Next Article in Journal
Crop–Mushroom Rotation: A Comprehensive Review of Its Multifaceted Impacts on Soil Quality, Agricultural Sustainability, and Ecosystem Health
Previous Article in Journal
Transcriptomic Responses to Rapid Cold Hardening in Tomato Leafminer Adults: Implications for Tomato Leafminer Management
 
 
Font Type:
Arial Georgia Verdana
Font Size:
Aa Aa Aa
Line Spacing:
Column Width:
Background:
Brief Report

Hive Insulation Increases Foraging Activities of Bumble Bees (Bombus impatiens) in a Wild Blueberry Field in Quebec, Canada

by
Maxime C. Paré
1,*,
Nasimeh Mortazavi
1,
Jean-Denis Brassard
2,
Thierry Chouffot
3,
Julie Douillard
1 and
G. Christopher Cutler
4
1
Laboratoire sur les Écosystèmes Terrestres Boréaux (EcoTer), Département des Sciences Fondamentales, Université du Québec à Chicoutimi, 555 Boulevard de l’Université, Chicoutimi, QC G7H 2B1, Canada
2
Anti-Icing Materials International Laboratory, Département des Sciences Appliquées, Université du Québec à Chicoutimi, 555 Boulevard de l’Université, Chicoutimi, QC G7H 2B1, Canada
3
Koppert Canada Limited, 40 Ironside Crescent Unit 3, Scarborough, ON M1X 1G4, Canada
4
Department of Plant, Food, and Environmental Sciences, Faculty of Agriculture, Dalhousie University, P.O. Box 550, Truro, NS B2N 5E3, Canada
*
Author to whom correspondence should be addressed.
Agronomy 2025, 15(3), 562; https://doi.org/10.3390/agronomy15030562
Submission received: 16 January 2025 / Revised: 19 February 2025 / Accepted: 21 February 2025 / Published: 25 February 2025
(This article belongs to the Section Horticultural and Floricultural Crops)

Abstract

Common eastern bumble bees (Bombus impatiens Cresson) play an essential role in pollinating lowbush blueberries (LB) in northern Quebec, but their costs and the suboptimal weather conditions during pollination highlight the need to find appropriate hive management strategies. A study was conducted in a LB field in Saguenay (Québec, Canada) focusing on the effects of hive insulation (I+ and I−), heating (H+ and H−), and placement in a single-row tree line windbreak. High-definition time-lapse cameras monitored hive activities and bumble bee foraging behaviors. We found that the conventional management of placing hives in full sun without insulation (I−) resulted in the lowest levels of bumble bee foraging activity and overall hive traffic. Placing bumble bee hives against a windbreak resulted in the highest numbers of bees entering hives with pollen (+156%), leaving hives (+69%), and overall hive traffic (+76%). Insulating hives with extruded polystyrene foam gave intermediate results, with a 105% increase in foraging activity compared to the conventional management method (I−H−). Interestingly, placing hives on seedling mats to maintain colony temperatures above 15 °C (H+) tended to decrease foraging activity and overall hive traffic. Our results show that strategic placement of bumble bee hives against windbreaks can significantly increase the activity of Bombus workers from those hives and can be used as a simple, low-cost, and efficient bumble bee hive management method by LB growers.

1. Introduction

The primary regions for commercial lowbush blueberry (LB) production include the provinces of Quebec, Nova Scotia, New Brunswick, Prince Edward Island, Newfoundland, and the state of Maine [1]. Successful production of LB, specifically Vaccinium angustifolium Aiton and V. myrtilloides Michaux, relies significantly on adequate pollination [2]. Farmers often use commercial pollinators to ensure optimal pollination and a plentiful harvest. Among them, the commercially produced bumble bee (Bombus impatiens Cresson) has demonstrated effectiveness in pollinating LB [2,3,4]. Compared to honeybees, bumble bees demonstrate superior pollination efficiency, visiting and pollinating approximately 85% of the flowers they encounter, while honeybees manage only 31% [3]. These contributions from bumble bees can translate into increased yields and improved productivity for LB farmers [5]. Furthermore, bumble bees have an extended flight season and greater resilience against adverse weather conditions than honey bees [5].
Because purchasing commercial bumble bee colonies is a significant investment for LB growers, there is value in identifying hive management strategies that can enhance the activity of bumble bees under different conditions and optimize their pollination efficiency. Weather conditions, including temperature, precipitation, light, and wind speed, can all influence bumble bee physiology, phenology, morphology, and activity [6,7,8,9,10,11]. For instance, wind can challenge bumble bee flight, hindering their foraging, predator evasion, and mate-finding abilities [12,13]. Extreme temperatures, whether excessively high or low, can also reduce the foraging efficiency and survival of bumble bees [14]. Although bumble bee activities occur within a relatively wide range of temperatures, most bumble bee workers are restricted to foraging at moderate ambient temperatures [15,16,17]. Furthermore, maintenance of certain hive temperatures is crucial for brood development. For example, Wynants et al. [18] found that bumble bees (Bombus terrestris) develop faster when colonies are at an ambient temperature of 29 °C, compared to 24 °C.
Since soil surface temperatures of LB fields from Quebec may vary from −10 °C to 45 °C during the pollination period (Figure S1), and since most LB growers place their bumble bee hives at the soil surface without sun protection, we tested if it would be beneficial to protect bumble bee hives from low and high temperatures. We hypothesized that bumble bee activity would be greatest when hives are kept warm and cool during cold and hot periods, respectively. We also tested whether the placement of hives against a windbreak influenced bumble bee behavior, hypothesizing that shelter from sun and wind would be beneficial to bumble bee activity.

2. Materials and Methods

B. impatiens hives used in this study were obtained from Koppert Canada Ltd. (Scarborough, ON, Canada). Each Quad® contains four bumble bee hives, and each hive is shipped with one queen, 200 adults (e.g., workers), and brood cells. The study was conducted from May to June 2021 on a LB farm in Saguenay, near Saint-Honoré, QC, Canada (48°32′00″ N, 71°05′00″ W). The experimental setup consisted of four hive management treatments.
  • Insulated (I+) and heated (H+) (Figure 1A). The bumble bee hives were insulated with 6.35 cm thick extruded polystyrene foam panels (Isorad V2, Groupe Isolofoam, Sainte-Marie, QC, Canada) that were placed on the top and four lateral sides of the Quad. Space was left for exit and return portals. Temperatures inside the Quads were maintained above 15 °C by placing two seedling heating mats with digital temperature control (BHS-1020, Bestio, Dezhou, China) underneath the hives. Hives were placed in full sun;
  • Insulated (I+) and unheated (H−) (Figure 1B). Insulation of bumble bee hives with extruded polystyrene foam as described above. No heating mat was used. The hives were placed in full sun;
  • Windbreak (Figure 1C). The hives were positioned against a single tree row of red pine (Pinus resinosa). About 4 m separated each tree, with 60 m between each tree line. Tree lines were North-South oriented to break regional West-East dominant winds. No extruded polystyrene foam and no heating mat were used;
  • Uninsulated (I−) and unheated (H−) (Figure 1D). No extruded polystyrene foam and no heating mat were used. Hives were placed in full sun. This treatment was representative of most local LB growers.
Two hives were monitored for each treatment. The hives were placed on a wooden pallet about 15 cm above the soil surface (Figure 1). All Quads were placed in the same LB field (140 ha), approximately 100 m apart. One high-definition camera (WCT-00126, Wingscapes, Calera, AL, USA) was positioned 1.2 m from the two monitored hives to record bumble bee activity (Figure 1). Between 21 May and 8 June 2021, recordings were conducted five times daily (09:00, 11:00, 13:00, 15:00, 17:00), each recording being 90 s in duration. We recorded the number of worker bees leaving and entering for each hive and those entering with a significant and noticeable amount of pollen on their legs. Hive traffic, defined as the total number of individuals leaving and entering the hive, was also recorded. Each of the two monitored hives was considered a replicate, and bumble bee activity was normalized by minute (or 60 s) at the quad level. Precipitation was recorded (presence/absence) at each of the five daily recording intervals, and Hobo probes (UA-002-64, Onset, Bourne, MA, USA) were placed outside (about 30 cm above soil surface) and inside the Quads (middle of the four hives) to record temperatures inside and outside the Quads.
Because analysis of variance assumptions could not be met (normal distribution of residuals and homogeneous variance), a Kruskal–Wallis test was used to separate medians between treatments, outside temperature classes (six classes from 5 °C to >30 °C with five °C increment), and weather conditions (rainy vs. not rainy). Significant values (Alpha = 0.05) were adjusted by the Bonferroni correction for multiple tests. All statistical analyses were performed with SPSS, version 26 for Windows [19].

3. Results

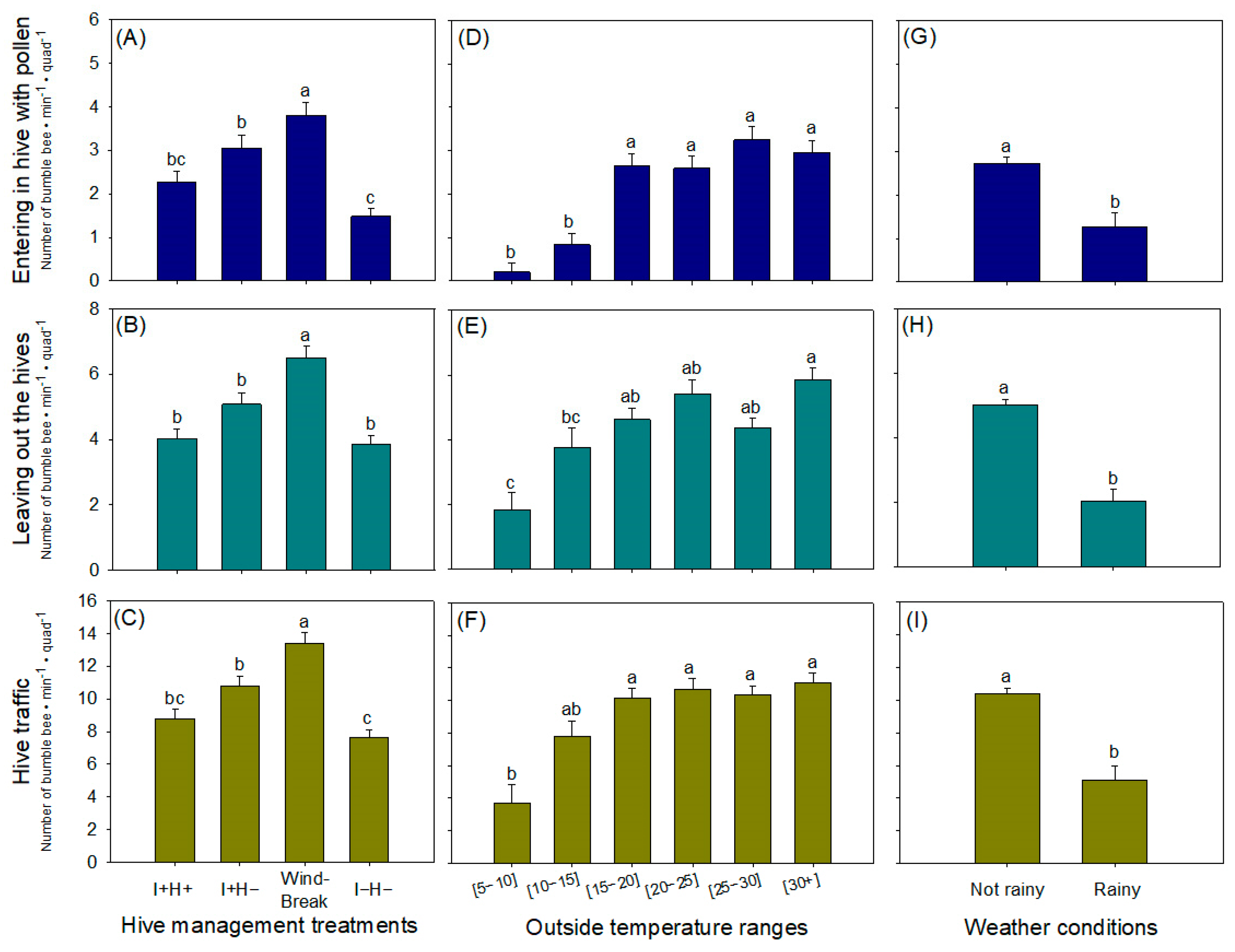
There were significant differences in bumble bee activity across different treatments as measured by the number of bees entering the hive with pollen, leaving the hive, and hive overall traffic. Our results show that the presence of a windbreak gave the highest numbers of bees entering with pollen (Figure 2A), leaving the hive (Figure 2B), and overall hive traffic (Figure 2C). Positioning hives against a windbreak increased (p < 0.001) the number of foragers returning to hives carrying pollen by 2.6-fold relative to the I−H− treatment. Compared to the I−H− treatment, insulating hives without heating (I+H−) resulted in a 2-fold increase (p < 0.001) in bee activity and bees entering the hives with pollen (Figure 2A). However, relative to insulation only (I+H−), using seedling mats slightly reduced (p = 0.053) the number of bees entering the hive with pollen (Figure 2A). Similar trends were observed for bumble bees leaving the hives (Figure 2B) and the overall hive traffic (Figure 2C).
There was a significant difference in bumble bee activity in terms of entering the hive with pollen (Figure 2D), leaving the hive (Figure 2E), and hive traffic (Figure 2F) across different outside temperatures. Returning pollen forager activity was greatest (p < 0.001) when outdoor temperatures were above 15 °C, whereas little activity was observed below 10 °C (Figure 2D). Similar trends were observed for the bumble bees leaving the hive (Figure 2E) and the overall hive traffic (Figure 2F).
More bees entered the hives with pollen under no-rain conditions (Figure 2G). Bumble bee foraging activities under rainy conditions decreased (p = 0.020) by about 2.2-fold (Figure 2G). Similar trends were observed for the bumble bees leaving the hive (Figure 2H) and the overall hive traffic (Figure 2I).

4. Discussion

Our investigation revealed that bumble bee hives placed in the sun without isolation or shade had reduced forager activity and hive traffic compared to the other hive management treatments. Temperatures monitored inside the Quad indicate that this hive management practice produces the highest heat fluctuations daily (Figure S1). Although the heat tolerance of worker bumble bees is relatively high (48–55 °C), it has been recently shown that larvae have a lower heat tolerance than adults [20]. Furthermore, exposing bumble bee hives to heat stress may reduce spermatozoa viability, reducing male bumble bee fertility with potential population-level impacts [21]. Another study showed that exposing the hive to higher temperatures reduces wing and overall body size [22]. Although not fatal, exposing bumble bee hives directly to the sun without insulation likely slows bumble bee reproduction, decreases hive pollen demand, and hence decreases foraging activity and overall bumble bee traffic.
This study demonstrated that placing bumble bee hives against windbreaks resulted in a significant increase in the number of foragers returning with pollen and overall hive traffic. In addition to providing wind protection, windbreak shade helped hives avoid excessive heat stress (Figure S1). Various studies demonstrated that reducing wind exposure through windbreaks protects hives, preventing potential mechanical damage and disturbances to bee flight and activity [13,23,24,25]. Although windbreaks are primarily designed to reduce wind velocity, erosion, and snow drifting in LB fields, they can also be optimized to establish favorable environments for pollinators while concurrently safeguarding fruit buds from winter frost [23,26]. Moreover, windbreaks provide protection, habitat, and suitable microclimates for wild pollinators, enabling bees to remain active and forage for extended periods beyond crop bloom [27,28]. This extended foraging season is crucial for conserving and boosting the wild pollinator community throughout their developmental cycles [27].
Although previous studies suggest thermoregulation through brooding is important but energy intensive [18,20], our study reveals that heating the hives with seedling mats tended to decrease the overall bumble bee activities. As highlighted recently by Bretzlaff et al. [20], hives that experience low temperatures are successful at thermoregulation, whereas hives that experience high temperatures can protect larvae less and, hence, the next generation of pollinators may be adversely affected. Therefore, relying solely on insulation that protects from heat stress may be more advantageous than combining insulation with heating apparatus.
Weather affects bumble bee behavior [7]. Our study revealed that bumble bees display the highest activity levels when outside temperatures were above 15 °C, typically during the middle-day period. These findings align with previous research identifying peak activity of bumble bees during similar temperature ranges [29,30]. Furthermore, our findings emphasize the significant role of rain in reducing bumble bee foraging activities [31]. Our results demonstrated that the rain notably reduced bumble bee activities, which could also be indirectly related to the role of temperature. Indeed, outside temperatures were generally lower during rainy days.

5. Conclusions

This study closely monitored bumble bee hives and observed their daily activities among hive management strategies. As previously reported in other environments [32], treatments that protect hives from heat stress (I+H−; windbreak) result in the highest bumble bee activities and foraging behaviors. Placement of commercial bumble bee hives against windbreaks is a simple but efficient means of increasing forager activity, while the conventional approach of placing hives in full sun without insulation (I−H−) resulted in the least amount of forager activity. The results also indicate that insulating hives with extruded polystyrene foam (I+) gave intermediate results for hives management.
Although this study would greatly benefit from being repeated several times in space and time, we believe that LB growers should, when possible, place bumble bee colonies against windbreaks since this practice does not pose significant financial risks and it can likely substantially improve the pollination activity of bumble bees in LB fields.

Supplementary Materials

The following supporting information can be downloaded at: https://www.mdpi.com/article/10.3390/agronomy15030562/s1. Figure S1: Temperatures monitored outside (A) and inside (B) the bumble bee hive (Quad®). Data was collected from 21 May to 8 June 2021. Insulating (I+), not insulating (I−), heating (H+), not heating (H−), and against the windbreak (Windbreak).

Author Contributions

Conceptualization, M.C.P., J.-D.B. and T.C.; methodology, M.C.P., T.C. and J.D.; formal analysis, M.C.P., J.D. and N.M.; investigation, M.C.P. and J.-D.B.; resources, M.C.P. and T.C.; data curation, J.D.; writing—original draft preparation, M.C.P. and N.M.; writing—review and editing, M.C.P., N.M., J.-D.B., T.C., J.D. and G.C.C.; supervision, M.C.P. and J.-D.B.; project administration, M.C.P.; funding acquisition, M.C.P. and T.C. All authors have read and agreed to the published version of the manuscript.

Funding

The authors thank the Syndicat des Producteurs de Bleuets du Québec (SPBQ), the Natural Sciences and Engineering Research Council of Canada (NSERC) (Grant RDCPJ-503182-16; ALLRP-586870-23; ALLRP-593649-24), and Koppert Canada for their financial support.

Data Availability Statement

Data are contained within the article and Supplementary Materials.

Acknowledgments

We thank Les Entreprises Gérard Doucet Ltée and Annick Doucet for providing access to our research sites.

Conflicts of Interest

Author Thierry Chouffot was employed by the Company Koppert Canada Ltd. The remaining authors declare that the research was conducted in the absence of any commercial or financial relationships that could be construed as a potential conflict of interest.

References

  1. Strik, B.C.; Yarborough, D. Blueberry production trends in North America, 1992 to 2003, and predictions for growth. HortTechnology 2005, 15, 391–398. [Google Scholar] [CrossRef]
  2. Drummond, F. Commercial bumble bee pollination of lowbush blueberry. Int. J. Fruit Sci. 2012, 12, 54–64. [Google Scholar] [CrossRef]
  3. Stubbs, C.; Drummond, F.; Yarborough, D. Commercial bumble bee, Bombus impatiens, management for lowbush blueberry. Wild Blueberry Fact Sheet 2001, 302, 1–4. [Google Scholar]
  4. Desjardins, È.-C.; De Oliveira, D. Commercial bumble bee Bombus impatiens (Hymenoptera: Apidae) as a pollinator in lowbush blueberry (Ericale: Ericaceae) fields. J. Econ. Entomol. 2006, 99, 443–449. [Google Scholar] [CrossRef]
  5. Stubbs, C.S.; Drummond, F.A. Bombus impatiens (Hymenoptera: Apidae): An alternative to Apis mellifera (Hymenoptera: Apidae) for lowbush blueberry pollination. J. Econ. Entomol. 2001, 94, 609–616. [Google Scholar] [CrossRef]
  6. Gérard, M.; Vanderplanck, M.; Wood, T.; Michez, D. Global warming and plant–pollinator mismatches. Emerg. Top. Life Sci. 2020, 4, 77–86. [Google Scholar]
  7. Scaven, V.L.; Rafferty, N.E. Physiological effects of climate warming on flowering plants and insect pollinators and potential consequences for their interactions. Curr. Zool. 2013, 59, 418–426. [Google Scholar] [CrossRef] [PubMed]
  8. Pyke, G.H.; Thomson, J.D.; Inouye, D.W.; Miller, T.J. Effects of climate change on phenologies and distributions of bumble bees and the plants they visit. Ecosphere 2016, 7, e01267. [Google Scholar] [CrossRef]
  9. Gérard, M.; Vanderplanck, M.; Franzen, M.; Kuhlmann, M.; Potts, S.G.; Rasmont, P.; Schweiger, O.; Michez, D. Patterns of size variation in bees at a continental scale: Does Bergmann’s rule apply? Oikos 2018, 127, 1095–1103. [Google Scholar] [CrossRef]
  10. Guiraud, M.; Cariou, B.; Henrion, M.; Baird, E.; Gérard, M. Higher developmental temperature increases queen production and decreases worker body size in the bumblebee Bombus terrestris. J. Hymenopt. Res. 2021, 88, 39–49. [Google Scholar] [CrossRef]
  11. Kwon, Y.J.; Saeed, S. Effect of temperature on the foraging activity of Bombus terrestris L. (Hymenoptera: Apidae) on greenhouse hot pepper (Capsicum annuum L.). Appl. Entomol. Zool. 2003, 38, 275–280. [Google Scholar] [CrossRef]
  12. Combes, S.A.; Dudley, R. Turbulence-driven instabilities limit insect flight performance. Proc. Natl. Acad. Sci. USA 2009, 106, 9105–9108. [Google Scholar] [CrossRef]
  13. Chang, J.J.; Crall, J.D.; Combes, S.A. Wind alters landing dynamics in bumblebees. J. Exp. Biol. 2016, 219, 2819–2822. [Google Scholar] [CrossRef]
  14. Roberts, S.P.; Harrison, J.F. Mechanisms of thermoregulation in flying bees. Am. Zool. 1998, 38, 492–502. [Google Scholar] [CrossRef]
  15. Kelemen, E.; Dornhaus, A. Lower temperatures decrease worker size variation but do not affect fine-grained thermoregulation in bumble bees. Behav. Ecol. Sociobiol. 2018, 72, 170. [Google Scholar] [CrossRef]
  16. Goulson, D. Bumblebees: Behaviour, Ecology, and Conservation; Oxford University Press: Oxford, UK, 2010. [Google Scholar]
  17. Goulson, D.; Lye, G.; Darvill, B. The decline and conservation of bumblebees. Annu. Rev. Entomol. 2008, 53, 191–208. [Google Scholar] [CrossRef] [PubMed]
  18. Wynants, E.; Lenaerts, N.; Wäckers, F.; Van Oystaeyen, A. Thermoregulation dynamics in commercially reared colonies of the bumblebee Bombus terrestris. Physiol. Entomol. 2021, 46, 110–118. [Google Scholar] [CrossRef]
  19. SPSS. I Statistics for Macintosh (Version 26.0) [Computer Software]; IBM Corp: Armonk, NY, USA, 2019. [Google Scholar]
  20. Bretzlaff, T.; Kerr, J.T.; Darveau, C.A. High temperature sensitivity of bumblebee castes and the colony-level costs of thermoregulation in Bombus impatiens. J. Therm. Biol. 2023, 117, 103710. [Google Scholar] [CrossRef]
  21. Campion, C.; Rajamohan, A.; Dillon, M.E. Sperm can’t take the heat: Short-term temperature exposures compromise fertility of male bumble bees (Bombus impatiens). J. Insect Physiol. 2023, 146, 104491. [Google Scholar] [CrossRef] [PubMed]
  22. Gerard, M.; Michez, D.; Debat, V.; Fullgrabe, L.; Meeus, I.; Piot, N.; Sculfort, O.; Vastrade, M.; Smagghe, G.; Vanderplanck, M. Stressful conditions reveal decrease in size, modification of shape but relatively stable asymmetry in bumblebee wings. Sci. Rep. 2018, 8, 15169. [Google Scholar] [CrossRef] [PubMed]
  23. Hennessy, G.; Harris, C.; Eaton, C.; Wright, P.; Jackson, E.; Goulson, D.; Ratnieks, F.F. Gone with the wind: Effects of wind on honey bee visit rate and foraging behaviour. Anim. Behav. 2020, 161, 23–31. [Google Scholar] [CrossRef]
  24. Burnett, N.P.; Badger, M.A.; Combes, S.A. Wind and obstacle motion affect honeybee flight strategies in cluttered environments. J. Exp. Biol. 2020, 223, jeb222471. [Google Scholar] [CrossRef]
  25. Crall, J.D.; Chang, J.J.; Oppenheimer, R.L.; Combes, S.A. Foraging in an unsteady world: Bumblebee flight performance in fieldrealistic turbulence. Interface Focus 2017, 7, 20160086. [Google Scholar] [CrossRef] [PubMed]
  26. Girona, J.; Bradley, R.; Lévesque, J.-A.; Paré, M.; Bellemare, M. A call for improving winter windbreak design for lowbush blueberry production in the Saguenay–Lac-Saint-Jean region of Québec, Canada. Int. J. Fruit Sci. 2019, 19, 165–178. [Google Scholar] [CrossRef]
  27. Ucar, T.; Hall, F.R. Windbreaks as a pesticide drift mitigation strategy: A review. Pest Manag. Sci. 2001, 57, 663–675. [Google Scholar] [CrossRef]
  28. Lewis, T.; Smith, B. The insect faunas of pear and apple orchards and the effect of windbreaks on their distribution. Ann. Appl. Biol. 1969, 64, 11–20. [Google Scholar] [CrossRef]
  29. Couvillon, M.J.; Fitzpatrick, G.; Dornhaus, A. Ambient air temperature does not predict whether small or large workers forage in bumble bees (Bombus impatiens). Psyche J. Entomol. 2010, 2010, 536430. [Google Scholar] [CrossRef]
  30. Morandin, L.A.; Laverty, T.M.; Gegear, R.J.; Kevan, P.G. Effect of greenhouse polyethelene covering on activity level and photo-response of bumble bees. Can. Entomol. 2002, 134, 539–549. [Google Scholar] [CrossRef]
  31. Blaydes, H.; Potts, S.G.; Whyatt, J.; Armstrong, A. Opportunities to enhance pollinator biodiversity in solar parks. Renew. Sustain. Energy Rev. 2021, 145, 111065. [Google Scholar] [CrossRef]
  32. Marchese, J.; Johnson, G.; Delaney, D. Exposure effects on the productivity of commercial Bombus impatiens (Hymenoptera: Apidae) quads during bloom in watermelon fields. J. Econ. Entomol. 2015, 108, 1810–1817. [Google Scholar] [CrossRef]
Figure 1. The four management treatments of bumble bee hives (Quad®, Koppert, Scarborough, ON, Canada). (A) Insulated and heated hives (I+H+). (B) Insulated and unheated hives (I+H−). (C) Hives placed against a single-row windbreak. (D) Uninsulated and unheated hives (I−H−). Cameras were attached to a wood stick and placed at 1.2 m from the hives to monitor bumblebee activity from the two facing hives.
Figure 1. The four management treatments of bumble bee hives (Quad®, Koppert, Scarborough, ON, Canada). (A) Insulated and heated hives (I+H+). (B) Insulated and unheated hives (I+H−). (C) Hives placed against a single-row windbreak. (D) Uninsulated and unheated hives (I−H−). Cameras were attached to a wood stick and placed at 1.2 m from the hives to monitor bumblebee activity from the two facing hives.
Agronomy 15 00562 g001
Figure 2. Effects of hive management treatments (AC), outside temperature (°C) ranges (DF), and weather conditions (GI) on bumble bees entering in the hive with pollen on their hind legs (A,D,G), leaving out the hive (B,E,H), and hive overall traffic (C,F,I). Results were collected between 9 a.m. and 5 p.m. from 21 May to 8 June 2021. Columns sharing letters are not significantly different according to the non-parametric Kruskal–Wallis test (α = 0.05). Error bars represent standard error from the mean. Insulating (I+), not insulating (I−), heating (H+), not heating (H−), and against the windbreak (windbreak).
Figure 2. Effects of hive management treatments (AC), outside temperature (°C) ranges (DF), and weather conditions (GI) on bumble bees entering in the hive with pollen on their hind legs (A,D,G), leaving out the hive (B,E,H), and hive overall traffic (C,F,I). Results were collected between 9 a.m. and 5 p.m. from 21 May to 8 June 2021. Columns sharing letters are not significantly different according to the non-parametric Kruskal–Wallis test (α = 0.05). Error bars represent standard error from the mean. Insulating (I+), not insulating (I−), heating (H+), not heating (H−), and against the windbreak (windbreak).
Agronomy 15 00562 g002
Disclaimer/Publisher’s Note: The statements, opinions and data contained in all publications are solely those of the individual author(s) and contributor(s) and not of MDPI and/or the editor(s). MDPI and/or the editor(s) disclaim responsibility for any injury to people or property resulting from any ideas, methods, instructions or products referred to in the content.

Share and Cite

MDPI and ACS Style

Paré, M.C.; Mortazavi, N.; Brassard, J.-D.; Chouffot, T.; Douillard, J.; Cutler, G.C. Hive Insulation Increases Foraging Activities of Bumble Bees (Bombus impatiens) in a Wild Blueberry Field in Quebec, Canada. Agronomy 2025, 15, 562. https://doi.org/10.3390/agronomy15030562

AMA Style

Paré MC, Mortazavi N, Brassard J-D, Chouffot T, Douillard J, Cutler GC. Hive Insulation Increases Foraging Activities of Bumble Bees (Bombus impatiens) in a Wild Blueberry Field in Quebec, Canada. Agronomy. 2025; 15(3):562. https://doi.org/10.3390/agronomy15030562

Chicago/Turabian Style

Paré, Maxime C., Nasimeh Mortazavi, Jean-Denis Brassard, Thierry Chouffot, Julie Douillard, and G. Christopher Cutler. 2025. "Hive Insulation Increases Foraging Activities of Bumble Bees (Bombus impatiens) in a Wild Blueberry Field in Quebec, Canada" Agronomy 15, no. 3: 562. https://doi.org/10.3390/agronomy15030562

APA Style

Paré, M. C., Mortazavi, N., Brassard, J.-D., Chouffot, T., Douillard, J., & Cutler, G. C. (2025). Hive Insulation Increases Foraging Activities of Bumble Bees (Bombus impatiens) in a Wild Blueberry Field in Quebec, Canada. Agronomy, 15(3), 562. https://doi.org/10.3390/agronomy15030562

Note that from the first issue of 2016, this journal uses article numbers instead of page numbers. See further details here.

Article Metrics

Back to TopTop