Sustainable Fertilization of Organic Sweet Cherry to Improve Physiology, Quality, Yield, and Soil Properties
Abstract
1. Introduction
2. Materials and Methods
2.1. Experimental Site and Agrometeorological Data
2.2. Experimental Field Design and Treatments
2.3. Stem Water Potential, Gas Exchange, and Water Use Efficiency
2.4. Yield and Fruit Quality Assessments
2.5. Soil Properties
2.5.1. Soil Water Content and Irrigation
2.5.2. Electromagnetic Induction Survey
2.5.3. Soil Sampling and Analyses
2.6. Statistical Analysis
3. Results
3.1. Agroclimatic Conditions
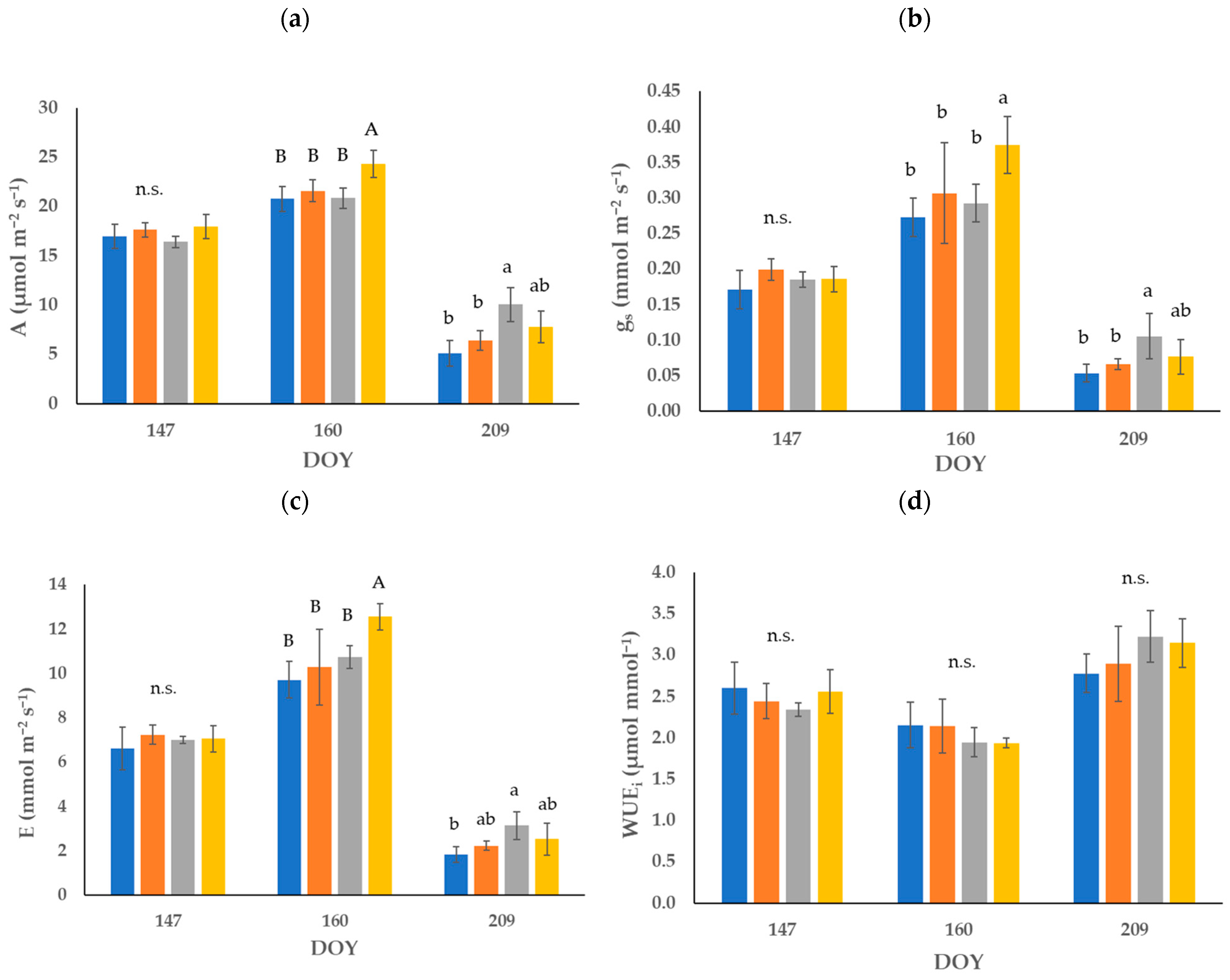
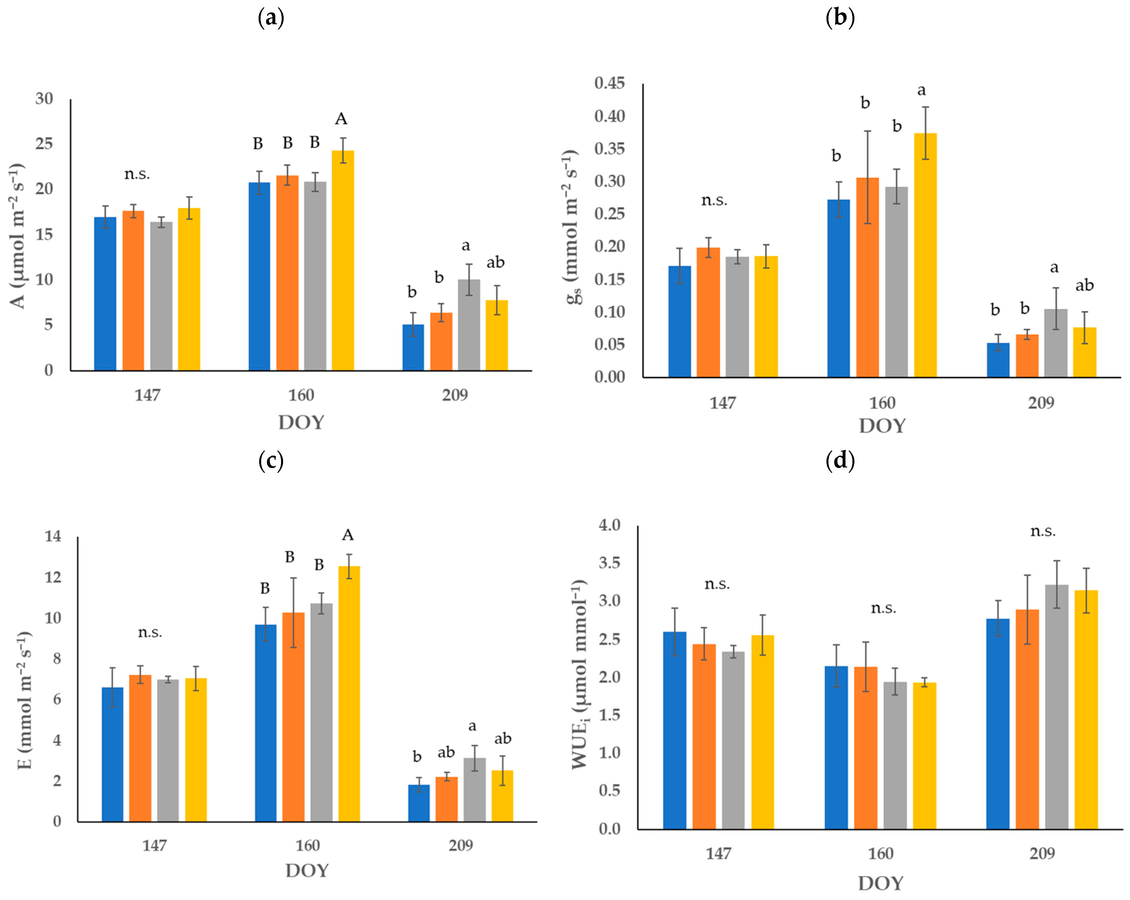
3.2. Plant Water Relations and Leaf Functionality
3.3. Fruit Yield and Quality
3.4. Soil Conditions
3.4.1. Soil Water Content and Irrigation
3.4.2. Electrical Conductivity
3.4.3. Soil Analysis
4. Discussion
5. Conclusions
Author Contributions
Funding
Data Availability Statement
Acknowledgments
Conflicts of Interest
References
- Bursać Kovačević, D.; Brdar, D.; Fabečić, P.; Barba, F.J.; Lorenzo, J.M.; Putnik, P. Strategies to Achieve a Healthy and Balanced Diet: Fruits and Vegetables as a Natural Source of Bioactive Compounds. In Agri-Food Industry Strategies for Healthy Diets and Sustainability; Elsevier: Amsterdam, The Netherlands, 2020; pp. 51–88. ISBN 978-0-12-817226-1. [Google Scholar]
- Tilman, D.; Fargione, J.; Wolff, B.; D’Antonio, C.; Dobson, A.; Howarth, R.; Schindler, D.; Schlesinger, W.H.; Simberloff, D.; Swackhamer, D. Forecasting Agriculturally Driven Global Environmental Change. Science 2001, 292, 281–284. [Google Scholar] [CrossRef] [PubMed]
- Hallmann, E.; Rozpara, E. The Estimation of Bioactive Compounds Content in Organic and Conventional Sweet Cherry (Prunus avium L.). J. Res. Appl. Agric. Eng. 2017, 62, 141–145. [Google Scholar]
- Chatzistathis, T.; Kavvadias, V.; Sotiropoulos, T.; Papadakis, I.E. Organic Fertilization and Tree Orchards. Agriculture 2021, 11, 692. [Google Scholar] [CrossRef]
- Brito, L.M.; Mourão, I.; Coutinho, J.; Smith, S.R. Simple Technologies for On-Farm Composting of Cattle Slurry Solid Fraction. Waste Manag. 2012, 32, 1332–1340. [Google Scholar] [CrossRef] [PubMed]
- Pergola, M.; Persiani, A.; Pastore, V.; Palese, A.M.; D’Adamo, C.; De Falco, E.; Celano, G. Sustainability Assessment of the Green Compost Production Chain from Agricultural Waste: A Case Study in Southern Italy. Agronomy 2020, 10, 230. [Google Scholar] [CrossRef]
- Pilla, N.; Tranchida-Lombardo, V.; Gabrielli, P.; Aguzzi, A.; Caputo, M.; Lucarini, M.; Durazzo, A.; Zaccardelli, M. Effect of Compost Tea in Horticulture. Horticulturae 2023, 9, 984. [Google Scholar] [CrossRef]
- De Corato, U. Agricultural Waste Recycling in Horticultural Intensive Farming Systems by On-Farm Composting and Compost-Based Tea Application Improves Soil Quality and Plant Health: A Review under the Perspective of a Circular Economy. Sci. Total Environ. 2020, 738, 139840. [Google Scholar] [CrossRef]
- Sorrenti, G.; Muzzi, E.; Toselli, M. Root Growth Dynamic and Plant Performance of Nectarine Trees Amended with Biochar and Compost. Sci. Hortic. 2019, 257, 108710. [Google Scholar] [CrossRef]
- Castellini, M.; Diacono, M.; Preite, A.; Montemurro, F. Short- and Medium-Term Effects of On-Farm Compost Addition on the Physical and Hydraulic Properties of a Clay Soil. Agronomy 2022, 12, 1446. [Google Scholar] [CrossRef]
- Persiani, A.; Montemurro, F.; Fiore, A.; Scazzarriello, R.; Diacono, M. On-Farm Fertilizing Materials in Organic Horticulture: Agronomic Performance, Energy Use and GHG Emission Evaluation. Arch. Agron. Soil Sci. 2021, 67, 1944–1960. [Google Scholar] [CrossRef]
- Diacono, M.; Gebremikael, M.T.; Testani, E.; Persiani, A.; Fiore, A.; Alfano, V.; Ciaccia, C.; Montemurro, F.; De Neve, S. Agricultural Waste Recycling in an Organic Zucchini-Lettuce Rotation: Soil Microbial Parameters Under Laboratory and Field Conditions, and Crop Production Parameters Assessment. Waste Biomass Valorization 2024, 15, 6941–6958. [Google Scholar] [CrossRef]
- Mostafa, M.; El-Baz, E.; Abd El-Wahab, A.; Omar, A. Using Different Sources of Compost Tea on Grapes. J. Plant Prod. 2011, 2, 935–947. [Google Scholar] [CrossRef]
- Ceccarelli, D.; Antonucci, F.; Costa, C.; Talento, C.; Ciccoritti, R. An Artificial Class Modelling Approach to Identify the Most Largely Diffused Cultivars of Sweet Cherry (Prunus avium L.) in Italy. Food Chem. 2020, 333, 127515. [Google Scholar] [CrossRef] [PubMed]
- FAO STATISTICS. 2022. Available online: https://www.fao.org/statistics/en/ (accessed on 1 November 2024).
- ISTAT. 2023. Available online: https://esploradati.istat.it/ (accessed on 1 November 2024).
- Godini, A.; Palasciano, M.; Camposeo, S.; Pacifico, A. A Nine-Year Study on the Performance of Twelve Cherry Rootstocks under Non-Irrigated Conditions in Apulia (Southern Italy). Acta Hortic. 2008, 795, 191–198. [Google Scholar] [CrossRef]
- Santos, M.; Pereira, S.; Ferreira, H.; Sousa, J.R.; Vilela, A.; Ribeiro, C.; Raimundo, F.; Egea-Cortines, M.; Matos, M.; Gonçalves, B. Optimizing Sweet Cherry Attributes through Magnesium and Potassium Fertilization. Horticulturae 2024, 10, 881. [Google Scholar] [CrossRef]
- Campi, P.; Modugno, A.F.; De Carolis, G.; Pedrero Salcedo, F.; Lorente, B.; Garofalo, S.P. A Machine Learning Approach to Monitor the Physiological and Water Status of an Irrigated Peach Orchard under Semi-Arid Conditions by Using Multispectral Satellite Data. Water 2024, 16, 2224. [Google Scholar] [CrossRef]
- Allen, R.G.; Pereira, L.S.; Raes, D.; Smith, M. Crop Evapotranspiration. Guide-Lines for Computing Crop Water Requirements; FAO Irrigation and Drainage; FAO: Rome, Italy, 1998. [Google Scholar]
- Pant, A.; Radovich, T.; Hue, N. Chapter II—Compost Tea Production. In Tea Time in the Tropics: A Handbook for Compost Tea Production and Use; Radovich, T., Arancon, N.Q., Eds.; College of Tropical Agriculture and Human Resources, University of Hawaii at Manoa: Honolulu, HI, USA, 2011. [Google Scholar]
- Zaccardelli, M.; Pane, C.; Scotti, R.; Palese, A.M.; Celano, G. Impiego Di Compost-Tea Come Bioagrofarmaci e Biostimolanti in Ortofrutticoltura. Italus Hortus 2012, 19, 17–28. [Google Scholar]
- Fadón, E.; Herrero, M.; Rodrigo, J. Flower Development in Sweet Cherry Framed in the BBCH Scale. Sci. Hortic. 2015, 192, 141–147. [Google Scholar] [CrossRef]
- Campi, P.; Gaeta, L.; Mastrorilli, M.; Losciale, P. Innovative Soil Management and Micro-Climate Modulation for Saving Water in Peach Orchards. Front. Plant Sci. 2020, 11, 1052. [Google Scholar] [CrossRef]
- Naor, A. Midday Stem Water Potential as a Plant Water Stress Indicator for Irrigation Scheduling in Fruit Trees. Acta Hortic. 2000, 537, 447–454. [Google Scholar] [CrossRef]
- Gaeta, L.; Amendolagine, A.M.; Di Gennaro, D.; Navarro, A.; Tarricone, L.; Campi, P.; Stellacci, A.M.; Losciale, P. Managing Orchard Floor for Saving Water in a Late Ripening Peach Cultivar: A Preliminary Result. Acta Hortic. 2021, 1304, 207–214. [Google Scholar] [CrossRef]
- Pascual, M.; Lordan, J.; Villar, J.M.; Fonseca, F.; Rufat, J. Stable Carbon and Nitrogen Isotope Ratios as Indicators of Water Status and Nitrogen Effects on Peach Trees. Sci. Hortic. 2013, 157, 99–107. [Google Scholar] [CrossRef]
- Fernández, J.E.; Alcon, F.; Diaz-Espejo, A.; Hernandez-Santana, V.; Cuevas, M.V. Water Use Indicators and Economic Analysis for On-Farm Irrigation Decision: A Case Study of a Super High Density Olive Tree Orchard. Agric. Water Manag. 2020, 237, 106074. [Google Scholar] [CrossRef]
- Zhang, Y.; Meinzer, F.C.; Qi, J.; Goldstein, G.; Cao, K. Midday Stomatal Conductance Is More Related to Stem Rather than Leaf Water Status in Subtropical Deciduous and Evergreen Broadleaf Trees. Plant Cell Environ. 2013, 36, 149–158. [Google Scholar] [CrossRef]
- Cappelluti, O.; Bruno, M.R.; Modugno, A.F.; Ferrara, R.M.; Gaeta, L.; De Carolis, G.; Campi, P. The Use of Mixed Composed Amendments to Improve Soil Water Content and Peach Growth (Prunus persica (L.) Batsch) in a Mediterranean Environment. Water 2023, 15, 1708. [Google Scholar] [CrossRef]
- Serradilla, M.J.; Martín, A.; Ruiz-Moyano, S.; Hernández, A.; López-Corrales, M.; Córdoba, M.D.G. Physicochemical and Sensorial Characterisation of Four Sweet Cherry Cultivars Grown in Jerte Valley (Spain). Food Chem. 2012, 133, 1551–1559. [Google Scholar] [CrossRef]
- Zhou, J.; Yang, S.; Ma, Y.; Liu, Z.; Tu, H.; Wang, H.; Zhang, J.; Chen, Q.; He, W.; Li, M.; et al. Soluble Sugar and Organic Acid Composition and Flavor Evaluation of Chinese Cherry Fruits. Food Chem. X 2023, 20, 100953. [Google Scholar] [CrossRef]
- Pérez-Sánchez, R.; Gómez-Sánchez, M.Á.; Morales-Corts, M.R. Description and Quality Evaluation of Sweet Cherries Cultured in Spain. J. Food Qual. 2010, 33, 490–506. [Google Scholar] [CrossRef]
- Padilla-Díaz, C.M.; Rodriguez-Dominguez, C.M.; Hernandez-Santana, V.; Perez-Martin, A.; Fernández, J.E. Scheduling Regulated Deficit Irrigation in a Hedgerow Olive Orchard from Leaf Turgor Pressure Related Measurements. Agric. Water Manag. 2016, 164, 28–37. [Google Scholar] [CrossRef]
- McNeill, J.D. Electromagnetic Terrain Conductivity Measurement at Low Induction Numbers; Technical Note TN 6; Geonics Ltd.: Mississauga, ON, Canada, 1980. [Google Scholar]
- Vitti, C.; Stellacci, A.M.; Leogrande, R.; Mastrangelo, M.; Cazzato, E.; Ventrella, D. Assessment of Organic Carbon in Soils: A Comparison between the Springer–Klee Wet Digestion and the Dry Combustion Methods in Mediterranean Soils (Southern Italy). CATENA 2016, 137, 113–119. [Google Scholar] [CrossRef]
- Olsen, S.R.; Cole, V.V.; Watanabe, F.S.; Dean, C.A. Estimation of Available Phosphorus in Soils by Extraction with Sodium Bicarbonate; U.S. Dep. Agric. Cir. No. 939; United States Department of Agriculture: Washington, DC, USA, 1954.
- Page, A.L.; Miller, R.H.; Keeney, D.R. Methods of Soil Analysis. Part 2. Chemical and Microbiological Properties; Soil Science Society of America; American Society of Agronomy: Madison, WI, USA, 1982; Volume 1159. [Google Scholar]
- Hazelton, P.; Murphy, B. Interpreting Soil Test Results; What Do All The Numbers Mean? CSIRO Publishing: Clayton, Australia, 2007; ISBN 978-0-643-09915-9. [Google Scholar]
- Marsal, J.; Lopez, G.; Del Campo, J.; Mata, M.; Arbones, A.; Girona, J. Postharvest Regulated Deficit Irrigation in ‘Summit’ Sweet Cherry: Fruit Yield and Quality in the Following Season. Irrig. Sci. 2010, 28, 181–189. [Google Scholar] [CrossRef]
- Losciale, P.; Gaeta, L.; Corsi, M.; Galeone, C.; Tarricone, L.; Leogrande, R.; Stellacci, A.M. Physiological Responses of Apricot and Peach Cultivars under Progressive Water Shortage: Different Crop Signals for Anisohydric and Isohydric Behaviours. Agric. Water Manag. 2023, 286, 108384. [Google Scholar] [CrossRef]
- Lepsch, H.C.; Brown, P.H.; Peterson, C.A.; Gaudin, A.C.M.; Khalsa, S.D.S. Impact of Organic Matter Amendments on Soil and Tree Water Status in a California Orchard. Agric. Water Manag. 2019, 222, 204–212. [Google Scholar] [CrossRef]
- Eudoxie, G.; Martin, M. Compost Tea Quality and Fertility. In Organic Fertilizers—History, Production and Applications; Larramendy, M., Soloneski, S., Eds.; IntechOpen: London, UK, 2019; ISBN 978-1-78985-147-2. [Google Scholar]
- Blanco, V.; Torres-Sánchez, R.; Blaya-Ros, P.J.; Pérez-Pastor, A.; Domingo, R. Vegetative and Reproductive Response of ‘Prime Giant’ Sweet Cherry Trees to Regulated Deficit Irrigation. Sci. Hortic. 2019, 249, 478–489. [Google Scholar] [CrossRef]
- Veberic, R.; Stampar, F.; Vodnik, D. Autumn Photosynthesis of ‘Golden Delicious’ Apple Trees—The Effects of Picking and Fertilisation Treatment. Gartenbauwissenschaft 2002, 67, 92–98. [Google Scholar]
- Losciale, P.; Gaeta, L.; Manfrini, L.; Tarricone, L.; Campi, P. Orchard Floor Management Affects Tree Functionality, Productivity and Water Consumption of a Late Ripening Peach Orchard under Semi-Arid Conditions. Appl. Sci. 2020, 10, 8135. [Google Scholar] [CrossRef]
- Baldi, E.; Toselli, M.; Marcolini, G.; Quartieri, M.; Cirillo, E.; Innocenti, A.; Marangoni, B. Compost Can Successfully Replace Mineral Fertilizers in the Nutrient Management of Commercial Peach Orchard. Soil Use Manag. 2010, 26, 346–353. [Google Scholar] [CrossRef]
- Bartolini, S.; Lo Piccolo, E.; Remorini, D. Different Summer and Autumn Water Deficit Affect the Floral Differentiation and Flower Bud Growth in Apricot (Prunus armeniaca L.). Agronomy 2020, 10, 914. [Google Scholar] [CrossRef]
- Costa, G. Qualità Delle Ciliegie: Definizione Aggiornata e Nuovi Metodi Di Determinazione. ACTA Italus Hortus 24 2019, 47–56. [Google Scholar]
- Belmonte, S.A.; Celi, L.; Stanchi, S.; Said-Pullicino, D.; Zanini, E.; Bonifacio, E. Effects of Permanent Grass versus Tillage on Aggregation and Organic Matter Dynamics in a Poorly Developed Vineyard Soil. Soil Res. 2016, 54, 797–808. [Google Scholar] [CrossRef]
- Diacono, M.; Montemurro, F. Long-Term Effects of Organic Amendments on Soil Fertility. A Review. Agron. Sustain. Dev. 2010, 30, 401–422. [Google Scholar] [CrossRef]
- Brevik, E.C.; Fenton, T.E.; Lazari, A. Soil Electrical Conductivity as a Function of Soil Water Content and Implications for Soil Mapping. Precis. Agric. 2006, 7, 393–404. [Google Scholar] [CrossRef]
- Mann, K.; Schumann, A.; Obreza, T. Delineating Productivity Zones in a Citrus Grove Using Citrus Production, Tree Growth and Temporally Stable Soil Data. Precis. Agric. 2011, 12, 457–472. [Google Scholar] [CrossRef]
- Priori, S.; Martini, E.; Andrenelli, M.; Magini, S.; Agnelli, A.; Bucelli, P.; Biagi, M.; Pellegrini, S.; Costantini, E. Improving Wine Quality through Harvest Zoning and Combined Use of Remote and Soil Proximal Sensing. Soil Sci. Soc. Am. J. 2013, 77, 1338–1348. [Google Scholar] [CrossRef]
- Scudiero, E.; Corwin, D.L.; Markley, P.T.; Pourreza, A.; Rounsaville, T.; Bughici, T.; Skaggs, T.H. A System for Concurrent On-the-Go Soil Apparent Electrical Conductivity and Gamma-Ray Sensing in Micro-Irrigated Orchards. Soil Tillage Res. 2024, 235, 105899. [Google Scholar] [CrossRef]
- Vanella, D.; Cassiani, G.; Busato, L.; Boaga, J.; Barbagallo, S.; Binley, A.; Consoli, S. Use of Small Scale Electrical Resistivity Tomography to Identify Soil-Root Interactions during Deficit Irrigation. J. Hydrol. 2018, 556, 310–324. [Google Scholar] [CrossRef]
- Palacios-Peralta, C.; Reyes-Díaz, M.; González-Villagra, J.; Ribera-Fonseca, A. The Potential Roles of the N and P Supplies on the Internal Browning Incidence in Sweet Cherries in the Southern Chile. Horticulturae 2022, 8, 1209. [Google Scholar] [CrossRef]
- Fernández-Martínez, M.; Vicca, S.; Janssens, I.A.; Espelta, J.M.; Peñuelas, J. The Role of Nutrients, Productivity and Climate in Determining Tree Fruit Production in European Forests. New Phytol. 2017, 213, 669–679. [Google Scholar] [CrossRef]






| On-Farm Compost | Compost Tea (1:5) v/v | |||
|---|---|---|---|---|
| pH | - | 7.0 | - | 7.8 |
| Ec | mS/cm−1 | 3.6 | mS/cm−1 | 3.6 |
| TOC | % | 20.3 | mg L−1 | 190.0 |
| N | % | 2.9 | mg L−1 | 282.7 |
| C/N | - | 7.1 | - | 0.67 |
| Ca | g kg−1 | 88.6 | mg L−1 | 124.8 |
| K | g kg−1 | 17.6 | mg L−1 | 487.1 |
| Mg | g kg−1 | 10.9 | mg L−1 | 55.7 |
| Na | g kg−1 | 2.14 | mg L−1 | 127.8 |
| P | g kg−1 | 8.3 | mg L−1 | 16.68 |
| Fe | g kg−1 | 14.0 | - | - |
| Cu | mg kg−1 | 49.4 | - | - |
| Mn | mg kg−1 | 430 | - | - |
| Zn | mg kg−1 | 158.4 | mg L−1 | 0.53 |
| Month | T.min °C | T.max °C | T.avg °C | RH avg % | VPDavg kPa | Rain mm |
|---|---|---|---|---|---|---|
| Season 2021 | ||||||
| Apr | 4.9 | 16.1 | 10.5 | 64.5 | 0.40 | 38.1 |
| May | 10.3 | 24.3 | 17.2 | 58.7 | 0.70 | 4.3 |
| Jun | 14.4 | 30.0 | 22.7 | 49.5 | 1.32 | 3.6 |
| Jul | 18.1 | 32.4 | 25.5 | 50.3 | 1.48 | 31.2 |
| Aug | 19.3 | 32.3 | 25.8 | 55.9 | 1.30 | 1.2 |
| Sept | 15.5 | 26.6 | 21.1 | 66.9 | 0.69 | 9.2 |
| Mean | 13.8 | 27.0 | 20.5 | 57.6 | 1.00 | - |
| Sum | - | - | - | - | - | 87.6 |
| Season 2022 | ||||||
| Apr | 5.8 | 20.1 | 12.9 | 65.4 | 0.47 | 109.4 |
| May | 12.2 | 28.1 | 20.4 | 63.8 | 0.76 | 24.6 |
| Jun | 17.3 | 33.8 | 25.9 | 54.0 | 1.41 | 11.0 |
| Jul | 17.3 | 34.0 | 25.9 | 57.4 | 1.25 | 31.6 |
| Aug | 17.9 | 32.2 | 24.4 | 69.0 | 0.80 | 77.0 |
| Sept | 16.1 | 31.3 | 23.7 | 63.6 | 0.90 | 4.8 |
| Mean | 14.4 | 29.9 | 22.2 | 62.2 | 0.9 | - |
| Sum | - | - | - | - | - | 258.4 |
| Treatments | Yield (kg Tree−1) | Fruit Weight (g) | Fruit Length (mm) | Fruit Width (mm) | SSC (%) | TA (g/L) | MI (%) | pH |
|---|---|---|---|---|---|---|---|---|
| C | 15.80 c | 6.88 a | 21.48 b | 22.93 b | 20.63 c | 10.02 a | 20.59 c | 3.96 a |
| M | 18.30 ab | 6.89 a | 22.37 ab | 24.75 a | 21.65 b | 9.58 b | 22.60 b | 3.86 c |
| C + CT | 20.30 a | 6.74 ab | 22.60 a | 24.13 a | 22.81 a | 9.12 c | 25.01 a | 3.88 b |
| T | 12.10 d | 6.42 b | 21.44 b | 22.89 b | 21.61 b | 8.80 d | 24.56 ab | 3.87 bc |
| Mean | 16.6 | 6.7 | 22.0 | 23.7 | 21.7 | 9.4 | 23.2 | 3.9 |
| Treatments | Yield (kg Tree−1) | Fruit Weight (g) | Fruit Length (mm) | Fruit Width (mm) | SSC (%) | TA (g/L) | MI (%) | pH |
|---|---|---|---|---|---|---|---|---|
| C | 15.70 ab | 6.25 a | 21.07 a | 22.63 a | 19.82 b | 9.67 ab | 20.49 b | 3.71 b |
| M | 17.90 a | 5.85 b | 20.41 b | 21.90 b | 19.54 b | 9.02 b | 21.66 b | 3.83 a |
| C + CT | 18.40 a | 5.83 b | 20.17 bc | 21.45 bc | 20.37 a | 9.20 ab | 22.14 a | 3.72 b |
| T | 11.60 c | 5.15 c | 19.77 c | 20.97 c | 19.00 c | 9.86 a | 19.30 c | 3.68 b |
| Mean | 15.9 | 5.8 | 20.4 | 21.7 | 19.7 | 9.4 | 20.9 | 3.7 |
| Irrigation Variables | 2021 | 2022 |
|---|---|---|
| Seasonal irrigation volume (m3 ha−1) | 2620 | 3527 |
| Depth (m3 ha−1) | 238 | 294 |
| Irrigation (n.) | 11 | 13 |
| ETc (mm) | 347 | 396 |
| Sampling | Soil Properties | |||||
|---|---|---|---|---|---|---|
| pH | TOC | Total N | Available P | CEC | ||
| g kg−1 | g kg−1 | mg kg−1 | meq 100 g−1 | |||
| ti | 7.35 ± 0.10 | 20.87 ± 1.63 | 2.52 ± 0.33 | 65.19 ± 17.16 | 26.11 ± 1.37 | |
| Treatments | ||||||
| tf | C | 7.56 ± 0.16 | 28.44 ± 5.83 | 2.35 ± 1.22 | 36.70 ± 26.83 | 30.71 ± 1.12 |
| M | 7.54 ± 0.25 | 27.54 ± 3.90 | 2.80 ± 0.26 | 41.56 ± 26.04 | 30.91 ± 2.22 | |
| C + CT | 7.58 ± 0.18 | 28.63 ± 3.23 | 3.01 ± 0.28 | 47.78 ± 15.35 | 31.28 ± 1.70 | |
| T | 7.56 ± 0.21 | 28.46 ± 3.46 | 2.87 ± 0.31 | 48.88 ± 29.35 | 31.62 ± 2.54 |
Disclaimer/Publisher’s Note: The statements, opinions and data contained in all publications are solely those of the individual author(s) and contributor(s) and not of MDPI and/or the editor(s). MDPI and/or the editor(s) disclaim responsibility for any injury to people or property resulting from any ideas, methods, instructions or products referred to in the content. |
© 2025 by the authors. Licensee MDPI, Basel, Switzerland. This article is an open access article distributed under the terms and conditions of the Creative Commons Attribution (CC BY) license (https://creativecommons.org/licenses/by/4.0/).
Share and Cite
Gaeta, L.; Tarricone, L.; Persiani, A.; Fiore, A.; Montemurro, F.; De Benedetto, D.; Vitti, C.; Campi, P.; Diacono, M. Sustainable Fertilization of Organic Sweet Cherry to Improve Physiology, Quality, Yield, and Soil Properties. Agronomy 2025, 15, 135. https://doi.org/10.3390/agronomy15010135
Gaeta L, Tarricone L, Persiani A, Fiore A, Montemurro F, De Benedetto D, Vitti C, Campi P, Diacono M. Sustainable Fertilization of Organic Sweet Cherry to Improve Physiology, Quality, Yield, and Soil Properties. Agronomy. 2025; 15(1):135. https://doi.org/10.3390/agronomy15010135
Chicago/Turabian StyleGaeta, Liliana, Luigi Tarricone, Alessandro Persiani, Angelo Fiore, Francesco Montemurro, Daniela De Benedetto, Carolina Vitti, Pasquale Campi, and Mariangela Diacono. 2025. "Sustainable Fertilization of Organic Sweet Cherry to Improve Physiology, Quality, Yield, and Soil Properties" Agronomy 15, no. 1: 135. https://doi.org/10.3390/agronomy15010135
APA StyleGaeta, L., Tarricone, L., Persiani, A., Fiore, A., Montemurro, F., De Benedetto, D., Vitti, C., Campi, P., & Diacono, M. (2025). Sustainable Fertilization of Organic Sweet Cherry to Improve Physiology, Quality, Yield, and Soil Properties. Agronomy, 15(1), 135. https://doi.org/10.3390/agronomy15010135

