar]
- Paladines, D.; Valero, D.; Valverde, J.M.; Díaz-Mula, H.; Serrano, M.; Martínez-Romero, D. The addition of rosehip oil improves the beneficial effect of Aloe vera gel on delaying ripening and maintaining postharvest quality of several stonefruit. Postharvest Biol. Technol. 2014, 92, 23–28. [Google Scholar] [CrossRef]
- Martínez-Romero, D.; Alburquerque, N.; Valverde, J.M.; Guillén, F.; Castillo, S.; Valero, D.; Serrano, M. Postharvest sweet cherry quality and safety maintenance by Aloe vera treatment: A new edible coating. Postharvest Biol. Technol. 2006, 39, 93–100. [Google Scholar] [CrossRef]
- Castillo, S.; Navarro, D.; Zapata, P.J.; Guillén, F.; Valero, D.; Serrano, M.; Martínez-Romero, D. Antifungal efficacy of Aloe vera in vitro and its use as a preharvest treatment to maintain postharvest table grape quality. Postharvest Biol. Technol. 2010, 57, 183–188. [Google Scholar] [CrossRef]
- Navarro, D.; Díaz-Mula, H.M.; Guillén, F.; Zapata, P.J.; Castillo, S.; Serrano, M.; Valero, D.; Martínez-Romero, D. Reduction of nectarine decay caused by Rhizopus stolonifer, Botrytis cinerea and Penicillium digitatum with Aloe vera gel alone or with the addition of thymol. Int. J. Food Microbiol. 2011, 151, 241–246. [Google Scholar] [CrossRef] [PubMed]
- Nejatzadeh-Barandozi, F. Antibacterial activities and antioxidant capacity of Aloe vera. Org. Med. Chem. Lett. 2013, 3, 5. [Google Scholar] [CrossRef]
- Zapata, P.J.; Navarro, D.; Guillén, F.; Castillo, S.; Martínez-Romero, D.; Valero, D.; Serrano, M. Characterisation of gels from different Aloe spp. as antifungal treatment: Potential crops for industrial applications. Ind. Crop. Prod. 2013, 42, 223–230. [Google Scholar] [CrossRef]
- Morillon, V.; Debeaufort, F.; Blond, G.; Capelle, M.; Voilley, A. Factors affecting the moisture permeability of lipid-based edible films: A review. Crit. Rev. Food Sci. Nutr. 2002, 42, 67–89. [Google Scholar] [CrossRef]
- Machmudah, S.; Kawahito, Y.; Sasaki, M.; Goto, M. Supercritical CO2 extraction of rosehip seed oil: Fatty acids composition and process optimization. J. Supercrit. Fluids 2007, 41, 421–428. [Google Scholar] [CrossRef]
- Chrysargyris, A.; Xylia, P.; Botsaris, G.; Tzortzakis, N. Antioxidant and antibacterial activities, mineral and essential oil composition of spearmint (Mentha spicata L.) affected by the potassium levels. Ind. Crop. Prod. 2017, 103, 202–212. [Google Scholar] [CrossRef]
- Xylia, P.; Chrysargyris, A.; Botsaris, G.; Tzortzakis, N. Potential application of spearmint and lavender essential oils for assuring endive quality and safety. Crop Prot. 2017, 102, 94–103. [Google Scholar] [CrossRef]
- Tzortzakis, N.; Chrysargyris, A.; Sivakumar, D.; Loulakakis, K. Vapour or dipping applications of methyl jasmonate, vinegar and sage oil for pepper fruit sanitation towards grey mould. Postharvest Biol. Technol. 2016, 118, 120–127. [Google Scholar] [CrossRef]
- Lopez-Reyes, J.G.; Spadaro, D.; Prelle, A.; Garibaldi, A.; Gullino, M.L. Efficacy of plant essential oils on postharvest control of rots caused by fungi on different stone fruits in vivo. J. Food Prot. 2013, 76, 631–639. [Google Scholar] [CrossRef]
- Chrysargyris, A.; Papakyriakou, E.; Petropoulos, S.A.; Tzortzakis, N. The combined and single effect of salinity and copper stress on growth and quality of Mentha spicata plants. J. Hazard. Mater. 2019, 368, 584–593. [Google Scholar] [CrossRef]
- Tzortzakis, N.; Singleton, I.; Barnes, J. Impact of low-level atmospheric ozone-enrichment on black spot and anthracnose rot of tomato fruit. Postharvest Biol. Technol. 2008, 47, 1–9. [Google Scholar] [CrossRef]
- Xylia, P.; Clark, A.; Chrysargyris, A.; Romanazzi, G.; Tzortzakis, N. Quality and safety attributes on shredded carrots by using Origanum majorana and ascorbic acid. Postharvest Biol. Technol. 2019, 155, 120–129. [Google Scholar] [CrossRef]
- AOAC. Official Methods of Analysis, 18th ed.; AOAC: Gaithersburg, MD, USA, 2007. [Google Scholar]
- Nagata, M.; Yamashita, I. Simple method for simultaneous determination of chlorophyll and carotenoids in tomato fruit. Nippon Shokuhin Kogyo Gakkaish 1992, 39, 925–928. [Google Scholar] [CrossRef]
- Tzortzakis, N.G.; Tzanakaki, K.; Economakis, C.D. Effect of origanum oil and vinegar on the maintenance of postharvest quality of tomato. Food Nutr. Sci. 2011, 2, 974–982. [Google Scholar] [CrossRef][Green Version]
- Valero, D.; Díaz-Mula, H.M.; Zapata, P.J.; Guillén, F.; Martínez-Romero, D.; Castillo, S.; Serrano, M. Effects of alginate edible coating on preserving fruit quality in four plum cultivars during postharvest storage. Postharvest Biol. Technol. 2013, 77, 1–6. [Google Scholar] [CrossRef]
- Ahmed, M.J.; Singh, Z.; Khan, A.S. Postharvest Aloe vera gel-coating modulates fruit ripening and quality of “Arctic Snow” nectarine kept in ambient and cold storage. Int. J. Food Sci. Technol. 2009, 44, 1024–1033. [Google Scholar] [CrossRef]
- Dang, K.T.H.; Singh, Z.; Swinny, E.E. Edible coatings influence fruit ripening, quality, and aroma biosynthesis in mango fruit. J. Agric. Food Chem. 2008, 56, 1361–1370. [Google Scholar] [CrossRef] [PubMed]
- Hassanpour, H. Effect of Aloe vera gel coating on antioxidant capacity, antioxidant enzyme activities and decay in raspberry fruit. LWT-Food Sci. Technol. 2015, 60, 495–501. [Google Scholar] [CrossRef]
- Santoro, K.; Maghenzani, M.; Chiabrando, V.; Bosio, P.; Gullino, M.L.; Spadaro, D.; Giacalone, G. Thyme and savory essential oil vapor treatments control brown rot and improve the storage quality of peaches and nectarines, but could favor gray mold. Foods 2018, 7, 7. [Google Scholar] [CrossRef]
- Aminifard, M.H.; Mohammadi, S. Effect of essential oils on postharvest decay and quality factors of tomato in vitro and in vivo conditions. Arch. Phytopathol. Plant Prot. 2012, 45, 1280–1285. [Google Scholar] [CrossRef]







| Compound | RI | (%) | Compound | RI | (%) |
|---|---|---|---|---|---|
| Tricyclene | 921 | 0.152 ± 0.002 | Borneol | 1166 | 1.435 ± 0.006 |
| α Thujene | 926 | 0.347 ± 0.005 | Terpinen-4-ol | 1177 | 0.634 ± 0.000 |
| α Pinene | 933 | 3.019 ± 0.038 | α Terpineol | 1191 | 0.122 ± 0.000 |
| Camphene | 948 | 4.735 ± 0.054 | Carvone | 1244 | 0.040 ± 0.002 |
| Sabinene | 973 | 0.132 ± 0.002 | Iso Bornyl acetate | 1284 | 0.459 ± 0.001 |
| α Pinene | 977 | 2.513 ± 0.039 | β Caryophyllene | 1425 | 2.323 ± 0.000 |
| β Myrcene | 989 | 2.836 ± 0.036 | γ Εlemene | 1444 | 0.160 ± 0.002 |
| α Phellandrene | 1004 | 0.045 ± 0.000 | α Humulene | 1461 | 2.452 ± 0.006 |
| α Terpinene | 1017 | 0.396 ± 0.005 | Caryophyllene oxide | 1586 | 0.199 ± 0.004 |
| p cymene | 1024 | 0.422 ± 0.006 | Viridiflorol | 1591 | 4.484 ± 0.006 |
| Limonene | 1028 | 1.428 ± 0.009 | Methyl Hexadecanoate | 1925 | 0.300 ± 0.000 |
| Eucalyptol | 1031 | 17.502 ± 0.036 | Manool | 2052 | 0.625 ± 0.010 |
| γ Terpinene | 1058 | 0.739 ± 0.007 | |||
| Cis Sabinenehydrate | 1067 | 0.166 ± 0.002 | |||
| Terpinolene | 1089 | 0.240 ± 0.003 | Total Identified | 99.310 ± 0.024 | |
| Linalool | 1100 | 0.214 ± 0.004 | Monoterpenes hydrocarbons | 17.009 ± 0.212 | |
| α Thujone | 1105 | 27.169 ± 0.148 | Sesquiterpenes hydrocarbons | 4.936 ± 0.004 | |
| β Thujone | 1122 | 6.854 ± 0.014 | Oxygenated monoterpenes | 71.297 ± 0.254 | |
| trans Sabinol | 1138 | 0.248 ± 0.000 | Oxygenated sesquiterpenes | 4.683 ± 0.011 | |
| Camphor | 1144 | 16.909 ± 0.061 | Others | 1.384 ± 0.011 | |
| Fruit decay | |||
|---|---|---|---|
| Day 0 | Day 7 | Day 14 | |
| Control | 1.00 ± 0.00 * | 1.25 ± 0.13a | 2.87 ± 0.17a |
| AV | 1.08 ± 0.08ab | 1.42 ± 0.15b | |
| EO (0.1%) | 1.00 ± 0.00b | 1.08 ± 0.07c | |
| AV + EO (0.1%) | 1.00 ± 0.00b | 1.00 ± 0.00c | |
| EO (0.5%) | 1.25 ± 0.13a | 1.58 ± 0.19b | |
| AV + EO (0.5%) | 1.08 ± 0.07ab | 1.42 ± 0.15b | |
| Appearance | Aroma | Texture | Marketability | Preference | ||
|---|---|---|---|---|---|---|
| Day 7 | Control | 58 ± 3.6b | 66 ± 3.1b | 58 ± 3.6c | 56 ± 2.6b | 20 |
| AV | 66 ± 5.2ab | 70 ± 4.4ab | 76 ± 4.0ab | 74 ± 4.2a | 30 | |
| EO (0.1%) | 76 ± 4.0a | 78 ± 3.6a | 70 ± 3.3b | 70 ± 3.3a | 30 | |
| AV + EO (0.1%) | 62 ± 4.6b | 64 ± 2.6b | 80 ± 2.9a | 78 ± 3.6a | 20 | |
| EO (0.5%) | 40 ± 2.9c | 28 ± 3.2d | 44 ± 2.6d | 22 ± 2.0c | 0 | |
| AV + EO (0.5%) | 38 ± 3.5c | 26 ± 3.1d | 34 ± 3.1e | 24 ± 2.6c | 0 | |
| Day 14 | Control | 52 ± 3.2c | 66 ± 3.1ab | 48 ± 3.2b | 52 ± 3.2b | 20 |
| AV | 62 ± 3.5b | 68 ± 3.2ab | 66 ± 3.1a | 64 ± 2.6a | 40 | |
| EO (0.1%) | 72 ± 3.2a | 72 ± 3.2a | 62 ± 3.6a | 70 ± 3.3a | 30 | |
| AV + EO (0.1%) | 58 ± 3.6bc | 60 ± 0.0b | 62 ± 4.6a | 68 ± 3.2a | 10 | |
| EO (0.5%) | 34 ± 3.1d | 30 ± 3.3c | 46 ± 3.1b | 22 ± 2.0c | 0 | |
| AV + EO (0.5%) | 34 ± 3.1d | 28 ± 3.2c | 38 ± 2.0b | 20 ± 0.0c | 0 |
© 2019 by the authors. Licensee MDPI, Basel, Switzerland. This article is an open access article distributed under the terms and conditions of the Creative Commons Attribution (CC BY) license (http://creativecommons.org/licenses/by/4.0/).
Share and Cite
Tzortzakis, N.; Xylia, P.; Chrysargyris, A. Sage Essential Oil Improves the Effectiveness of Aloe vera Gel on Postharvest Quality of Tomato Fruit. Agronomy 2019, 9, 635. https://doi.org/10.3390/agronomy9100635
Tzortzakis N, Xylia P, Chrysargyris A. Sage Essential Oil Improves the Effectiveness of Aloe vera Gel on Postharvest Quality of Tomato Fruit. Agronomy. 2019; 9(10):635. https://doi.org/10.3390/agronomy9100635
Chicago/Turabian StyleTzortzakis, Nikolaos, Panayiota Xylia, and Antonios Chrysargyris. 2019. "Sage Essential Oil Improves the Effectiveness of Aloe vera Gel on Postharvest Quality of Tomato Fruit" Agronomy 9, no. 10: 635. https://doi.org/10.3390/agronomy9100635
APA StyleTzortzakis, N., Xylia, P., & Chrysargyris, A. (2019). Sage Essential Oil Improves the Effectiveness of Aloe vera Gel on Postharvest Quality of Tomato Fruit. Agronomy, 9(10), 635. https://doi.org/10.3390/agronomy9100635
