Testing Agronomic Treatments to Improve the Establishment of Novel Miscanthus Hybrids on Marginal Land
Abstract
1. Introduction
2. Materials and Methods
2.1. Study Sites
2.2. Treatments
2.3. Planting Material
2.4. Experimental Layout
2.4.1. Ihinger Hof A—Established 2021
2.4.2. Ihinger Hof B—Established 2022
2.4.3. Reichwalde A—Established 2021
2.4.4. Reichwalde B—Established 2022
2.5. Field Measurements
2.6. Soil Sampling
2.7. Harvest
2.8. Statistical Analysis
2.8.1. Analysis of Ihinger Hof A
2.8.2. Analysis of Ihinger Hof B, Reichwalde A, and Reichwalde B
3. Results
3.1. General Trends
3.2. Ihinger Hof A
3.2.1. Plant Height
3.2.2. Stem Count
3.2.3. Yield
3.2.4. Survival
3.3. Ihinger Hof B
3.3.1. Height
3.3.2. Stem Count
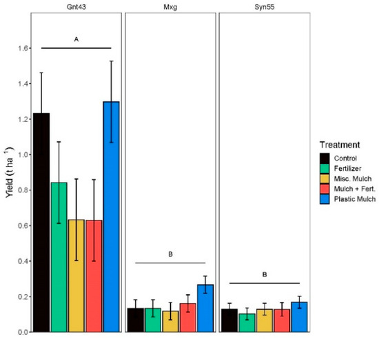
3.3.3. Yield
3.3.4. Survival Rate
3.3.5. Soil Samples
3.4. Reichwalde A
3.4.1. Plant Height
3.4.2. Stem Count
3.4.3. Yield
3.4.4. Survival Rate
3.5. Reichwalde B
3.5.1. Height and Stem Count
3.5.2. Yield
3.5.3. Survival Rate
3.5.4. Soil Samples and Soil Sensors
4. Discussion
4.1. General Trends
4.2. Treatments
4.2.1. Planting Date
4.2.2. Plastic Mulch
4.2.3. Miscanthus Mulch
4.2.4. Mycorrhiza, Planting Material, and Overwintering
4.3. Hybrids
4.3.1. Syn55
4.3.2. Gnt10
4.3.3. Gnt43
4.3.4. Mxg
4.4. Increasing Success in Future Experiments
5. Conclusions
Author Contributions
Funding
Data Availability Statement
Acknowledgments
Conflicts of Interest
Abbreviations
| Mxg | Miscanthus x giganteus |
| UAV | Unmanned aerial vehicle |
Appendix A
Appendix A.1. Soil Sampling at Ihinger Hof

Appendix A.2. Yield in the Reichwalde A Experiment in 2021 and 2022

Appendix A.3. Survival Rate in the Reichwalde A Experiment

Appendix A.4. Survival Rate in the Reichwalde B Experiment

Appendix A.5. Soil Sampling at Reichwalde

Appendix A.6. Tempearture Sensor Data

References
- Kungliga Svenska Vetenskapsakademien. Öfversigt af Kongl. Vetenskaps-Akademiens Forhandlingar; Stockholm P. A. Norstedt & Söner: Stockholm, Sweden, 1862. [Google Scholar]
- Heaton, E.A.; Dohleman, F.G.; Long, S.P. Meeting US Biofuel Goals with Less Land: The Potential of Miscanthus. Glob. Change Biol. 2008, 14, 2000–2014. [Google Scholar] [CrossRef]
- Kiesel, A.; Lewandowski, I. Miscanthus as Biogas Substrate—Cutting Tolerance and Potential for Anaerobic Digestion. GCB Bioenergy 2017, 9, 153–167. [Google Scholar] [CrossRef]
- Moll, L.; Wever, C.; Völkering, G.; Pude, R. Increase of Miscanthus Cultivation with New Roles in Materials Production—A Review. Agronomy 2020, 10, 308. [Google Scholar] [CrossRef]
- McCalmont, J.P.; Hastings, A.; McNamara, N.P.; Richter, G.M.; Robson, P.; Donnison, I.S.; Clifton-Brown, J. Environmental Costs and Benefits of Growing Miscanthus for Bioenergy in the UK. GCB Bioenergy 2017, 9, 489–507. [Google Scholar] [CrossRef] [PubMed]
- Mazur, A.; Kowalczyk-Juśko, A. The Assessment of the Usefulness of Miscanthus x Giganteus to Water and Soil Protection against Erosive Degradation. Resources 2021, 10, 66. [Google Scholar] [CrossRef]
- Clifton-Brown, J.C.; Breuer, J.; Jones, M.B. Carbon Mitigation by the Energy Crop, Miscanthus. Glob. Change Biol. 2007, 13, 2296–2307. [Google Scholar] [CrossRef]
- Mehmood, M.A.; Ibrahim, M.; Rashid, U.; Nawaz, M.; Ali, S.; Hussain, A.; Gull, M. Biomass Production for Bioenergy Using Marginal Lands. Sustain. Prod. Consum. 2017, 9, 3–21. [Google Scholar] [CrossRef]
- Thompson, P. The Agricultural Ethics of Biofuels: The Food vs. Fuel Debate. Agriculture 2012, 2, 339–358. [Google Scholar] [CrossRef]
- Mellor, P.; Lord, R.A.; João, E.; Thomas, R.; Hursthouse, A. Identifying Non-Agricultural Marginal Lands as a Route to Sustainable Bioenergy Provision—A Review and Holistic Definition. Renew. Sustain. Energy Rev. 2021, 135, 110220. [Google Scholar] [CrossRef]
- Csikós, N.; Tóth, G. Concepts of Agricultural Marginal Lands and Their Utilisation: A Review. Agric. Syst. 2023, 204, 103560. [Google Scholar] [CrossRef]
- European Commission; Joint Research Centre; Institute for Environment and Sustainability. Updated Common Bio-Physical Criteria to Define Natural Constraints for Agriculture in Europe: Definition and Scientific Justification for the Common Biophysical Criteria; Technical Factsheets JRC68682; Publications Office: Luxembourg, 2012. [Google Scholar]
- Xue, S.; Lewandowski, I.; Wang, X.; Yi, Z. Assessment of the Production Potentials of Miscanthus on Marginal Land in China. Renew. Sustain. Energy Rev. 2016, 54, 932–943. [Google Scholar] [CrossRef]
- Shepherd, A.; Awty-Carroll, D.; Kam, J.; Ashman, C.; Magenau, E.; Martani, E.; Kontek, M.; Ferrarini, A.; Amaducci, S.; Davey, C.; et al. Novel Miscanthus Hybrids: Modelling Productivity on Marginal Land in Europe Using Dynamics of Canopy Development Determined by Light Interception. GCB Bioenergy 2023, 15, 444–461. [Google Scholar] [CrossRef] [PubMed]
- Lesur-Dumoulin, C.; Lorin, M.; Bazot, M.; Jeuffroy, M.; Loyce, C. Analysis of Young Miscanthus × giganteus Yield Variability: A Survey of Farmers’ Fields in East Central France. GCB Bioenergy 2016, 8, 122–135. [Google Scholar] [CrossRef]
- Zimmermann, J.; Styles, D.; Hastings, A.; Dauber, J.; Jones, M.B. Assessing the Impact of within Crop Heterogeneity (‘Patchiness’) in Young Miscanthus × giganteus Fields on Economic Feasibility and Soil Carbon Sequestration. GCB Bioenergy 2014, 6, 566–576. [Google Scholar] [CrossRef]
- Lesur, C.; Jeuffroy, M.-H.; Makowski, D.; Riche, A.B.; Shield, I.; Yates, N.; Fritz, M.; Formowitz, B.; Grunert, M.; Jorgensen, U.; et al. Modeling Long-Term Yield Trends of Miscanthus×giganteus Using Experimental Data from across Europe. Field Crops Res. 2013, 149, 252–260. [Google Scholar] [CrossRef]
- Lewandowski, I.; Clifton-Brown, J.C.; Scurlock, J.M.O.; Huisman, W. Miscanthus: European Experience with a Novel Energy Crop. Biomass Bioenergy 2000, 19, 209–227. [Google Scholar] [CrossRef]
- Winkler, B.; Mangold, A.; Von Cossel, M.; Clifton-Brown, J.; Pogrzeba, M.; Lewandowski, I.; Iqbal, Y.; Kiesel, A. Implementing Miscanthus into Farming Systems: A Review of Agronomic Practices, Capital and Labour Demand. Renew. Sustain. Energy Rev. 2020, 132, 110053. [Google Scholar] [CrossRef]
- Ashman, C.; Wilson, R.; Mos, M.; Clifton-Brown, J.; Robson, P. Improving Field Establishment and Yield in Seed Propagated Miscanthus through Manipulating Plug Size, Sowing Date and Seedling Age. Front. Plant Sci. 2023, 14, 1095838. [Google Scholar] [CrossRef]
- Davies, M.J.; Longbottom, H.; Atkinson, C.J. Changes in Duration of Rhizome Cold Storage and Manipulation of the Growing Environment to Promote Field Establishment of Miscanthus Giganteus. Biomass Bioenergy 2011, 35, 4268–4279. [Google Scholar] [CrossRef]
- Ouattara, M.S.; Laurent, A.; Barbu, C.; Berthou, M.; Borujerdi, E.; Butier, A.; Malvoisin, P.; Romelot, D.; Loyce, C. Effects of Several Establishment Modes of Miscanthus × giganteus and Miscanthus sinensis on Yields and Yield Trends. GCB Bioenergy 2020, 12, 524–538. [Google Scholar] [CrossRef]
- Kaiser, C.M.; Sacks, E.J. Cold-Tolerance of Miscanthus Seedlings and Effects of Spring and Autumn Frosts on Mature Clonally Replicated Cultivars. Crop Sci. 2015, 55, 2401–2416. [Google Scholar] [CrossRef]
- Farrell, A.D.; Clifton-Brown, J.C.; Lewandowski, I.; Jones, M.B. Genotypic Variation in Cold Tolerance Influences the Yield of Miscanthus. Ann. Appl. Biol. 2006, 149, 337–345. [Google Scholar] [CrossRef]
- Clifton-Brown, J.; Hastings, A.; Mos, M.; McCalmont, J.P.; Ashman, C.; Awty-Carroll, D.; Cerazy, J.; Chiang, Y.; Cosentino, S.; Cracroft-Eley, W.; et al. Progress in Upscaling Miscanthus Biomass Production for the European Bio-economy with Seed-based Hybrids. GCB Bioenergy 2017, 9, 6–17. [Google Scholar] [CrossRef]
- Awty-Carroll, D.; Iurato, A.; Scordia, D.; Schwarz, K.-U.; Scalici, G.; Robson, P.; Mos, M.; Webster, R.; Cosentino, S.; Clifton-Brown, J.; et al. Achieving Hybridisation between Miscanthus Species: Commercially-Scalable Methods to Manipulate Flowering Synchronisation and Maximise Seed Yield. Ind. Crops Prod. 2024, 219, 119116. [Google Scholar] [CrossRef]
- Ashman, C.; Awty-Carroll, D.; Mos, M.; Robson, P.; Clifton-Brown, J. Assessing Seed Priming, Sowing Date, and Mulch Film to Improve the Germination and Survival of Direct-sown Miscanthus sinensis in the United Kingdom. GCB Bioenergy 2018, 10, 612–627. [Google Scholar] [CrossRef]
- Ashman, C.; Awty-Carroll, D.; Mos, M.; Kam, J.; Guerrini, S.; Calder, S.; Clifton-Brown, J. Developing Miscanthus Seed Plug Establishment Protocols with Mulch Film for Commercial Upscaling. GCB Bioenergy 2023, 15, 746–764. [Google Scholar] [CrossRef]
- Olave, R.J.; Forbes, E.G.A.; Munoz, F.; Laidlaw, A.S.; Easson, D.L.; Watson, S. Performance of Miscanthus x Giganteus (Greef et Deu) Established with Plastic Mulch and Grown from a Range of Rhizomes Sizes and Densities in a Cool Temperate Climate. Field Crops Res. 2017, 210, 81–90. [Google Scholar] [CrossRef]
- O’Loughlin, J.; McDonnell, K.; Finnan, J. Establishing Miscanthus x Giganteus Crops in Ireland through Nodal Propagation by Harvesting Stems in Autumn and Sowing Them Immediately into a Field. Biomass Bioenergy 2017, 107, 345–352. [Google Scholar] [CrossRef]
- Xue, S.; Kalinina, O.; Lewandowski, I. Present and Future Options for Miscanthus Propagation and Establishment. Renew. Sustain. Energy Rev. 2015, 49, 1233–1246. [Google Scholar] [CrossRef]
- Zheng, C.; Xue, S.; Xiao, L.; Iqbal, Y.; Sun, G.; Duan, M.; Yi, Z. “Two-steps” Seed-derived Plugs as an Effective Propagation Method for the Establishment of Miscanthus in Saline–Alkaline Soil. GCB Bioenergy 2021, 13, 955–966. [Google Scholar] [CrossRef]
- Agrarmeteorologie Baden-Würrtemberg Wetterstation Ihinger Hof 2023. Available online: https://www.wetter-bw.de/Internet/AM/NotesBwAM.nsf/bwweb/095e00fe589ba5d7c1257ca8002cc942?OpenDocument&TableRow=3.1 (accessed on 16 April 2025).
- Sächsisches Staatsministerium für Energie, Klimaschutz, Umwelt und Landwirtschaft Agrarmeteorologisches Messnetz Sachsen—Wetterdaten Reichwalde. Available online: https://www.landwirtschaft.sachsen.de/Wetter09/asp/inhalt.asp?seite=uebersicht (accessed on 16 April 2025).
- Wild, J.; Kopecký, M.; Macek, M.; Šanda, M.; Jankovec, J.; Haase, T. Climate at Ecologically Relevant Scales: A New Temperature and Soil Moisture Logger for Long-Term Microclimate Measurement. Agric. For. Meteorol. 2019, 268, 40–47. [Google Scholar] [CrossRef]
- SAS, Version 9.4.; SAS Institute Inc.: Cary, NC, USA, 2023.
- RStudio Team. R Studio Integrated Development for R. 2020. Available online: https://www.r-project.org/conferences/useR-2011/abstracts/180111-allairejj.pdf (accessed on 16 April 2025).
- Wolfinger, R.; O’Connell, M. Generalized Linear Mixed Models a Pseudo-Likelihood Approach. J. Stat. Comput. Simul. 1993, 48, 233–243. [Google Scholar] [CrossRef]
- ArcGIS, Pro 3.5. Box—Cox, Arcsine, and Log Transformations. Esri: Redlands, CA, USA, 2023.
- Robson, P.R.H.; Donnison, I.S.; Clifton-Brown, J.C. Stem Growth Characteristics of High Yielding Miscanthus Correlate with Yield, Development and Intraspecific Competition within Plots. GCB Bioenergy 2019, 11, 1075–1085. [Google Scholar] [CrossRef]
- Krzyżak, J.; Rusinowski, S.; Sitko, K.; Szada-Borzyszkowska, A.; Stec, R.; Jensen, E.; Clifton-Brown, J.; Kiesel, A.; Lewin, E.; Janota, P.; et al. The Effect of Different Agrotechnical Treatments on the Establishment of Miscanthus Hybrids in Soil Contaminated with Trace Metals. Plants 2022, 12, 98. [Google Scholar] [CrossRef]
- Kane, J.L.; Liseski, K.B.; Dang, C.; Freedman, Z.B.; Morrissey, E.M. Trade or Scavenge? Miscanthus-Microbiome Interactions Depend upon Soil Fertility. Appl. Soil Ecol. 2024, 196, 105289. [Google Scholar] [CrossRef]
- Lewin, E.; Clifton Brown, J.; Magenau, E.; Jensen, E.; Mangold, A.; Lewandowski, I.; Kiesel, A. Yield Development and Nutrient Offtake in Contrasting Miscanthus Hybrids under Green and Brown Harvest Regimes. GCB Bioenergy 2024, 16, e13149. [Google Scholar] [CrossRef]
- Krzyżak, J.; Rusinowski, S.; Sitko, K.; Szada-Borzyszkowska, A.; Stec, R.; Janota, P.; Jensen, E.; Kiesel, A.; Pogrzeba, M. The Effect of Combined Drought and Trace Metal Elements Stress on the Physiological Response of Three Miscanthus Hybrids. Sci. Rep. 2023, 13, 10452. [Google Scholar] [CrossRef] [PubMed]
- Clifton-Brown, J.; Schwarz, K.-U.; Awty-Carroll, D.; Iurato, A.; Meyer, H.; Greef, J.; Gwyn, J.; Mos, M.; Ashman, C.; Hayes, C.; et al. Breeding Strategies to Improve Miscanthus as a Sustainable Source of Biomass for Bioenergy and Biorenewable Products. Agronomy 2019, 9, 673. [Google Scholar] [CrossRef]
- Christian, D.G.; Riche, A.B.; Yates, N.E. Growth, Yield and Mineral Content of Miscanthus×giganteus Grown as a Biofuel for 14 Successive Harvests. Ind. Crops Prod. 2008, 28, 320–327. [Google Scholar] [CrossRef]
- Impollonia, G.; Croci, M.; Ferrarini, A.; Brook, J.; Martani, E.; Blandinières, H.; Marcone, A.; Awty-Carroll, D.; Ashman, C.; Kam, J.; et al. UAV Remote Sensing for High-Throughput Phenotyping and for Yield Prediction of Miscanthus by Machine Learning Techniques. Remote Sens. 2022, 14, 2927. [Google Scholar] [CrossRef]














| Treatment | Description |
|---|---|
| Planting Date | In 2021 planting was carried out on two dates at Ihinger Hof (10 May and 24 May) to determine the effect of weather conditions in the first weeks after planting on establishment. |
| Plastic Mulch | Plants were covered with a thin biodegradable mulch film directly after planting. The film remained over the plants for approximately 6 weeks. Plastic film creates a microclimate between the soil and the film, protecting plants from frost and desiccation. The film used was “green film” of 10 μm thickness from Samco Systems. (Samco Systems, Limerick, Ireland). |
| Miscanthus Mulch | A thin layer (approximately 5 cm) of shredded miscanthus biomass was applied to the field directly following planting. Obtained by harvesting miscanthus with a field-harvester. Chips of miscanthus mulch were approximately 1 cm. |
| Mycorrhiza | A quantity of 20 mg of mycorrhiza was applied to the roots of each plant at planting. Mycorrhiza was applied as a vermiculite powder (Inoq Agri, Inoq, Schnega, Germany) |
| Fertilization | A quantity of 60 kg ha−1 of nitrogen fertilizer was applied as calcium ammonium sulphate. |
| Fertilization + Miscanthus Mulch | A quantity of 60 kg ha−1 of nitrogen fertilizer was applied in combination with a thin layer of miscanthus mulch |
| Overwintering | Plantlets were planted and experienced one winter season before being planted in the field. This treatment was used for Gnt43 at the early planting date. |
| Mxg (Miscanthus x giganteus) | Gnt10 | Gnt43 | Syn55 | |
|---|---|---|---|---|
| Type | Miscanthus sinensis × Miscanthus sacchariflorus | A broad cross between a Japanese Miscanthus sinensis and a Chinese Miscanthus sacchariflorus | Synthetic intraspecies population hybrid of Miscanthus sinensis | |
| Ploidy | Triploid | Diploid | Diploid | |
| Origin | Naturally occurring hybrid from central Japan | Breeding program at Aberystwyth University | ||
| Propagation | In vitro, rhizome division | In vitro | Seed | Seed |
| Properties | High-performing standard commercial hybrid, sterile, early senescence | Drought tolerant variety, isohydric | High performing variety, vigorous growth, prone to lodging | “stay green” variety, late ripening, large leaf fraction, high methane yield |
| Ihinger Hof A Est. 2021 | Ihinger Hof B Est. 2022 | Reichwalde A Est. 2021 | Reichwalde B Est. 2022 |
|---|---|---|---|
| Control | Control | Control | Control |
| Miscanthus Mulch | Miscanthus Mulch | Miscanthus Mulch | Miscanthus Mulch |
| Plastic Mulch | Plastic Mulch | Plastic Mulch | Plastic Mulch |
| Planting Date | Fertilizer | Mycorrhiza | Fertilizer |
| Overwintering | Misc. Mulch + Fert. | Misc. Mulch + Fert. | |
| Mycorrhiza |
| Ihinger Hof A Est. 2021 | Ihinger Hof B Est. 2022 | Reichwalde A Est. 2021 | Reichwalde B Est. 2022 |
|---|---|---|---|
| Gnt10 | Gnt43 | Gnt10 | Mxg |
| Gnt43 | Mxg | Gnt43 | Gnt43 |
| Mxg | Syn55 | Gnt43+ Mycorrhiza | |
| Syn55 | Syn55 |
| Ihinger Hof A | Ihinger Hof B | ||||||||||||
|---|---|---|---|---|---|---|---|---|---|---|---|---|---|
| Height | Stem No. | Yield | Survival Rate | Height | Stem No. | Yield | Survival Rate | ||||||
| 2021 | 2022 | 2021 | 2022 | 2021 | 2022 | 2021 | 2022 | 2022 | 2022 | 2022 | 2022 | End of 2023 | |
| Hybrid | <0.0001 | <0.0001 | <0.0001 | <0.0001 | <0.0001 | <0.0001 | 0.0011 | <0.0001 | <0.0001 | <0.0001 | <0.0001 | <0.0001 | <0.0001 |
| Planting | 0.7939 | 0.7171 | 0.0001 | 0.1038 | 0.6719 | 0.7323 | 0.0845 | 0.0599 | - | - | - | - | - |
| Treatment | <0.0001 | 0.0003 | <0.0001 | 0.0857 | <0.0001 | 0.0052 | <0.0001 | <0.0001 | 0.0701 | <0.0001 | 0.0599 | 0.5371 | 0.0192 |
| Hybrid x Treatment | 0.1945 | 0.7239 | <0.0001 | 0.0015 | 0.0057 | 0.242 | 0.0004 | 0.0018 | 0.0417 | 0.4974 | 0.3794 | 0.2442 | 0.9706 |
| Treatment x Planting | 0.0007 | 0.0045 | <0.0001 | 0.9844 | 0.0077 | 0.0542 | 0.0015 | 0.0001 | - | - | - | - | - |
| Hybrid x Planting | 0.0815 | 0.9887 | <0.0001 | 0.0025 | 0.001 | 0.3501 | <0.0001 | <0.0001 | - | - | - | - | - |
| Hybrid x Treatment x Planting | 0.2538 | 0.6295 | 0.1275 | 0.1257 | 0.2965 | 0.6179 | 0.7865 | 0.5858 | - | - | - | - | - |
| Block | 0.2008 | 0.9001 | 0.0277 | 0.7023 | 0.5366 | 0.4586 | 0.9457 | 0.7621 | 0.7469 | 0.21 | 0.9942 | 0.6057 | 0.0189 |
| Number of Measure Plants | 0.7576 | 0.8064 | <0.0001 | 0.0015 | - | - | - | - | 0.0018 | 0.0709 | - | - | - |
| Reichwalde A | Reichwalde B | ||||||||||||
|---|---|---|---|---|---|---|---|---|---|---|---|---|---|
| Height | Stem No. | Yield | Survival Rate | Height | Stem No. | Yield | Survival Rate | ||||||
| 2021 | 2022 | 2021 | 2022 | 2021 | 2022 | 2021 | 2022 | 2022 | 2022 | 2022 | 2022 | End of 2023 | |
| Hybrid | <0.0001 | <0.0001 | 0.1385 | 0.1843 | <0.0001 | 0.1863 | 0.0867 | 0.6958 | <0.0001 | <0.0001 | 0.0045 | 0.6154 | 0.2784 |
| Treatment | <0.0001 | 0.0138 | 0.0004 | 0.03 | <0.0001 | 0.0799 | 0.0006 | 0.0011 | 0.2133 | 0.0008 | 0.3062 | 0.901 | 0.8681 |
| Hybrid x Treatment | 0.3292 | 0.0316 | 0.9305 | 0.0599 | 0.097 | 0.0394 | 0.0784 | 0.494 | 0.0664 | 0.3575 | 0.6312 | 0.9335 | 0.9796 |
| Block | 0.0007 | 0.0003 | 0.0166 | 0.0006 | 0.0088 | 0.0003 | 0.0068 | 0.0005 | <0.0001 | 0.0002 | <0.0001 | 0.6283 | 0.5957 |
| Number of Measure Plants | 0.9649 | 0.1229 | 0.9206 | 0.0402 | - | - | - | - | 0.1438 | 0.3423 | - | - | - |
Disclaimer/Publisher’s Note: The statements, opinions and data contained in all publications are solely those of the individual author(s) and contributor(s) and not of MDPI and/or the editor(s). MDPI and/or the editor(s) disclaim responsibility for any injury to people or property resulting from any ideas, methods, instructions or products referred to in the content. |
© 2025 by the authors. Licensee MDPI, Basel, Switzerland. This article is an open access article distributed under the terms and conditions of the Creative Commons Attribution (CC BY) license (https://creativecommons.org/licenses/by/4.0/).
Share and Cite
Lewin, E.; Clifton-Brown, J.; Jensen, E.; Lewandowski, I.; Krzyżak, J.; Pogrzeba, M.; Hartung, J.; Wolfmüller, C.; Kiesel, A. Testing Agronomic Treatments to Improve the Establishment of Novel Miscanthus Hybrids on Marginal Land. Agronomy 2025, 15, 1297. https://doi.org/10.3390/agronomy15061297
Lewin E, Clifton-Brown J, Jensen E, Lewandowski I, Krzyżak J, Pogrzeba M, Hartung J, Wolfmüller C, Kiesel A. Testing Agronomic Treatments to Improve the Establishment of Novel Miscanthus Hybrids on Marginal Land. Agronomy. 2025; 15(6):1297. https://doi.org/10.3390/agronomy15061297
Chicago/Turabian StyleLewin, Eva, John Clifton-Brown, Elaine Jensen, Iris Lewandowski, Jacek Krzyżak, Marta Pogrzeba, Jens Hartung, Cedric Wolfmüller, and Andreas Kiesel. 2025. "Testing Agronomic Treatments to Improve the Establishment of Novel Miscanthus Hybrids on Marginal Land" Agronomy 15, no. 6: 1297. https://doi.org/10.3390/agronomy15061297
APA StyleLewin, E., Clifton-Brown, J., Jensen, E., Lewandowski, I., Krzyżak, J., Pogrzeba, M., Hartung, J., Wolfmüller, C., & Kiesel, A. (2025). Testing Agronomic Treatments to Improve the Establishment of Novel Miscanthus Hybrids on Marginal Land. Agronomy, 15(6), 1297. https://doi.org/10.3390/agronomy15061297

