Maintaining High Yield and Improving Quality of Non-Heading Chinese Cabbage Through Nitrogen Reduction in Different Seasons
Abstract
1. Introduction
2. Materials and Methods
2.1. Experimental Materials
2.2. Experimental Design
2.3. Determination of Growth Index and Yield
2.4. Determination of Physiological Indexes
2.5. Statistical Analysis
3. Results
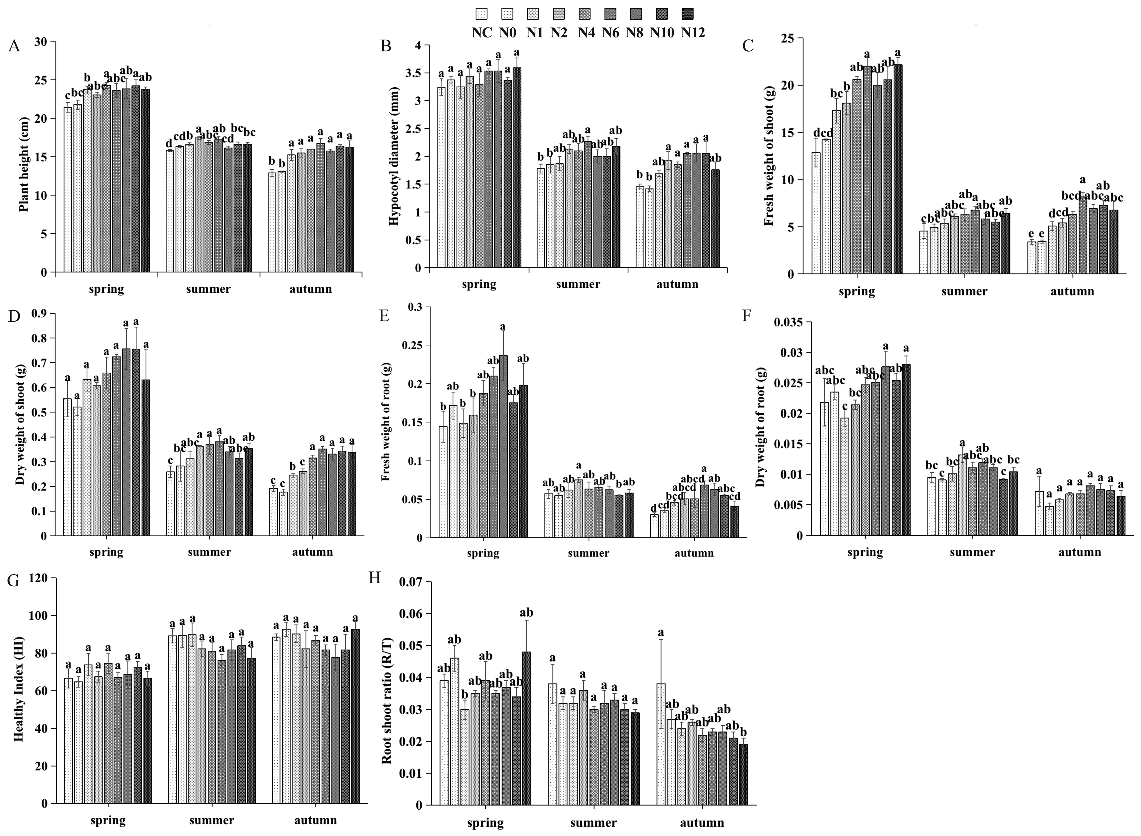
3.1. Effect and Correlation Analysis of Single N Fertilizer Reduction on Growth Indexes of Non-Heading Chinese Cabbage Cultivated
3.2. Effect and Correlation Analysis of Single N Fertilizer Reduction on Photosynthetic Pigment Content of Non-Heading Chinese Cabbage
3.3. Effect and Correlation Analysis of Single N Fertilizer Reduction on Yield of Non-Heading Chinese Cabbage
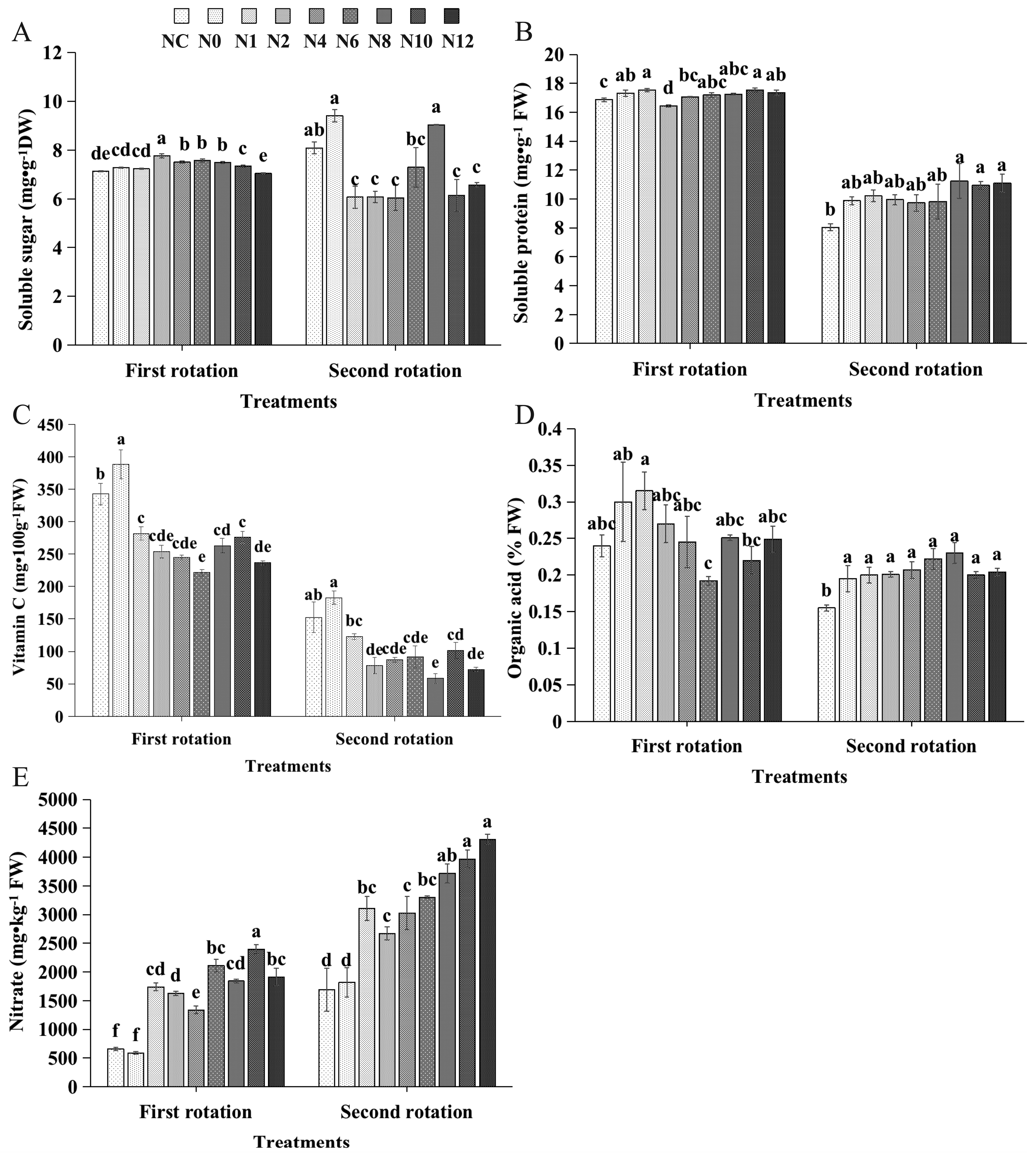
3.4. Effect and Correlation Analysis of Single N Fertilizer Reduction on the Quality of Non-Heading Chinese Cabbage
3.5. Establishment of Yield–N Fertilizer Regression Model for Non-Heading Chinese Cabbage
3.6. Effects of Two Consecutive N Fertilizer Reductions on the Growth Indexes of Non-Heading Chinese Cabbage
3.7. Effects of Two Consecutive N Fertilizer Reductions on Photosynthetic Pigment Content of Non-Heading Chinese Cabbage
3.8. Effects of Continuous N Fertilizer Reduction on Yield and Quality of Non-Heading Chinese Cabbage
4. Discussion
5. Conclusions
Supplementary Materials
Author Contributions
Funding
Data Availability Statement
Conflicts of Interest
References
- Khan, K.; Ali, B.; Stoffella, P.J.; Cui, X.; Yang, X.; Guo, Y. Study amino acid contents, plant growth variables and cell ultrastructural changes induced by cadmium stress between two contrasting cadmium accumulating cultivars of Brassica rapa ssp. chinensis L. (pak choi). Ecotoxicol. Environ. Saf. 2020, 200, 110748. [Google Scholar] [CrossRef] [PubMed]
- Blom-Zandstra, M. Nitrate accumulation in vegetables and its relationship to quality. Ann. Appl. Biol. 1989, 115, 553–561. [Google Scholar] [CrossRef]
- Wei, Z.; Gao, Y.; Ji, B.; Rothman, N.; Yang, G.; Aschebrook-Kilfoy, B.; Shu, X.; Li, H.; Chow, W. Thyroid cancer risk and dietary nitrate and nitrite intake in the Shanghai women’s health study. Int. J. Cancer 2013, 132, 897–904. [Google Scholar]
- Luetic, S.; Knezovic, Z.; Jurcic, K.; Majic, Z.; Tripkovic, K.; Sutlovic, D. Leafy Vegetable Nitrite and Nitrate Content: Potential Health Effects. Foods 2023, 12, 1655. [Google Scholar] [CrossRef]
- Gai, X.; Liu, H.; Zhai, L.; Tan, G.; Wang, H. Vegetable yields and soil biochemical properties as influenced by fertilization in Southern China. Appl. Soil Ecol. 2016, 107, 170–181. [Google Scholar] [CrossRef]
- Bronick, C.J.; Mokma, D.L. Podzolization in a Sand Pit in Northern Michigan. Soil Sci. Soc. Am. J. 2005, 69, 1757–1760. [Google Scholar] [CrossRef]
- Kaiser, M.; Ellerbrock, R.H. Functional characterization of soil organic matter fractions different in solubility originating from a long-term field experiment. Geoderma 2005, 127, 196–206. [Google Scholar] [CrossRef]
- Fischer, G.; Winiwarter, W.; Ermolieva, T.; Cao, G.Y.; Qui, H.; Klimont, Z.; Wiberg, D.; Wagner, F. Integrated modeling framework for assessment and mitigation of nitrogen pollution from agriculture: Concept and case study for China. Agric. Ecosyst. Environ. 2010, 136, 116–124. [Google Scholar] [CrossRef]
- Fertiliser Application in China, 2010–2019. Available online: https://data.stats.gov.cn/ (accessed on 25 October 2020).
- Stefanelli, D.; Goodwin, I.; Jones, R. Minimal nitrogen and water use in horticulture: Effects on quality and content of selected nutrients. Food Res. Int. 2010, 43, 1833–1843. [Google Scholar] [CrossRef]
- Guo, J.H.; Liu, X.J.; Zhang, Y.; Shen, J.L.; Han, W.X.; Zhang, W.F.; Christie, P.; Goulding, K.W.; Vitousek, P.M.; Zhang, F.S. Significant acidification in major Chinese croplands. Science 2010, 327, 1008–1010. [Google Scholar] [CrossRef] [PubMed]
- Lin, Y.; Ye, G.; Kuzyakov, Y.; Liu, D.; Fan, J.; Ding, W. Long-term manure application increases soil organic matter and aggregation, and alters microbial community structure and keystone taxa. Soil Biol. Biochem. 2019, 134, 187–196. [Google Scholar] [CrossRef]
- Albornoz, F. Crop responses to nitrogen overfertilization: A review. Sci. Hortic. 2016, 205, 79–83. [Google Scholar] [CrossRef]
- Lawlor, D.W. Ecophysiology and Agronomy. Carbon and nitrogen assimilation in relation to yield: Mechanisms are the key to understanding production systems. J. Exp. Bot. 2002, 53, 773–787. [Google Scholar] [CrossRef] [PubMed]
- Qi, Y.; Jiang, F.; Zhou, R.; Wu, Y.; Hou, X.; Li, J.; Lin, W.; Wu, Z. Effects of Reduced Nitrogen with Bio-Organic Fertilizer on Soil Properties, Yield and Quality of Non-Heading Chinese Cabbage. Agronomy 2021, 11, 2196. [Google Scholar] [CrossRef]
- Qi, Y.; Wu, Z.; Zhou, R.; Hou, X.; Yu, L.; Cao, Y.; Jiang, F. Nitrogen Reduction with Bio-Organic Fertilizer Altered Soil Microorganisms, Improved Yield and Quality of Non-Heading Chinese Cabbage (Brassica campestris ssp. chinensis Makino). Agronomy 2022, 12, 1437. [Google Scholar] [CrossRef]
- Chen, D.; Wang, C.; Ma, X.; Chen, K.; Wang, Z.; Wang, Q.; Zhang, J.; Zhou, Q.; Shen, W. Dynamic changes in soil fungal communities and functional groups in response to sugarcane/soybean intercropping with reduced nitrogen fertilizer application. Biol. Fertil. Soils 2023, 59, 363–378. [Google Scholar] [CrossRef]
- Huang, L.; Cheng, S.; Liu, H.; Zhao, Z.; Wei, S.; Sun, S. Effects of nitrogen reduction combined with organic fertilizer on growth and nitrogen fate in banana at seedling stage. Environ. Res. 2022, 214 Pt 1, 113826. [Google Scholar] [CrossRef]
- Zotarelli, L.; Zatorre, N.P.; Boddey, R.M.; Urquiaga, S.; Jantalia, C.P.; Franchini, J.C.; Alves, B.J.R. Influence of no-tillage and frequency of a green manure legume in crop rotations for balancing N outputs and preserving soil organic C stocks. Field Crops Res. 2012, 132, 185–195. [Google Scholar] [CrossRef]
- Ji, Y.; Liu, G.; Ma, J.; Zhang, G.; Xu, H. Effect of controlled-release fertilizer on mitigation of N2O emission from paddy field in South China: A multi-year field observation. Plant Soil 2013, 371, 473–486. [Google Scholar] [CrossRef]
- Cameron, D.D.; Preiss, K.; Gebauer, G.; Read, D.J. The chlorophyll-containing orchid Corallorhiza trifida derives little carbon through photosynthesis. New Phytol. 2009, 183, 358–364. [Google Scholar] [CrossRef]
- Li, H.S. Principles and Techniques of Plant Physiology and Biochemistry Experiments, 119–120; Higher Education Press: Beijing, China, 2000; pp. 123–124, 134–137, 184–185. [Google Scholar]
- Zhang, H.; Liu, H.; Yang, R.; Xu, X.; Liu, X.; Xu, J. Over-expression of PttEXPA8 gene showed various resistances to diverse stresses. Int. J. Biol. Macromol. 2019, 130, 50–57. [Google Scholar] [CrossRef] [PubMed]
- Riga, P.; Benedicto, L.; Gil-Izquierdo, Á.; Collado-González, J.; Ferreres, F.; Medina, S. Diffuse light affects the contents of vitamin C, phenolic compounds and free amino acids in lettuce plants. Food Chem. 2019, 272, 227–234. [Google Scholar] [CrossRef] [PubMed]
- Soiklom, S.; Petchpoung, K.; Siri-Anusornsak, W. Comparison of sample pretreatment and analytical method for nitrate determination in vegetables. Trends Sci. 2021, 18, 19. [Google Scholar] [CrossRef]
- Fan, M.; Shen, J.; Yuan, L.; Jiang, R.; Chen, X.; Davies, W.J.; Zhang, F. Improving crop productivity and resource use efficiency to ensure food security and environmental quality in China. J. Exp. Bot. 2012, 63, 13–24. [Google Scholar] [CrossRef]
- Chen, J.; Arafat, Y.; Ud Din, I.; Yang, B.; Zhou, L.; Wang, J.; Letuma, P.; Wu, H.; Qin, X.; Wu, L.; et al. Nitrogen fertilizer amendment alter the bacterial community structure in the rhizosphere of rice (Oryza sativa L.) and improve crop yield. Front. Microbiol. 2019, 10, 2623. [Google Scholar] [CrossRef]
- Mccall, D.; Willumsen, J. Effects of nitrogen availability and supplementary light on the nitrate content of soil-grown lettuce. J. Hortic. Sci. Biotechnol. 1999, 74, 458–463. [Google Scholar] [CrossRef]
- Yuan, M.; Sun, Y.; Wu, G.; Wang, J.; Liu, C.; Tang, T.; Zhang, X.; Wang, W.; Jing, Y. The optimum economic nitrogen rate of blended controlled-release nitrogen fertilizer for rice in the Chanoyu watershed in the Yangtze River Delta, China. Front. Plant Sci. 2023, 14, 1144461. [Google Scholar] [CrossRef] [PubMed]
- Jiang, L.; Jin, G.; Zhang, G.; Zhang, C. Tuber yield and french fry processing quality eesponse of potatoes to nitrogen rate. Potato Res. 2022, 65, 255–271. [Google Scholar] [CrossRef]
- Yu, J.; Li, P.; Tu, S.; Feng, N.; Chang, L.; Niu, Q. Identification of Heat-Resistant Varieties of Non-Headed Chinese Cabbage and Discovery of Heat-Resistant Physiological Mechanisms. Horticulturae 2023, 9, 619. [Google Scholar] [CrossRef]
- Xu, H.; Chen, L.; Song, B.; Xu, H.; Chen, L.; Song, B.; Fan, X.; Yuan, X.; Chen, J. De novo transcriptome sequencing of pakchoi (Brassica rapa L. chinensis) reveals the key genes related to the response of heat stress. Acta Physiol. Plant 2016, 38, 252. [Google Scholar] [CrossRef]
- Dong, C.; Peng, X.; Yang, X.; Wang, C.; Yuan, L.; Chen, G.; Tang, X.; Wang, W.; Wu, J.; Zhu, S.; et al. Physiological and Transcriptomic Responses of Bok Choy to Heat Stress. Plants 2024, 13, 1093. [Google Scholar] [CrossRef]
- Wang, Y.; Wu, J.; Nie, M.; Huang, L.; Sun, P.; Zhan, J.; Wu, J.; Liu, S.; Yuan, C.; Hu, L.; et al. Insights into the physiological metabolism and gene regulation of Pak Choi under high temperature stress through metabolic profiling and transcriptome analyses of nano-selenium effects. Sci. Hortic. 2025, 341, 113971. [Google Scholar] [CrossRef]
- Qiao, J.; Yang, L.; Yan, T.; Xue, F.; Zhao, D. Nitrogen fertilizer reduction in rice production for two consecutive years in the Taihu Lake area. Agric. Ecosyst. Environ. Int. J. Sci. Res. Relatsh. Agric. Food Prod. Biosph. 2012, 146, 103–112. [Google Scholar] [CrossRef]
- Lambert, D.K. RISK Considerations in the reduction of nitrogen fertilizer use in agricultural production. West. J. Agric. Econ. 1990, 15, 234–244. [Google Scholar]
- Li, Q.; Denison, J.; Gluck, M.; Liu, G. Comparison of SPAD-based leaf greenness and paralleled petiole sap nitrate concentrations for monitoring potato vine nitrogen status. Veg. Res. 2023, 3, 30. [Google Scholar] [CrossRef]
- Zhong, Y.; Wang, X.; Yang, J.; Zhao, X.; Ye, X. Exploring a suitable nitrogen fertilizer rate to reduce greenhouse gas emissions and ensure rice yields in paddy fields. Sci. Total Environ. 2016, 565, 420–426. [Google Scholar] [CrossRef] [PubMed]
- Fang, X.; Xiang, Z.; Ma, H.; Wang, F.; Wang, Q.; Li, P.; Zheng, S. Effect of N Fertilizer Dosage and Base/Topdressing Ratio on Potato Growth Characteristics and Yield. Agronomy 2023, 13, 909. [Google Scholar] [CrossRef]
- Xing, Y.; Mi, F.; Wang, X. Effects of different nitrogen fertilizer types and application rates on maize yield and nitrogen use efficiency in Loess Plateau of China. J. Soils Sediments 2022, 22, 1938–1958. [Google Scholar] [CrossRef]
- Fu, Y.; Huang, N.; Zhong, X.; Mai, G.; Pan, H.; Xu, H.; Liu, Y.; Liang, K.; Pan, J.; Xiao, J.; et al. Improving grain yield and nitrogen use efficiency of direct-seeded rice with simplified and nitrogen-reduced practices under a double-cropping system in South China. J. Sci. Food Agric. 2023, 103, 5727–5737. [Google Scholar] [CrossRef]
- Gratwick, M. Flea Beetles; Springer: Dordrecht, The Netherlands, 1992; pp. 173–175. [Google Scholar]
- Qiang, Z.; Shi, F. Pest disease detection of Brassica chinensis in wide scenes via machine vision: Method and deployment. J. Plant Dis. Prot. 2022, 129, 533–544. [Google Scholar] [CrossRef]
- Qiao, J.; Wang, J.; Zhao, D.; Zhu, N.; Tang, J.; Zhou, W.; Schwenke, G.; Yan, T.M.; Yang, L.Z. Effect of continuous N fertilizer reduction on N losses and wheat yield in the Taihu Lake region, China. J. Clean. Prod. 2022, 364, 132475. [Google Scholar] [CrossRef]
- Yan, X.; Ti, C.; Vitousek, P.; Chen, D.; Leip, A.; Cai, Z.; Zhu, Z. Fertilizer nitrogen recovery efficiencies in crop production systems of China with and without consideration of the residual effect of nitrogen. Environ. Res. Lett. 2014, 9, 095002. [Google Scholar] [CrossRef]
- Ahmed, M.; Rauf, M.; Mukhtar, Z.; Saeed, N.A. Excessive use of nitrogenous fertilizers: An unawareness causing serious threats to environment and human health. Environ. Sci. Pollut. Res. 2017, 24, 26983–26987. [Google Scholar] [CrossRef]
- Olen, S.M. Nitrogen solutions for food security amid fertilizer shortages and climate change. Nat. Sustain. 2023, 6, 1155–1156. [Google Scholar]
- Li, R.; Wu, X.; Zhang, Y.; Wang, L.; Chen, L.; Zhai, F. Effects of Reduced Application of Nitrogen and Irrigation on Soil Nitrate Nitrogen Content and Nitrogen Balance in Greenhouse Production. Sci. Agric. Sin. 2016, 49, 695–704. [Google Scholar]
- Chen, G.; Wang, L.; Fabrice, M.R.; Tian, Y.; Qi, K.; Chen, Q.; Cao, P.; Wang, P.; Zhang, S.; Wu, J.; et al. Physiological and Nutritional Responses of Pear Seedlings to Nitrate Concentrations. Front. Plant Sci. 2018, 9, 1679. [Google Scholar] [CrossRef] [PubMed]
- Mu, X.; Chen, Q.; Chen, F.; Yuan, L.; Mi, G. A RNA-Seq Analysis of the response of photosynthetic system to low nitrogen supply in maize leaf. Int. J. Mol. Sci. 2017, 18, 2624. [Google Scholar] [CrossRef] [PubMed]
- Mauromicale, G.; Ierna, A.; Marchese, M. Chlorophyll fluorescence and chlorophyll content in field-grown potato as affected by nitrogen supply, genotype, and plant age. Photosynthetica 2006, 44, 76–82. [Google Scholar] [CrossRef]
- Zhou, H.; Kang, S.; Génard, M.; Vercambre, G.; Chen, J. Integrated model simulates bigger, sweeter tomatoes under changing climate under reduced nitrogen and water input. Hortic. Res. 2023, 10, uhad045. [Google Scholar] [CrossRef] [PubMed]
- Pietro, S. Nitrate in vegetables: Toxicity, content, intake and EC regulation. J. Sci. Food Agric. 2006, 86, 10–17. [Google Scholar]
- Colla, G.; Kim, H.J.; Kyriacou, M.C.; Rouphael, Y. Nitrate in fruits and vegetables. Sci. Hortic. 2018, 237, 221–238. [Google Scholar] [CrossRef]
- Santamaria, P.; Elia, A.; Parente, A.; Serio, F. Fertilization strategies for lowering nitrate content in leafy vegetables: Chicory and rocket salad cases. J. Plant Nutr. 1998, 21, 1791–1803. [Google Scholar] [CrossRef]
- Addiscott, T.M.; Benjamin, N. Nitrate and human health. Soil Use Manag. 2004, 20, 98–104. [Google Scholar] [CrossRef]
- Velzen, A.G.V.; Sips, A.J.; Schothorst, R.C.; Lambers, A.C.; Meulenbelt, J. The oral bioavailability of nitrate from nitrate-rich vegetables in humans. Toxicol. Lett. 2008, 181, 177–181. [Google Scholar] [CrossRef] [PubMed]
- Han, K.; Yin, F.; Liu, P. Planting density and N application rate balance maize agronomic and environmental effect. Nutr. Cycl. Agroecosystems 2020, 117, 337–349. [Google Scholar] [CrossRef]
- Zhang, Q.; Xu, F.; Wang, R.F.; Shu, L.Z.; Zhang, D.Y. Effects of nitrogen forms on the growth, yield and fruit quality of tomato under controlled alternate partial root zone irrigation. Ying Yong Sheng Tai Xue Bao 2014, 25, 3547–3555. [Google Scholar]
- Joshi, N.; Gothalwal, R.; Singh, M.; Dave, K. Novel sulphur-oxidizing bacteria consummate sulphur deficiency in oil seed crop. Arch. Microbiol. 2021, 203, 1–6. [Google Scholar] [CrossRef] [PubMed]









| Treatment Group | Nitrogen Fertilizer Application (kg/6.67 × 10−2 ha) | Nitrogen Reduction (%) | Phosphorus Fertilizer Application (kg/6.67 × 10−2 ha) | Potash Fertilizer Application (kg/6.67 × 10−2 ha) |
|---|---|---|---|---|
| NC | 0 | 100.0 | 0 | 0 |
| N0 | 0 | 100.0 | 3 | 3 |
| N1 | 1 | 91.7 | 3 | 3 |
| N2 | 2 | 83.3 | 3 | 3 |
| N4 | 4 | 66.7 | 3 | 3 |
| N6 | 6 | 50.0 | 3 | 3 |
| N8 | 8 | 33.3 | 3 | 3 |
| N10 | 10 | 16.7 | 3 | 3 |
| N12 (CK) | 12 | 0.0 | 3 | 3 |
Disclaimer/Publisher’s Note: The statements, opinions and data contained in all publications are solely those of the individual author(s) and contributor(s) and not of MDPI and/or the editor(s). MDPI and/or the editor(s) disclaim responsibility for any injury to people or property resulting from any ideas, methods, instructions or products referred to in the content. |
© 2025 by the authors. Licensee MDPI, Basel, Switzerland. This article is an open access article distributed under the terms and conditions of the Creative Commons Attribution (CC BY) license (https://creativecommons.org/licenses/by/4.0/).
Share and Cite
Liu, X.; Wang, Y.; Qian, X.; Wu, Z.; Zhou, R.; Hou, X.; Qi, Y.; Jiang, F. Maintaining High Yield and Improving Quality of Non-Heading Chinese Cabbage Through Nitrogen Reduction in Different Seasons. Agronomy 2025, 15, 571. https://doi.org/10.3390/agronomy15030571
Liu X, Wang Y, Qian X, Wu Z, Zhou R, Hou X, Qi Y, Jiang F. Maintaining High Yield and Improving Quality of Non-Heading Chinese Cabbage Through Nitrogen Reduction in Different Seasons. Agronomy. 2025; 15(3):571. https://doi.org/10.3390/agronomy15030571
Chicago/Turabian StyleLiu, Xingchen, Yachen Wang, Xiaojun Qian, Zhen Wu, Rong Zhou, Xilin Hou, Yingbin Qi, and Fangling Jiang. 2025. "Maintaining High Yield and Improving Quality of Non-Heading Chinese Cabbage Through Nitrogen Reduction in Different Seasons" Agronomy 15, no. 3: 571. https://doi.org/10.3390/agronomy15030571
APA StyleLiu, X., Wang, Y., Qian, X., Wu, Z., Zhou, R., Hou, X., Qi, Y., & Jiang, F. (2025). Maintaining High Yield and Improving Quality of Non-Heading Chinese Cabbage Through Nitrogen Reduction in Different Seasons. Agronomy, 15(3), 571. https://doi.org/10.3390/agronomy15030571

