Transcriptomic Analysis and Identification of Candidate Genes Involved in Rhizome Development in Agropyron michnoi
Abstract
1. Introduction
2. Materials and Methods
2.1. Plant Materials and RNA Preparation
2.2. Anatomical Structure Analysis
2.3. Bioinformatics Analysis
2.3.1. Quality Control and De Novo Assembly
2.3.2. Functional Annotation of Unigenes
2.3.3. Unigene Quantification, Analysis of Differentially Expressed Unigenes (DEGs), Cluster Analysis, GO, and KEGG Enrichment
2.3.4. CDS Analysis
2.3.5. Candidate Gene Selection for qRT-PCR Validation
2.4. Gene Function Verification
2.4.1. Phylogenetic Tree Construction
2.4.2. Gene Cloning
2.4.3. Subcellular Localization
2.4.4. Stable Genetic Transformation of Arabidopsis
2.4.5. Positive Test for Arabidopsis
2.4.6. Hormone Determination of Transgenic Arabidopsis thaliana
3. Results
3.1. Agropyron michnoi Anatomical Structure of Each Organization
3.2. De Novo Assembly
3.3. Annotation of Unigenes
3.4. Analysis of Differentially Expressed Unigenes
3.5. Pathway Enrichment Analysis of DEGs
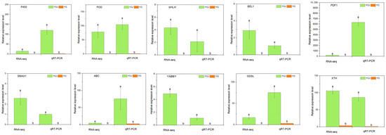
3.6. qRT-PCR Validation of RNA-Seq Results in A. michnoi
3.7. Combined Transcriptome and Metabolome Analysis
3.8. Cloning of AmrCYP 86B1 Gene
3.9. Overexpression of AmrCYP 86B1 Was Detected by Positive Arabidopsis
3.10. Phenotype and Hormone Detection of Overexpressed Arabidopsis
4. Discussion
5. Conclusions
Supplementary Materials
Author Contributions
Funding
Data Availability Statement
Acknowledgments
Conflicts of Interest
References
- Li, L.; Dong, Y. Hybridization between Triticum aestivum L. and Agropyron michnoi Roshev. 1. Production and cytogenetic study of F1 hybrids. Theor. Appl. Genet. 1991, 81, 312–316. [Google Scholar] [CrossRef]
- Jin, X.; Yang, X.; Zhou, Z.; Zhang, Y.; Yu, L.; Zhang, J.; Liang, R. Ecological stoichiometry and biomass responses of Agropyron michnoi under simulated N deposition in a sandy grassland, China. J. Arid Land 2020, 12, 741–751. [Google Scholar] [CrossRef]
- Yin, X.; Yi, K.; Zhao, Y.; Hu, Y.; Li, X.; He, T.; Liu, J.; Cui, G. Revealing the full-length transcriptome of caucasian clover rhizome development. BMC Plant Biol. 2020, 20, 429. [Google Scholar] [CrossRef]
- Yoshida, A.; Terada, Y.; Toriba, T.; Kose, K.; Ashikari, M.; Kyozuka, J. Analysis of rhizome development in Oryza longistaminata, a wild rice species. Plant Cell Physiol. 2016, 57, 2213–2220. [Google Scholar] [CrossRef]
- Ryder, N.; Dorn, K.M.; Huitsing, M.; Adams, M.; Ploegstra, J.; DeHaan, L.; Larson, S.; Tintle, N.L. Transcriptome assembly and annotation of johnsongrass (Sorghum halepense) rhizomes identify candidate rhizome-specific genes. Plant Direct 2018, 2, e00065. [Google Scholar] [CrossRef]
- Glover, J.D.; Reganold, J.; Bell, L.; Borevitz, J.; Brummer, E.C.; Buckler, E.S.; Cox, C.; Cox, T.S.; Crews, T.; Culman, S. Increased food and ecosystem security via perennial grains. Science 2010, 328, 1638–1639. [Google Scholar] [CrossRef]
- Jernstedt, J.; Bouton, J. Anatomy, Morphology, and Growth of Tall Fescue Rhizomes 1. Crop Sci. 1985, 25, 539–542. [Google Scholar] [CrossRef]
- Li, B.; Beuselinck, P. Rhizomatous Lotus corniculatus L.: II. Morphology and anatomy of rhizomes. Crop Sci. 1996, 36, 407–411. [Google Scholar] [CrossRef]
- Lian, X.; Zhong, L.; Bai, Y.; Guang, X.; Tang, S.; Guo, X.; Wei, T.; Yang, F.; Zhang, Y.; Huang, G.; et al. Spatiotemporal transcriptomic atlas of rhizome formation in Oryza longistaminata. Plant Biotechnol. J. 2024, 22, 1652–1668. [Google Scholar] [CrossRef]
- Zhang, J.; Zhou, C.; Yang, Y. Growth of clonal modules on Agropyron michnoi in the Songnen Plain of Northeast China. Phyton 2015, 84, 417. [Google Scholar]
- Sacks, E.; Dhanapala, M.; Tao, D.; Cruz, M.S.; Sallan, R. Breeding for perennial growth and fertility in an Oryza sativa/O. longistaminata population. Field Crops Res. 2006, 95, 39–48. [Google Scholar] [CrossRef]
- Su, K.; Bremer, D.J.; Keeley, S.J.; Fry, J.D. Rooting characteristics and canopy responses to drought of turfgrasses including hybrid bluegrasses. Agron. J. 2008, 100, 949–956. [Google Scholar] [CrossRef]
- Zhou, Y.; Lambrides, C.J.; Fukai, S. Drought resistance and soil water extraction of a perennial C4 grass: Contributions of root and rhizome traits. Funct. Plant Biol. 2014, 41, 505–519. [Google Scholar] [CrossRef]
- Hu, F.; Wang, D.; Zhao, X.; Zhang, T.; Sun, H.; Zhu, L.; Zhang, F.; Li, L.; Li, Q.; Tao, D. Identification of rhizome-specific genes by genome-wide differential expression analysis in Oryza longistaminata. BMC Plant Biol. 2011, 11, 18. [Google Scholar] [CrossRef]
- Wang, K.; Peng, H.; Lin, E.; Jin, Q.; Hua, X.; Yao, S.; Bian, H.; Han, N.; Pan, J.; Wang, J. Identification of genes related to the development of bamboo rhizome bud. J. Exp. Bot. 2010, 61, 551–561. [Google Scholar] [CrossRef]
- Jang, C.S.; Kamps, T.L.; Skinner, D.N.; Schulze, S.R.; Vencill, W.K.; Paterson, A.H. Functional classification, genomic organization, putatively cis-acting regulatory elements, and relationship to quantitative trait loci, of sorghum genes with rhizome-enriched expression. Plant Physiol. 2006, 142, 1148–1159. [Google Scholar] [CrossRef]
- Wang, H.L.; Li, C.Y.; Zhang, B.; Liu, Y.D.; Lu, B.M. Mangiferin facilitates islet regeneration and β-cell proliferation through upregulation of cell cycle and β-cell regeneration regulators. Int. J. Mol. Sci. 2014, 15, 9016. [Google Scholar] [CrossRef]
- Guo, L.; Plunkert, M.; Luo, X.; Liu, Z. Developmental regulation of stolon and rhizome. Curr. Opin. Plant Biol. 2025, 59, 101970. [Google Scholar] [CrossRef]
- Wang, W.; Gao, H.; Liang, Y.; Li, J.; Wang, Y. Molecular basis underlying rice tiller angle: Current progress and future perspectives. Mol. Plant 2022, 15, 125–137. [Google Scholar] [CrossRef]
- Jin, X.M. The dynamics of age structures on Agropyron michnoi and Leymus chinensis in community with two dominant species populations. Afr. J. Biotechnol. 2011, 10, 17451–17457. [Google Scholar]
- Hu, R.; Yu, C.; Wang, X.; Jia, C.; Pei, S.; He, K.; He, G.; Kong, Y.; Zhou, G. De novo transcriptome analysis of Miscanthus lutarioriparius identifies candidate genes in rhizome development. Front. Plant Sci. 2017, 8, 492. [Google Scholar] [CrossRef] [PubMed]
- Metusala, D. An Alternative Simple Method for Preparing and Preserving Cross-section of Leaves and Roots in Herbaceous Plants: Case Study in Orchidaceae. AIP Conf. Proc. 2017, 1862, 030113. [Google Scholar]
- Bolger, A.M.; Lohse, M.; Usadel, B. Trimmomatic: A flexible trimmer for Illumina sequence data. Bioinformatics 2014, 30, 2114–2120. [Google Scholar] [CrossRef] [PubMed]
- Grabherr, M.G.; Haas, B.J.; Yassour, M.; Levin, J.Z.; Thompson, D.A.; Amit, I.; Adiconis, X.; Fan, L.; Raychowdhury, R.; Zeng, Q. Full-length transcriptome assembly from RNA-Seq data without a reference genome. Nat. Biotechnol. 2011, 29, 644–652. [Google Scholar] [CrossRef]
- Trapnell, C.; Williams, B.A.; Pertea, G.; Mortazavi, A.; Kwan, G.; Van Baren, M.J.; Salzberg, S.L.; Wold, B.J.; Pachter, L. Transcript assembly and quantification by RNA-Seq reveals unannotated transcripts and isoform switching during cell differentiation. Nat. Biotechnol. 2010, 28, 511–515. [Google Scholar] [CrossRef]
- Langmead, B.; Salzberg, S.L. Fast gapped-read alignment with Bowtie 2. Nat. Methods 2012, 9, 357–359. [Google Scholar] [CrossRef]
- Roberts, A.; Pachter, L. Streaming fragment assignment for real-time analysis of sequencing experiments. Nat. Methods 2013, 10, 71–73. [Google Scholar] [CrossRef]
- Anders, S.; Huber, W. Differential expression of RNA-Seq data at the gene level–the DESeq package. Heidelb. Ger. Eur. Mol. Biol. Lab. (EMBL) 2012, 10, f1000research. [Google Scholar]
- Kanehisa, M.; Araki, M.; Goto, S.; Hattori, M.; Hirakawa, M.; Itoh, M.; Katayama, T.; Kawashima, S.; Okuda, S.; Tokimatsu, T. KEGG for linking genomes to life and the environment. Nucleic Acids Res. 2007, 36, D480–D484. [Google Scholar] [CrossRef]
- Chou, M.L.; Shih, M.C.; Chan, M.T.; Liao, S.Y.; Hsu, C.T.; Haung, Y.T.; Chen, J.J.; Liao, D.C.; Wu, F.H.; Lin, C.S. Global transcriptome analysis and identification of a CONSTANS-like gene family in the orchid Erycina pusilla. Planta 2013, 237, 1425–1441. [Google Scholar] [CrossRef]
- Shen, C.; Wei, C.; Li, J.; Zhang, X.; Wu, Y. Integrated single-molecule long-read sequencing and Illumina sequencing reveal the resistance mechanism of Psathyrostachys huashanica in response to barley yellow dwarf virus-GAV. Phytopathol. Res. 2020, 2, 19. [Google Scholar] [CrossRef]
- Schmittgen, T.D.; Livak, K.J. Analyzing real-time PCR data by the comparative CT method. Nat. Protoc. 2008, 3, 1101–1108. [Google Scholar] [CrossRef] [PubMed]
- Chao, Y.; Yuan, J.; Li, S.; Jia, S.; Han, L.; Xu, L. Analysis of transcripts and splice isoforms in red clover (Trifolium pratense L.) by single-molecule long-read sequencing. BMC Plant Biol. 2018, 18, 300. [Google Scholar] [CrossRef]
- Huang, L.; Yan, H.; Zhao, X.; Zhang, X.; Wang, J.; Frazier, T.; Yin, G.; Huang, X.; Yan, D.; Zang, W. Identifying differentially expressed genes under heat stress and developing molecular markers in orchardgrass (Dactylis glomerata L.) through transcriptome analysis. Mol. Ecol. Resour. 2015, 15, 1497–1509. [Google Scholar] [CrossRef] [PubMed]
- Huang, Q.; Huang, X.; Deng, J.; Liu, H.; Liu, Y.; Yu, K.; Huang, B. Differential gene expression between leaf and rhizome in Atractylodes lancea: A comparative transcriptome analysis. Front. Plant Sci. 2016, 7, 176058. [Google Scholar] [CrossRef]
- Song, T.; Liu, Z.-B.; Li, J.-J.; Zhu, Q.-k.; Tan, R.; Chen, J.-s.; Zhou, J.-y.; Liao, H. Comparative transcriptome of rhizome and leaf in Ligusticum Chuanxiong. Plant Syst. Evol. 2015, 301, 2073–2085. [Google Scholar] [CrossRef]
- He, R.; Salvato, F.; Park, J.-J.; Kim, M.-J.; Nelson, W.; Balbuena, T.S.; Willer, M.; Crow, J.A.; May, G.D.; Soderlund, C.A. A systems-wide comparison of red rice (Oryza longistaminata) tissues identifies rhizome specific genes and proteins that are targets for cultivated rice improvement. BMC Plant Biol. 2014, 14, 46. [Google Scholar] [CrossRef]
- He, R.; Kim, M.J.; Nelson, W.; Balbuena, T.S.; Kim, R.; Kramer, R.; Crow, J.A.; May, G.D.; Thelen, J.J.; Soderlund, C.A. Next-generation sequencing-based transcriptomic and proteomic analysis of the common reed, Phragmites australis (Poaceae), reveals genes involved in invasiveness and rhizome specificity. Am. J. Bot. 2012, 99, 232–247. [Google Scholar] [CrossRef]
- Koo, H.; McDowell, E.T.; Ma, X.; Greer, K.A.; Kapteyn, J.; Xie, Z.; Descour, A.; Kim, H.; Yu, Y.; Kudrna, D. Ginger and turmeric expressed sequence tags identify signature genes for rhizome identity and development and the biosynthesis of curcuminoids, gingerols and terpenoids. BMC Plant Biol. 2013, 13, 27. [Google Scholar] [CrossRef]
- Yang, Y.; Ma, X.; Yan, L.; Li, Y.; Wei, S.; Teng, Z.; Zhang, H.; Tang, W.; Peng, S.; Li, Y. Soil–root interface hydraulic conductance determines responses of photosynthesis to drought in rice and wheat. Sci. J. Silesian Univ. Technol. 2024, 194, 376–390. [Google Scholar] [CrossRef]
- Viana, W.G.; Scharwies, J.D.; Dinneny, J.R. Deconstructing the root system of grasses through an exploration of development, anatomy and function. Plant Cell Environ. 2022, 45, 602–619. [Google Scholar] [CrossRef] [PubMed]
- Chuanren, D.; Bochu, W.; Pingqing, W.; Daohong, W.; Shaoxi, C. Relationship between the minute structure and the lodging resistance of rice stems. Colloids Surf. B Biointerfaces 2004, 35, 155–158. [Google Scholar] [CrossRef] [PubMed]
- Frédéric, M.; Annette, M.B.; Nathalie, N.R.; Marie-Laure, D.; Escobar-Gutiérrez, A.J.; Franois, G.; Marie-Pascale, P.H. Short-term effects of defoliation intensity on sugar remobilization and N fluxes in ryegrass. J. Exp. Bot. 2018, 69, 3975–3986. [Google Scholar]
- Ma, R.; Huang, B.; Huang, Z.; Zhang, Z. Genome-wide identification and analysis of the YABBY gene family in Moso Bamboo (Phyllostachys edulis (Carrière) J. Houz). PeerJ 2021, 9, e11780. [Google Scholar] [CrossRef]
- Kumaran, M.K.; Bowman, J.L.; Sundaresan, V. YABBY polarity genes mediate the repression of KNOX homeobox genes in Arabidopsis. Plant Cell 2002, 14, 2761–2770. [Google Scholar] [CrossRef]
- Ha, C.M.; Jun, J.H.; Fletcher, J.C. Control of Arabidopsis leaf morphogenesis through regulation of the YABBY and KNOX families of transcription factors. Genetics 2010, 186, 197–206. [Google Scholar] [CrossRef]
- Soundararajan, P.; Won, S.Y.; Park, D.S.; Lee, Y.-H.; Kim, J.S. Comparative analysis of the YABBY gene family of Bienertia sinuspersici, a single-cell C4 plant. Plants 2019, 8, 536. [Google Scholar] [CrossRef]
- Dai, M.; Hu, Y.; Zhao, Y.; Liu, H.; Zhou, D.-X. A WUSCHEL-LIKE HOMEOBOX gene represses a YABBY gene expression required for rice leaf development. Plant Physiol. 2007, 144, 380–390. [Google Scholar] [CrossRef]
- Zhang, T.; Li, C.; Li, D.; Liu, Y.; Yang, X. Roles of YABBY transcription factors in the modulation of morphogenesis, development, and phytohormone and stress responses in plants. J. Plant Res. 2020, 133, 751–763. [Google Scholar] [CrossRef]
- Jang, S.; Hur, J.; Kim, S.-J.; Han, M.-J.; Kim, S.-R.; An, G. Ectopic expression of OsYAB1 causes extra stamens and carpels in rice. Plant Mol. Biol. 2004, 56, 133–143. [Google Scholar] [CrossRef]
- Buttar, Z.A.; Yang, Y.; Sharif, R.; Nan Wu, S.; Xie, Y.; Wang, C. Genome wide identification, characterization, and expression analysis of YABBY-gene family in wheat (Triticum aestivum L.). Agronomy 2020, 10, 1189. [Google Scholar] [CrossRef]
- Jiang, Y.; Liu, Y.; Song, H.; He, J. Integrated transcriptomics and metabolomics uncover the molecular basis of flavonoid accumulation in the rhizomes of two Cymbidium tortisepalum var. longibracteatum cultivars. Sci. Hortic. 2022, 293, 110738. [Google Scholar] [CrossRef]
- Tian, M.; Zhang, X.; Zhu, Y.; Xie, G.; Qin, M. Global transcriptome analyses reveal differentially expressed genes of six organs and putative genes involved in (Iso) flavonoid biosynthesis in Belamcanda chinensis. Front. Plant Sci. 2018, 9, 1160. [Google Scholar] [CrossRef] [PubMed]
- Yang, M.; Zhu, L.; Pan, C.; Xu, L.; Liu, Y.; Ke, W.; Yang, P. Transcriptomic analysis of the regulation of rhizome formation in temperate and tropical lotus (Nelumbo nucifera). Sci. Rep. 2015, 5, 13059. [Google Scholar] [CrossRef]
- Guo, X.-J.; Wang, J.-R. Global identification, structural analysis and expression characterization of bHLH transcription factors in wheat. BMC Plant Biol. 2017, 17, 90. [Google Scholar] [CrossRef]
- Pires, N.; Dolan, L. Origin and diversification of basic-helix-loop-helix proteins in plants. Mol. Biol. Evol. 2010, 27, 862–874. [Google Scholar] [CrossRef]
- Abe, H.; Urao, T.; Ito, T.; Seki, M.; Shinozaki, K.; Yamaguchi-Shinozaki, K. Arabidopsis AtMYC2 (bHLH) and AtMYB2 (MYB) function as transcriptional activators in abscisic acid signaling. Plant Cell 2003, 15, 63–78. [Google Scholar] [CrossRef]
- Sun, X.; Wang, Y.; Sui, N. Transcriptional regulation of bHLH during plant response to stress. Biochem. Biophys. Res. Commun. 2018, 503, 397–401. [Google Scholar] [CrossRef]
- Tao, Y.; Chen, M.; Shu, Y.; Zhu, Y.; Wang, S.; Huang, L.; Yu, X.; Wang, Z.; Qian, P.; Gu, W. Identification and functional characterization of a novel BEL1-LIKE homeobox transcription factor GmBLH4 in soybean. Plant Cell Tissue Organ Cult. (PCTOC) 2018, 134, 331–344. [Google Scholar] [CrossRef]
- Banerjee, A.K.; Chatterjee, M.; Yu, Y.; Suh, S.-G.; Miller, W.A.; Hannapel, D.J. Dynamics of a mobile RNA of potato involved in a long-distance signaling pathway. Plant Cell 2006, 18, 3443–3457. [Google Scholar] [CrossRef]
- Lin, T.; Sharma, P.; Gonzalez, D.H.; Viola, I.L.; Hannapel, D.J. The impact of the long-distance transport of a BEL1-like messenger RNA on development. Plant Physiol. 2013, 161, 760–772. [Google Scholar] [CrossRef] [PubMed]
- Sharma, P.; Lin, T.; Grandellis, C.; Yu, M.; Hannapel, D.J. The BEL1-like family of transcription factors in potato. J. Exp. Bot. 2014, 65, 709–723. [Google Scholar] [CrossRef]
- Davey, M.P.; Burrell, M.M.; Woodward, F.I.; Quick, W.P. Population-specific metabolic phenotypes of Arabidopsis lyrata ssp. petraea. New Phytol. 2010, 177, 380–388. [Google Scholar] [CrossRef] [PubMed]
- Krattinger, S.G.; Lagudah, E.S.; Spielmeyer, W.; Singh, R.P.; Huerta-Espino, J.; Mcfadden, H.; Bossolini, E.; Setter, L.L.; Keller, B. A Putative ABC Transporter Confers Durable Resistance to Multiple Fungal Pathogens in Wheat. Science 2009, 323, 1360–1363. [Google Scholar] [CrossRef] [PubMed]
- Bates, P.D.; Browse, J. The pathway of triacylglycerol synthesis through phosphatidylcholine in Arabidopsis produces a bottleneck for the accumulation of unusual fatty acids in transgenic seeds. Plant J. 2011, 68, 387–399. [Google Scholar] [CrossRef]
- Tanaka, M.; Takahata, Y.; Nakayama, H.; Nakatani, M.; Tahara, M. Altered carbohydrate metabolism in the storage roots of sweetpotato plants overexpressing the SRF1 gene, which encodes a Dof zinc finger transcription factor. Planta 2009, 230, 737–746. [Google Scholar] [CrossRef]
- Chakrabarti, M.; Zhang, N.; Sauvage, C.; Munos, S.; Blanca, J. A cytochrome P450 regulates a domestication trait in cultivated tomato. Proc. Natl. Acad. Sci. USA 2013, 110, 17125–17130. [Google Scholar] [CrossRef]
- Christ, B.; Sussenbacher, I.; Moser, S.; Bichsel, N.; Egert, A.; Muller, T.; Krautler, B.; Hortensteiner, S. Cytochrome P450 CYP89A9 is involved in the formation of major chlorophyll catabolites during leaf senescence in Arabidopsis. Plant Cell 2013, 25, 1868–1880. [Google Scholar] [CrossRef]
- Fan, J.; Urban, M.; Parker, J.E.; Brewer, H.C.; Kelly, S.L.; Hammond-Kosack, K.E.; Fraaije, B.A.; Liu, X.; Cools, H.J. Characterization of the sterol 14α-demethylases of Fusarium graminearum identifies a novel genus-specific CYP51 function. New Phytol. 2013, 198, 821–835. [Google Scholar] [CrossRef]











| Stem | Rhizome | Roots | |
|---|---|---|---|
| With rhizome (Y) | |||
| Plant 1 | YJ101 | YGJ102 | YG103 |
| Plant 2 | YJ201 | YGJ202 | YG203 |
| Plant 3 | YJ301 | YGJ302 | YG303 |
| Without rhizome (W) | |||
| Plant 1 | WJ101 | WG102 | |
| Plant 2 | WJ201 | WG202 | |
| Plant 3 | WJ301 | WG302 | |
Disclaimer/Publisher’s Note: The statements, opinions and data contained in all publications are solely those of the individual author(s) and contributor(s) and not of MDPI and/or the editor(s). MDPI and/or the editor(s) disclaim responsibility for any injury to people or property resulting from any ideas, methods, instructions or products referred to in the content. |
© 2025 by the authors. Licensee MDPI, Basel, Switzerland. This article is an open access article distributed under the terms and conditions of the Creative Commons Attribution (CC BY) license (https://creativecommons.org/licenses/by/4.0/).
Share and Cite
Huang, X.; Li, Y.; Du, J.; Liang, Y.; Han, H.; Gao, C.; Zhao, Y. Transcriptomic Analysis and Identification of Candidate Genes Involved in Rhizome Development in Agropyron michnoi. Agronomy 2025, 15, 674. https://doi.org/10.3390/agronomy15030674
Huang X, Li Y, Du J, Liang Y, Han H, Gao C, Zhao Y. Transcriptomic Analysis and Identification of Candidate Genes Involved in Rhizome Development in Agropyron michnoi. Agronomy. 2025; 15(3):674. https://doi.org/10.3390/agronomy15030674
Chicago/Turabian StyleHuang, Xintian, Yuchen Li, Jinyu Du, Yan Liang, Huijie Han, Cuiping Gao, and Yan Zhao. 2025. "Transcriptomic Analysis and Identification of Candidate Genes Involved in Rhizome Development in Agropyron michnoi" Agronomy 15, no. 3: 674. https://doi.org/10.3390/agronomy15030674
APA StyleHuang, X., Li, Y., Du, J., Liang, Y., Han, H., Gao, C., & Zhao, Y. (2025). Transcriptomic Analysis and Identification of Candidate Genes Involved in Rhizome Development in Agropyron michnoi. Agronomy, 15(3), 674. https://doi.org/10.3390/agronomy15030674
