Biochar Application and Mowing Independently and Interactively Influence Soil Enzyme Activity and Carbon Sequestration in Karst and Red Soils in Southern China
Abstract
1. Introduction
2. Materials and Methods
2.1. Study Site
2.2. Experimental Design
2.3. Chemical Analysis
2.4. Enzyme Activity Assays
2.5. Data Analyses
3. Results
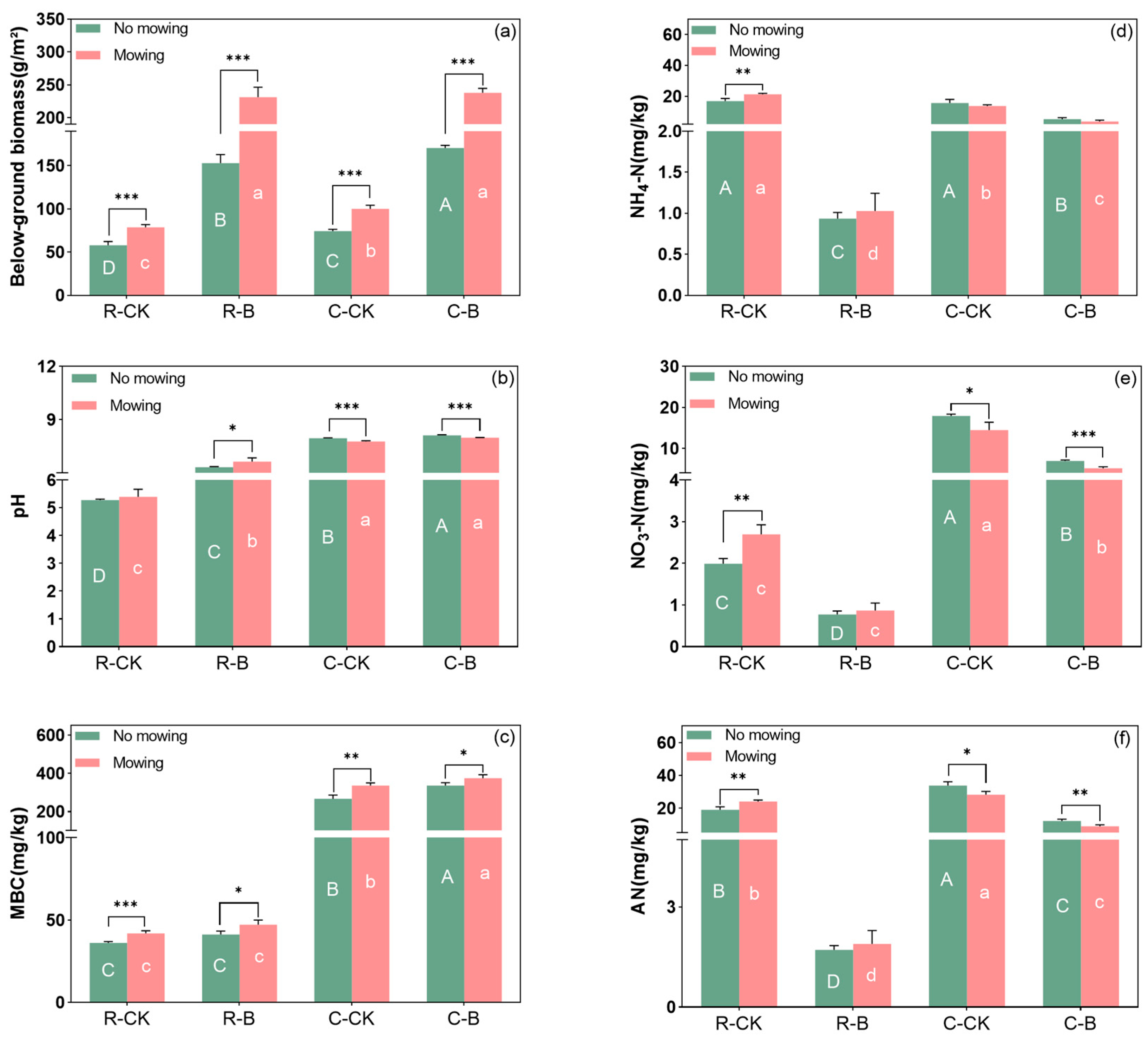
3.1. Effect of Biochar on Soil Organic Carbon (SOC) Stocks
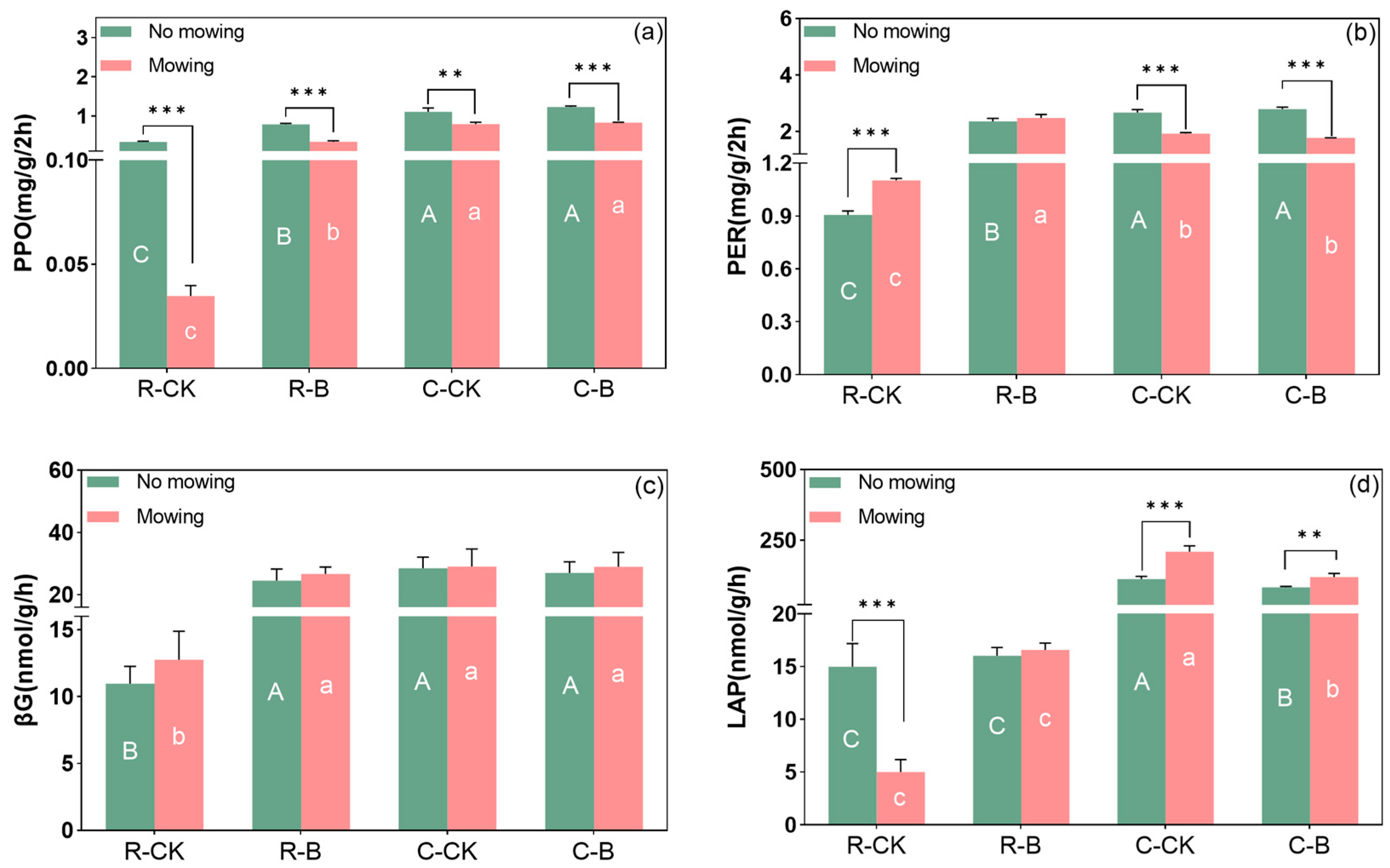
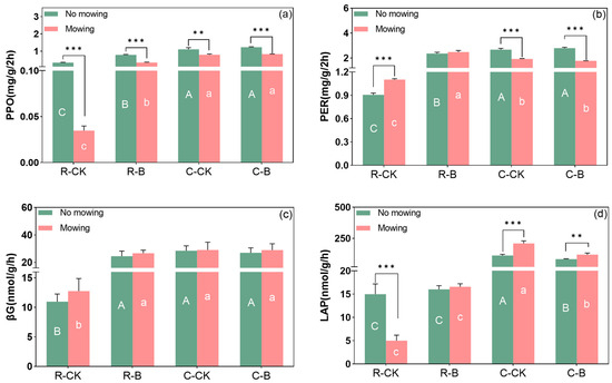
3.2. Patterns Across Enzymes and Carbon Sequestration
3.3. Effects of Mowing on SOC and Enzyme Activity
3.4. General Soil Properties
4. Discussion
4.1. Impact of Biochar and Mowing on Soil Organic Carbon Dynamics
4.2. Enzyme Activity and Nutrient Cycling
4.3. Red Soil as a Control for Parent Soil Effects
4.4. Implications for Carbon Sequestration in Karst Grasslands
5. Conclusions
Author Contributions
Funding
Data Availability Statement
Conflicts of Interest
References
- Baes, C.; Goeller, H.; Olson, J.; Rotty, R.M. Carbon Dioxide and Climate: The Uncontrolled Experiment: Possibly severe consequences of growing CO2 release from fossil fuels require a much better understanding of the carbon cycle, climate change, and the resulting impacts on the atmosphere. Am. Sci. 1977, 65, 310–320. [Google Scholar]
- Jackson, R.B.; Lajtha, K.; Crow, S.E.; Hugelius, G.; Kramer, M.G.; Piñeiro, G. The ecology of soil carbon: Pools, vulnerabilities, and biotic and abiotic controls. Annu. Rev. Ecol. Evol. Syst. 2017, 48, 419–445. [Google Scholar] [CrossRef]
- Lal, R. Soil health and carbon management. Food Energy Secur. 2016, 5, 212–222. [Google Scholar] [CrossRef]
- Bossio, D.A.; Cook-Patton, S.C.; Ellis, P.W.; Fargione, J.; Sanderman, J.; Smith, P.; Wood, S.; Zomer, R.J.; von Unger, M.; Emmer, I.M.; et al. The role of soil carbon in natural climate solutions. Nat. Sustain. 2020, 3, 391–398. [Google Scholar] [CrossRef]
- Bai, Y.; Cotrufo, M.F. Grassland soil carbon sequestration: Current understanding, challenges, and solutions. Science 2022, 377, 603–608. [Google Scholar] [CrossRef]
- Jiang, Z.; Lian, Y.; Qin, X. Rocky desertification in Southwest China: Impacts, causes, and restoration. Earth Sci. Rev. 2014, 132, 1–12. [Google Scholar] [CrossRef]
- Emmerich, W.E. Carbon dioxide fluxes in a semiarid environment with high carbonate soils. Agric. For. Meteorol. 2003, 116, 91–102. [Google Scholar] [CrossRef]
- Ferlan, M.; Alberti, G.; Eler, K.; Batič, F.; Peressotti, A.; Miglietta, F.; Zaldei, A.; Simončič, P.; Vodnik, D. Comparing carbon fluxes between different stages of secondary succession of a karst grassland. Agric. Ecosyst. Environ. 2011, 140, 199–207. [Google Scholar] [CrossRef]
- He, N.; Zhang, Y.; Yu, Q.; Chen, Q.; Pan, Q.; Zhang, G.; Han, X.G. Grazing intensity impacts soil carbon and nitrogen storage of continental steppe. Ecosphere 2011, 2, 1–10. [Google Scholar] [CrossRef]
- Abdalla, M.; Hastings, A.; Chadwick, D.R.; Jones, D.L.; Evans, C.D.; Jones, M.B.; Rees, R.M.; Smith, P. Critical review of the impacts of grazing intensity on soil organic carbon storage and other soil quality indicators in extensively managed grasslands. Agric. Ecosyst. Environ. 2018, 253, 62–81. [Google Scholar] [CrossRef]
- Piñeiro, G.; Paruelo, J.M.; Oesterheld, M.; Jobbágy, E.G. Pathways of grazing effects on soil organic carbon and nitrogen. Rangel. Ecol. Manag. 2010, 63, 109–119. [Google Scholar] [CrossRef]
- Huang, K.-K.; Hu, G.; Pang, Q.-L.; Zhang, B.; He, Y.-Y.; Hu, C.; Xu, C.-H.; Zhang, Z.-H. Effects of grazing on species composition and community structure of shrub tussock in subtropical karst mountains, southwest China. Chin. J. Plant Ecol. 2022, 46, 1350. [Google Scholar] [CrossRef]
- Ren, S.; Terrer, C.; Li, J.; Cao, Y.; Yang, S.; Liu, D. Author Correction: Historical impacts of grazing on carbon stocks and climate mitigation opportunities. Nat. Clim. Change 2024, 14, 883. [Google Scholar] [CrossRef]
- Gilmullina, A.; Rumpel, C.; Blagodatskaya, E.; Chabbi, A. Management of grasslands by mowing versus grazing–impacts on soil organic matter quality and microbial functioning. Appl. Soil Ecol. 2020, 156, 103701. [Google Scholar] [CrossRef]
- Yang, Z.; Minggagud, H.; Baoyin, T.; Li, F.Y. Plant production decreases whereas nutrients concentration increases in response to the decrease of mowing stubble height. J. Environ. Manag. 2020, 253, 109745. [Google Scholar] [CrossRef]
- Fekete, I.; Kotroczó, Z.; Varga, C.; Nagy, P.T.; Várbíró, G.; Bowden, R.D.; Tóth, J.A.; Lajtha, K. Alterations in forest detritus inputs influence soil carbon concentration and soil respiration in a Central-European deciduous forest. Soil Biol. Biochem. 2014, 74, 106–114. [Google Scholar] [CrossRef]
- Singh, H.; Northup, B.K.; Rice, C.W.; Prasad, P.V. Biochar applications influence soil physical and chemical properties, microbial diversity, and crop productivity: A meta-analysis. Biochar 2022, 4, 8. [Google Scholar] [CrossRef]
- Rasul, M.; Cho, J.; Shin, H.-S.; Hur, J. Biochar-induced priming effects in soil via modifying the status of soil organic matter and microflora: A review. Sci. Total. Environ. 2022, 805, 150304. [Google Scholar] [CrossRef]
- Wei, Y.; Wei, B.; Ryo, M.; Bi, Y.; Sun, X.; Zhang, Y.; Liu, N. Grazing facilitates litter-derived soil organic carbon formation in grasslands by fostering microbial involvement through microenvironment modification. Catena 2023, 232, 107389. [Google Scholar] [CrossRef]
- Vance, E.D.; Brookes, P.C.; Jenkinson, D.S. An extraction method for measuring soil microbial biomass C. Soil Biol. Biochem. 1987, 19, 703–707. [Google Scholar] [CrossRef]
- Ye, C.; Chen, D.; Hall, S.J.; Pan, S.; Yan, X.; Bai, T.; Guo, H.; Zhang, Y.; Bai, Y.; Hu, S. Reconciling multiple impacts of nitrogen enrichment on soil carbon: Plant, microbial and geochemical controls. Ecol. Lett. 2018, 21, 1162–1173. [Google Scholar] [CrossRef] [PubMed]
- German, D.P.; Weintraub, M.N.; Grandy, A.S.; Lauber, C.L.; Rinkes, Z.L.; Allison, S.D. Optimization of hydrolytic and oxidative enzyme methods for ecosystem studies. Soil Biol. Biochem. 2011, 43, 1387–1397. [Google Scholar] [CrossRef]
- Bach, C.E.; Warnock, D.D.; Van Horn, D.J.; Weintraub, M.N.; Sinsabaugh, R.L.; Allison, S.D.; German, D.P. Measuring phenol oxidase and peroxidase activities with pyrogallol, L-DOPA, and ABTS: Effect of assay conditions and soil type. Soil Biol. Biochem. 2013, 67, 183–191. [Google Scholar] [CrossRef]
- Saiya-Cork, K.; Sinsabaugh, R.; Zak, D. The effects of long term nitrogen deposition on extracellular enzyme activity in an Acer saccharum forest soil. Soil Biol. Biochem. 2002, 34, 1309–1315. [Google Scholar] [CrossRef]
- Samsonovich, A.; McNaughton, B.L. Path integration and cognitive mapping in a continuous attractor neural network model. J. Neurosci. 1997, 17, 5900–5920. [Google Scholar] [CrossRef] [PubMed]
- Demisie, W.; Liu, Z.; Zhang, M. Effect of biochar on carbon fractions and enzyme activity of red soil. Catena 2014, 121, 214–221. [Google Scholar] [CrossRef]
- Wang, B.; Huang, Y.; Li, N.; Yao, H.; Yang, E.; Soromotin, A.V.; Kuzyakov, Y.; Cheptsov, V.; Yang, Y.; An, S. Initial soil formation by biocrusts: Nitrogen demand and clay protection control microbial necromass accrual and recycling. Soil Biol. Biochem. 2022, 167, 108607. [Google Scholar] [CrossRef]
- Feng, J.; Yu, D.; Sinsabaugh, R.L.; Moorhead, D.L.; Andersen, M.N.; Smith, P.; Song, Y.; Li, X.; Huang, Q.; Liu, Y.R.; et al. Trade-offs in carbon-degrading enzyme activities limit long-term soil carbon sequestration with biochar addition. Biol. Rev. 2023, 98, 1184–1199. [Google Scholar] [CrossRef]
- Ai, L.; Wu, F.; Fan, X.; Yang, Y.; Zhang, Y.; Zheng, X.; Zhu, J.; Ni, X. Different effects of litter and root inputs on soil enzyme activities in terrestrial ecosystems. Appl. Soil Ecol. 2023, 183, 104764. [Google Scholar] [CrossRef]
- De Bruxelles, G.L.; Roberts, M.R. Signals regulating multiple responses to wounding and herbivores. Crit. Rev. Plant Sci. 2001, 20, 487–521. [Google Scholar] [CrossRef]
- Walling, L.L. The myriad plant responses to herbivores. J. Plant Growth Regul. 2000, 19, 195–216. [Google Scholar] [CrossRef] [PubMed]
- Luo, R.; Kuzyakov, Y.; Zhu, B.; Qiang, W.; Zhang, Y.; Pang, X. Phosphorus addition decreases plant lignin but increases microbial necromass contribution to soil organic carbon in a subalpine forest. Glob. Chang. Biol. 2022, 28, 4194–4210. [Google Scholar] [CrossRef] [PubMed]
- Chen, J.; Luo, Y.; Van Groenigen, K.J.; Hungate, B.A.; Cao, J.; Zhou, X.; Wang, R.-W. A keystone microbial enzyme for nitrogen control of soil carbon storage. Sci. Adv. 2018, 4, eaaq1689. [Google Scholar] [CrossRef] [PubMed]



| Soil Type | pH | MBC (mg/kg) | SOC (g/kg) | TN (g/kg) | TP (g/kg) | PPO (mg/g/2h) | PER (mg/g/2h) | βG (nmol/g/h) | LAP (nmol/g/h) |
|---|---|---|---|---|---|---|---|---|---|
| Red soil | 5.28 ± 0.03 b | 37.55 ± 1.94 b | 3.16 ± 0.22 b | 0.43 ± 0.02 b | 0.33 ± 0.01 b | 0.34 ± 0.02 b | 0.91 ± 0.02 b | 10.98 ± 1.29 b | 14.99 ± 2.19 b |
| Calcareous soil | 7.78 ± 0.02 a | 336.52 ± 18.3 a | 23.61 ± 0.76 a | 2.16 ± 0.02 a | 0.72 ± 0.03 a | 0.79 ± 0.10 a | 1.92 ± 0.10 a | 29.08 ± 3.06 a | 208.62 ± 9.58 a |
| Treatment | PPO | PER | βG | LAP | ||||
|---|---|---|---|---|---|---|---|---|
| f | p | f | p | f | p | f | p | |
| ST | 1255.79 | <0.001 *** | 754.59 | <0.001 *** | 55.26 | 0.005 ** | 795.28 | <0.001 *** |
| M | 523.35 | <0.001 *** | 313.62 | <0.001 *** | 0.93 | 0.355 | 62.30 | <0.001 *** |
| B | 242.71 | <0.001 *** | 290.99 | <0.001 *** | 17.32 | 0.006 ** | 64.94 | <0.001 *** |
| ST × M | 0.35 | 0.566 | 654.00 | <0.001 *** | 0.05 | 0.831 | 82.74 | <0.001 *** |
| ST × B | 101.82 | <0.001 *** | 305.77 | <0.001 *** | 21.78 | 0.003 ** | 99.11 | <0.001 *** |
| B × M | 13.41 | 0.003 ** | 17.44 | 0.001 ** | 0.07 | 0.797 | 10.43 | 0.007 ** |
| ST × B × M | 0.82 | 0.383 | 5.80 | 0.033 * | 0.02 | 0.887 | 20.90 | 0.001 ** |
| Treatment | PPO | PER | βG | LAP | ||||
|---|---|---|---|---|---|---|---|---|
| f | p | f | p | f | p | f | p | |
| R-M | 2148.48 | <0.001 *** | 285.27 | <0.001 *** | 0.95 | 0.367 | 33.198 | 0.001 ** |
| R-B | 666.46 | <0.001 *** | 397.30 | <0.001 *** | 79.73 | 0.003 ** | 52.359 | 0.005 ** |
| R-B × M | 81.39 | <0.001 *** | 14.42 | 0.009 ** | 0.01 | 0.926 | 41.318 | 0.001 ** |
| C-M | 132.67 | <0.001 *** | 495.19 | <0.001 *** | 0.22 | 0.657 | 72.957 | <0.001 *** |
| C-B | 10.00 | 0.051 | 0.18 | 0.697 | 0.09 | 0.79 | 82.542 | 0.003 ** |
| C-B × M | 2.03 | 0.204 | 11.46 | 0.015 ** | 0.07 | 0.806 | 15.379 | 0.008 ** |
Disclaimer/Publisher’s Note: The statements, opinions and data contained in all publications are solely those of the individual author(s) and contributor(s) and not of MDPI and/or the editor(s). MDPI and/or the editor(s) disclaim responsibility for any injury to people or property resulting from any ideas, methods, instructions or products referred to in the content. |
© 2025 by the authors. Licensee MDPI, Basel, Switzerland. This article is an open access article distributed under the terms and conditions of the Creative Commons Attribution (CC BY) license (https://creativecommons.org/licenses/by/4.0/).
Share and Cite
Luo, W.; Petticord, D.F.; Zhu, S.; Zhu, S.; Wu, Y.; Yi, X.; Wang, X.; Guo, Y.; Song, X. Biochar Application and Mowing Independently and Interactively Influence Soil Enzyme Activity and Carbon Sequestration in Karst and Red Soils in Southern China. Agronomy 2025, 15, 252. https://doi.org/10.3390/agronomy15010252
Luo W, Petticord DF, Zhu S, Zhu S, Wu Y, Yi X, Wang X, Guo Y, Song X. Biochar Application and Mowing Independently and Interactively Influence Soil Enzyme Activity and Carbon Sequestration in Karst and Red Soils in Southern China. Agronomy. 2025; 15(1):252. https://doi.org/10.3390/agronomy15010252
Chicago/Turabian StyleLuo, Wenjia, Daniel F. Petticord, Shiwen Zhu, Shaowu Zhu, Yuanlong Wu, Xun Yi, Xinyue Wang, Yili Guo, and Xuxin Song. 2025. "Biochar Application and Mowing Independently and Interactively Influence Soil Enzyme Activity and Carbon Sequestration in Karst and Red Soils in Southern China" Agronomy 15, no. 1: 252. https://doi.org/10.3390/agronomy15010252
APA StyleLuo, W., Petticord, D. F., Zhu, S., Zhu, S., Wu, Y., Yi, X., Wang, X., Guo, Y., & Song, X. (2025). Biochar Application and Mowing Independently and Interactively Influence Soil Enzyme Activity and Carbon Sequestration in Karst and Red Soils in Southern China. Agronomy, 15(1), 252. https://doi.org/10.3390/agronomy15010252

