You are currently viewing a new version of our website. To view the old version click .
Agronomy
  • Article
  • Open Access

10 January 2025

Combination of Nitrogen-Enriched Zeolite and Arbuscular Mycorrhizal Symbiosis to Improve Growth of Maize (Zea mays L.)

,
,
,
,
,
,
and
1
Unidad de Investigación en Ambiente y Salud, Universidad Autónoma de Occidente, Unidad Regional Los Mochis, Sinaloa 81223, Mexico
2
Instituto de Biotecnología, Universidad Nacional Autónoma de México, Cuernavaca, Morelos 62210, Mexico
3
Departamento de Biotecnología, Centro de Desarrollo de Productos Bióticos, Instituto Politécnico Nacional, Yautepec, Morelos 62739, Mexico
4
School of Environmental Sciences, University of Guelph, Guelph, ON N1G 2W1, Canada
This article belongs to the Special Issue Nutrient Cycling and Microorganisms in Agroecosystems

Abstract

Zeolite, a microporous mineral with strong ion binding, can enhance nutrient availability and growth of plants, such as maize (Zea mays L.). Arbuscular mycorrhizal (AM) symbiosis has also been shown to enhance nutrient availability and growth of plants, including maize. However, the interaction between AM symbiosis and zeolite is poorly understood. In this study, the effect on growth of maize was examined following soil treatment with N-enriched (ZN+) zeolite, which could retain 19.68% N, or N-free zeolite (ZN−), compared to N-enriched or N-free vermiculite (VN+ and VN−). There was a 2.7-times increase in the growth of maize under ZN+ treatment compared to ZN−, indicating that N could be released from zeolite for plant growth, and a 3.8-times increase with ZN+ treatment compared to VN− or VN+, indicating that zeolite was more effective than vermiculite in releasing N for plant growth. Subsequently, ZN+ and ZN− treatments were examined with non-AM (M−) and AM (M+) treatments using Rhizophagus irregularis. ZN+ M+ treatment led to higher AM colonization and development compared to M+ ZN−treatment, indicating an interaction of AM in roots with N from zeolite. PCA revealed improvements in leaf N content, photosynthetic pigments, photosynthetic performance, and secondary metabolites with M+ ZN+ treatment, which was also observed in comparison to M−ZN+ and M− ZN−treatments, further supporting the benefit of combining N from zeolite with an AM fungus. The combination of N released from N-enriched zeolite and AM symbiosis offers a promising alternative to chemical fertilizers to improve maize growth.

1. Introduction

Modern agricultural practices tend to focus on using chemical inorganic fertilizers to enhance crop quality and yield [1]. Excessive use of such fertilizers negatively affects soil quality, such as nutrient exchange capacity. Reduced soil quality diminishes its ability to support plant growth and disrupts interactions between plants, their environment [2], and beneficial soil microbes [3]. An alternative is to enhance mutualistic interactions with soil microbes, such as arbuscular mycorrhizal (AM) fungi [4,5]. AM fungi can form mutualistic symbioses with the roots of most terrestrial plants [6]. Spores of AM fungi in the soil can germinate, and the hypha then grows toward and invades the root’s cortical tissues, where they form arbuscules, which facilitate nutrient exchange with the plant [4,7]. In AM-colonized plants, the plant supplies the fungus with carbon and fatty acid compounds, while the fungus transfers phosphorus (P) and nitrogen (N) to the plant, resulting in improved plant growth and yield in various crops [4,8,9]. For example, maize (Z. mays L.) colonized by the AM fungus, Glomus intraradices, had increased labeled N content in the plant due to hyphal translocation of N from the soil to the root [10].
N is a crucial element for plant growth and development, and it is an essential component of photosynthetic pigments and secondary metabolites [11]. Plants typically preferentially absorb inorganic and organic sources of N in the form of nitrate (NO3) or ammonium (NH4+) ions, as well as amino acids and urea, depending on the plant species and the pH of the soil. For maize, seedlings prefer NO3 to NH4+ regardless of soil pH [12]. N deficiency has many negative effects, such as reduced photosynthesis, premature senescence, and altered secondary metabolite profiles, such as phenolic and flavonoid compounds, which are involved in many abiotic and biotic interactions [13,14]. For example, N deficiency in maize delayed the development of vegetative and reproductive tissues, such as by strongly slowing the leaf expansion rate and reducing the kernel number [15]. To ensure sufficient N, farmers often apply excessive amounts of N fertilizer, which may increase crop yields but also alter soil chemistry, resulting in increased acidity and nutrient imbalances [16]. Additionally, excessive soil N can disrupt soil microbial diversity, thus reducing soil quality [5,9,11].
Zeolite is a natural, microporous, and crystalline mineral formed by hydrated aluminosilicate, which contains cavities and channels of alkali or alkaline earth metals capable of sorbing anions and cations, including NO3, Cl, SO32−, H2PO4, Co2+, Cu2+, Zn2+, Mn2+, and NH4+ [17,18,19]. Due to the high ion exchange capacity of zeolite, gradual desorption of adsorbed NH4+ and NO3 onto the surface of zeolite ensures the slow release of N for optimum plant uptake [20,21]. The beneficial effects of zeolite have been reported for many plants. For example, zeolite boosted tomato (Solanun lycopersicum) growth and yield by acting as an ion exchanger, which led to better nutrient uptake and increased productivity [21,22,23,24]. In maize, zeolite reduced cadmium levels in the soil by 235%, which significantly enhanced plant growth [25]. Zeolite can also be combined with fertilizers. In rice (Oryza sativa), the application of zeolite mixed with potassium resulted in a 6.4% increase in crop yield [26]. Zeolite amended with N resulted in a 35.9% increase in Spathiphyllum wallisii plant height, along with significant improvements in photosynthetic pigments and secondary metabolites [27]. Zeolites can also be amended with biological agents. For example, zeolite enriched with plant growth-promoting rhizobacteria (PGPRs) improved growth of Ranunculus asiaticus with the PGPRs enhancing the performance of the zeolitite [28].
Maize is a major global crop that plays a crucial role as a food source for both humans and animals, while also serving as a raw material in numerous industrial applications [29,30,31]. Many cultivars of maize are high N-responsive types that yield better with higher N levels [32]. The application of microorganisms in combination with N fertilization can improve maize growth and yield under controlled and field conditions [30,31,33]. AM symbiosis, in particular, has been shown to improve maize plant growth by 35 to 53%, depending on environmental conditions and geographic location [34,35,36]. AM symbiosis in maize not only enhanced photosynthetic performance but also increased the levels of secondary metabolites and nutrient uptake. In maize and other plants, AM symbiosis enhances P and N uptake by activating high-affinity transporters, including specific-mycorrhizal phosphate and ammonium transporters [37,38,39]. These transporters play a crucial role in improving nutrient acquisition, especially in environments where nutrient availability is limited. However, AM colonization is affected by many factors, such as root physiology [7]. For example, AM colonization was promoted at lower N concentrations by R. irregularis in Petunia hybrida roots, and a naturally occurring undefined mix of AM fungi in Artemisia vulgaris roots [40,41]. However, this can vary depending upon the AM fungus. In maize, colonization by certain AM phylotypes greatly decreased with N application, while others remained unchanged or were increased with N application [42].
To date, no published studies have examined the interaction of N-enriched zeolite and AM symbiosis on the nutritional status of maize. Given that zeolite can improve nutrient availability, and can be amended with fertilizers, and AM fungi can enhance nutrient uptake by plants, it can be hypothesized that zeolite amended with N can gradually release it to plant roots, and AM fungi can then enhance the transport of N to the roots. A second hypothesis is that N-enriched zeolite can positively influence root physiology to increase the establishment of AM symbiosis. Based on these hypotheses, this study aims to evaluate the combination of N-enriched zeolite and R. irregularis symbiosis on plant growth, photosynthetic activity, and the production of certain secondary metabolites in maize.

2. Materials and Methods

2.1. Zeolite and Biological Materials

Zeolite samples were generously provided from Nutre y Fortalece S.A. De C.V. (Puebla, Mexico). Seeds of maize (Zea mays L.) cv. Pioneer 3906 were obtained by Dra. Elizabeth García León, Instituto Nacional de Investigaciones Forestales Agrícolas y Pecuarias, Campo Experimental Valle del Fuerte, Sinaloa, Mexico. The seeds were surface-sterilized according to [43]. For germination, seeds were placed on sterile steel plates and incubated in the dark at 28 °C for 2 days. Germinated seeds were transplanted into sterile vermiculite and grown in a controlled environment at 25 ± 2 °C under a 16 h light/8 h dark photoperiod. The inoculum of R. irregularis was provided by Dra. Melina López Meyer, CIIDIR-IPN Unidad Sinaloa, Sinaloa, Mexico. Spores of R. irregularis were propagated using a two-compartment Petri dish containing transformed carrot roots on minimal media with 2% Gel-rite (Sigma-Aldrich, St. Louis, MO, USA) and incubated in the dark at 23 ± 2 °C for six months according to [44].

2.2. Experimental Design

In the first experiment, germinated plants were transferred to plastic cones (Figure 1a) and grown as described by [45]. Vermiculite (100%) and vermiculite–zeolite mix (50%; 1:1 v/v) substrates were autoclaved twice for 1 h before they are added to the cones. The plants received 30 mL of Hoagland’s nutrient solution [46] twice a week, with a final concentration of 1000 µM potassium nitrate (KNO3). The plants were maintained in a controlled environment chamber (Adaptis A1000, Conviron, Pembina, ND, USA) at 25 ± 2 °C, following a 16 h light/8 h dark photoperiod for 30 days. The experiment was conducted using a randomized complete block design with four treatments: (1) vermiculite without KNO3 fertilization (VN−), (2) vermiculite with KNO3 fertilization (VN+), (3) vermiculite–zeolite without KNO3 fertilization (ZN−), and (4) vermiculite–zeolite with KNO3 fertilization (ZN+). Leaf and root dry weights were evaluated from fourteen plants for each treatment, and two independent replications were performed (Figure 1a).
Figure 1. Schematic model representation used in the experiments. (a) First experiment: arrangement of substrates (vermiculite and vermiculite–zeolite mixture) in plastic cones, treatments, and evaluation of maize plant growth. (b) Second experiment: arrangement of substrates (vermiculite–zeolite mixture with R. irregularis inoculum) in plastic cones, treatments, and evaluation of maize plant growth. Zone I (vermiculite–zeolite), Zone II (sand), and Zone III (vermiculite–zeolite). R. irregularis spores were inoculated in Zone II.
In the second experiment, plants were transferred to plastic cones (Figure 1b) and grown as described by [45]. Vermiculite–zeolite mix (50%; 1:1 v/v) substrates were autoclaved twice for 1 h, and then for the AM-colonized (M+) plants, 150 spores of R. irregularis were inoculated and evenly mixed into the sand zone. For non-colonized (M−) plants, a sand zone without spores of R. irregularis was used. All substrates were irrigated twice per week with 30 mL of Hoagland’s nutrient solution [46]. Phosphate concentration of the solution was adjusted to 20 µM with KH2PO4 to favor mycorrhizal colonization. The plants were cultivated in a controlled environment chamber at 25 ± 2 °C with a 16 h light/8 h dark photoperiod for 30 days post-inoculation (dpi). The duration of the experiments was selected based on preliminary experiments, showing that 30 dpi corresponded to maximal arbuscular development by R. irregularis, which has also been reported to be the peak period of nutrient exchange between the plant and AM fungi [38,47,48]. The experiment was a randomized complete block design with the following treatments: (1) non-colonized plants in mix substrate without KNO3 fertilization (M−ZN−), (2) colonized plants with R. irregularis in mix substrate without KNO3 fertilization (M+ZN−), (3) non-colonized plants in mix substrate with KNO3 fertilization (M−ZN+), and (4) colonized plants with R. irregularis in mix substrate with KNO3 fertilization (M+ZN+). Plant growth parameters, AM colonization, nutrient concentrations, photosynthetic pigment concentrations, chlorophyll fluorescence, and phenolic and flavonoid concentrations were assessed from nine replicates of each treatment with two independent replications (Figure 1b).

2.3. Characterization and Chemical Properties of Zeolite

Zeolite samples (1 g) were assessed using an Environmental Scanning Electron Microscope (ESEM; Carl Zeiss, Oberkochen, Germany) equipped with an elemental analysis system based on X-ray detection (EDX, Carl Zeiss, Oberkochen, Germany). The samples were processed under ambient conditions with a voltage of 15 kV and 20 Pa following the methodology described by [45]. Zeolite particle size was determined through image analysis of micrographs captured by ESEM using ImageJ software (Version 1.8.0_112). The pH of the zeolite was analyzed using a pH meter at a 1:3 ratio (w/v, zeolite: distilled water suspension).
Elemental analysis of the zeolite was determined using EDX, which provided a two-dimensional mapping of the material’s surface composition. Quantitative analysis was determined by analyzing EDX spectrograms using QUANTAX ESPRIT software version 1.9 (Bruker, Oberkochen, Germany). Results were expressed as the relative percentage of each element with respect to the sum of all elements detected in the samples corresponding to 100%. Five individual spectra and two independent experiments were performed.
N zeolite adsorption was conducted using the zeolite sample (10 g) combined with 100 mL of KNO3 solution (0, 100, 200, 300, 400, 500, 600, 700, 800, 900, and 1000 µM) prepared according to [21]. The mixture was shaken at 100 rpm for 6 h on an orbital shaker (Infors AG, Bottmingen, Switzerland) at room temperature. After 6 h, zeolite samples were separated from the solution, and they were transferred to a desiccator. N adsorption was determined by elemental composition using ESEM-EDX (Bruker, Oberkochen, Germany), and the amount of N was expressed as the percentage of N per gram of zeolite following [49].

2.4. Determination of Plant Growth

At 30 days post-treatment, maize leaves and roots were separated, and the total leaf number, height, and root length were recorded. To determine dry weight, leaves and roots were dried in an oven (Thermo Scientific, Waltham, MA, USA) at 65 °C for 48 h. For AM experiments, the roots were divided longitudinally into two sections: one section was used to determine dry weight, while the other was analyzed for AM colonization as described below. Mycorrhizal growth response (MGR) was calculated as a change in total biomass comparing non-colonized (M−) and colonized plants (M+) following the equation reported by [50].

2.5. Staining Procedures and Quantification of Mycorrhizal Colonization

To analyze AM colonization of maize roots, plants were evaluated with ZN− and ZN+ treatments. Root segments (1 cm) of maize were stained with 0.05% trypan blue in lactoglycerol [51], and the total colonization was quantified according to the line intersection method [52], under light microscopy at 20X magnification (BM-180; Boeco, Hamburg, Germany). The number of vesicles and arbuscules per colonized root length was determined by image analysis using ImageJ software (Version 1.8.0_112) as reported by [53]. For each plant, 60 root segments were assessed and two independent experiments were performed.

2.6. Nitrogen, Phosphorus, and Potassium Content Analysis

To quantify the concentrations of macronutrients, including N, P, and K in maize leaves, disks (0.6 cm in diameter) were punched from leaves in the middle section of plants. The samples were analyzed following the protocol of [45] using ESEM-EDX. Elemental mapping of N, P, and K was performed via EDX spectrograms, with concentrations expressed as percentages of each element in the leaves as reported by [49].

2.7. Photosynthetic Pigment Concentration

The concentrations of chlorophylls and carotenoids were determined in the mid-leaf sections (100–150 mg). Leaves were ground with a mortar and pestle in acetone (80%), and the resulting extracts were centrifuged at 3000× g for 15 min. The supernatants were collected, and absorbance measurements for chlorophyll a, chlorophyll b, and carotenoids were taken at 646.8, 663.2, and 470 nm, respectively. Total photosynthetic pigment concentration was calculated as per [54].

2.8. Photosynthetic Performance Analysis

The performance of photosystem II (PSII) was assessed using an OS30P fluorometer (Opti-Sciences, Hudson, NH, USA). Chlorophyll fluorescence was measured from the mid-section of the youngest fully expanded leaf as per [45]. Before evaluation, the plants were dark-adapted for 30 min to allow for the measurement of basal chlorophyll fluorescence. Subsequently, fluorescence parameters associated with PSII efficiency, including Fo, Fm, Fv/Fm, and Fv/Fo were assessed following [55].

2.9. Quantification of Phenolic and Flavonoid Metabolites

For phenolic and flavonoid compound determinations, dried maize leaves (100 mg) were placed into microcentrifuge tubes (Eppendorf, Thermo Fisher Scientific, Waltham, MA, USA) with 0.1/mL alcohol (75%). After vortexing, the solutions were centrifuged at 1300× g at 4 °C for 10 min, and the supernatants were stored at −4 °C. Total phenolic and flavonoid concentrations were determined in the supernatants as per [56]. The results were expressed as mg GAE (gallic acid equivalents) per gram of dry leaf weight for phenolics, and mg QE (quercetin equivalents) per gram of dry leaf weight for flavonoids.

2.10. Statistical Analysis

Data were processed to calculate the means and standard deviations. All data used for one-way analysis of variance (ANOVA) passed the normality test according to the Shapiro–Wilk test. Comparative analysis between all determinations was assessed using Tukey’s test and Student’s t-test (p < 0.05) using GraphPad Prism software (version 6.00; GraphPad, La Jolla, CA, USA). To explore the effects between AM symbiosis and N-enriched zeolite substrate, principal component analysis (PCA) was performed according to [57].

3. Results

3.1. Particle Size and Elemental Composition of Zeolite

ESEM image analysis revealed that the zeolite particles varied in size between 300 and 600 µm (Figure 2). The surface of zeolite granules was composed of crystals with particle sizes ranging from 1 to 10 µm (Figure 2). Thus, the crystal size on the zeolite surface is consistent with silicate crystals. Microanalysis of elemental composition using EDX showed that the zeolite is primarily made up of O, C, Si, and Al (Table S1). In addition, cations, such as Ca, Na, Mg, K, Fe, and Ti, were observed. For all five zeolite samples (Z1 to Z5), a signal corresponding to N was not detected, indicating that zeolite lacks significant N (Table S1). A zeolite suspension had an alkaline pH (8.84 ± 0.02).
Figure 2. Scanning electron micrographs of zeolite granules.

3.2. Residual N Is Retained in the Zeolite Structure

To determine the amount of N that can be retained by zeolite, samples were incubated with 0 to 1000 µM KNO3 in solution (Figure 3). The lowest percentages of N retained in the zeolite were obtained at 100 µM and 200 µM KNO3 (Figure 3). The percentage of N retained significantly increased in the zeolite up to 600 µM KNO3. Although there was no significant difference above 600 µM KNO3, the N content in the zeolite was highest at 1000 µM. (Figure 3).
Figure 3. Quantification of N percentage retained in the zeolite after incubation with KNO3 solutions at different concentrations. Bars represent the mean ± standard deviation (SD) of six replicates. Different letters indicate significant differences according to Tukey’s test (p < 0.05).
Element mapping analysis of zeolite without KNO3 (0 µM) showed that the Si distribution was relatively homogeneous on the surface (Figure 4a); however, N was not detected (Figure 4b,c). With 1000 µM KNO3, the distribution of Si was significantly increased (Figure 4d), and N distribution was detected on the zeolite surface (Figure 4e,f). Also, the amount of N was significantly increased compared to the zeolite treated without KNO3. These findings imply that zeolite possesses the capacity to retain N from a KNO3 solution on its surface.
Figure 4. Scanning electron micrographs and element mapping of zeolite particles. Si detection (green) and N detection (red) of zeolite particles under irrigation conditions of 0 and 1000 µM KNO3 (e). Panels (a,d) display Si detection, panels (b,e) show N detection, and panels (c,f) depict colocalization of Si and N in zeolite particles.

3.3. N-Enriched Zeolite Improves Maize Growth

At 30 days post-treatment, maize plants grown in vermiculite showed no significant difference in height between those treated with N (VN+) and those without (VN−). Plant height increased significantly only with vermiculite–zeolite mix treated with N (ZN+) (Figure 5a). The leaf dry weight increased 3.78 times with ZN+ compared to VN−, VN+, and ZN− treatments, which were not significantly different from each other (Figure 5b). This increase is consistent with the appearance of more aerial parts of the ZN+-treated maize (Figure 5c).
Figure 5. Effect of zeolite and N fertilization on the growth of maize plants. Height (a), dry weight of leaves (b), and morphology (c) of maize plants grown in vermiculite and zeolite with and without N. The bars represent the means ± standard deviations of fourteen individual plants harvested at 30 days. Different letters indicate significant differences according to Tukey’s test (p < 0.05). Treatments were as follows: vermiculite without N (VN−), vermiculite with N (VN+), vermiculite–zeolite mix without N (ZN−), and vermiculite–zeolite mix with N (ZN+).
Root length was increased significantly by 1.72 times with ZN+ treatment compared to those with ZN−, VN−, and VN+ treatments, which were not significantly different from each other (Figure 6a). Root dry weight significantly increased with ZN+ compared to VN− and VN+ treatments, while it was significantly lower with ZN− than VN− and VN+ treatments (Figure 6b). This increase was consistent with more and longer roots observed with the ZN+ treatment (Figure 6c).
Figure 6. Effect of zeolite and N fertilization on the root system architecture of maize plants. Root length (a), dry weight of roots (b), and root morphology (c) of maize plants grown in vermiculite and zeolite with and without N fertilization. The bars represent the means ± standard deviations of fourteen individual plants harvested at 30 days. Different letters indicate significant differences according to Tukey’s test (p < 0.05). Vermiculite without N fertilization: VN−; vermiculite with N fertilization: VN+; vermiculite–zeolite mix without N fertilization: ZN−; vermiculite–zeolite mix with N fertilization: ZN+.

3.4. N-Enriched Zeolite Enhance Mycorrhizal Colonization in Maize

The highest percentage of total AM root colonization was observed with ZN+ treatment (55.96 ± 3.91), which was significantly higher than that in roots with ZN− treatment (43.66 ± 2.71) (Figure 7a). However, the number of arbuscules per millimeter of colonized root were similar with both treatments (Figure 7b). There was also a significant increase in the number of vesicles per millimeter of colonized root with ZN+ compared to ZN− treatments (Figure 7c). In ZN-treated plant roots, microscopy images showed a substantial number of arbuscules (Figure 7d, labeled as a) with intraradical hyphae penetrating cortical cells (Figure 7d, labeled as ih), although there were few vesicles. While similar structures were observed with ZN+ treatment (Figure 7e; see labels a and ih). ZN+-treated plant roots displayed more vesicles (Figure 7e, labeled as V), indicating that the N released from the zeolite fostered more conditions for vesicle formation.
Figure 7. Quantification and light microscopic analysis of AM colonization in maize roots. Percentages of total AM colonization (a), number of arbuscules (b), and vesicles (c) per millimeter of colonized maize roots with ZN− and ZN+ treatments. Symbiotic structures of R. irregularis colonization of maize root with ZN− (d) and ZN+ (e) treatments after trypan blue staining depicting the arbuscules, vesicles, and intraradical hyphae. The bars represent the means ± standard deviations of nine individual plants harvested at 30 days post-inoculation. Different letters indicate significant differences according to Student’s t-test (p < 0.05). Treatments were vermiculite–zeolite mix without N (ZN−), and vermiculite–zeolite mix with N (ZN+). V indicates vesicles, ih indicates intraradical hyphae, and a indicates arbuscules.

3.5. AM Colonization in Combination with N-Enriched Zeolite Improves Plant Growth in Maize

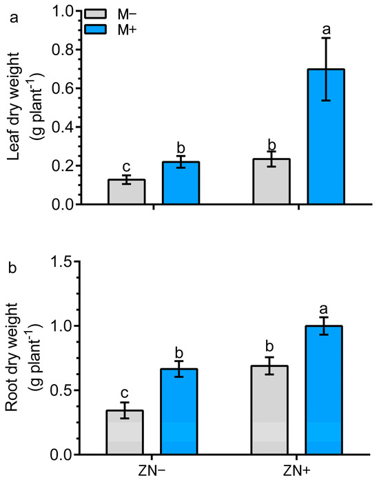
In M+ZN−-treated plants, leaf dry weight increased 1.92 times in comparison to that of MZN−-treated plants, indicating the effect of the AM fungus alone (Figure 8a). In contrast, M+ZN+-treated plants had a leaf dry weight that was 3.2 times higher than those with M−ZN+ treatment, indicating a greater effect of the AM fungus with N from zeolite. However, no significant difference was observed between M−ZN+-treated and M+ZN−-treated plants (Figure 8a). Similar results were observed for differences in root dry weight with the same treatments, although the level of response was similar for M+ZN+- and M+ZN−-treated plants (Figure 8b). Additionally, plant height increased by 1.4 times with M+ZN− compared to M−ZN−-treated plants versus 1.7 times with M+ZN+ than M−ZN+-treated plants (Figure S1). Moreover, mycorrhizal growth response (MGR) levels were higher in M+ZN+ compared to M−ZN−-treated plants (Figure S2), indicating that N fertilization is responsible for the majority of the plant growth regardless of AM colonization.
Figure 8. Combinatorial effects of AM symbiosis and N-enriched zeolite on the growth of maize plants. Dry weight of leaves (a) and roots (b) of maize plants non-colonized (M−) and R. irregularis colonized (M+) with vermiculite–zeolite mix without N (ZN−) or vermiculite–zeolite mix with N (ZN+). The bars represent the means ± standard deviations of nine individual plants harvested at 30 days post-inoculation. Different letters indicate significant differences according to Tukey’s test (p < 0.05).

3.6. The N Concentration Increases in the Leaves of Colonized Maize Plants Under N-Enriched Zeolite Condition

No changes in N concentration were observed between the leaves of M+ZN+- and M−ZN−-treated plants, but it was 1.9 times greater between the leaves of M+ZN+ than MZN+-treated plants, showing the synergistic effect of AM colonization and N from zeolite (Figure 9). The K concentration was also greatly increased in M+ZN+-treated plants (1.7 times) compared to M−ZN+-treated plants (Figure S3a). However, no differences in the P concentration were detected between ZN− and ZN+ treatments, regardless of being non-colonized or AM-colonized (Figure S3b).
Figure 9. Combinatorial effects of AM symbiosis and N-enriched zeolite on N concentration in the leaves of maize plants. N percentage in the leaves of maize plants non-colonized (M−) and R. irregularis colonized (M+) with vermiculite–zeolite mix without N (ZN−) or vermiculite–zeolite mix with N (ZN+). The bars represent the means ± standard deviations of nine individual plants harvested at 30 days post-inoculation. Different letters indicate significant differences according to Tukey’s test (p < 0.05). Photosynthesis is improved by AM symbiosis in combination with N-enriched zeolite in maize.
In M+ZN−-treated plants, significant differences were observed in total chlorophyll concentration compared to M−ZN−-treated plants (Figure 10a). However, the highest concentration of total chlorophyll (3.57 ± 0.16) was in M+ZN+-treated plants, which was significantly greater than in M−ZN+-treated plants (2.44 ± 0.34) (Figure 10a).
Figure 10. Combinatorial effects of AM symbiosis and N-enriched zeolite on photosynthetic performance in maize. Total chlorophyll (a), carotenoid concentration (b), maximal photochemical efficiency (Fv/Fm) (c) and potential photochemical efficiency (Fv/Fo) (d) in the leaves of maize plants non-colonized (M−) and R. irregularis colonized (M+) with vermiculite–zeolite mix without N (ZN−) or vermiculite–zeolite mix with N (ZN+). The bars represent the means ± standard deviations of nine individual plants harvested at 30 days post-inoculation. Different letters indicate significant differences according to Tukey’s test (p < 0.05).
Differences in carotenoid concentration between treatments were similar to those observed in total chlorophyll (Figure 10b). With M−ZN− and M+ZN− treatments, the maximal photochemical efficiency (Fv/Fm) was less than 0.80. With the ZN+ treatment, no significant differences in Fv/Fm ratio were observed between M−- and M+-treated plants, but the values were significantly greater than those of M−ZN−- and M+ZN−-treated plants, indicating an effect of only the N from zeolite (Figure 10c). The potential photochemical efficiency (Fv/Fo) was significantly higher in both M−ZN+- and M+ZN+-treated plants compared to M−ZN−- and M+ZN−-treated plants, also indicating an effect of only the N from zeolite (Figure 10d). Additional chlorophyll fluorescence values, including Fo, Fm, and Fv, are provided in Figure S4. These results demonstrate that using zeolite with N increased both the amount of chlorophyll and carotenoid with a corresponding increase in photosynthetic performance regardless of AM symbiosis.

3.7. Specialized Metabolites Increase by AM Symbiosis in Combination with N-Enriched Zeolite in Maize

The concentration of total phenolic compounds was similar for M−ZN−- and M+ZN−-treated plants (Figure 11a). However, M+ZN+-treated plants had a concentration of total phenolic compounds 1.7 times higher than that of M−ZN+-treated plants (Figure 11a). For flavonoid concentration, no significant differences were observed in plants with M−ZN− and M+ZN−-treated plants (Figure 11b). Notably, the flavonoid concentration in M+ZN+-treated plants was 3 times higher than that in M−ZN+-treated plants, and both treatments resulted in significantly higher concentrations than M−ZN−- and M+ZN−-treated plants (Figure 11b).
Figure 11. Combinatorial effects of AM symbiosis and N-enriched zeolite on specialized metabolite concentrations in maize plants. Total phenolic (a) and flavonoid compounds (b) in leaves of maize plants non-colonized (M−) and R. irregularis colonized (M+) with vermiculite–zeolite mix without N (ZN−) or vermiculite–zeolite mix with N (ZN+). The bars represent the means ± standard deviations of nine individual plants harvested at 30 days post-inoculation. Different letters indicate significant differences according to Tukey’s test (p < 0.05).

3.8. Multivariate Principal Component Analysis

Principal component analysis (PCA) was conducted on all examined parameters, explaining 68% of the total variance in the dataset. As shown in Figure S5, the first principal component (PC1) explained 73.2% of the variance, while the second principal component (PC2) accounted for 16.1%. PC1 was associated with all parameters and treatments were divided into four groups through the vector and cosine. The PCA results showed that M+ZN+ treatment resulted in frequent vectors, including root and leaf dry weight, total chlorophyll, carotenoids, N content in leaves, and phenolic and flavonoid compounds, as well as R. irregularis colonization, while Fv/Fo and Fv/Fm were most closely associated with the M−ZN+-treated plant samples (Figure S5). Interestingly, no vectors were grouped under M−ZN− and M+ZN− treatments. The results from the multivariate analysis demonstrated that the combination of N-enriched zeolite and R. irregularis colonization positively influenced nearly all parameters assessed which are associated with the yield of maize.

4. Discussion

4.1. N-Enriched Zeolite Is an Effective Alternative for Promoting Plant Growth in Maize

It is well known that the chemical and physical characteristics of each type of zeolite define its effectiveness for nutrient adsorption and desorption [21,33,58,59]. The particle size of the zeolite used in this study ranged between 1 and 10 μm, and the elemental composition showed that it mainly contained Si, Al, and cations, such as Ca, Mg, K, Fe, and Na. These results are similar to the chemical composition reported in several other types of zeolites [22,58,60], suggesting that Si is the major constituent which can be replaced by Al to define the charges on the mineral that can bind NH4+ and NO3 [21,58,61]. In this study, the application of KNO3 resulted in a relatively high N content retained in the zeolite, indicating its ability to retain N from KNO3. Furthermore, the zeolite had an alkaline pH, which can increase the retention of N from KNO3 [62].
This study demonstrated that N from zeolite can support plant growth, presumably following the release of N into the substrate and then the uptake by the roots. For example, ZN+ treatment increased the dry weight of maize leaves by 2.42 times and the root dry weight by 1.58 times compared to ZN− treatment. This is the first report of the beneficial effects of zeolite on plant growth using nitrate-amended zeolite. Examples of previous reports of the use of zeolite for N release in soil have been with zeolite to improve sunflower growth when combined with composted manure, and zeolite to slow ammonium and nitrate release into soil without an examination of plant growth [20,21]. Overall, it appears that zeolite can serve as an alternative delivery system for N for plant growth. As the release of N has been shown to be much slower from zeolite than N applied directly to soil [58], applying KNO3 via zeolite may help reduce N overfertilization while still promoting plant growth in maize and likely other important crops.

4.2. The Synergistic Combination of N-Enriched Zeolite and AM Symbiosis Improves the Physiological and Nutritional Fitness of Maize Plants

AM symbiosis is well known for its ability to enhance plant nutrient uptake, particularly P but other nutrients as well, such as N [4,9,63]. This work is the first report that N-enriched zeolite can promote colonization of plant roots with an AM fungus, R. irregularis, as indicated by greater amounts of hyphae, vesicles, and arbuscules observed in roots compared to N-free zeolite-treated plant roots. Although higher nitrate was reported to reduce the AM colonization of roots, nitrate was a relatively weakly inhibitor of AM colonization compared to P, indicating that its effect may not be that great, at least as reported in Petunia hybrida [40]. It appears that the proportion of P and N, rather than the absolute amounts of each, may be more important for AM colonization, with high levels of both being inhibitory. For example, higher P did not affect AM colonization under N-limiting conditions, but it suppressed colonization under higher N conditions [64]. There is also genetic variability in the response of AM fungi to applied N. In maize roots, the biomass of a mixture of AM fungal phylotypes, belonging to the Glomeraceae and Acaulosporaceae, was not significantly influenced by N fertilization, although their phylotype richness and Shannon–Weiner diversity index was mostly decreased with the highest N rate [42]. This was due to some AM phylotypes decreasing while others increasing with higher N. Thus, it is possible that the strain of R. irregularis, which belongs to Glomeraceae, used in this study may be one that has improved colonization under high-N and low-P conditions in maize. Future studies could examine if other AM fungi respond similarly, and if higher levels of P might reduce the beneficial effects of N added to AM colonization.
While the nutritional benefits of zeolite and AM symbiosis have been demonstrated to enhance plant growth in maize [25,29,35,36], this is the first study to show that there are synergistic effects when the two are combined. Colonization by R. irregularis (M+) with N-enriched zeolite led to the highest leaf and root dry weight in maize, demonstrating the importance of AM colonization. This could be a result of the AM fungus activating high-affinity mycorrhiza-specific ammonium transporters (AMTs) during symbiosis to enhance N uptake through the mycorrhizal N uptake pathway, resulting in the maize growth promotion, as has been reported for other plant species, such as Lactuca sativa L. [65], M. truncatula [66], P. hybrida [40], O. sativa [9], and Z. mays [38]. Although the evaluation of AMTs was not included in this study, the observed increases in N concentration in the leaves of plants treated with R. irregularis and N-enriched zeolite support a synergistic effect of N-enriched zeolite and AM symbiosis on nutrient accumulation and plant growth.
The positive effects of AM symbiosis on photosynthetic performance have been widely demonstrated [45,67,68]. For example, in maize, inoculation with G. mosseae resulted in a 20% increase in Fv/Fm and Fv/Fo [69]. However, the effect depends on the AM fungus. Inoculation with R. intraradices resulted in a higher Fv/Fm in maize plants than with Rhizophagus clarus and Claroideoglomus etunicatum inoculation [70]. Application of N also has positive effects on photosynthetic performance by influencing leaf structure and nitrogen allocation, whereas nitrogen stress results in plants using more N for bioenergetics to maintain a high electron transport rate [71]. In healthy plants, Fv/Fm and Fv/Fo are used as indicators of photosynthetic performance. Values of the Fv/Fm ratio are approx. 0.80 in healthy plants, but under stress conditions, the ratio can decrease below 0.80 [55]. Likewise, an Fv/Fo ratio between 4.0 and 5.0 is found for healthy plants, and values less than 4.0 can result from stress conditions [55]. In this work, the highest differences in the Fv/Fm and Fv/Fo ratios were observed in ZN+-treated plants independent of R. irregularis treatment. The Fv/Fm and Fv/Fo ratios were thus not directly related to the increased levels of photosynthetic pigments in the leaves, which were observed in M+ZN+- versus M−ZN+-treated plants, suggesting that the effect on pigments was dependent on R. irregularis treatment. Similar increases in photosynthetic pigments with AM colonization have been observed for M. truncatula, O. sativa, Z. mays, and S. rebaudiana under different stress conditions [45,68,72,73], These finding highlight the potential for optimizing both photosynthetic performance and photosynthetic pigments in maize through the combined action of an AM fungus and N released from zeolite.
Application of N typically reduces the concentrations of plant phenolics and flavonoids [74,75]. However, AM fungal colonization can increase plant phenolics and flavonoids [53,76,77]. In this study, M+ZN+ maize plants had enhanced concentrations of total phenolic and flavonoid compounds compared to M+ZN− plants. This supports the idea that the induction of phenolic and flavonoid compounds was more affected by the increase in AM symbiosis due to its promotion by N-enriched zeolite. Possibly, this arose from a systemic response initiated by the AM fungus within the plant’s root system, where extensive development of arbuscules was observed.
Finally, PCA showed that both R. irregularis and N-enriched zeolite positively influences the physiological and nutritional fitness of maize. The combination enhanced photosynthetic activity, nutrient uptake, and the concentration of secondary metabolites compared to either zeolite or AM symbiosis alone. These findings support the hypothesis that N-enriched zeolite positively influences the establishment of AM symbiosis, thereby promoting the root uptake of N, and the combination promotes the growth and physiological health of maize plants.

5. Conclusions

Zeolite can provide a sustained-release, long-term N supply to maize plants. It efficiently retains N on its surface, resulting in a significant growth enhancement of maize compared to maize grown solely in vermiculite. When enriched with N, zeolite not only improves the nutritional supply but also fosters a notable increase in colonization by the AM fungus, R. irregularis. This enhanced colonization is associated with greater arbuscule development, which is correlated with increased nutrient exchange and thus better growth of colonized plants compared to those with other treatments, regardless of their symbiotic status. The combination of N-enriched zeolite and AM symbiosis resulted in significant improvements in plant performance, including increased levels of nutrient uptake, leaf photosynthetic pigments, photosynthetic efficiency, and production of secondary metabolites in maize plants. Taken together, this highlights the potential of the combination of N-enriched zeolite and AM symbiosis in agriculture to improve plant growth and yield efficiency. Future studies should focus on understanding the long-term effects of the combined action of N-enriched zeolite and AM symbiosis on maize crops under field conditions. Additionally, research should aim to elucidate the molecular mechanisms involved in enhancing N uptake through AM symbiosis, to better optimize nutrient management strategies in agricultural systems.

Supplementary Materials

The following supporting information can be downloaded at: https://www.mdpi.com/article/10.3390/agronomy15010156/s1, Figure S1: Effects of mycorrhizal colonization on the height of maize plants. The height of maize plants non-colonized (M−) and colonized (M+) by R. irregularis in ZN− and ZN+ conditions. The bars represent the means ± standard deviations of nine individual plants harvested at 30 days post-inoculation. Different letters indicate significant differences according to Tukey’s test (p < 0.05). Vermiculite–zeolite mix without N fertilization: ZN−; vermiculite–zeolite mix with N fertilization: ZN+; Figure S2: Mycorrhizal growth response (MGR) of maize plants non-colonized (M−) and colonized (M+) by R. irregularis in ZN− and ZN+ conditions. The bars represent the means ± standard deviations of nine individual plants harvested at 30 days post-inoculation. Different letters indicate significant differences according to Student’s t-test (p < 0.05). Vermiculite–zeolite mix without N fertilization: ZN−; vermiculite–zeolite mix with N fertilization: ZN+; Figure S3: Quantification of P and K concentration in the leaves of maize plants. (a) K percentage and (b) P percentage in the leaves of maize plants non-colonized (M−) and colonized (M+) by R. irregularis in ZN− and ZN+ conditions. The bars represent the means ± standard deviations of nine individual plants harvested at 30 days post-inoculation. Different letters indicate significant differences according to Tukey’s test (p < 0.05). Vermiculite–zeolite mix without N fertilization: ZN−; vermiculite–zeolite mix with N fertilization: ZN+; Figure S4: Effect of AM symbiosis and N-enriched zeolite on chlorophyll fluorescence in maize. (a) Primary fluorescence (Fo), (b) maximal fluorescence (Fm), and (c) variable fluorescence (Fv) in the leaves of maize plants non-colonized (M−) and colonized (M+) by R. irregularis in ZN− and ZN+ conditions. The bars represent the means ± standard deviations of nine individual plants harvested at 30 days post-inoculation. Different letters indicate significant differences according to Tukey’s test (p < 0.05). Vermiculite–zeolite mix without N fertilization: ZN−; vermiculite–zeolite mix with N fertilization: ZN+; Figure S5: Principal component analysis showing the results of plant growth parameters, photosynthetic pigments, chlorophyll fluorescence, specialized metabolites, and AM colonization of maize plant growth in M-ZN- (blue dots), M+ZN- (red dots), M-ZN+ (purple dots), and M+ZN+ (green dots) treatments. M-: non-colonized; M+: colonized by R. irregularis; ZN−: vermiculite–zeolite mix without N fertilizationZN−; ZN+: vermiculite–zeolite mix with N fertilizationZN+; Table S1: Elemental composition of zeolite analyzed by energy-dispersive X-ray spectroscopy.

Author Contributions

Conceptualization, L.G.S.-L. and L.C.; methodology, O.S. and D.T.-M.; validation, L.C., L.G.S.-L. and M.E.C.-S.; formal analysis, L.G.S.-L., D.T.-M. and L.C.; investigation, A.M.-A. and M.E.C.-S.; data curation, A.M.-A., C.Q. and D.T.-M.; writing—original draft preparation, L.G.S.-L., L.C. and M.E.C.-S.; writing—review and editing, C.Q.; visualization, L.G.S.-L.; validation, P.H.G.; visualization, P.H.G.; writing—review and editing, P.H.G.; formal analysis, L.C.; project administration, L.C.; funding acquisition, L.C. All authors have read and agreed to the published version of the manuscript.

Funding

This work was conducted with the support of Dirección General de Asuntos del Personal Académico PAPIIT-UNAM IN221224, IN209118 and CV200519 and Fronteras de la Ciencia CONAHCyT 2023 No. 1032.

Data Availability Statement

This study includes all supporting data, which can be obtained from the corresponding authors upon request.

Acknowledgments

We owe special thanks to Juan E. Olivares Grajales for technical assistance and Nutre y Fortalece S.A. de C.V.

Conflicts of Interest

The authors declare no conflicts of interest.

References

  1. Kumar, A.; Verma, J.P. Does Plant—Microbe Interaction Confer Stress Tolerance in Plants: A Review? Microbiol. Res. 2018, 207, 41–52. [Google Scholar] [CrossRef] [PubMed]
  2. Wang, W.; Shi, J.; Xie, Q.; Jiang, Y.; Yu, N.; Wang, E. Nutrient Exchange and Regulation in Arbuscular Mycorrhizal Symbiosis. Mol. Plant 2017, 10, 1147–1158. [Google Scholar] [CrossRef]
  3. Suman, J.; Rakshit, A.; Ogireddy, S.D.; Singh, S.; Gupta, C.; Chandrakala, J. Microbiome as a Key Player in Sustainable Agriculture and Human Health. Front. Soil Sci. 2022, 2, 821589. [Google Scholar] [CrossRef]
  4. Harrison, M.J. Cellular Programs for Arbuscular Mycorrhizal Symbiosis. Curr. Opin. Plant Biol. 2012, 15, 691–698. [Google Scholar] [CrossRef]
  5. Oldroyd, G.E.D. Speak, Friend, and Enter: Signalling Systems That Promote Beneficial Symbiotic Associations in Plants. Nat. Rev. Microbiol. 2013, 11, 252–263. [Google Scholar] [CrossRef]
  6. Spatafora, J.W.; Chang, Y.; Benny, G.L.; Lazarus, K.; Smith, M.E.; Berbee, M.L.; Bonito, G.; Corradi, N.; Grigoriev, I.; Gryganskyi, A.; et al. A Phylum-Level Phylogenetic Classification of Zygomycete Fungi Based on Genome-Scale Data. Mycologia 2016, 108, 1028–1046. [Google Scholar] [CrossRef]
  7. Gutjahr, C.; Parniske, M. Cell and Developmental Biology of Arbuscular Mycorrhiza Symbiosis. Annu. Rev. Cell Dev. Biol. 2013, 29, 593–617. [Google Scholar] [CrossRef]
  8. Calabrese, S.; Pérez-Tienda, J.; Ellerbeck, M.; Arnould, C.; Chatagnier, O.; Boller, T.; Schüßler, A.; Brachmann, A.; Wipf, D.; Ferrol, N.; et al. GintAMT3—A Low-Affinity Ammonium Transporter of the Arbuscular Mycorrhizal Rhizophagus irregularis. Front. Plant Sci. 2016, 7, 679. [Google Scholar] [CrossRef] [PubMed]
  9. Wang, S.; Chen, A.; Xie, K.; Yang, X.; Luo, Z.; Chen, J.; Zeng, D.; Ren, Y.; Yang, C.; Wang, L.; et al. Functional Analysis of the OsNPF4.5 Nitrate Transporter Reveals a Conserved Mycorrhizal Pathway of Nitrogen Acquisition in Plants. Proc. Natl. Acad. Sci. USA 2020, 117, 16649–16659. [Google Scholar] [CrossRef]
  10. Frey, B.; Schüepp, H. Acquisition of Nitrogen by External Hyphae of Arbuscular Mycorrhizal Fungi Associated with Zea mays L. New Phytol. 1993, 124, 221–230. [Google Scholar] [CrossRef]
  11. Masclaux-Daubresse, C.; Daniel-Vedele, F.; Dechorgnat, J.; Chardon, F.; Gaufichon, L.; Suzuki, A. Nitrogen Uptake, Assimilation and Remobilization in Plants: Challenges for Sustainable and Productive Agriculture. Ann. Bot. 2010, 105, 1141–1157. [Google Scholar] [CrossRef] [PubMed]
  12. Zhang, H.Q.; Shen, R.F.; Zhao, X.Q. Nitrogen Source Preference in Maize at Seedling Stage Is Mainly Dependent on Growth Medium PH. Agronomy 2022, 12, 2149. [Google Scholar] [CrossRef]
  13. McCoy, J.M.; Kaur, G.; Golden, B.R.; Orlowski, J.M.; Cook, D.R.; Bond, J.A.; Cox, M.S. Nitrogen Fertilization of Soybean Affects Root Growth and Nodulation on Two Soil Types in Mississippi. Commun. Soil Sci. Plant Anal. 2018, 49, 181–187. [Google Scholar] [CrossRef]
  14. Dumanović, J.; Nepovimova, E.; Natić, M.; Kuča, K.; Jaćević, V. The Significance of Reactive Oxygen Species and Antioxidant Defense System in Plants: A Concise Overview. Front. Plant Sci. 2021, 11, 552969. [Google Scholar] [CrossRef]
  15. Uhart, S.A.; Andrade, F.H. Nitrogen Deficiency in Maize: I. Effects on Crop Growth, Development, Dry Matter Partitioning, and Kernel Set. Crop Sci. 1995, 35, 1376–1383. [Google Scholar] [CrossRef]
  16. Ren, N.; Wang, Y.; Ye, Y.; Zhao, Y.; Huang, Y.; Fu, W.; Chu, X. Effects of Continuous Nitrogen Fertilizer Application on the Diversity and Composition of Rhizosphere Soil Bacteria. Front. Microbiol. 2020, 11, 1948. [Google Scholar] [CrossRef] [PubMed]
  17. Eroglu, N.; Emekci, M.; Athanassiou, C.G. Applications of Natural Zeolites on Agriculture and Food Production. J. Sci. Food Agric. 2017, 97, 3487–3499. [Google Scholar] [CrossRef] [PubMed]
  18. Vinaches, P.; Bernardo-Gusmão, K.; Pergher, S.B.C. An Introduction to Zeolite Synthesis Using Imidazolium-Based Cations as Organic Structure-Directing Agents. Molecules 2017, 22, 1307. [Google Scholar] [CrossRef]
  19. Soudejani, H.T.; Kazemian, H.; Inglezakis, V.J.; Zorpas, A.A. Application of Zeolites in Organic Waste Composting: A Review. Biocatal. Agric. Biotechnol. 2019, 22, 101396. [Google Scholar] [CrossRef]
  20. Gholamhoseini, M.; Ghalavand, A.; Khodaei-Joghan, A.; Dolatabadian, A.; Zakikhani, H.; Farmanbar, E. Zeolite-Amended Cattle Manure Effects on Sunflower Yield, Seed Quality, Water Use Efficiency and Nutrient Leaching. Soil Tillage Res. 2013, 126, 193–202. [Google Scholar] [CrossRef]
  21. Latifah, O.; Ahmed, O.H.; Majid, N.M.A. Enhancing Nitrogen Availability from Urea Using Clinoptilolite Zeolite. Geoderma 2017, 306, 152–159. [Google Scholar] [CrossRef]
  22. Iskander, A.L.; Khald, E.M.; Sheta, A.S. Zinc and Manganese Sorption Behavior by Natural Zeolite and Bentonite. Ann. Agric. Sci. 2011, 56, 43–48. [Google Scholar] [CrossRef]
  23. Lim, S.S.; Lee, D.S.; Kwak, J.H.; Park, H.J.; Kim, H.Y.; Choi, W.J. Fly Ash and Zeolite Amendments Increase Soil Nutrient Retention but Decrease Paddy Rice Growth in a Low Fertility Soil. J. Soils Sediments 2016, 16, 756–766. [Google Scholar] [CrossRef]
  24. Conversa, G.; Pacifico, S.; La Rotonda, P.; Lazzizera, C.; Bonasia, A.; Elia, A. Foliar Application of Natural Zeolites Affects the Growth and Productivity of Processing Tomato. Eur. J. Agron. 2024, 154, 127100. [Google Scholar] [CrossRef]
  25. Amirahmadi, E.; Ghorbani, M.; Moudrý, J. Effects of Zeolite on Aggregation, Nutrient Availability, and Growth Characteristics of Corn (Zea mays L.) in Cadmium-Contaminated Soils. Water Air. Soil Pollut. 2022, 233, 436. [Google Scholar] [CrossRef]
  26. Li, Y.; Xia, G.; Wu, Q.; Chen, W.; Lin, W.; Zhang, Z.; Chen, Y.; Chen, T.; Siddique, K.H.M.; Chi, D. Zeolite Increases Grain Yield and Potassium Balance in Paddy Fields. Geoderma 2021, 405, 115397. [Google Scholar] [CrossRef]
  27. Ibrahim, H.M.S.; Mahmoud, A.W.M.; Soliman, M.M.; Heider, S.M.; Abdel Mottaleb, S. Assessing Biochar, Clinoptilolite Zeolite and Zeo-Char Loaded Nano-Nitrogen for Boosting Growth Performance and Biochemical Ingredients of Peace Lily (Spathiphyllum wallisii) Plant under Water Shortage. BMC Plant Biol. 2024, 24, 924. [Google Scholar] [CrossRef] [PubMed]
  28. Domenico, P. Optimised Fertilisation with Zeolitites Containing Plant Growth Promoting Rhizobacteria (PGPR) in Ranunculus Asiaticus. GSC Biol. Pharm. Sci. 2020, 10, 096–102. [Google Scholar] [CrossRef]
  29. Real-Santillán, R.O.; del-Val, E.; Cruz-Ortega, R.; Contreras-Cornejo, H.Á.; González-Esquivel, C.E.; Larsen, J. Increased Maize Growth and P Uptake Promoted by Arbuscular Mycorrhizal Fungi Coincide with Higher Foliar Herbivory and Larval Biomass of the Fall Armyworm Spodoptera frugiperda. Mycorrhiza 2019, 29, 615–622. [Google Scholar] [CrossRef] [PubMed]
  30. Belay, M.K. Growth, Yield-Related Traits and Yield of Lowland Maize (Zea mays L.) Varieties as Influenced by Inorganic NPS and N Fertilizer Rates at Babile, Eastern Ethiopia. Int. J. Agron. 2020, 2020, 8811308. [Google Scholar] [CrossRef]
  31. Ndayisaba, P.C.; Kuyah, S.; Midega, C.A.O.; Mwangi, P.N.; Khan, Z.R. Intercropping Desmodium and Maize Improves Nitrogen and Phosphorus Availability and Performance of Maize in Kenya. Field Crops Res. 2021, 263, 108067. [Google Scholar] [CrossRef]
  32. Tsai, C.Y.; Dweikat, I.; Huber, D.M.; Warren, H.L. Interrelationship of Nitrogen Nutrition with Maize (Zea mays) Grain Yield, Nitrogen Use Efficiency and Grain Quality. J. Sci. Food Agric. 1992, 58, 1–8. [Google Scholar] [CrossRef]
  33. Sun, C.X.; Hao, L.; Wang, D.; Li, C.; Zhang, C.; Chen, X.; Fu, J.; Zhang, Y.L. Nitrogen Utilisation and Metabolism in Maize (Zea mays L.) Plants under Different Rates of Biochar Addition and Nitrogen Input Conditions. Plant Biol. 2019, 21, 882–890. [Google Scholar] [CrossRef] [PubMed]
  34. Berta, G.; Copetta, A.; Gamalero, E.; Bona, E.; Cesaro, P.; Scarafoni, A.; D’Agostino, G. Maize Development and Grain Quality Are Differentially Affected by Mycorrhizal Fungi and a Growth-Promoting Pseudomonad in the Field. Mycorrhiza 2014, 24, 161–170. [Google Scholar] [CrossRef] [PubMed]
  35. Gómez-Leyva, J.F.; Segura-Castruita, M.A.; Hernández-Cuevas, L.V.; Íñiguez-Rivas, M. Arbuscular Mycorrhizal Fungi Associated with Maize (Zea mays L.) in the Formation and Stability of Aggregates in Two Types of Soil. Microorganisms 2023, 11, 2615. [Google Scholar] [CrossRef]
  36. Li, M.; Perez-Limón, S.; Ramírez-Flores, M.R.; Barrales-Gamez, B.; Meraz-Mercado, M.A.; Ziegler, G.; Baxter, I.; Olalde-Portugal, V.; Sawers, R.J.H. Mycorrhizal Status and Host Genotype Interact to Shape Plant Nutrition in Field Grown Maize (Zea mays ssp. mays). Mycorrhiza 2023, 33, 345–358. [Google Scholar] [CrossRef]
  37. Wang, Z.; Lian, J.; Liang, J.; Wei, H.; Chen, H.; Hu, W.; Tang, M. Arbuscular Mycorrhizal Symbiosis Modulates Nitrogen Uptake and Assimilation to Enhance Drought Tolerance of Populus cathayana. Plant Physiol. Biochem. 2024, 210, 108648. [Google Scholar] [CrossRef]
  38. Hui, J.; An, X.; Li, Z.; Neuhäuser, B.; Ludewig, U.; Wu, X.; Schulze, W.X.; Chen, F.; Feng, G.; Lambers, H.; et al. The Mycorrhiza-Specific Ammonium Transporter ZmAMT3;1 Mediates Mycorrhiza-Dependent Nitrogen Uptake in Maize Roots. Plant Cell 2022, 34, 4066–4087. [Google Scholar] [CrossRef]
  39. Wang, Y.; Zhou, W.; Wu, J.; Xie, K.; Li, X. LjAMT2;2 Promotes Ammonium Nitrogen Transport during Arbuscular Mycorrhizal Fungi Symbiosis in Lotus japonicus. Int. J. Mol. Sci. 2022, 23, 9522. [Google Scholar] [CrossRef] [PubMed]
  40. Nouri, E.; Breuillin-Sessoms, F.; Feller, U.; Reinhardt, D. Phosphorus and Nitrogen Regulate Arbuscular Mycorrhizal Symbiosis in Petunia hybrida. PLoS ONE 2014, 9, e90841. [Google Scholar] [CrossRef]
  41. Blanke, V.; Renker, C.; Wagner, M.; Füllner, K.; Held, M.; Kuhn, A.J.; Buscot, F. Nitrogen Supply Affects Arbuscular Mycorrhizal Colonization of Artemisia vulgaris in a Phosphate-Polluted Field Site. New Phytol. 2005, 166, 981–992. [Google Scholar] [CrossRef] [PubMed]
  42. Tian, H.; Drijber, R.A.; Zhang, J.L.; Li, X.L. Impact of Long-Term Nitrogen Fertilization and Rotation with Soybean on the Diversity and Phosphorus Metabolism of Indigenous Arbuscular Mycorrhizal Fungi within the Roots of Maize (Zea mays L.). Agric. Ecosyst. Environ. 2013, 164, 53–61. [Google Scholar] [CrossRef]
  43. Estrada-Navarrete, G.; Alvarado-Affantranger, X.; Olivares, J.E.; Guillén, G.; Díaz-Camino, C.; Campos, F.; Quinto, C.; Gresshoff, P.M.; Sanchez, F. Fast, Efficient and Reproducible Genetic Transformation of Phaseolus Spp. by Agrobacterium rhizogenes. Nat. Protoc. 2007, 2, 1819–1824. [Google Scholar] [CrossRef]
  44. Bécard, G.; Fortin, J.A. Early Events of Vesicular–Arbuscular Mycorrhiza Formation on Ri T-DNA Transformed Roots. New Phytol. 1988, 108, 211–218. [Google Scholar] [CrossRef] [PubMed]
  45. Sarmiento-López, L.G.; López-Meyer, M.; Sepúlveda-Jiménez, G.; Cárdenas, L.; Rodríguez-Monroy, M. Photosynthetic Performance and Stevioside Concentration Are Improved by the Arbuscular Mycorrhizal Symbiosis in Stevia rebaudiana under Different Phosphate Concentrations. PeerJ 2020, 8, e10173. [Google Scholar] [CrossRef] [PubMed]
  46. Hoagland, D.R.; Arnon, D.I. The Water-Culture Method for Growing Plants without Soil. Soil Sci. 1950, 48, 356. [Google Scholar] [CrossRef]
  47. Harrison, M.J. A Phosphate Transporter from Medicago truncatula Involved in the Acquisition of Phosphate Released by Arbuscular Mycorrhizal Fungi. Plant Cell Online 2002, 14, 2413–2429. [Google Scholar] [CrossRef]
  48. Volpe, V.; Giovannetti, M.; Sun, X.G.; Fiorilli, V.; Bonfante, P. The Phosphate Transporters LjPT4 and MtPT4 Mediate Early Root Responses to Phosphate Status in Non Mycorrhizal Roots. Plant Cell Environ. 2016, 39, 660–671. [Google Scholar] [CrossRef]
  49. Guerrero-Molina, M.F.; Lovaisa, N.C.; Salazar, S.M.; Díaz-Ricci, J.C.; Pedraza, R.O. Elemental Composition of Strawberry Plants Inoculated with the Plant Growth-Promoting Bacterium Azospirillum brasilense REC3, Assessed with Scanning Electron Microscopy and Energy Dispersive X-Ray Analysis. Plant Biol. 2014, 16, 726–731. [Google Scholar] [CrossRef]
  50. Smith, S.E.; Jakobsen, I.; Gronlund, M.; Smith, F.A. Roles of Arbuscular Mycorrhizas in Plant Phosphorus Nutrition: Interactions between Pathways of Phosphorus Uptake in Arbuscular Mycorrhizal Roots Have Important Implications for Understanding and Manipulating Plant Phosphorus Acquisition. Plant Physiol. 2011, 156, 1050–1057. [Google Scholar] [CrossRef]
  51. Phillips, J.M.; Hayman, D.S. Improved Procedures for Clearing Roots and Staining Parasitic and Vesicular-Arbuscular Mycorrhizal Fungi for Rapid Assessment of Infection. Trans. Br. Mycol. Soc. 1970, 55, 158–161. [Google Scholar] [CrossRef]
  52. Giovannetti, M.; Mosse, B. An Evaluation of Techniques for Measuring Vesicular Arbuscular Mycorrhizal Infection in Roots. New Phytol. 1980, 84, 489–500. [Google Scholar] [CrossRef]
  53. Sarmiento-López, L.G.; López-Meyer, M.; Sepúlveda-Jiménez, G.; Cárdenas, L.; Rodríguez-Monroy, M. Arbuscular Mycorrhizal Symbiosis in Stevia rebaudiana Increases Trichome Development, Flavonoid and Phenolic Compound Accumulation. Biocatal. Agric. Biotechnol. 2021, 31, 101889. [Google Scholar] [CrossRef]
  54. Lichtenthaler, H.K. Chlorophylls and Carotenoids: Pigments of Photosynthetic Biomembranes. Methods Enzymol. 1987, 148, 350–382. [Google Scholar] [CrossRef]
  55. Baker, N.R. Chlorophyll Fluorescence: A Probe of Photosynthesis in vivo. Annu. Rev. Plant Biol. 2008, 59, 89–113. [Google Scholar] [CrossRef] [PubMed]
  56. Oviedo-Pereira, D.G.; López-Meyer, M.; Evangelista-Lozano, S.; Sarmiento-López, L.G.; Sepúlveda-Jiménez, G.; Rodríguez-Monroy, M. Enhanced Specialized Metabolite, Trichome Density, and Biosynthetic Gene Expression in Stevia rebaudiana (Bertoni) Bertoni Plants Inoculated with Endophytic Bacteria Enterobacter Hormaechei. PeerJ 2022, 10, e13675. [Google Scholar] [CrossRef] [PubMed]
  57. Abdelsattar, A.M.; El-Esawi, M.A.; Elsayed, A.; Heikal, Y.M. Comparison between Bacterial Bio-Formulations and Gibberellic Acid Effects on Stevia rebaudiana Growth and Production of Steviol Glycosides through Regulating Their Encoding Genes. Sci. Rep. 2024, 14, 24130. [Google Scholar] [CrossRef] [PubMed]
  58. Latifah, O.; Ahmed, O.H.; Majid, N.M.A. Short Term Enhancement of Nutrients Availability in Zea mays L. Cultivation on an Acid Soil Using Compost and Clinoptilolite Zeolite. Compost Sci. Util. 2017, 25, 22–35. [Google Scholar] [CrossRef]
  59. Lamhamedi, M.S.; Renaud, M.; Auger, I.; Fortin, J.A. Granular Calcite Stimulates Natural Mycorrhization and Growth of White Spruce Seedlings in Peat-Based Substrates in Forest Nursery. Microorganisms 2020, 8, 1088. [Google Scholar] [CrossRef] [PubMed]
  60. Shoumkova, A.; Stoyanova, V. Zeolites Formation by Hydrothermal Alkali Activation of Coal Fly Ash from Thermal Power Station “Maritsa 3”, Bulgaria. Fuel 2013, 103, 533–541. [Google Scholar] [CrossRef]
  61. De Campos Bernardi, A.C.; Anchão Oliviera, P.P.; De Melo Monte, M.B.; Souza-Barros, F. Brazilian Sedimentary Zeolite Use in Agriculture. Microporous Mesoporous Mater. 2013, 167, 16–21. [Google Scholar] [CrossRef]
  62. Torma, S.; Vilcek, J.; Adamisin, P.; Huttmanova, E.; Hronec, O. Influence of Natural Zeolite on Nitrogen Dynamics in Soil. Turkish J. Agric. For. 2014, 38, 739–744. [Google Scholar] [CrossRef]
  63. Smith, S.E.; Read, D.J. Mycorrhizal Symbiosis; Elsevier: Amsterdam, The Netherlands, 2008; ISBN 9780123705266. [Google Scholar]
  64. Sylvia, D.M.; Neal, L.H. Nitrogen Affects the Phosphorus Response of VA Mycorrhiza. New Phytol. 1990, 115, 303–310. [Google Scholar] [CrossRef] [PubMed]
  65. Azcón, R.; Ambrosano, E.; Charest, C. Nutrient Acquisition in Mycorrhizal Lettuce Plants under Different Phosphorus and Nitrogen Concentration. Plant Sci. 2003, 165, 1137–1145. [Google Scholar] [CrossRef]
  66. Javot, H.; Penmetsa, R.V.; Breuillin, F.; Bhattarai, K.K.; Noar, R.D.; Gomez, S.K.; Zhang, Q.; Cook, D.R.; Harrison, M.J. Medicago truncatula Mtpt4 Mutants Reveal a Role for Nitrogen in the Regulation of Arbuscule Degeneration in Arbuscular Mycorrhizal Symbiosis. Plant J. 2011, 68, 954–965. [Google Scholar] [CrossRef]
  67. Yang, Y.; Han, X.; Liang, Y.; Ghosh, A.; Chen, J.; Tang, M. The Combined Effects of Arbuscular Mycorrhizal Fungi (AMF) and Lead (Pb) Stress on Pb Accumulation, Plant Growth Parameters, Photosynthesis, and Antioxidant Enzymes in Robinia pseudoacacia L. PLoS ONE 2015, 10, e0145726. [Google Scholar] [CrossRef] [PubMed]
  68. Schoefs, B.; Uddling, J.; Spetea, C.; Adolfsson, L.; Keresztes, Á.; Andersson, M.X.; Solymosi, K. Mycorrhiza Symbiosis Increases the Surface for Sunlight Capture in Medicago truncatula for Better Photosynthetic Production. PLoS ONE 2015, 10, e0115314. [Google Scholar] [CrossRef]
  69. Sheng, M.; Tang, M.; Chen, H.; Yang, B.; Zhang, F.; Huang, Y. Influence of Arbuscular Mycorrhizae on Photosynthesis and Water Status of Maize Plants under Salt Stress. Mycorrhiza 2008, 18, 287–296. [Google Scholar] [CrossRef]
  70. Santana, L.R.; da Silva, L.N.; Tavares, G.G.; Batista, P.F.; Cabral, J.S.R.; Souchie, E.L. Arbuscular Mycorrhizal Fungi Associated with Maize Plants during Hydric Deficit. Sci. Rep. 2023, 13, 1519. [Google Scholar] [CrossRef] [PubMed]
  71. Mu, X.; Chen, Y. The Physiological Response of Photosynthesis to Nitrogen Deficiency. Plant Physiol. Biochem. 2021, 158, 76–82. [Google Scholar] [CrossRef]
  72. Zhu, X.C.; Song, F.B.; Liu, S.Q.; Liu, T.D. Effects of Arbuscular Mycorrhizal Fungus on Photosynthesis and Water Status of Maize under High Temperature Stress. Plant Soil 2011, 346, 189–199. [Google Scholar] [CrossRef]
  73. Porcel, R.; Redondo-Gómez, S.; Mateos-Naranjo, E.; Aroca, R.; Garcia, R.; Ruiz-Lozano, J.M. Arbuscular Mycorrhizal Symbiosis Ameliorates the Optimum Quantum Yield of Photosystem II and Reduces Non-Photochemical Quenching in Rice Plants Subjected to Salt Stress. J. Plant Physiol. 2015, 185, 75–83. [Google Scholar] [CrossRef] [PubMed]
  74. Nguyen, P.M.; Niemeyer, E.D. Effects of Nitrogen Fertilization on the Phenolic Composition and Antioxidant Properties of Basil (Ocimum basilicum L.). J. Agric. Food Chem. 2008, 56, 8685–8691. [Google Scholar] [CrossRef] [PubMed]
  75. Coronado, C.; Zuanazzi, J.; Sallaud, C.; Quirion, J.C.; Esnault, R.; Husson, H.P.; Kondorosi, A.; Ratet, P. Alfalfa Root Flavonoid Production Is Nitrogen Regulated. Plant Physiol. 1995, 108, 533–542. [Google Scholar] [CrossRef]
  76. Avio, L.; Sbrana, C.; Giovannetti, M.; Frassinetti, S. Arbuscular Mycorrhizal Fungi Affect Total Phenolics Content and Antioxidant Activity in Leaves of Oak Leaf Lettuce Varieties. Sci. Hortic. 2017, 224, 265–271. [Google Scholar] [CrossRef]
  77. Liu, X.Q.; Cheng, S.; Aroca, R.; Zou, Y.N.; Wu, Q.S. Arbuscular Mycorrhizal Fungi Induce Flavonoid Synthesis for Mitigating Oxidative Damage of Trifoliate Orange under Water Stress. Environ. Exp. Bot. 2022, 204, 105089. [Google Scholar] [CrossRef]
Disclaimer/Publisher’s Note: The statements, opinions and data contained in all publications are solely those of the individual author(s) and contributor(s) and not of MDPI and/or the editor(s). MDPI and/or the editor(s) disclaim responsibility for any injury to people or property resulting from any ideas, methods, instructions or products referred to in the content.

Article Metrics

Citations

Article Access Statistics

Multiple requests from the same IP address are counted as one view.