You are currently viewing a new version of our website. To view the old version click .
Agronomy
  • Article
  • Open Access

27 February 2025

Enzymatic Stoichiometry and Microbial Resource Limitation in a Saline-Alkaline Soil Five Years After Biochar Application, Fertilization, and Irrigation

,
,
,
,
,
and
1
School of Geographical Sciences, Nanjing University of Information Science and Technology, Nanjing 210044, China
2
Shaanxi Province Key Laboratory of Bio-Resources, School of Biological Science and Engineering, Shaanxi University of Technology, Hanzhong 723000, China
3
Qinba State Key Laboratory of Biological Resources and Ecological Environment (Incubation), Shaanxi University of Technology, Hanzhong 723000, China
4
Institute of Grain Crops, Xinjiang Academy of Agricultural Sciences, Urumqi 830091, China
This article belongs to the Special Issue Biochar’s Role in the Sustainability of Agriculture

Abstract

The effect of biochar addition on enzyme stoichiometry and regulatory mechanisms in saline-alkali soil is still vague. We studied how five years (2018–2023) of applying 10 t biochar ha−1 yr−1 influences soil’s chemical and microbial properties, microbial element utilization efficiency, and resource limitations in the Tarim River basin. Low, medium, and high nitrogen fertilization (kg N ha−1) and irrigation (W) (mm) with or without biochar (B) were as follows: low nitrogen low irrigation (LNLW, 100/140), mid nitrogen mid irrigation (MNMW, 200/220), high nitrogen high irrigation (HNHW, 300/320), LNLWB, MNMWB, and HNHWB. Biochar application (LNLWB, MNMWB, HNHWB) increased soil organic carbon (+61%, +55%, +59%), total N (+9%, +16%, +8%), total phosphorus (+6%, +5%, +27%), microbial N (+75%, +86%, +28%) and P use efficiency (+60%, +45%, +27%), but decreased microbial biomass carbon (−6%, −29%, −45%), and microbial carbon use efficiency (−6%, −7%, −7%). Biochar application alleviated microbial C limitation but increased the P limitation of MNMW and the N limitation of HNHW. In conclusion, with a 1/3 reduction in N fertilization and irrigation compared with HNHW (MNMW), biochar can greatly alleviate microbial resource limitations and improve soil fertility in saline-alkaline soils.

1. Introduction

Soil salinity is one of the greatest global challenges affecting agricultural productivity and environmental sustainability [1]. Climate change, coupled with prolonged droughts and rising sea levels, is expected to exacerbate soil salinization in the near future [2,3]. The global area of salt-affected soils is approximately 1.1 × 108 hectares, which is increasing by 10% per year, and more than 20% of global irrigated farmlands are already facing decreasing productivity due to various salinity levels [4,5]. However, the expansion, development, and utilization of saline-alkaline soils are increasing because of population expansion and the limited land area for cultivation. This brings ecological concerns, particularly in view of recent and future climate changes [6].
Soil microorganisms promote soil organic matter decomposition and accumulation through their growth and metabolism and regulate nutrient cycling [7,8]. These processes in natural ecosystems depend on microbial biomass and activity, which are often limited by the availability of carbon (C), nitrogen (N), and phosphorus (P), and is called microbial resource limitation [9,10]. Extracellular enzymes produced by soil microorganisms participate in almost all chemical reactions in the soil and maintain high sensitivity of soil salinity, texture, and nutrient status to changes in external environmental conditions [11]. Microbial metabolism is linked to extracellular enzyme activity [12,13]. The activity of C, N, and P acquisition enzymes, which are commonly categorized as “C-harvesting” (β-1,4-glucosidase), “N-harvesting” (leucine aminopeptidase and β-1,4-N-acetylglucosaminidase), and “P-harvesting” (phosphatase), have been the subject of extensive research to understand the cycling of C, N, and P better [14,15,16]. The relative abundance of these enzymes in the soil could reflect the relative requirements of C, N, and P by soil microorganisms [17]. The relative limitations of soil microbial C, N, and P are reflected in the vector length (C) and angle (N or P), determined by enzyme stoichiometry [18]. The vector length reflects the efficiency of the C resource use of the microbial community, and the shorter vector indicates a higher resource use efficiency. Vector angles indicate the type of resource constraints, with different perspectives corresponding to nutrient constraints such as nitrogen or phosphorus [18].
The excessive application of fertilizers, particularly N fertilizers, along with the inefficient utilization of added nutrients via fertilization by microorganisms, has significant adverse effects on the environment, such as soil and water pollution, eutrophication, and the economy [19,20]. Kang et al. [21] found that the colonization rate of microbial fertilizer in the rhizosphere of crops was significantly affected by the amount of nitrogen fertilizer, and the appropriate amount of nitrogen fertilizer could significantly increase the number of colonization in the rhizosphere of crops, while excessive application of nitrogen fertilizer would lead to a decrease in its colonization amount. In view of global warming, accompanied by water scarcity and rising fertilizer costs, applying optimized irrigation and fertilization management is crucial to balance productivity and food security with economic costs [22].
In recent years, adding biochar as a sustainable amendment to croplands has garnered increasing attention because of its potential to improve productivity in acidic and nutrient-poor soils and contribute to the ecological restoration and C sequestration in agroecosystems [23,24,25]. Biochar is a carbon-rich product derived from biomass pyrolysis under hypoxic or oxygen-restricted conditions. The relatively high specific surface area and porosity of biochar enable the absorption and retention of mineral nutrients in the soil, leading to the effective regulation of nutrient cycles and enhancement of soil fertility [26,27,28]. In particular, biochar provides a habitat for microorganisms and can control microbial biomass, community composition, and enzyme activity [29,30]. Biochar generally controls soil’s microbial community structure by alleviating C limitations, although in favor of limitations related to other nutrients such as N and P [31]. However, there are contradictory observations about the effects of biochar on soil microbial activity and microbial biomass, from inhibition to the absence of a significant effect [32]. Relieving microbial resource limitations using inorganic fertilizers [33], organic fertilizers (including straw return) [34,35,36], and biochar [37] in non-saline soils has been widely demonstrated. However, owing to various direct drawbacks of the salinity levels on microbial activity in general [2], it is largely unclear if salinity levels intensify or decrease the expected ecological functions of biochar on soil enzymatic stoichiometry and microbial resource limitation, especially in the long run, and if complementary fertilization and irrigation as standard land management practices in saline-alkaline soils can enhance the biochar effects. Lu et al. [38] found that the application of biochar in high-nitrogen saline-alkali soil can improve soil enzyme activity by changing the basic physical and chemical properties of soil. Zhao et al. [39] found that the application of biochar in low-nitrogen saline-alkali soils significantly increased enzyme activity and microbial biomass.
Therefore, we aimed to investigate (1) whether standard soil management practices (e.g., complementary fertilization and irrigation) can enhance the effect of biochar in saline soils and (2) the impact of this enhancement on microbial resource limitation to provide a scientific basis for the rational use and improvement of saline soils.

2. Materials and Methods

2.1. Site Description

The fertilization experiment was initiated at the Aksu National Experimental Station of the Xinjiang Institute of Ecology and Geography of the Chinese Academy of Sciences (40°37′ N, 80°45′ E). The study site is located in an arid region at an altitude of 1028 m a.s.l. The average annual temperature is 11.6 °C, with a frost-free period of 207 days and an annual sunshine duration of 2940 h (1986–2015) [40,41]. The soil at the study site was gleyic Solonchak (FAO World Reference Base for Soil Resources), composed of 44% sand (0.02–2 mm), 50% silt (0.002–0.02 mm), and 6% clay (<0.002 mm). At the beginning of the experiment, the soil pH was 7.7, the organic C content was 6 g kg−1, the total N content was 0.5 g kg−1, and the total P content was 0.83 g kg−1.

2.2. Experimental Design and Treatments

Corn was planted on the experimental plot from May to August, and was not planted in winter. The experiment followed a complete randomized block design with three experimental factors: N fertilization, irrigation, and biochar addition. When applying biochar, mix it with the soil and evenly distribute it on the soil surface, then incorporate it into the top 20 cm of the soil layer through mechanical tillage. Eight treatments were conducted in 35 m2 fields (7 m × 5 m) with three replicates from 2019 to 2023 as follows: (i) control (without fertilization, irrigation, or biochar addition); (ii) 100 kg N ha−1 and 140 mm irrigation (LNLW); (iii) 100 kg N ha−1, 140 mm irrigation, and 10 t ha−1 biochar (LNLWB); (iv) 200 kg N ha−1 and 220 mm irrigation (MNMW); (v) 200 kg N ha−1, 220 mm irrigation, and 10 t ha−1 biochar (MNMWB); (vi) 300 kg N ha−1 fertilization and 320 mm irrigation (HNHW); and (vii) 300 kg N ha−1 fertilization, 320 mm irrigation, and 10 t ha−1 biochar (HNHWB). Urea was used as the N fertilizer. N fertilizer was added in three steps at a ratio of 4:4:1 of the total amount added to the treatments as the base fertilizer and two topdressings. For the fertilizer treatments, 50 kg of P ha−1 superphosphate and 40 kg of K ha−1 potassium sulfate were added at the beginning of the experiment. Biochar was generated by pyrolysis of corn stalks at 500 °C for 2 h. The produced biochar had a pH of 9.2 and an electrical conductivity of 0.7 mS cm−1. It contained 660 mg of g−1 total C, 10 mg of g−1 total N, 0.28 mg of g−1 total P, and 34.26 mg of g−1 total potassium (K). The Olsen-extracted P content of the biochar was 120.8 mg g−1, and the ash content was 15.57%. The biochar had a specific surface area of 8.87 m2 g−1, with an average pore size of 16.23 nm. The volatile matter content of the biochar was 21.94%, whereas the carbon content was 62.49%.

2.3. Soil Sampling and Chemical Analyses

After the corn harvest in September 2023, soil samples were collected from each replicate, where three soil cores (6 cm in diameter) were randomly collected from depths of 0–20 cm and pooled. The collected soil samples were immediately transported to the laboratory, sieved (2 mm) to remove debris, stones, and visible plant roots, and homogenized for analysis. Each soil sample was divided into three parts; one part of each composite soil sample was air-dried and then used to assess the chemical properties of the soil; one was stored at 4 °C, and the remaining part was stored in 50 mL centrifuge tubes at −80 °C for later determination of the phospholipid fatty acids (PLFA).
The soil pH was determined by adding deionized water and mixing at a soil/water ratio of 1:5 (m:v). The soil organic carbon (SOC) content was measured using the potassium dichromate and sulfuric acid oxidation methods [42]. Soil total nitrogen (TN) was measured using an elemental analyzer (Elementar Analysensysteme GmbH, Hanau, Germany). The sodium hydroxide and sodium bicarbonate methods were used to extract total phosphorus (TP) and available phosphorus (AVP), respectively. Dissolved organic carbon (DOC) and dissolved organic nitrogen (DON) were extracted in deionized water [soil/water ratio of 1:5 (m:v)] by shaking the soil–water mixture for 1 h and extracting the water solution using 0.45 μm filters in a vacuum filtration device [43]. A total organic carbon analyzer (Shimadzu Corporation, Kyoto, Japan) was used to quantify the DOC and DON in the extracted water solution [44]. Glass jars were filled with 100 g of soil as an experimental group, and glass jars without soil were set up as a control group. These jars were placed in a climatic chamber at a temperature of 35 °C for incubation. Carbon dioxide was extracted from the glass jars using a syringe, and basal soil respiration was measured using a gas chromatograph (Agilent Technologies Inc., Santa Clara, CA, USA) [45]. Microbial biomass carbon (MBC), nitrogen (MBN), and phosphorus (MBP) were determined using a chloroform fumigation-extraction method [46,47]. β-1,4-glucosidase (BG), β-1,4-N-acetylglucosaminidase (NAG), leucine aminopeptidase (LAP), and alkaline phosphatase (AKP) were determined using the soil enzyme kit from Solarbio Science & Technology Co. (Beijing, China).

2.4. PLFA Analysis

The microbial community structure was assessed by extracting PLFA from 8 g of freeze-dried soil [48]. Lipids were extracted with chloroform, methanol, and citrate buffer at a ratio of 1:2:0.8 and separated using an SPE silica column. The composition of the alkaline esterified PLFA was analyzed by gas chromatography with an HP-5 capillary column (25 m × 0.32 mm × 0.25 mm) and a hydrogen flame ionization detector and identified using MIDI peak identification software (Version 4.0).
Microbial groups were assigned to the PLFA based on previously published literature [49,50]. We used 13:0, 14:0, 15:0, 16:0, 17:0, 18:0, and 19:0 as the PLFA biomarkers for bacteria. Heterbranch and anterior branch fatty acids (i13:0, i14:0, i15:0, a15:0, i16:0, a16:0, i17:0, a17:0, and i18:0) were biomarkers of Gram-positive (G+) bacteria, while Gram-negative (G−) bacteria were identified with 16:1 ω 9c, 11Me 19:0 as the PLFA biomarkers. Furthermore, 18:2 ω 9c (9, 12), 18:1 ω 9c were fungal PLFA biomarkers; 10Me18:0 were actinomycete biomarkers; and 16:1 ω 11 were biomarkers of arbuscular mycorrhizal fungi (AMF).

2.5. Stoichiometry of Soil Microbial Element Utilization Efficiency and Enzyme Activity

The utilization efficiency of microbial carbon (CUE) was calculated according to the stoichiometric theory:
C U E = C U E m a x × S C : N × S C : P S C : N + K x × S C : P + K x 0.5
S C : X = 1 EEA C : X × B C : X L C : X
where CUEmax = 0.6 represents the upper limit of the microbial growth efficiency subject to thermodynamic constraints, Kx = 0.5 is the half-saturation coefficient, EEAC:X means BG:(LAP + NAG) or BG:AKP, BC:X is MBC:MBN or MBC:MBP, and LC:X is SOC:TN or SOC:TP [51].
The utilization efficiency of microbial nitrogen (NUE) and phosphorus (PUE) was as follows:
X U E = X U E m a x S X : C S X : C + K C
where XUE indicates either NUE or PUE. XUEmax = 1.0 indicates the upper limit of the microbial N and P utilization efficiency subject to thermodynamic constraints, KC = 0.5, and is the half-saturation coefficient. SX:C is given in Formula (2).
The method using (LAP + NAG)/AKP and BG/(LAP + NAG) scatter plots identified four sections—C and P, C and N, N, and P—to assess the microbial resource constraints [17]. When soil microorganisms have sufficient N but lack sufficient C to maintain the balance of nutrient absorption and internal stability, additional enzymes related to C decomposition are secreted to obtain C, resulting in a BG/(LAP + NAG) ratio > 1. Similarly, when soil microorganisms lack sufficient N, they secrete additional enzymes, which are associated with the breakdown of N, resulting in a (NAG + LAP)/AKP ratio of > 1 [52]. The vector length and angle were calculated according to enzyme stoichiometry, which indicates the degree to which microbial metabolism is limited by C. An increase in the vector length represents an increase in soil microbial C limitation, and the vector angle indicates the limitation of microorganisms by N or P. An angle less than 45° indicates N limitation, and a value greater than 45° indicates P limitation [53,54].
The vector lengths and angles were calculated using the following formulas [18]:
V e c t o r l e n g t h = ( l n B G / l n A K P ) 2 + ( l n B G / l n ( L A P + N A G ) ) 2
V e c t o r a n g l e = D e g r e e s ( A T A N 2 ( ( l n B G / l n A K P ) , ( l n B G / l n ( L A P + N A G ) ) ) )
This method is a quantitative method based on the C:N:P ratio to obtain enzyme activity [17] with an average ratio of 1:1:1, which was calculated using the ratio of logarithmic conversion of enzyme activity [10].
The general score formula for soil fertility, calculated using principal component analysis (PCA), was as follows:
F = j = 1 m b j Z j
where m is the number of principal components, b is the contribution rate, and Z is the score of the principal component [55].

2.6. Statistical Analysis

All data are presented as the mean value ± standard deviation. Percentages in the text are the ratio of the difference between the same conventional fertilization with and without biochar to the no-biochar group. Analysis of variance and Tukey’s test were used to analyze the soil properties, PLFA, microbial element availability, soil enzyme activity, and stoichiometry using SPSS 24.0 statistical software. Redundancy analysis (RDA) was performed using Canoco 5 (Version 5.0) [56] to explore the relationships between soil enzyme activities, PLFA, soil chemical and microbial properties, and elemental utilization efficiency. The Mantel test analysis and partial least squares path modeling (PLS-PM) were performed using the software packages “vegan” and “Plspm” in R (Version 4.3.3). Mapping was mainly performed by using Origin Pro 2021. The PCA was performed using OriginPro 2021.

3. Results

3.1. Soil Chemical and Microbial Properties

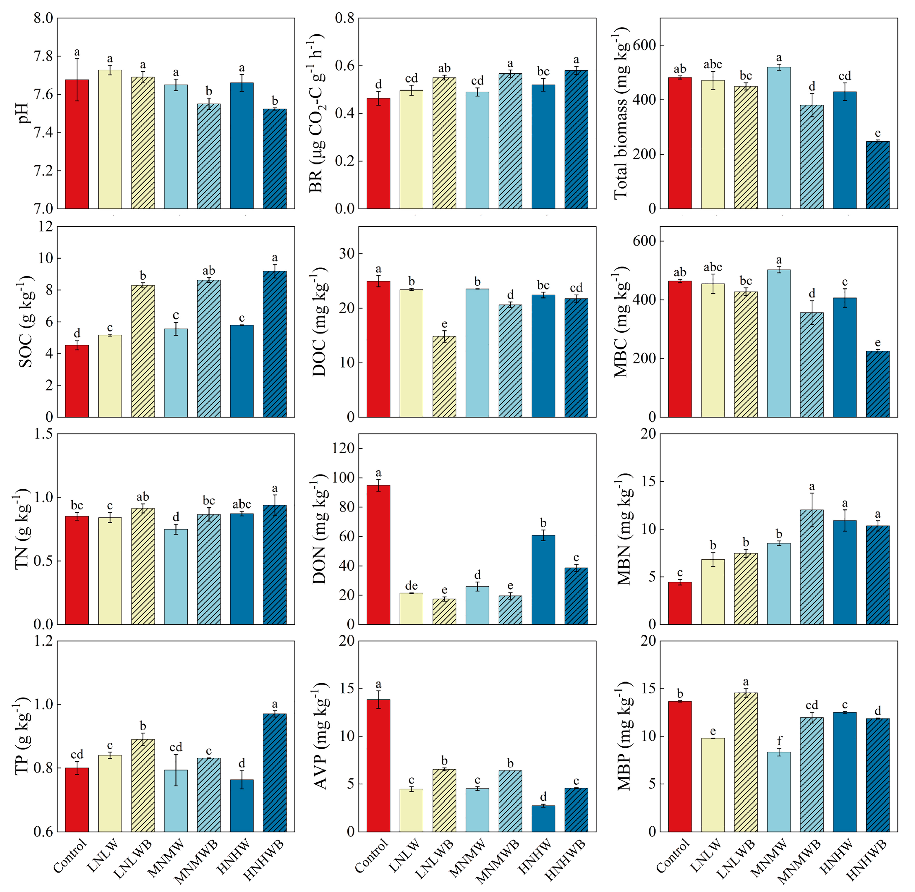
Biochar application significantly increased soil basal respiration (BR) (+11%, +16%, +12%), SOC (+61%, +55%, +59%), TN (+9%, +16%, no), TP (+6%, no, +27%), and AVP (+47%, +42%, +65%), but reduced the pH (no, −0.1, −0.1), DOC (−37%, −12%, −3%), DON (no, −24%, −36%), MBC (no, −29%, −45%), and total biomass (no, −27%, −42%) compared to the LNLW, MNMW, and HNHW, respectively. The HNHWB showed the highest levels of SOC (9 g kg−1), BR (0.6 μg g−1 h−1), TN (0.9 g kg−1), and TP (1 g kg−1) (Figure 1).
Figure 1. Soil chemical and microbial properties depending on the N fertilization and irrigation levels with and without biochar application. The shaded bars indicate the treatment of biochar application. SOC: soil organic carbon; TN: total nitrogen; TP: total phosphorus; DOC: dissolved organic carbon; DON: dissolved nitrogen; AVP: available phosphorus; BR: soil basal respiration; MBC: microbial biomass carbon; MBN: microbial biomass nitrogen; MBP: microbial biomass phosphorus. The total biomass was calculated as the sum of MBC, MBN, and MBP. Different letters on the columns within each sub-figure indicate significant differences (p < 0.05) between treatments. Error bars show the standard deviations of the means.
Applying biochar to HNHW reduced MBN (−5%) and MBP (−5%), but application to LNLW and MNMW increased MBN (+9% and +41%) and MBP (+49% and +44%, respectively). MNMW had the highest total biomass (519 mg kg−1), whereas HNHWB had the lowest (224 mg kg−1). MNMW also had the highest MBC (502.5 mg kg−1). MNMWB had the highest MBN (12 mg kg−1). LNLWB had the highest MBP (14.5 mg kg−1) (Figure 1).

3.2. Microbial Community Structure

The total PLFA (−20%) and total biomass of bacteria, G+ bacteria, G− bacteria, fungi, actinomycetes, and AMF, as well as the ratio of fungi to bacteria (F/B), decreased after the biochar addition in LNLW but increased in HNHW (Figure 2). HNHWB led to the highest total PLFA (102 μg g−1), bacteria (67 μg g−1), G+ (50 μg g−1), G− (4.3 μg g−1), fungi (22 μg g−1), AMF (18 μg g−1), and F/B (0.3 μg g−1); however, the total biomass of actinomycetes (2.1 μg g−1) was the highest in LNLW. Applying MNMW increased the total PLFA (+4%), bacteria, fungi, AMF, fungi, and F/B.
Figure 2. Soil total PLFA (a), bacteria (b), G+: Gram-positive bacteria (c), G−: Gram-negative bacteria (d), fungi (e), AMF: arbuscular mycorrhizal fungi (f), actinomycetes (g), and the ratio of bacteria and fungi (h) in response to different N fertilization and irrigation levels with and without biochar application. The shaded bars indicate the treatment of biochar application. Different letters in the column indicate significant differences (p < 0.05) between treatments. Error bars show the standard deviations of the means.

3.3. Soil Element Utilization Efficiency and Enzyme Activities

Applying biochar reduced CUE (−6%, −6%, −7%) but increased NUE (+75%, +86%, +28%) and PUE (+60%, +45%, +27%) compared with that in LNLW, MNMW, and HNHW, respectively. LNLW had the highest microbial CUE (0.56), whereas HNHWB had the lowest (0.49). HNHWB had the highest NUE (0.44), and MNMW had the lowest PUE (0.24). The control treatment had the lowest NUE (0.09) and the highest PUE (0.52) (Figure 3).
Figure 3. Soil microbial carbon use efficiency (CUE) (a), nitrogen use efficiency (b), and phosphorus use efficiency (c) in response to different N fertilization and irrigation levels with and without biochar application. The shaded bars indicate the treatment of biochar application. Different letters in the column indicate significant differences (p < 0.05) between treatments. Error bars show the standard deviations of the means.
Applying biochar caused changes in BG activity (no, −21%, −41%), LAP + NAG activity (−14%, −14%, no), AKP activity (no, +35%, −20%), enzymatic C:N (no, no, −0.6), C:P (no, −0.6, −0.3), and N:P (−0.5, −0.4, no) compared to LNLW, MNMW, and HNHW, respectively. HNHW had the highest BG activity (596 nmol g−1 h−1), and LNLWB had the lowest (307 nmol g−1 h−1). LNLW had the highest LAP + NAG activity (478 nmol g−1 h−1), and MNMWB had the lowest (386 nmol g−1 h−1). MNMWB had the highest AKP activity (514 nmol g−1 h−1), and the control had the lowest (129 nmol g−1 h−1). HNHW had the highest enzymatic C:N ratio (1.5), whereas LNLW had the lowest ratio (0.7). MNHWB had the lowest enzymatic C:P (0.8) and N:P (0.8) ratios (Figure 4).
Figure 4. Soil extracellular enzyme activities and their stoichiometric characteristics under different fertilization and irrigation with and without biochar application. BG: β-1,4-glucosidase (a), LAP + NAG: leucine aminopeptidase and β-1,4-N-acetylglucosaminidase (b), AKP: alkaline phosphatase (c), enzymatic C:N: BG:(LAP + NAG) ratio (d), enzymatic C:P: BG:AKP ratio (e), and enzymatic N:P: (LAP + NAG):AKP ratio (f) in response to different N fertilization and irrigation with and without biochar application. The shaded bars indicate the treatment of biochar application. Different letters in the column indicate significant differences between treatments (p < 0.05). Error bars show the standard deviations of the means.

3.4. Soil Enzyme Stoichiometry and Microbial Resource Limitation

The biochar application decreased the vector length compared with LNLW, MNMW, and HNHW. For the vector angle, applying biochar increased LNLW and MNMW but decreased HNHW (Figure 5). The vector angle was greater than 45° for both MNMWB and HNHW and less than 45° for all other treatments (Figure 5b). Linear regression analysis showed a significant negative correlation (p < 0.01) between the vector length and angle (Figure 5c).
Figure 5. Vector length (a), vector angle (b), and their relationships (c), and the scatter plot of the limited distribution of microbial resources (d) under different N fertilization and irrigation regimes with and without biochar application. The shaded bars indicate the treatment of biochar application. Different letters in the column indicate significant differences between treatments (p < 0.05). Error bars show the standard deviations of the means.
The biochar application alleviated the N limitation in LNLW, alleviated the N limitation and increased the P limitation in MNMW, and alleviated the C and P limitations and increased the N limitation in HNHW. The enzymatic stoichiometry scatter plot revealed that MNMWB and HNHW were within the C and P co-limitation quadrants, MNMW was within the C and N co-limitation quadrants, and the remaining treatments were within the N co-limitation quadrant (Figure 5d).

3.5. Correlation of Soil Chemical Properties, Microbial Biomass PLFA, and Element Utilization Efficiency on Microbial Resource Limitation

Soil MBN (50%, p < 0.01), DON (19%, p < 0.01), and PUE (12%, p < 0.01) explained the soil enzyme activities and their stoichiometry ratios (Figure 6a). AKP activity significantly correlated with NUE, CUE, MBN, SOC, and BR. The BG activity and enzymatic C:N levels were significantly and negatively correlated with the TN and TP levels. LAP + NAG activity, enzymatic C:P, and enzymatic N:P were positively correlated with pH, AVP, MBP, MBC, DON, DOC, and PUE. Applying biochar (MNMWB and HNHWB) was significantly different from that of the non-biochar treatments (MNMW and HNHW) along the first axis. Among the primary soil indices, AVP (67%, p < 0.01), MBC (18%, p < 0.01), and TP (4%, p < 0.01) better explained the changes in the soil PLFA and significantly correlated with the soil PLFA. Total PLFA, bacteria, G+, G−, fungi, AMF, and F/B were significantly correlated with CUE, TP, SOC, MBN, NUE, and BR and were significantly negatively correlated with DON, AVP, pH, and MBC. Actinomycetes were significantly and negatively correlated with AVP, DON, MBP, and PUE.
Figure 6. The redundancy analysis of soil enzyme activities and their stoichiometric ratios (a) and the PLFA (b) with relation to soil chemical and microbial properties and element utilization efficiency. EC:N: enzymatic C:N; EC:P: enzymatic C:P; EN:P: enzymatic N:P; SOC: soil organic carbon; TN: total nitrogen; TP: total phosphorus; DOC: dissolved organic carbon; DON: dissolved nitrogen; AVP: available phosphorus; BR: soil basal respiration; MBC: microbial biomass carbon; MBN: microbial biomass nitrogen; MBP: microbial biomass phosphorus; CUE: carbon use efficiency; NUE: nitrogen use efficiency; PUE: phosphorus use efficiency.
The vector length showed a positively high and significant correlation (p < 0.01) with the pH and SOC content and showed significantly positive correlations (p < 0.05) with BR, CUE, and NUE (Figure 7). The vector angle also showed a positively high and significant correlation (p < 0.01) with pH, DON, AVP, BR, MBN, NUE, total PLFA, bacteria, G+, G−, fungi, actinomycetes, and F/B and a significantly positive correlation (p < 0.05) with SOC and AMF (Figure 7).
Figure 7. The Mantel test heat map of the vector length and vector angle with soil chemical and microbial properties, element utilization efficiency, and the PLFAs. The color indicates the pairwise comparisons of variables, and the width of the lines represents the strength of the correlation. The asterisks indicate the statistical significance (* p < 0.05; ** p < 0.01; *** p < 0.001).

4. Discussion

4.1. Effects of Biochar Application on Soil Chemical and Microbial Properties and Microbial Community

The increase in DOC and DON from −3% to −37% after the biochar addition (Figure 1) was mostly due to the unstable C and N contents of biochar itself; the DOC and DON contents can be directly increased [57]. And over time, the organic matter adsorbed by biochar may slowly desorb and re-enter the soil [58]. In addition, it is possible that the adsorption of soil C− and N-related enzymes by biochar reduces their activity (Figure 4) [59], decreasing the mineralization of SOC and leading to the accumulation of the original substances in the soil. Biochar can adsorb phosphate through its surface properties (such as functional groups and pore structure), reducing its chance of forming insoluble complexes with metal ions in the soil (such as Ca2+ and Mg2+), thereby improving the utilization rate of P [60]. In addition, biochar increased the AVP content by improving the soil nutrient status, especially DON (Figure 7) [61]. Such an increase in soil C and N can be attributed to two main factors: (1) biochar itself contained higher levels of C and total N, which directly contributed to the increase in SOC and soil TN content [62,63]; (2) the functional groups on the surface of the biochar (e.g., carboxyl and hydroxyl groups) formed more stable organic compounds with SOC, and at the same time, biochar reduced enzymes in the soil and inhibited the decomposition of organic carbon by enzymes [64].
The increase in basal soil respiration after the biochar application was attributed to labile C input or the priming effect of SOC [65,66]. The labile C in biochar alone cannot explain the observed increase in soil respiration after the biochar addition because it is usually depleted within a few weeks or months [67,68]. Therefore, the gradual release of stabilized SOC by biochar [69] should also be considered a source of C for microorganisms and the subsequent higher soil respiration compared to treatments without a biochar addition.
Applying biochar reduced the MBC significantly (−6% to −45%) (Figure 1). This may be because microorganisms use more stabilized C for respiration rather than biomass production after applying biochar [70] or because the soil salinity increased, affecting soil microbial enzyme activity and resulting in lower C cycling enzymes and normal microbial C cycling [71]. Although some studies have shown that a biochar application can increase MBC [72,73,74,75,76], others have reported a decrease in MBC [77,78,79,80]. These contrasting results are primarily related to the variations in the type, rate, and duration of the biochar application (Table 1) [77,79]. Despite the relatively low biochar application rate of 10 t ha−1 compared to those in others studies, the MBC decreased significantly (−27 to −181 mg kg−1) (Figure 1). This can be related to the poor water retention of sandy soils, which can limit the full utilization of biochar C sources by microorganisms and reduce MBC. Zhang et al. [72] found that the application of biochar to sandy land in the short term could increase the soil’s moisture content, and there was a significant correlation between MBC and SWC. However, with the aging of biochar and the low application rate, there was no significant effect on the soil’s water-holding capacity [81,82]. In contrast, the good water retention of clayey soils enables microorganisms to sustainably utilize the biochar C source and accumulate MBC [73,78].
Table 1. The changed MBC (mg kg−1) under different field biochar treatments.
LNLWB significantly reduced the total PLFA and all individual groups (Figure 2) because applying biochar did not significantly decrease the pH of LNLW. Due to the adsorption of biochar, the availability of microbial resources, especially DON, is reduced, thus indirectly inhibiting microbial growth under salt stress [83,84]. In contrast, MNMWB and HNHWB increased the total PLFA because of the effects of biochar, which can be maximized when the soil pH and nutrients are moderate or sufficient [85]. The increase in the fungal biomass and fungi/bacteria ratio in MNMW and HNHW is due to the following: (1) readily decomposable substrates are favored by bacteria, which are characterized by rapid growth, a turnover of C, and rapid recycling of nutrients [86,87], whereas fungi primarily decompose recalcitrant C [88], and (2) application of biochar under medium to high fertilization and irrigation significantly reduces the pH, which favors fungal growth [89]. Ascomycetes can rapidly utilize the usually hardly biodegradable, such as hemicellulose, cellulose, and lignin [90]. In addition, Proteobacteria, as decomposers, mainly control their metabolic activity and leaf degradation [40]. Bacilli and Bacteroidetes have nitrogen-fixing capacities, which allows them to decompose organic compounds with a high C:N residue ratio [91]. Firmicutes can degrade cellulose [92], and actinomycetes can utilize large amounts of carbohydrates such as cellulose, lignin, and humus compounds [93].

4.2. Applying Biochar Changed the Pattern and Magnitude of Microbial Resource Limitation

The biochar application reduced the enzyme vector length and alleviated the microbial C limitation (Figure 5a) because (1) biochar is a carbon-rich substance (typically with both aromatic carbon and aliphatic carbon), and applying biochar is equivalent to the direct microbial provision of an additional C source [94], and (2) the surface of biochar formed a relatively stable complex of SOC, which, to a certain extent, protected the rapid decomposition of SOC and enabled it to continue to slowly release carbon sources [95]. In addition, the biochar promoted a microbial community composition that enabled the utilization of various types of C and other nutrients and increased the turnover rate of C [96]. Biochar can alleviate the C limitation of microorganisms in carbon-poor soils, such as sandy soils, especially in arid or barren conditions, by supplementing carbon sources [97].
Applying biochar alleviated the N limitation of LNLW because biochar has a porous structure that promotes soil porosity, which, in turn, increases soil aeration to increase nitrification and slow denitrification, thereby increasing the soil-available N (NO3−—N) [98,99]. MNMWB significantly increased AKP (+35%) but decreased BG (−21%) and LAP + NAG (−14%) (Figure 4) because biochar may adsorb some C and N sources. This can reduce the total biomass [80], leading to a reduction in the production of C− and N-related enzymes by microorganisms, but increased AKP because of their own growth and metabolism to better utilize the limited P resources in the soil [100]. Although MNMWB increased the soil TN and TP contents, the increase in AVP and TP was less than the increase in TN, leading to a soil nutrient imbalance and P limitation. MNMWB had higher AKP activity than LAP + NAG activity because microorganisms always assign enzymes to access the most limiting resource [101]. In contrast, HNHWB increased AVP to a greater extent than TN and alleviated the P limitation. According to the “minimalism law” proposed by Justus von Liebig, once microorganisms meet the requirements for one element, another element becomes limiting [102]. Thus, HNHWB alleviated the P limitation of HNHW while increasing the N limitation.
Soil microorganisms are generally considered to be C-limited [103]. The C source in biochar is decomposed by microorganisms and releases nutrients, providing the microorganisms with available nutrients and alleviating resource constraints [104].
The Mantel test showed that BR was significantly negatively correlated with CUE (Figure 7) because BR consumed SOC, increased C loss, and thereby decreased microbial CUE [105]. BR had a significant negative effect on the vector length (Figure 8). Microbial nutrient limitation can increase the activity of related enzymes to decompose SOC to obtain N and P [104] and increase NUE and PUE. Therefore, the biochar application positively affected NUE and PUE by increasing the microbial contribution to SOC storage (Figure 8c,d) [106].
Figure 8. Partial least squares path modeling (PLS-PM) analyzing the direct and indirect effects of biochar application on microbial C (vector length) and N, and P (vector angle) limitations (ad). The solid lines indicate significance (* p < 0.05; ** p < 0.01), and the dashed line shows non-significant differences among parameters.

4.3. The Effects of Biochar on Soil C, N, and P Cycling and Proposing the Best Field Management

The biochar application increased SOC and alleviated the microbial C limitation but reduced CUE (Figure 3a and Figure 8a). After the application of biochar, SOC contains a large amount of recalcitrant organic carbon [64], making it difficult for microorganisms to utilize it quickly, leading to a reduction in CUE [107]. In addition, Manzoni et al. [108] found that a high C:N also decreases CUE through N limitation (LNWLB and HNHWB). This reduction in CUE can be attributed to the fact that alleviating the C limitation resulted in increased respiration and allocation of more C to maintain microbial survival rather than conversion into MBC [108,109]. Applying biochar increased MBP (LNLWB and MNMWB) significantly, which increased the P demand and led to an elemental imbalance. This elemental imbalance in maintaining microbial survival and metabolism could be another reason for the decrease in the CUE [110]. Mooshammer et al. [111] indicated that when the enzymatic C:P ratio was low, it may trigger P limitation, prompting microorganisms to secrete phosphatase, increasing respiration, and further inhibiting CUE. The inherent carbon enrichment and adsorption of biochar increased the soil carbon, nitrogen, and phosphorus contents and nitrogen and phosphorus biomasses to promote NUE and PUE [112,113].
Although HNHWB had the highest SOC, TN, TP, and NUE, its CUE was significantly lower than that of LNLWB and MNMWB (Figure 3). Applying biochar increased the G+ content of HNHW significantly, and its metabolism was mostly in the mode of utilizing simple C, which led to a reduction in CUE (Figure 9b). Based on the comprehensive score chart, MNMWB had the highest score. Based on comprehensive considerations of the effects of MNMWB on microbial characteristics, the medium rate of N fertilizer is the best field management (Figure 10).
Figure 9. The principal component analysis (PCA) elucidates the distribution of the soil fertility quality principal component fraction (a) and the general scores of soils under different fertilization and irrigation treatments (b). A total of 20 fertility indexes, including pH, SOC, TN, TP, DOC, DON, AVP, BR, MBC, MBN, MBP, BG, and LAP and NAG, AKP, CUE, NUE, PUE, bacteria, fungi, and total PLFA were considered for principal component analyses. The shaded bars indicate the treatment of biochar application.
Figure 10. Effects of nitrogen application, irrigation, and biochar on soil properties and microbial resource constraints. The shaded bars indicate the treatment of biochar application. The dash lines indicate the impact on the soil under best management. Right panel: Percentage increase in soil chemical properties, enzyme activities, microbial properties, and microbial element use efficiency under different treatments. Left panel: Vector length and angle analysis illustrating microbial resource limitations (C, N, P). Bottom panel: Soil fertility quality scores and distribution of microbial resource limitations across treatments, highlighting optimal field management practices.

5. Conclusions

We explored the effects of a biochar application on soil conditions and microbial resource limitations after five years of fertilization and irrigation in saline-alkaline soils. Applying biochar significantly increased the soil SOC (+55% to +61%), TN (+8% to +16%), and TP (+5% to +27%) and decreased the MBC (−6% to −45%) compared to the soils without biochar (LNLW, MNMW, and HNHW). A biochar application to LNLWB decreased the total PLFA (−20%) compared to LNLW, but MNMWB and HNHWB increased the total PLFA by 4% and 10%, respectively, compared to MNMW and HNHW, respectively. This is because biochar mainly alleviates salt stress in MNMW and HNHW. The biochar application decreased microbial CUE (−6% to −7%) but increased microbial NUE (+28% to +86%) and PUE (+27% to +60%). In addition, applying biochar alleviated the microbial C limitation in all treatments and increased the P limitation of MNMWB and the N limitation of HNHWB because different fertilizations combined with applying biochar led to soil nutrient imbalances and microbial limitation. Applying biochar with appropriate N fertilization and irrigation (MNMWB) can alleviate the limitation of microbial resources and optimize them when using N fertilizers while improving soil fertility.

Author Contributions

J.L.: conceptualization, methodology, investigation, formal analysis, data curation, visualization, and writing—original draft preparation. Y.L.: writing—review and editing and conceptualization. L.X.: writing—review and editing, funding acquisition, and conceptualization. W.L.: writing—review and editing, software, and funding acquisition. S.Z.: writing-review and editing. K.Z.: writing—review and editing. X.Z.: writing—review and editing, project administration, funding acquisition, resources, conceptualization, and supervision. All authors have read and agreed to the published version of the manuscript.

Funding

This work was supported by the Xinjiang Tianchi Specially-Appointed Professor Project, the National Natural Science Foundation of China [grant numbers U24A20631, 32060433], the Startup Foundation of Shannxi University of Technology [grant number X20240141], and the Postgraduate Research and Practice Innovation Program of Jiangsu Province in 2024 [grant number KYCX24_1439].

Data Availability Statement

Data are contained within the article.

Conflicts of Interest

The authors declare no conflicts of interest.

References

  1. Wang, X.; Ding, J.; Han, L.; Tan, J.; Ge, X.; Nan, Q. Biochar addition reduces salinity in salt-affected soils with no impact on soil pH: A meta-analysis. Geoderma 2024, 443, 116845. [Google Scholar] [CrossRef]
  2. Haj-Amor, Z.; Araya, T.; Kim, D.-G.; Bouri, S.; Lee, J.; Ghiloufi, W.; Yang, Y.; Kang, H.; Jhariya, M.K.; Banerjee, A. Soil salinity and its associated effects on soil microorganisms, greenhouse gas emissions, crop yield, biodiversity and desertification: A review. Sci. Total Environ. 2022, 843, 156946. [Google Scholar] [CrossRef] [PubMed]
  3. Negacz, K.; Malek, Ž.; de Vos, A.; Vellinga, P. Saline soils worldwide: Identifying the most promising areas for saline agriculture. J. Arid Environ. 2022, 203, 104775. [Google Scholar] [CrossRef]
  4. Wicke, B.; Smeets, E.; Dornburg, V.; Vashev, B.; Gaiser, T.; Turkenburg, W.; Faaij, A. The global technical and economic potential of bioenergy from salt-affected soils. Energy Environ. Sci. 2011, 4, 2669–2681. [Google Scholar] [CrossRef]
  5. Li, S.; Zhao, L.; Wang, C.; Huang, H.; Zhuang, M. Synergistic improvement of carbon sequestration and crop yield by organic material addition in saline soil: A global meta-analysis. Sci. Total Environ. 2023, 891, 164530. [Google Scholar] [CrossRef]
  6. Li, W.; Huang, F.; Shi, F.; Wei, X.; Zamanian, K.; Zhao, X. Human and climatic drivers of land and water use from 1997 to 2019 in Tarim River basin, China. Int. Soil Water Conserv. Res. 2021, 9, 532–543. [Google Scholar] [CrossRef]
  7. Leininger, S.; Urich, T.; Schloter, M.; Schwark, L.; Qi, J.; Nicol, G.W.; Prosser, J.I.; Schuster, S.; Schleper, C. Archaea predominate among ammonia-oxidizing prokaryotes in soils. Nature 2006, 442, 806–809. [Google Scholar] [CrossRef]
  8. Kallenbach, C.M.; Frey, S.D.; Grandy, A.S. Direct evidence for microbial-derived soil organic matter formation and its ecophysiological controls. Nat. Commun. 2016, 7, 13630. [Google Scholar] [CrossRef] [PubMed]
  9. Kuzyakov, Y.; Xu, X. Competition between roots and microorganisms for nitrogen: Mechanisms and ecological relevance. New Phytol. 2013, 198, 656–669. [Google Scholar] [CrossRef] [PubMed]
  10. Hill, B.H.; Elonen, C.M.; Jicha, T.M.; Kolka, R.K.; Lehto, L.L.; Sebestyen, S.D.; Seifert-Monson, L.R. Ecoenzymatic stoichiometry and microbial processing of organic matter in northern bogs and fens reveals a common P-limitation between peatland types. Biogeochemistry 2014, 120, 203–224. [Google Scholar] [CrossRef]
  11. Sinsabaugh, R.L.; Follstad Shah, J.J. Ecoenzymatic stoichiometry and ecological theory. Annu. Rev. Ecol. Evol. Syst. 2012, 43, 313–343. [Google Scholar] [CrossRef]
  12. Fanin, N.; Moorhead, D.; Bertrand, I. Eco-enzymatic stoichiometry and enzymatic vectors reveal differential C, N, P dynamics in decaying litter along a land-use gradient. Biogeochemistry 2016, 129, 21–36. [Google Scholar] [CrossRef]
  13. Cao, X.; Shi, Z.; Chen, J.; Liu, S.; Zhang, M.; Chen, M.; Xu, G.; Wu, J.; Xing, H.; Li, F. Extracellular enzyme characteristics and microbial metabolic limitation in soil of subalpine forest ecosystems on the eastern Qinghai-Tibetan Plateau. Plant Soil 2022, 479, 337–353. [Google Scholar] [CrossRef]
  14. Schimel, J.P.; Weintraub, M.N. The implications of exoenzyme activity on microbial carbon and nitrogen limitation in soil: A theoretical model. Soil Biol. Biochem. 2003, 35, 549–563. [Google Scholar] [CrossRef]
  15. Cenini, V.L.; Fornara, D.A.; McMullan, G.; Ternan, N.; Carolan, R.; Crawley, M.J.; Clément, J.-C.; Lavorel, S. Linkages between extracellular enzyme activities and the carbon and nitrogen content of grassland soils. Soil Biol. Biochem. 2016, 96, 198–206. [Google Scholar] [CrossRef]
  16. Yang, Y.; Liang, C.; Wang, Y.; Cheng, H.; An, S.; Chang, S.X. Soil extracellular enzyme stoichiometry reflects the shift from P-to N-limitation of microorganisms with grassland restoration. Soil Biol. Biochem. 2020, 149, 107928. [Google Scholar] [CrossRef]
  17. Sinsabaugh, R.L.; Hill, B.H.; Follstad Shah, J.J. Ecoenzymatic stoichiometry of microbial organic nutrient acquisition in soil and sediment. Nature 2009, 462, 795–798. [Google Scholar] [CrossRef]
  18. Moorhead, D.L.; Sinsabaugh, R.L.; Hill, B.H.; Weintraub, M.N. Vector analysis of ecoenzyme activities reveal constraints on coupled C, N and P dynamics. Soil Biol. Biochem. 2016, 93, 1–7. [Google Scholar] [CrossRef]
  19. Geisseler, D.; Scow, K.M. Long-term effects of mineral fertilizers on soil microorganisms—A review. Soil Biol. Biochem. 2014, 75, 54–63. [Google Scholar] [CrossRef]
  20. Zhang, S.; Gao, P.; Tong, Y.; Norse, D.; Lu, Y.; Powlson, D. Overcoming nitrogen fertilizer over-use through technical and advisory approaches: A case study from Shaanxi Province, northwest China. Agric. Ecosyst. Environ. 2015, 209, 89–99. [Google Scholar] [CrossRef]
  21. Kang, A.; Zhang, N.; Xun, W.; Dong, X.; Xiao, M.; Liu, Z.; Xu, Z.; Feng, H.; Zou, J.; Shen, Q. Nitrogen fertilization modulates beneficial rhizosphere interactions through signaling effect of nitric oxide. Plant Physiol. 2022, 188, 1129–1140. [Google Scholar] [CrossRef]
  22. Kamran, M.; Yan, Z.; Ahmad, I.; Jia, Q.; Ghani, M.U.; Chen, X.; Chang, S.; Li, T.; Siddique, K.H.; Fahad, S. Assessment of greenhouse gases emissions, global warming potential and net ecosystem economic benefits from wheat field with reduced irrigation and nitrogen management in an arid region of China. Agric. Ecosyst. Environ. 2023, 341, 108197. [Google Scholar] [CrossRef]
  23. Galinato, S.P.; Yoder, J.K.; Granatstein, D. The economic value of biochar in crop production and carbon sequestration. Energy Policy 2011, 39, 6344–6350. [Google Scholar] [CrossRef]
  24. Godlewska, P.; Schmidt, H.P.; Ok, Y.S.; Oleszczuk, P. Biochar for composting improvement and contaminants reduction. A review. Bioresour. Technol. 2017, 246, 193–202. [Google Scholar] [CrossRef] [PubMed]
  25. Qian, S.; Zhou, X.; Fu, Y.; Song, B.; Yan, H.; Chen, Z.; Sun, Q.; Ye, H.; Qin, L.; Lai, C. Biochar-compost as a new option for soil improvement: Application in various problem soils. Sci. Total Environ. 2023, 870, 162024. [Google Scholar] [CrossRef] [PubMed]
  26. Zimmerman, A.R. Abiotic and microbial oxidation of laboratory-produced black carbon (biochar). Environ. Sci. Technol. 2010, 44, 1295–1301. [Google Scholar] [CrossRef] [PubMed]
  27. Jaafar, N.M.; Clode, P.L.; Abbott, L.K. Soil microbial responses to biochars varying in particle size, surface and pore properties. Pedosphere 2015, 25, 770–780. [Google Scholar] [CrossRef]
  28. Yang, C.; Liu, J.; Ying, H.; Lu, S. Soil pore structure changes induced by biochar affect microbial diversity and community structure in an Ultisol. Soil Tillage Res. 2022, 224, 105505. [Google Scholar] [CrossRef]
  29. Meynet, P.; Hale, S.E.; Davenport, R.J.; Cornelissen, G.; Breedveld, G.D.; Werner, D. Effect of activated carbon amendment on bacterial community structure and functions in a PAH impacted urban soil. Environ. Sci. Technol. 2012, 46, 5057–5066. [Google Scholar] [CrossRef] [PubMed]
  30. Moreno, J.L.; Bastida, F.; Díaz-López, M.; Li, Y.; Zhou, Y.; López-Mondéjar, R.; Benavente-Ferraces, I.; Rojas, R.; Rey, A.; García-Gil, J.C. Response of soil chemical properties, enzyme activities and microbial communities to biochar application and climate change in a Mediterranean agroecosystem. Geoderma 2022, 407, 115536. [Google Scholar] [CrossRef]
  31. Pokharel, P.; Chang, S.X. Biochar decreases and nitrification inhibitor increases phosphorus limitation for microbial growth in a wheat-canola rotation. Sci. Total Environ. 2023, 858, 159773. [Google Scholar] [CrossRef] [PubMed]
  32. Elzobair, K.A.; Stromberger, M.E.; Ippolito, J.A.; Lentz, R.D. Contrasting effects of biochar versus manure on soil microbial communities and enzyme activities in an Aridisol. Chemosphere 2016, 142, 145–152. [Google Scholar] [CrossRef]
  33. Xu, H.; Qu, Q.; Li, G.; Liu, G.; Geissen, V.; Ritsema, C.J.; Xue, S. Impact of nitrogen addition on plant-soil-enzyme C-N-P stoichiometry and microbial nutrient limitation. Soil Biol. Biochem. 2022, 170, 108714. [Google Scholar] [CrossRef]
  34. Wu, Z.; Han, X.; Chen, X.; Lu, X.; Yan, J.; Wang, W.; Zou, W.; Yan, L. Application of organic manure as a potential strategy to alleviate the limitation of microbial resources in soybean rhizospheric and bulk soils. J. Integr. Agric. 2024, 23, 2065–2082. [Google Scholar] [CrossRef]
  35. Zheng, L.; Chen, H.; Wang, Y.; Mao, Q.; Zheng, M.; Su, Y.; Xiao, K.; Wang, K.; Li, D. Responses of soil microbial resource limitation to multiple fertilization strategies. Soil Tillage Res. 2020, 196, 104474. [Google Scholar] [CrossRef]
  36. Liu, B.; Xia, H.; Jiang, C.; Riaz, M.; Yang, L.; Chen, Y.; Fan, X.; Xia, X. 14 year applications of chemical fertilizers and crop straw effects on soil labile organic carbon fractions, enzyme activities and microbial community in rice-wheat rotation of middle China. Sci. Total Environ. 2022, 841, 156608. [Google Scholar] [CrossRef] [PubMed]
  37. Chen, Z.; Jin, P.; Wang, H.; Hu, T.; Lin, X.; Xie, Z.t. Ecoenzymatic stoichiometry reveals stronger microbial carbon and nitrogen limitation in biochar amendment soils: A meta-analysis. Sci. Total Environ. 2022, 838, 156532. [Google Scholar] [CrossRef] [PubMed]
  38. Lu, Q.; Wu, P.; Li, J.; Zhang, H.; Wang, S.; Zhao, J.; Wang, H.; Zhang, H.; Wang, Y.; Li, C. The effect of nitrogen reduction and biochar application on soil enzyme activity, root vigor and yield of sugar beet rhizosphere under saline-alkali stress. Chin. J. Soils Fertil. Sci. 2022, 12, 46–52. [Google Scholar] [CrossRef]
  39. Zhao, Y.; Zhang, C. Effects of biochar application with reduced nitrogen fertilizer on physiological characteristics and root growth of peanut seedlings. Chin. J. Agric. Sci. 2023, 51, 100–106. [Google Scholar]
  40. Huang, F.; Li, Q.; Xue, L.; Han, J.; Zamanian, K.; Zhao, X. The succession of microbial communities after residue returning in a Solonchak. Plant Soil 2023, 492, 191–208. [Google Scholar] [CrossRef]
  41. Zhang, S.; Zamanian, K.; Raza, S.; Raheb, A.; Feng, Y.; Zhao, X. A balance among irrigation and fertilization regimes to reduce greenhouse gases emissions from saline and alkaline soils. Land Degrad. Dev. 2024, 35, 168–182. [Google Scholar] [CrossRef]
  42. Bao, S. Soil and Agricultural Chemistry Analysis, 3rd ed.; China Agricultural Press: Beijing, China, 2000. [Google Scholar]
  43. Jones, D.L.; Willett, V.B. Experimental evaluation of methods to quantify dissolved organic nitrogen (DON) and dissolved organic carbon (DOC) in soil. Soil Biol. Biochem. 2006, 38, 991–999. [Google Scholar] [CrossRef]
  44. Mukherjee, S.; Weihermueller, L.; Tappe, W.; Vereecken, H.; Burauel, P. Microbial respiration of biochar-and digestate-based mixtures. Biol. Fertil. Soils 2016, 52, 151–164. [Google Scholar] [CrossRef]
  45. Wang, Y.; Wang, Y. Quick measurement of CH4, CO2 and N2O emissions from a short-plant ecosystem. Adv. Atmos. Sci. 2003, 20, 842–844. [Google Scholar] [CrossRef]
  46. Vance, E.D.; Brookes, P.C.; Jenkinson, D.S. An extraction method for measuring soil microbial biomass C. Soil Biol. Biochem. 1987, 19, 703–707. [Google Scholar] [CrossRef]
  47. Tapia-Torres, Y.; Elser, J.J.; Souza, V.; García-Oliva, F. Ecoenzymatic stoichiometry at the extremes: How microbes cope in an ultra-oligotrophic desert soil. Soil Biol. Biochem. 2015, 87, 34–42. [Google Scholar] [CrossRef]
  48. Buyer, J.S.; Sasser, M. High throughput phospholipid fatty acid analysis of soils. Appl. Soil Ecol. 2012, 61, 127–130. [Google Scholar] [CrossRef]
  49. Hyvönen, R.; Persson, T.; Andersson, S.; Olsson, B.; Ågren, G.I.; Linder, S. Impact of long-term nitrogen addition on carbon stocks in trees and soils in northern Europe. Biogeochemistry 2008, 89, 121–137. [Google Scholar] [CrossRef]
  50. Mbuthia, L.W.; Acosta-Martínez, V.; DeBruyn, J.; Schaeffer, S.; Tyler, D.; Odoi, E.; Mpheshea, M.; Walker, F.; Eash, N. Long term tillage, cover crop, and fertilization effects on microbial community structure, activity: Implications for soil quality. Soil Biol. Biochem. 2015, 89, 24–34. [Google Scholar] [CrossRef]
  51. Sinsabaugh, R.L.; Manzoni, S.; Moorhead, D.L.; Richter, A. Carbon use efficiency of microbial communities: Stoichiometry, methodology and modelling. Ecol. Lett. 2013, 16, 930–939. [Google Scholar] [CrossRef] [PubMed]
  52. Heuck, C.; Smolka, G.; Whalen, E.D.; Frey, S.; Gundersen, P.; Moldan, F.; Fernandez, I.J.; Spohn, M. Effects of long-term nitrogen addition on phosphorus cycling in organic soil horizons of temperate forests. Biogeochemistry 2018, 141, 167–181. [Google Scholar] [CrossRef]
  53. Moorhead, D.L.; Rinkes, Z.L.; Sinsabaugh, R.L.; Weintraub, M.N. Dynamic relationships between microbial biomass, respiration, inorganic nutrients and enzyme activities: Informing enzyme-based decomposition models. Front. Microbiol. 2013, 4, 223. [Google Scholar] [CrossRef] [PubMed]
  54. Deng, L.; Peng, C.; Huang, C.; Wang, K.; Liu, Q.; Liu, Y.; Hai, X.; Shangguan, Z. Drivers of soil microbial metabolic limitation changes along a vegetation restoration gradient on the Loess Plateau, China. Geoderma 2019, 353, 188–200. [Google Scholar] [CrossRef]
  55. Chen, J.; Zhao, B.; Zhang, G.; Shen, L.; Wang, F.; Qin, S. Application of principal component analysis in evaluation of soil quality under different long-term fertilization. Chin. J. Soils 2010, 6, 415–420. [Google Scholar] [CrossRef]
  56. Lepš, J.; Šmilauer, P. Multivariate Analysis of Ecological Data Using CANOCO; Cambridge University Press: Cambridge, MA, USA, 2003. [Google Scholar]
  57. Zimmerman, A.R.; Gao, B.; Ahn, M.-Y. Positive and negative carbon mineralization priming effects among a variety of biochar-amended soils. Soil Biol. Biochem. 2011, 43, 1169–1179. [Google Scholar] [CrossRef]
  58. Tang, X.; Chen, J. Review of effect of biochar on soil physi-chemical and microbial properties. Chin. J. Ecol. Sci. 2018, 37, 192–199. [Google Scholar] [CrossRef]
  59. Foster, E.J.; Fogle, E.J.; Cotrufo, M.F. Sorption to biochar impacts β-glucosidase and phosphatase enzyme activities. Agriculture 2018, 8, 158. [Google Scholar] [CrossRef]
  60. Tang, J.; Zhang, S.; Zhang, X.; Chen, J.; He, X.; Zhang, Q. Effects of pyrolysis temperature on soil-plant-microbe responses to Solidago canadensis L.-derived biochar in coastal saline-alkali soil. Sci. Total Environ. 2020, 731, 138938. [Google Scholar] [CrossRef] [PubMed]
  61. Xu, G.; Zhang, Y.; Sun, J.; Shao, H. Negative interactive effects between biochar and phosphorus fertilization on phosphorus availability and plant yield in saline sodic soil. Sci. Total Environ. 2016, 568, 910–915. [Google Scholar] [CrossRef] [PubMed]
  62. Jeffery, S.; Verheijen, F.G.; van der Velde, M.; Bastos, A.C. A quantitative review of the effects of biochar application to soils on crop productivity using meta-analysis. Agric. Ecosyst. Environ. 2011, 144, 175–187. [Google Scholar] [CrossRef]
  63. Karimi, A.; Moezzi, A.; Chorom, M.; Enayatizamir, N. Application of biochar changed the status of nutrients and biological activity in a calcareous soil. J. Soil Sci. Plant Nutr. 2020, 20, 450–459. [Google Scholar] [CrossRef]
  64. Ding, Y.; Liu, Y.; Liu, S.; Li, Z.; Tan, X.; Huang, X.; Zeng, G.; Zhou, L.; Zheng, B. Biochar to improve soil fertility. A review. Agron. Sustain. Dev. 2016, 36, 36. [Google Scholar] [CrossRef]
  65. Smith, J.L.; Collins, H.P.; Bailey, V.L. The effect of young biochar on soil respiration. Soil Biol. Biochem. 2010, 42, 2345–2347. [Google Scholar] [CrossRef]
  66. Keith, A.; Singh, B.; Dijkstra, F.A. Biochar reduces the rhizosphere priming effect on soil organic carbon. Soil Biol. Biochem. 2015, 88, 372–379. [Google Scholar] [CrossRef]
  67. Hale, S.E.; Lehmann, J.; Rutherford, D.; Zimmerman, A.R.; Bachmann, R.T.; Shitumbanuma, V.; O’Toole, A.; Sundqvist, K.L.; Arp, H.P.H.; Cornelissen, G. Quantifying the total and bioavailable polycyclic aromatic hydrocarbons and dioxins in biochars. Environ. Sci. Technol. 2012, 46, 2830–2838. [Google Scholar] [CrossRef] [PubMed]
  68. Kuzyakov, Y.; Bogomolova, I.; Glaser, B. Biochar stability in soil: Decomposition during eight years and transformation as assessed by compound-specific 14C analysis. Soil Biol. Biochem. 2014, 70, 229–236. [Google Scholar] [CrossRef]
  69. Ventura, M.; Alberti, G.; Viger, M.; Jenkins, J.R.; Girardin, C.; Baronti, S.; Zaldei, A.; Taylor, G.; Rumpel, C.; Miglietta, F. Biochar mineralization and priming effect on SOM decomposition in two European short rotation coppices. GCB Bioenergy 2015, 7, 1150–1160. [Google Scholar] [CrossRef]
  70. Li, Q.; Song, Z.; Xia, S.; Guo, L.; Singh, B.P.; Shi, Y.; Wang, W.; Luo, Y.; Li, Y.; Chen, J. Substrate quality overrides soil salinity in mediating microbial respiration in coastal wetlands. Land Degrad. Dev. 2023, 34, 4546–4560. [Google Scholar] [CrossRef]
  71. Frankenberger Jr, W.T.; Bingham, F.T. Influence of salinity on soil enzyme activities. Soil Sci. Soc. Am. J. 1982, 46, 1173–1177. [Google Scholar] [CrossRef]
  72. Zhang, Q.; Dijkstra, F.A.; Liu, X.; Wang, Y.; Huang, J.; Lu, N. Effects of biochar on soil microbial biomass after four years of consecutive application in the north China plain. PLoS ONE 2014, 9, e102062. [Google Scholar] [CrossRef]
  73. Yan, S.; Niu, Z.; Zhang, A.; Yan, H.; Zhang, H.; He, K.; Xiao, X.; Wang, N.; Guan, C.; Liu, G. Biochar application on paddy and purple soils in southern China: Soil carbon and biotic activity. R. Soc. Open Sci. 2019, 6, 181499. [Google Scholar] [CrossRef]
  74. Song, D.; Chen, L.; Zhang, S.; Zheng, Q.; Ullah, S.; Zhou, W.; Wang, X. Combined biochar and nitrogen fertilizer change soil enzyme and microbial activities in a 2-year field trial. Eur. J. Soil Biol. 2020, 99, 103212. [Google Scholar] [CrossRef]
  75. Sun, J.; Li, H.; Wang, Y.; Du, Z.; Rengel, Z.; Zhang, A. Biochar and nitrogen fertilizer promote rice yield by altering soil enzyme activity and microbial community structure. GCB Bioenergy 2022, 14, 1266–1280. [Google Scholar] [CrossRef]
  76. Zhou, L.; Chu, J.; Zhang, Y.; Wang, Q.; Ye, Y.; Zhao, B. Effect of Biochar Application on the Improvement of Soil Properties and Buckwheat (Fagopyrum esculentum Moench) Yield on Two Contrasting Soil Types in a Semi-Arid Region of Inner Mongolia. Agronomy 2024, 14, 1137. [Google Scholar] [CrossRef]
  77. Zhu, L.; Xiao, Q.; Cheng, H.; Shi, B.; Shen, Y.; Li, S. Seasonal dynamics of soil microbial activity after biochar addition in a dryland maize field in North-Western China. Ecol. Eng. 2017, 104, 141–149. [Google Scholar] [CrossRef]
  78. Azeem, M.; Hayat, R.; Hussain, Q.; Tahir, M.I.; Imran, M.; Abbas, Z.; Sajid, M.; Latif, A.; Irfan, M. Effects of biochar and NPK on soil microbial biomass and enzyme activity during 2 years of application in the arid region. Arab. J. Geosci. 2019, 12, 1–13. [Google Scholar] [CrossRef]
  79. Wang, Q.; Geng, Z.; Xu, C.; Guo, J.; Li, Q.; Liu, L.; Zhao, H.; Du, X. Effects of biochar application on soil microbial nutrient limitations and carbon use efficiency in Lou soil. Chin. J. Environ. Sci. 2020, 41, 2425–2433. [Google Scholar] [CrossRef]
  80. Wang, S.; Gao, P.; Zhang, Q.; Shi, Y.; Guo, X.; Lv, Q.; Wu, W.; Zhang, X.; Li, M.; Meng, Q. Biochar improves soil quality and wheat yield in saline-alkali soils beyond organic fertilizer in a 3-year field trial. Environ. Sci. Pollut. Res. 2023, 30, 19097–19110. [Google Scholar] [CrossRef]
  81. de Melo Carvalho, M.T.; Maia, A.D.H.N.; Madari, B.E.; Bastiaans, L.; Van Oort, P.A.J.; Heinemann, A.B.; Soler da Silva, F.A.; Petter, F.A.; Meinke, H. Biochar increases plant available water in a sandy soil under an aerobic rice cropping system. Soil Earth 2014, 6, 887–917. [Google Scholar] [CrossRef]
  82. Hussain, R.; Ravi, K.; Garg, A.J.S.; Research, T. Influence of biochar on the soil water retention characteristics (SWRC): Potential application in geotechnical engineering structures. Soil Tillage Res. 2020, 204, 104713. [Google Scholar] [CrossRef]
  83. Palansooriya, K.N.; Wong, J.T.F.; Hashimoto, Y.; Huang, L.; Rinklebe, J.; Chang, S.X.; Bolan, N.; Wang, H.; Ok, Y.S. Response of microbial communities to biochar-amended soils: A critical review. Biochar 2019, 1, 3–22. [Google Scholar] [CrossRef]
  84. Li, Y.; Xie, L.; Li, S.; Zhang, D.; Ge, Z. Photosynthetic carbon allocation in native and invasive salt marshes undergoing hydrological change. Sci. Total Environ. 2024, 935, 173232. [Google Scholar] [CrossRef] [PubMed]
  85. Khadem, A.; Raiesi, F.; Besharati, H.; Khalaj, M.A. The effects of biochar on soil nutrients status, microbial activity and carbon sequestration potential in two calcareous soils. Biochar 2021, 3, 105–116. [Google Scholar] [CrossRef]
  86. Lu, W.; Liu, N.; Zhang, Y.; Zhou, J.; Guo, Y.; Yang, X. Impact of vegetation community on litter decomposition: Evidence from a reciprocal transplant study with 13C labeled plant litter. Soil Biol. Biochem. 2017, 112, 248–257. [Google Scholar] [CrossRef]
  87. Ma, X.; Zheng, X.; Zheng, C.; Hu, Y.; Qin, H.; Chen, J.; Xu, Q.; Liang, C. Effects of moso bamboo (Phyllostachys edulis) expansion on soil microbial community in evergreen broad-leaved forest. Chin. J. Appl. Ecol. 2022, 33, 1091. [Google Scholar] [CrossRef]
  88. Bhattacharyya, S.S.; Ros, G.H.; Furtak, K.; Iqbal, H.M.; Parra-Saldívar, R. Soil carbon sequestration–An interplay between soil microbial community and soil organic matter dynamics. Sci. Total Environ. 2022, 815, 152928. [Google Scholar] [CrossRef] [PubMed]
  89. Rousk, J.; Brookes, P.C.; Bååth, E. The microbial PLFA composition as affected by pH in an arable soil. Soil Biol. Biochem. 2010, 42, 516–520. [Google Scholar] [CrossRef]
  90. Frey, S.D.; Six, J.; Elliott, E. Reciprocal transfer of carbon and nitrogen by decomposer fungi at the soil–litter interface. Soil Biol. Biochem. 2003, 35, 1001–1004. [Google Scholar] [CrossRef]
  91. Baker, B.J.; Lazar, C.S.; Teske, A.P.; Dick, G.J. Genomic resolution of linkages in carbon, nitrogen, and sulfur cycling among widespread estuary sediment bacteria. Microbiome 2015, 3, 14. [Google Scholar] [CrossRef] [PubMed]
  92. Dees, P.M.; Ghiorse, W.C. Microbial diversity in hot synthetic compost as revealed by PCR-amplified rRNA sequences from cultivated isolates and extracted DNA. FEMS Microbiol. Ecol. 2001, 35, 207–216. [Google Scholar] [CrossRef]
  93. Purahong, W.; Kapturska, D.; Pecyna, M.J.; Jariyavidyanont, K.; Kaunzner, J.; Juncheed, K.; Uengwetwanit, T.; Rudloff, R.; Schulz, E.; Hofrichter, M.; et al. Effects of forest management practices in temperate beech forests on bacterial and fungal communities involved in leaf litter degradation. Microb. Ecol. 2015, 69, 905–913. [Google Scholar] [CrossRef] [PubMed]
  94. Fang, J.; Jin, L.; Meng, Q.; Wang, D.; Lin, D. Interactions of extracellular DNA with aromatized biochar and protection against degradation by DNase I. J. Environ. Sci. 2021, 101, 205–216. [Google Scholar] [CrossRef] [PubMed]
  95. Lehmann, J.; Joseph, S. Biochar for Environmental Management: Science, Technology and Implementation; Routledge: London, UK, 2015. [Google Scholar]
  96. Yan, C.; Yang, G.; Li, D.; Sun, Y.; Han, D.; Xu, X. Effect of biochar addition on soil respiration of oasis farmland in arid areas. Chin. J. Agrometeorol. 2018, 39, 575. [Google Scholar] [CrossRef]
  97. do Nascimento, Í.V.; Fregolente, L.G.; de Araújo Pereira, A.P.; do Nascimento, C.D.V.; Mota, J.C.A.; Ferreira, O.P.; de Freitas Sousa, H.H.; da Silva, D.G.G.; Simões, L.R.; Souza Filho, A. Biochar as a carbonaceous material to enhance soil quality in drylands ecosystems: A review. Environ. Res. 2023, 233, 116489. [Google Scholar] [CrossRef] [PubMed]
  98. Zheng, J.; Han, J.; Liu, Z.; Xia, W.; Zhang, X.; Li, L.; Liu, X.; Bian, R.; Cheng, K.; Zheng, J. Biochar compound fertilizer increases nitrogen productivity and economic benefits but decreases carbon emission of maize production. Agric. Ecosyst. Environ. 2017, 241, 70–78. [Google Scholar] [CrossRef]
  99. Zhang, S.; Xue, L.; Liu, J.; Xia, L.; Jia, P.; Feng, Y.; Hao, X.; Zhao, X. Biochar application reduced carbon footprint of maize production in the saline- alkali soils. Agric. Ecosyst. Environ. 2024, 368, 109001. [Google Scholar] [CrossRef]
  100. Xu, L.; Li, X.; Li, C.; Kou, Y.; Li, J.; Yao, M.; Zhang, B.; Wang, L.; Xu, H.; You, C. Disentangling the relative importance of precipitation, biocrust succession, and shrub cover in mediating soil phoD-harbouring communities and organic phosphorus mineralisation. Soil Biol. Biochem. 2023, 186, 109165. [Google Scholar] [CrossRef]
  101. Bloom, A.J.; Chapin, F.S.; Mooney, H.A. Resource limitation in plants—An economic analogy. Annu. Rev. Ecol. Syst. 1985, 16, 363–392. [Google Scholar] [CrossRef]
  102. Aber, J.D.; Melillo, J.M.; Nadelhoffer, K.J.; Pastor, J.; Boone, R.D. Factors controlling nitrogen cycling and nitrogen saturation in northern temperate forest ecosystems. Ecol. Appl. 1991, 1, 303–315. [Google Scholar] [CrossRef] [PubMed]
  103. Hobbie, J.E.; Hobbie, E.A. Microbes in nature are limited by carbon and energy: The starving-survival lifestyle in soil and consequences for estimating microbial rates. Front. Microbiol. 2013, 4, 324. [Google Scholar] [CrossRef]
  104. Zeng, Q.; Zhang, Q.; Lin, K.; Zhou, J.; Yuan, X.; Mei, K.; Wu, Y.; Cui, J.; Xu, J.; Chen, Y. Enzyme stoichiometry evidence revealed that five years nitrogen addition exacerbated the carbon and phosphorus limitation of soil microorganisms in a Phyllostachys pubescens forest. Chin. J. Appl. Ecol. 2021, 32, 521–528. [Google Scholar] [CrossRef]
  105. Li, R.; Chang, R. Effects of external nitrogen additions on soil organic carbon dynamics and the mechanism. Chin. J. Plant Ecol. 2015, 39, 1012. [Google Scholar] [CrossRef]
  106. Gul, S.; Whalen, J.K. Biochemical cycling of nitrogen and phosphorus in biochar-amended soils. Soil Biol. Biochem. 2016, 103, 1–15. [Google Scholar] [CrossRef]
  107. Cotrufo, M.F.; Wallenstein, M.D.; Boot, C.M.; Denef, K.; Paul, E. The M icrobial E fficiency-M atrix S tabilization (MEMS) framework integrates plant litter decomposition with soil organic matter stabilization: Do labile plant inputs form stable soil organic matter? Glob. Change Biol. 2013, 19, 988–995. [Google Scholar] [CrossRef] [PubMed]
  108. Manzoni, S.; Taylor, P.; Richter, A.; Porporato, A.; Ågren, G.I. Environmental and stoichiometric controls on microbial carbon-use efficiency in soils. New Phytol. 2012, 196, 79–91. [Google Scholar] [CrossRef]
  109. Spohn, M.; Chodak, M. Microbial respiration per unit biomass increases with carbon-to-nutrient ratios in forest soils. Soil Biol. Biochem. 2015, 81, 128–133. [Google Scholar] [CrossRef]
  110. Liao, J.; Dou, Y.; Wang, B.; Gunina, A.; Yang, Y.; An, S.; Chang, S.X. Soil stoichiometric imbalances constrain microbial-driven C and N dynamics in grassland. Sci. Total Environ. 2024, 924, 171655. [Google Scholar] [CrossRef]
  111. Mooshammer, M.; Wanek, W.; Zechmeister-Boltenstern, S.; Richter, A. Stoichiometric imbalances between terrestrial decomposer communities and their resources: Mechanisms and implications of microbial adaptations to their resources. Front. Microbiol. 2014, 5, 22. [Google Scholar] [CrossRef]
  112. Gou, Z.; Zheng, H.; He, Z.; Su, Y.; Chen, S.; Chen, H.; Chen, G.; Ma, N.L.; Sun, Y. The combined action of biochar and nitrogen-fixing bacteria on microbial and enzymatic activities of soil N cycling. Environ. Pollut. 2023, 317, 120790. [Google Scholar] [CrossRef] [PubMed]
  113. Arif, M.; Ilyas, M.; Riaz, M.; Ali, K.; Shah, K.; Haq, I.U.; Fahad, S. Biochar improves phosphorus use efficiency of organic-inorganic fertilizers, maize-wheat productivity and soil quality in a low fertility alkaline soil. Field Crops Res. 2017, 214, 25–37. [Google Scholar] [CrossRef]
Disclaimer/Publisher’s Note: The statements, opinions and data contained in all publications are solely those of the individual author(s) and contributor(s) and not of MDPI and/or the editor(s). MDPI and/or the editor(s) disclaim responsibility for any injury to people or property resulting from any ideas, methods, instructions or products referred to in the content.

Article Metrics

Citations

Article Access Statistics

Multiple requests from the same IP address are counted as one view.