Integrated Crop–Livestock Systems as a Strategy for the Sustainable Production of Corn and Soybean Grain in Tropical Sandy Soils
Abstract
1. Introduction
2. Materials and Methods
2.1. Study Area Location and Characteristics
2.2. Experimental Area History
2.3. Experimental Design and Treatments
2.4. Corn and Urochloa Grass Intercropping
2.5. Soybean Cultivation
2.6. Soil Collection for Chemical Analysis
2.7. Statistical Analysis
3. Results
3.1. Soil Macronutrients
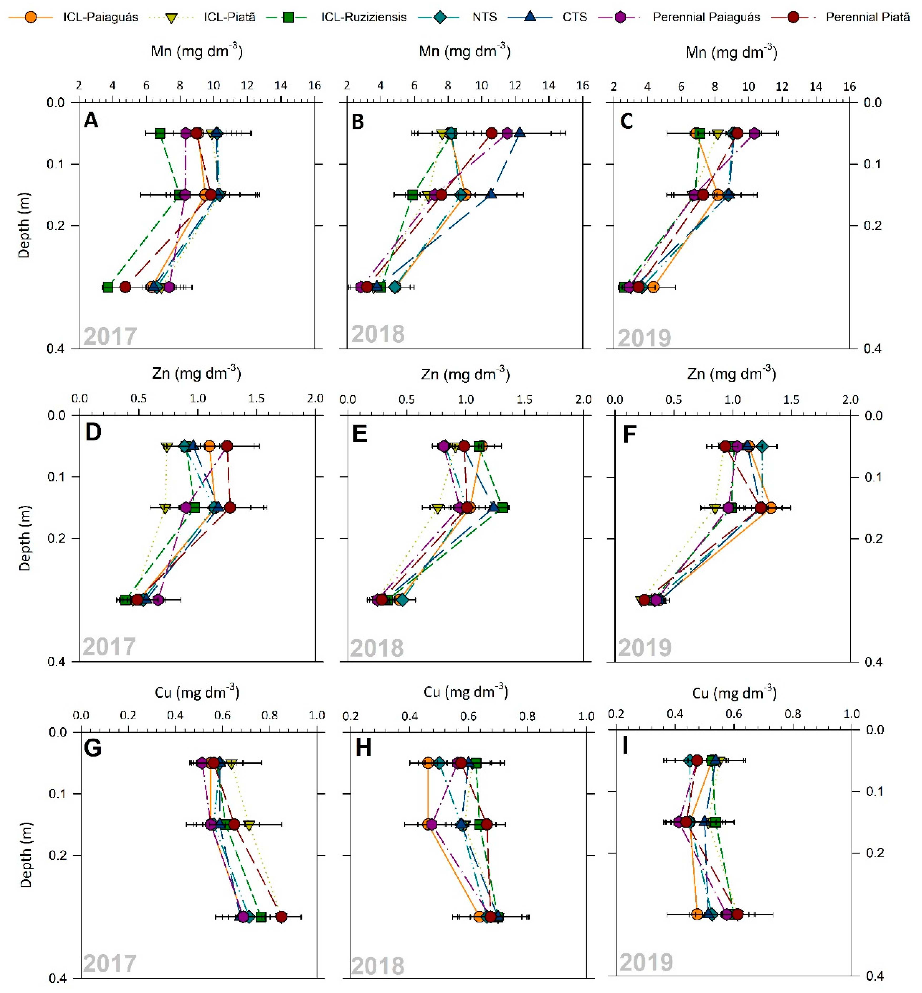
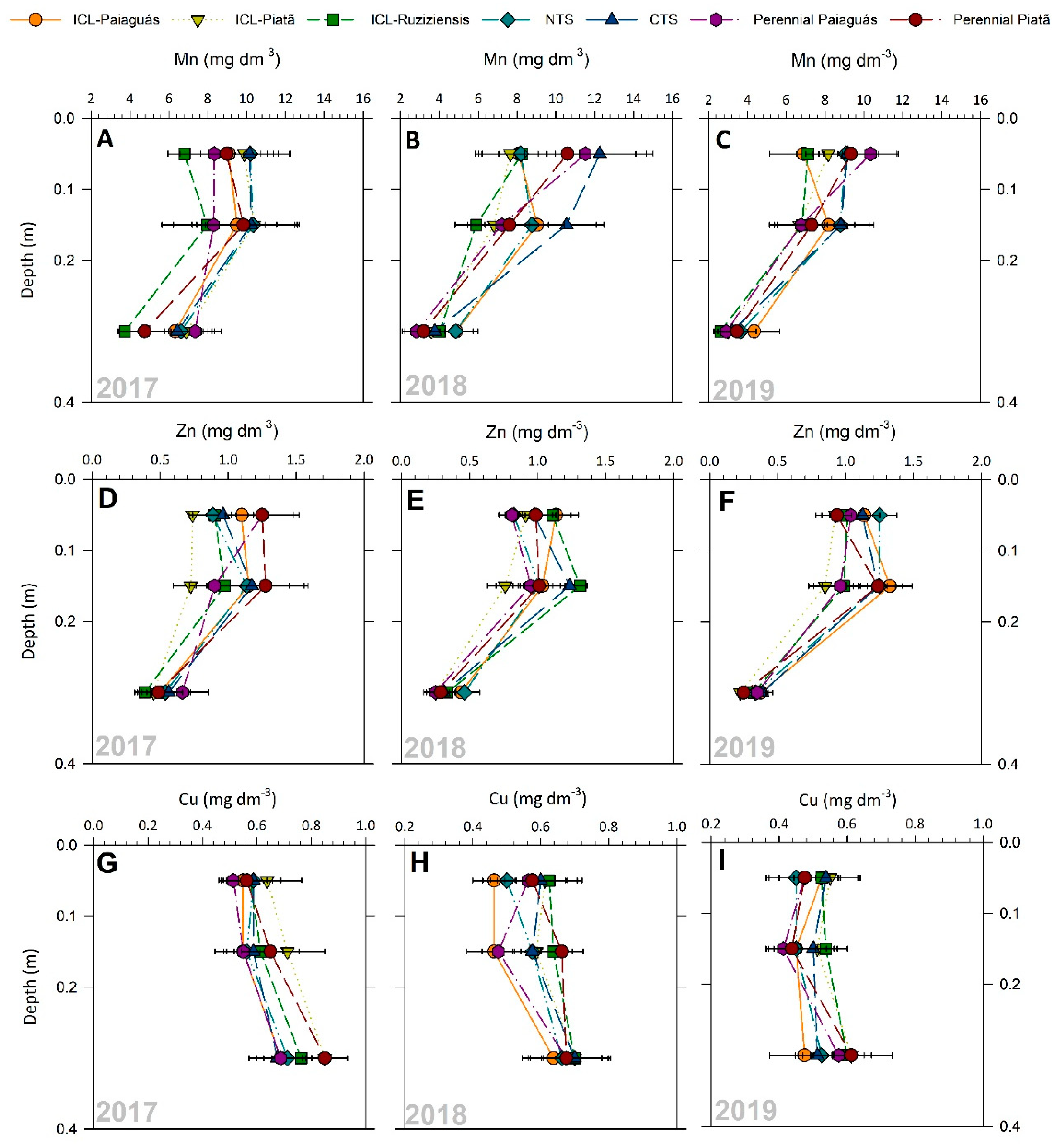
3.2. Soil Micronutrients
3.3. Grain Yield
4. Discussion
4.1. Soil Chemical Properties—2017
4.2. Soil Chemical Properties—2018
4.3. Soil Chemical Properties—2019
4.4. Soil Micronutrients
4.5. Weather Conditions
4.6. Corn and Soybean Grain Yields
5. Conclusions
Supplementary Materials
Author Contributions
Funding
Data Availability Statement
Acknowledgments
Conflicts of Interest
References
- OECD-Organization for Economic Co-Operation and Development/FAO-Food and Agriculture Organization of the United Nations, 2020. OECD-FAO Agricultural Outlook 2020–2029. Available online: https://www.oecd-ilibrary.org/agriculture-and-food/oecd-fao-agricultural-outlook-2020-2029_1112c23b-en (accessed on 7 February 2022).
- Rojas-Downing, M.M.; Nejadhashemi, A.P.; Harrigan, T.; Woznicki, S.A. Climate change and livestock: Impacts, adaptation, and mitigation. Clim. Risk Manag. 2017, 16, 145–163. [Google Scholar] [CrossRef]
- Knapp, S.; van der Heijden, M.G.A. A global meta-analysis of yield stability in organic and conservation agriculture. Nat. Commun. 2018, 9, 3632. [Google Scholar] [CrossRef] [PubMed]
- Assmann, J.M.; Anghinoni, I.; Martins, A.P.; Costa, S.E.V.G.A.; Cecagno, D.; Carlos, F.S.; Carvalho, P.C.F. Soil carbon and nitrogen stocks and fractions in a long-term integrated crop-livestock system under no-tillage in southern Brazil. Agric. Ecosyst. Environ. 2014, 190, 52–59. [Google Scholar] [CrossRef]
- Macedo, M.C.M. Integração Lavoura-pecuária-floresta: Alternativa de agricultura conservacionista para os biomas brasileiros. In Agricultura Conservacionista No Brasil; Leite, L.F.C., Maciel, G.A., Araújo, A.S.F., Eds.; Embrapa: Brasília, DF, Brazil, 2014; pp. 381–410. [Google Scholar]
- Garrett, R.D.; Niles, M.T.; Gil, J.D.B.; Gaudin, A.; Chaplin-Kramer, R.; Assmann, A.; Assmann, T.S.; Brewer, K.; Faccio Carvalho, P.C.; Cortner, O.; et al. Social and ecological analysis of commercial integrated crop livestock systems: Current knowledge and remaining uncertainty. Agric. Syst. 2017, 155, 136–146. [Google Scholar] [CrossRef]
- MEA-Millennium Ecosystem Assessment. Ecosystems and Human Well-Being: Synthesis; Island Press: Washington, DC, USA, 2005; Available online: https://www.millenniumassessment.org/documents/document.356.aspx.pdf (accessed on 10 February 2022).
- Soares, D.A.; Sekiya, B.M.S.; Modesto, V.C.; Nakao, A.H.; Freitas, L.A.; Souza, I.M.D.; da Luz, J.H.S.; Galindo, F.S.; Lupatini, G.C.; Pavan Mateus, G.; et al. Accumulated Carbon Fractions in Tropical Sandy Soils and Their Effects on Fertility and Grain Yield in an Integrated Crop–Livestock System. Sustainability 2023, 15, 13829. [Google Scholar] [CrossRef]
- Assmann, J.M.; Martins, A.P.; Anghinoni, I.; Denardin, L.G.O.; Nichel, G.H.; Costa, S.E.V.G.A.; Silva, R.A.P.E.; Balerini, F.; Carvalho, P.C.F.; Franzluebbers, A.J. Phosphorus and potassium cycling in a long-term no-till integrated soybean-beef cattle production system under different grazing intensities in subtropics. Nutr. Cycl. Agroecosyst. 2017, 108, 21–33. [Google Scholar] [CrossRef]
- Franzluebbers, A.J. Fostering the future with forage: The case for pasture crop rotations. Better Crops 2017, 101, 3–5. Available online: https://www.cabdirect.org/cabdirect/FullTextPDF/2018/20183079162.pdf (accessed on 17 October 2022).
- Mateus, G.P.; Crusciol, C.A.C.; Pariz, C.M.; Costa, N.R.; Borghi, E.; Costa, C.; Martello, J.M.; Castilhos, A.M.; Franzluebbers, A.J.; Cantarella, H. Corn intercropped with tropical perennial grasses as affected by sidedress nitrogen application rates. Nutr. Cycl. Agroecosyst. 2020, 116, 223–244. [Google Scholar] [CrossRef]
- Damian, J.M.; Matos, E.S.; Pedreira, B.C.E.; Carvalho, P.C.F.; Souza, A.J.; Andreote, F.D.; Premazzi, L.M.; Cerr, C.E.P. Pastureland intensification and diversification in Brazil mediate soil bacterial community structure changes and soil C accumulation. Appl. Soil Ecol. 2021, 160, 103858. [Google Scholar] [CrossRef]
- Carvalho, P.C.F.; Anghinoni, I.; Moraes, A.; Souza, E.D.; Sulc, R.M.; Lang, C.R.; Flores, J.P.C.; Lopes, M.L.T.; Silva, J.L.S.; Conte, O.; et al. Managing grazing animals to achieve nutrient cycling and soil improvement in no-till integrated systems. Nutr. Cycl. Agroecosyst. 2010, 88, 259–273. [Google Scholar] [CrossRef]
- Brooker, R.W.; Bennett, A.E.; Cong, W.F.; Daniell, T.J.; George, T.S.; Hallett, P.D.; Hawes, C.; Iannetta, P.P.M.; Jones, H.G.; Karley, A.J.; et al. Improving intercropping: A synthesis of research in agronomy, plant physiology and research review improving intercropping: A synthesis of research in agronomy, plant physiology and ecology. New Phytol. 2015, 206, 107–117. [Google Scholar] [CrossRef] [PubMed]
- Owusu, A.; Sadick, A. Assessment of soil nutrients under maize intercropping system involving soybean. Int. J. Agric. Food Sci. 2016, 1, 33–43. [Google Scholar]
- Zaeem, M.; Nadeem, M.; Pham, T.H.; Ashiq, W.; Ali, W.; Gilani, S.S.M.; Elavarthi, S.; Kavanagh, V.; Cheema, M.; Galagedara, L.; et al. The potential of corn-soybean intercropping to improve the soil health status and biomass production in cool climate boreal ecosystems. Sci. Rep. 2019, 9, 13148. [Google Scholar] [CrossRef] [PubMed]
- Glaze-Corcoran, S.; Hashemi, M.; Sadeghpour, A.; Jahanzad, E.; Afshar, R.K.; Liu, X.; Herbert, S.J. Understanding intercropping to improve agricultural resiliency and environmental sustainability. In Advances in Agronomy; Donald, L.S., Ed.; Academic Press: Cambridge, MA, USA, 2020; pp. 199–256. [Google Scholar] [CrossRef]
- Crusciol, C.A.C.; Momesso, L.; Portugal, J.R.; Costa, C.H.M.; Bossolani, J.W.; Costa, N.R.; Pariz, C.M.; Castilhos, A.M.; Rodrigues, V.A.; Costa, C.; et al. Upland rice intercropped with forage grasses in an integrated crop-livestock system: Optimizing nitrogen management and food production. Field Crops Res. 2021, 261, 108008. [Google Scholar] [CrossRef]
- Crusciol, C.A.C.; Nascente, A.S.; Mateus, G.P.; Borghi, E.; Leles, E.P.; Santos, N.C.B. Effect of intercropping on yields of corn with different relative maturities Palisade grass. Agron. J. 2013, 105, 599–606. [Google Scholar] [CrossRef]
- Martins, D.A.; Jakelaitis, A.; Pereira, L.S.; Moura, L.M.F.; Guimarães, K.C. Intercropping between corn and Urochloa brizantha managed with Mesotrione underdoses. Planta Daninha 2019, 37, e019186923. [Google Scholar] [CrossRef]
- Crusciol, C.A.C.; Mateus, G.P.; Momesso, L.; Pariz, C.M.; Castilhos, A.M.; Calonego, J.C.; Borghi, E.; Costa, C.; Franzluebbers, A.J.; Cantarella, H. Nitrogen-fertilized systems of corn intercropped with tropical grasses for enhanced yields and estimated land use and meat production. Front. Sustain. Food Syst. 2020, 4, 544853. [Google Scholar] [CrossRef]
- Modesto, V.C.; Andreotti, M.; Nakao, A.H.; Soares, D.A.; Froio, L.L.; Dickmann, L.; Paschoaloto, I.M.; Fernandes, I.M.M. Yield and production components of corn under straw of Marandu palisade grass inoculated with Azospirillum brasilense in the low-land Cerrado. Front. Sustain. Food Syst. 2021, 4, 617065. [Google Scholar] [CrossRef]
- Qi, G.; Kang, Y.; Yin, M.; Ma, Y.; Bai, Y.; Wang, J. Yield responses of wheat to crop residue returning in China: A meta-analysis. Crop Sci. 2019, 59, 2185–2200. [Google Scholar] [CrossRef]
- Boeni, M.; Bayer, C.; Dieckow, J.; Conceição, P.C.; Dick, D.P.; Knicker, H.; Salton, J.C.; Macedo, M.C.M. Organic matter composition in density fractions of cerrado ferralsols as revealed by CPMAS 13C NMR: Influence of pastureland, cropland and integrated crop-livestock. Agric. Ecosyst. Environ. 2014, 190, 80–86. [Google Scholar] [CrossRef]
- Salton, J.C.; Mercante, F.M.; Tomazi, M.; Zanatta, J.A.; Concenço, G.; Silva, W.M.; Retore, M. Integrated crop-livestock system in tropical Brazil: Toward a sustainable production system. Agric. Ecosyst. Environ. 2014, 190, 70–79. [Google Scholar] [CrossRef]
- Sulc, R.M.; Franzluebbers, A.J. Exploring integrated crop–livestock systems in different ecoregions of the United States. Eur. J. Agron. 2014, 57, 21–30. [Google Scholar] [CrossRef]
- Gazolla, P.R.; Guareschi, R.F.; Perin, A.; Pereira, M.G.; Rossi, C.Q. Frações da matéria orgânica do solo sob pastagem, sistema plantio direto e integração lavoura-pecuária. Semin. Ciênc. Agrár. 2015, 36, 693–704. [Google Scholar] [CrossRef][Green Version]
- Pariz, C.M.; Costa, C.; Crusciol, C.A.C.; Meirelles, P.R.L.; Castilhos, A.M.; Andreotti, M.; Costa, N.R.; Martello, J.M.; Souza, D.M.; Protes, V.M.; et al. Production, nutrient cycling and soil compaction to grazing of grass companion cropping with corn and soybean. Nutr. Cycl. Agroecosyst. 2017, 108, 35–54. [Google Scholar] [CrossRef]
- Borghi, E.; Crusciol, C.A.C.; Nascente, A.S.; Mateus, G.P.; Martins, P.O.; Costa, C. Effects of row spacing and intercrop on corn grain yield and forage production of palisade grass. Crop Pasture Sci. 2012, 63, 1106–1113. [Google Scholar] [CrossRef]
- Freitas, R.J.; Nascente, A.S.; Santos, F.L.S. População de plantas de milho consorciadas com Urochloa ruziziensis. Pesqui. Agropecu. Trop. 2013, 43, 79–87. [Google Scholar] [CrossRef]
- Duarte, A.P.; Kurihara, C.H.; Cantarella, H. Adubação do Milho Safrinha em Consórcio com Braquiária, 1st ed.; Ceccon, G., Ed.; Consórcio milho braquiária; Embrapa Agropecuária Oeste: Distrito Federal, Brazil, 2013; pp. 113–141. Available online: https://www.infoteca.cnptia.embrapa.br/bitstream/doc/982597/1/LVCONSORCIOMB.pdf (accessed on 23 November 2022).
- Nunes, P.A.A.; Laca, E.A.; Carvalho, P.C.F.; Li, M.; Souza Filho, W.; Kunrath, T.R.; Martins, A.P.; Gaudin, A. Livestock integration into soybean systems improves long-term system stability and profits without compromising crop yields. Sci. Rep. 2021, 11, 1649. [Google Scholar] [CrossRef]
- Machado, L.A.Z.; Cecato, U.; Comunello, E.; Concenço, G.; Ceccon, G. Estabelecimento de forrageiras perenes em consórcio com soja, para sistemas integrados de produção agropecuária. Pesqui. Agropecu. Bras. 2017, 52, 521–529. [Google Scholar] [CrossRef]
- Borghi, E.; Crusciol, C.A.C.; Mateus, G.P.; Nascente, A.S.; Martins, P.O. Intercropping time of corn and palisadegrass or guineagrass affecting grain yield and forage production. Crop Sci. 2013, 53, 38–44. [Google Scholar] [CrossRef]
- Pessoa-Filho, M.; Azevedo, A.L.S.; Sobrinho, F.S.; Gouvea, E.G.; Martins, A.M.; Ferreira, M.E. Genetic diversity and structure of ruzigrass germplasm collected in Africa and Brazil. Crop Sci. 2015, 55, 2736–2745. [Google Scholar] [CrossRef]
- Costa, N.R.; Andreotti, M.; Crusciol, C.A.C.; Pariz, C.M.; Bossolani, J.W.; Pascoaloto, I.M.; Lima, C.G.d.R.; Bonini, C.d.S.B.; de Castilhos, A.M.; Calonego, J.C. Soybean yield and nutrition after tropical forage grasses. Nutr. Cycl. Agroecosyst. 2021, 121, 31–49. [Google Scholar] [CrossRef]
- Santos, H.G.; Jacomine, P.K.T.; Anjos, L.H.C.; Oliveira, V.A.; Oliveira, J.B.; Coelho, M.R.; Almeida, J.A.; Cunha, T.J.F.; Oliveira, J.B. Sistema brasileiro de classificação de solos, 3rd ed.; Embrapa: Brasília, Brazil, 2018. [Google Scholar]
- EMBRAPA-Empresa Brasileira de Pesquisa Agropecuária. Manual de Métodos de Análise de Solo, 2nd ed.; Embrapa Solos: Rio de Janeiro, Brazil, 1997. [Google Scholar]
- Alvares, C.A.; Stape, J.L.; Sentelhas, P.C.; de Moraes Gonçalves, J.L.; Sparovek, G. Köppen’s climate classification map for Brazil. Meteorol. Z. 2013, 22, 711–728. [Google Scholar] [CrossRef] [PubMed]
- INMET-Instituto Nacional de Meteorologia. 2021. Climatologia e Histórico de Previsão do Tempo em Caiuá, BR. Available online: https://www.climatempo.com.br/climatologia/2248/caiua-sp (accessed on 10 March 2022).
- NASA-National Aeronautics and Space Administration. 2021. Giovanni—The Bridge between Data and Science. Available online: https://giovanni.gsfc.nasa.gov/giovanni/ (accessed on 29 September 2022).
- van Raij, B.; Andrade, J.C.; Cantarella, H.; Quaggio, J.A. Análise Química para Avaliação da Fertilidade de Solos Tropicais; Instituto Agronômico: Campinas, Brazil, 2001. [Google Scholar]
- Kluthcouski, J.; Stone, L.F.; Aidar, H. Integração Lavoura-Pecuária, 1st ed.; Embrapa Arroz e Feijão: Santo Antônio de Goiás, Brazil, 2003. [Google Scholar]
- Cantarella, H.; van Raij, B.; Camargo, C.E.O. Adubação de cereais. In Recomendações de Adubação e Calagem Para o Estado de São Paulo, 2nd ed.; van Raij, B., Cantarella, H., Quaggio, J.A., Furlani, A.M.C., Eds.; Instituto Agronômico: Campinas, Brazil, 1997; pp. 43–71. [Google Scholar]
- Jakelaitis, A.; Silva, A.A.; Silva, A.F.; Silva, L.P.; Ferreira, L.R.; Vivian, R. Efeito de herbicidas no controle de plantas daninhas, crescimento e produção de milho e Brachiaria brizantha em consórcio. Pesqui. Agropecu. Trop. 2006, 36, 53–60. Available online: https://www.revistas.ufg.br/pat/article/view/2172 (accessed on 22 October 2022).
- Ceccon, G.; Concenço, G.; Borghi, E.; Duarte, P.A.; Silva, A.F.; Kappes, C.; Almeida, R.E.M. Implantação e Manejo de Forrageiras em Consórcio com Milho Safrinha; Embrapa Agropecuária Oeste: Dourados, Brazil, 2015. [Google Scholar]
- Mott, G.O.; Lucas, H.L. The design, conduct, and interpretation of grazing trials on cultivated and improved pastures. In Proceedings of the International Grassland Congress, State College, PA, USA, 17–23 August 1952. [Google Scholar]
- Euclides, V.P.B.; Montagner, D.B.; Barbosa, R.A.; Valle, C.B.; Nantes, N.N. Animal performance and sward characteristics of two cultivars of Brachiaria brizantha (BRS BRS Paiaguás and BRS Piatã). Rev. Bras. Zootec. 2016, 45, 85–92. [Google Scholar] [CrossRef]
- Shapiro, S.S.; Wilk, M.B. An analysis of variance test for normality (Complete Samples). Biometrika 1965, 52, 591. [Google Scholar] [CrossRef]
- Levene, H. Robust tests for equality of variances. In Contributions to Probability and Statistics: Essays in Honor of Harold Hotelling; Olkin, I., Ghurye, S.G., Hoeffding, W., Madow, W.G., Mann, H.B., Eds.; Stanford University Press: Redwood City, CA, USA, 1960; pp. 278–292. [Google Scholar]
- R Development Core Team. A Language and Environment for Statistical Compunting. 2019. Available online: https://www.r-project.org/ (accessed on 19 March 2021).
- Ferreira, D.F. Sisvar: Um programa para análises e ensino de estatística. Rev. Científica Symp. 2008, 6, 36–41. [Google Scholar]
- Carver, B.F.; Ownby, J.D. Acid soil tolerance in wheat. Adv. Agron. 1995, 54, 117–173. [Google Scholar] [CrossRef]
- Zuba Junio, G.R.; Sampaio, R.A.; Nascimento, A.L.; de Lima, N.N.; Carneiro, J.P. Attributes of the soil fertilized with sewage sludge and calcium and magnesium silicate. Rev. Bras. Eng. Agricola Ambient. 2015, 19, 1113–2015. [Google Scholar] [CrossRef]
- Reis, A.S.; Leite, R.C.; Soares, G.O.S.; Soares, J.L.S.; Gonçalves, F.B.; Fidelis, R.R.; Santos, A.C. Soil Chemical attributes under different management systems in Cerrado-Amazon ecotone. Res. Soc. Dev. 2021, 10, e36210716045. Available online: https://rsdjournal.org/index.php/rsd/article/view/16045 (accessed on 22 October 2023). [CrossRef]
- CONAB-Companhia Nacional de Abastecimento, 2022. Boletim das safras de grãos. Available online: https://www.conab.gov.br/info-agro/safras/graos/boletim-da-safra-de-graos?start=20 (accessed on 10 March 2022).
- van Raij, B.; Cantarella, H.; Quaggio, J.A.; Furlani, A.M.C. Recomendações de Adubação e Calagem para o Estado de São Paulo, 2nd ed.; Instituto Agronômico: Campinas, Brazil, 1997. [Google Scholar]
- Stieven, A.C.; Oliveira, D.A.; Santos, J.O.; Wruck, F.J.; Campos, D.T.S. Impacts of integrated crop-livestock-forest on microbiological indicators of soil. Rev. Bras. Ciências Agrárias 2014, 9, 53–58. [Google Scholar] [CrossRef][Green Version]
- Santos, C.A.; Krawulski, C.C.; Bini, D.; Goulart Filho, T.; Knob, A.; Medina, C.C.; Andrade Filho, G.; Nogueira, M.A. Reclamation status of a degraded pasture based on soil health indicators. Sci. Agric. 2015, 72, 195–202. [Google Scholar] [CrossRef]
- Rossi, C.Q.; Pereira, M.G.; Giácomo, S.G.; Betta, M.; Polidoro, J.C. Decomposição e liberação de nutrientes da palhada de braquiária, sorgo e soja em áreas de plantio direto no cerrado goiano. Semin. Ciênc. Agrár. 2013, 34, 1523–1534. [Google Scholar] [CrossRef][Green Version]
- Costa, N.R.; Andreotti, M.; Ulian, N.A.; Costa, B.S.; Pariz, C.M.; Teixeira Filho, M.C.M. Acúmulo de nutrientes e tempo de decomposição da palhada de espécies forrageiras em função de épocas de semeadura. Biosci. J. 2015, 31, 818–829. [Google Scholar] [CrossRef]
- Mendonça, V.Z.; Mello, L.M.M.; Andreotti, M.; Pariz, C.M.; Yano, É.H.; Pereira, F.C.B.L. Liberação de nutrientes da palhada de forrageiras consorciadas com milho e sucessão com soja. Revi. Bras. Ciênc. Solo 2015, 39, 183–193. [Google Scholar] [CrossRef]
- Mattei, E.; Oliveira, P.S.R.; Rampim, L.; Egewarth, J.F.; Rego, C.A.R.M.; Piano, J.T.; Herrera, J.L. Remaining straw and release of nutrients from oat managed in integrated crop-livestock. Biosci. J. 2018, 34, 206–215. [Google Scholar] [CrossRef]
- Cavalli, E.; Lange, A.; Cavalli, C.; Behling, M. Decomposition and release of nutrients from crop residues on soybean-corn cropping systems. Rev. Bras. Ciências Agrárias 2018, 13, e5527. [Google Scholar] [CrossRef]
- Gupta, V.V.S.R.; Roper, M.M.; Thompson, J. Harnessing the benefits of soil biology in conservation agriculture. In Australian Agriculture in 2020: From Conservation to Automation; Pratley, J., Kirkegaard, J., Eds.; Charles Sturt University: Wagga Wagga, Australia, 2020; pp. 237–253. Available online: http://www.agronomyaustraliaproceedings.org/images/sampledata/specialpublications/Australian%20Agriculture%20in%202020.pdf (accessed on 17 October 2022).
- Malavolta, E.; Vitti, G.C.; Oliveira, S.A. Avaliação do Estado Nutricional das Plantas: Princípios e Aplicações, 2nd ed.; POTAFÓS: Piracicaba, Brazil, 1997. [Google Scholar]
- Bolan, N.S.; Adriano, D.C.; Curtin, D. Soil acidification and liming interactions with nutrient and heavy metal transformation and bioavailability. Adv. Agron. 2003, 78, 215–272. [Google Scholar] [CrossRef]
- Wang, Y.; Fusuo, Z.F.; Petra, M.P. Soil pH is the main factor influencing growth and rhizosphere properties of wheat following different pre-crops. Plant Soil 2012, 360, 271–286. [Google Scholar] [CrossRef]
- Singh, B.; Cattle, S.R.; Field, D.J. Edaphic soil science, introduction to. In Encyclopedia of Agriculture and Food Systems; Van Alfen, N.K., Ed.; Academic Press: Cambridge, MA, USA, 2014; pp. 35–58. [Google Scholar] [CrossRef]
- Bai, Y.; Wang, G.; Cheng, Y.; Shi, P.; Yang, C.; Yang, H.E.; Xu, Z. Soil acidification in continuously cropped tobacco alters bacterial community structure and diversity via the accumulation of phenolic acids. Sci. Rep. 2019, 9, 12499. [Google Scholar] [CrossRef]
- Fageria, N.K.; Nascente, A.S. Management of soil acidity of south american soils for sustainable crop production. In Advances in Agronomy; Sparks, D.L., Ed.; Academic Press: Cambridge, MA, USA, 2014; pp. 221–275. [Google Scholar] [CrossRef]
- Oenema, O. Calculated rates of soil acidification of intensively used grassland in the Netherlands. Fertil. Res. 1990, 26, 217–228. [Google Scholar] [CrossRef]
- Marschner, H. (Ed.) Mineral Nutrition of Higher Plants, 3rd ed.; Academic Press: Amsterdam, The Netherlands, 2011. [Google Scholar]
- Kaarakka, L.; Tamminen, P.; Saarsalm, A.; Kukkola, M.; Helmisaaria, H.S.; Burtonc, A.J. Effects of repeated whole-tree harvesting on soil properties and tree growth in a Norway spruce (Picea abies (L.) Karst.) stand. For. Ecol. Manag. 2014, 313, 180–187. [Google Scholar] [CrossRef]
- Špoljar, A.; Kvaternjak, I.; Žibrin, D.; Mužić, M. Utjecaj uzgoja kukuruza (Zea mays L.), soje (Glycine max. L.) I uljane repice (Brassica napus L.) Na električnu provodljivost i reakciju tla. Agron. Glas. 2019, 81, 65–76. [Google Scholar] [CrossRef]
- Haynes, R. Soil acidification induced by leguminous crops. Grass Forage Sci. 1983, 38, 1–11. [Google Scholar] [CrossRef]
- Neina, D. The role of soil pH in plant nutrition and soil remediation. Appl. Environ. Soil Sci. 2019, 2019, 5794869. [Google Scholar] [CrossRef]
- Pavinato, P.S.; Soltangheisi, M.R.M.A.; Sartor, L.R.; Withers, P.J.A. Effects of cover crops phosphorus sources on maize yield phosphorus uptake phosphorus use efficiency. J. Agron. 2017, 109, 1039–1047. [Google Scholar] [CrossRef]
- Guera, K.C.S.; Fonseca, A.F.; Ribeiro, F. Stocks and distribution of soil carbon, nitrogen, phosphorus and sulfur in an integrated crop-livestock system treated with phosphates. Braz. Arch. Biol. Technol. 2020, 63, e20190520. [Google Scholar] [CrossRef]
- Rodrigues, M.; Withers, P.J.A.; Solthangheisi, A.; Vargas, V.; Holzschuh, M.; Pavinato, P.S. Tillage systems and cover crops affecting soil phosphorus bioavailability in Brazilian Cerrado Oxisols. Soil Till. Res. 2021, 205, 104770. [Google Scholar] [CrossRef]
- Tracy, B.F.; Zhang, Y. Soil compaction, corn yield response, and soil nutrient pool dynamics within an integrated crop-livestock system in Illinois. Crop Sci. 2008, 48, 1211–1218. [Google Scholar] [CrossRef]
- Donagemma, G.K.; Freitas, P.L.; Balieiro, F.C.; Fontana, A.; Spera, S.T.; Lumbreras, J.F.; Viana, J.H.M.; Araújo Filho, J.C.; Santos, F.C.; Albuquerque, M.R.; et al. Characterization, agricultural potential, and perspectives for the management of light soils in Brazil. Pesqui. Agropecu. Bras. 2016, 51, 1003–1020. [Google Scholar] [CrossRef]
- Dubeux Junior, J.C.B.; Sollenberger, L.E.; Vendramini, J.M.B.; Interrante, S.M.; Lira Junior, M.A. Stocking method, animal behavior, and soil nutrient redistribution: How are they linked? Crop Sci. 2014, 54, 2341–2350. [Google Scholar] [CrossRef]
- Carpinelli, S.; Fonseca, A.F.; Weirich Neto, P.H.; Dias, S.H.B.; Pontes, L.S. Spatial and temporal distribution of cattle dung and nutrient cycling in integrated crop–livestock systems. Agronomy 2020, 10, 672–691. [Google Scholar] [CrossRef]
- Rosa, D.M.; Nóbrega, L.H.P.; Mauli, M.M.; Lima, G.P.; Pacheco, F.P. Humic substances in soil cultivated with cover crops rotated with maize and soybean. Rev. Cienc. Agron. 2017, 48, 221–230. [Google Scholar] [CrossRef]
- Clemmensen, K.E.; Bahr, A.; Ovaskainen, O.; Dahlberg, A.; Ekblad, A.; Wallander, H.; Stenlid, J.; Finlay, R.D.; Wardle, D.A.; Lindahl, B.D. Roots and associated fungi drive long-term carbon sequestration in boreal forest. Science 2013, 339, 1615–1618. [Google Scholar] [CrossRef] [PubMed]
- Braz, S.P.; Urquiaga, S.; Alves, B.J.R.; Jantalia, C.P.; Guimarães, A.P.; Santos, C.A.; Santos, S.C.; Pinheiro, E.F.M.; Boddey, R.M. Soil carbon stocks under productive and degraded Brachiaria pastures in the Brazilian Cerrados. Soil Sci. Soc. Am. J. 2013, 77, 914–928. [Google Scholar] [CrossRef]
- Velthof, G.L.; Barot, S.; Bloem, J.; Butterbach-Bahl, K.; Vries, W.; Kros, J.; Lavelle, P.; Olesen, J.E.; Oenema, O. Nitrogen as a threat to European soil quality. In The European Nitrogen Assessment. Sources, Effects and Policy Perspectives; Sutton, M.A., Howard, C.M., Erisman, J.W., Billen, G., Bleeker, A., Grennfelt, P., Van Grinsven, H., Grizzetti, B., Eds.; Cambridge University Press (Nitrogen in Europe): Cambridge, UK, 2011; pp. 495–510. [Google Scholar]
- Cecagno, D.; Gomes, M.V.; Andrade, S.E.V.G.; Martins, A.P.; Denardin, L.G.O.; Bayer, C.; Anghinoni, I.; Carvalho, P.C.F. Soil organic carbon in an integrated crop-livestock system under different grazing intensities. Rev. Bras. Ciências Agrárias 2018, 13, e5553. [Google Scholar] [CrossRef]
- Rosolem, C.A.; Bíscaro, T. Adsorção e lixiviação de boro em Latossolo Vermelho-Amarelo. Pesqui. Agropecu. Bras. 2007, 42, 1473–1478. [Google Scholar] [CrossRef]
- Almeida, G.M.; Canto, M.W.; Barth Neto, A.; Costa, A.C.S. Resposta da cultura de sementes de capim-mombaça a épocas e doses de adubação de boro. Semin. Ciênc. Agrár. 2015, 36, 1545–1557. [Google Scholar] [CrossRef]
- Romaniuk, R.; Beltrán, M.; Brutti, L.; Costantini, A.; Bacigaluppo, S.; Sainz-Rozas, H.; Salvagiotti, F. Soil organic carbon, macro- and micronutrient changes in soil fractions with different lability in response to crop intensification. Soil. Till. Res. 2018, 181, 136–143. [Google Scholar] [CrossRef]
- Fässler, E.; Robinson, B.H.; Stauffer, W.; Gupta, S.K.; Papritz, A.; Schulin, R. Phytomanagement of metal-contaminated agricultural land using sunflower, maize and tobacco. Agric. Ecosyst. Environ. 2010, 136, 49–58. [Google Scholar] [CrossRef]
- van Raij, B. Fertilidade do solo e manejo de nutrientes, 1st ed.; International Plant Nutrition Institute: Piracicaba, Brazil, 2011. [Google Scholar]
- Freitas, L.; Casagrande, J.C.; Oliveira, I.A.; Souza Júnior, P.R.; Campos, M.C.C. Análises multivariadas de atributos químicos do solo para caracterização de ambientes. Rev. Agro@ mbiente On-line 2014, 8, 155–164. [Google Scholar] [CrossRef][Green Version]
- Mendes, I.C.; Sousa, D.M.G.; Reis Junior, F.B.; Lopes, A.A.C. Bioanálise de Solo: Como Acessar e Interpretar a Saúde do Solo; Embrapa Cerrados: Planaltina, Brazil, 2018; Available online: http://ainfo.cnptia.embrapa.br/digital/bitstream/item/199833/1/CircTec-38-IedaMendes.pdf (accessed on 21 July 2022).
- Weismann, M. Fases de Desenvolvimento da Cultura do Milho. Tecnologia e Produção-Culturas: Safrinha e Inverno. Fundação MS. 2007. Available online: https://www.npct.com.br/npctweb/npct.nsf/article/BRS-3137/$File/MF3305BP-CornGrowth-portuguese_FINAL.pdf (accessed on 19 August 2022).
- Pascoaloto, I.M.; Andreotti, M.; Cruz, S.S.; Sabbag, O.J.; Borghi, E.; Lima, G.C.; Modesto, V.C. Economic analysis of sorghum consortia with forages or with dwarf pigeon pea succeeded by soybean or corn. Pesqui. Agropecu. Bras. 2017, 52, 833–840. [Google Scholar] [CrossRef]
- Modesto, V.C.; Andreotti, M.; Sabbag, O.J.; Soares, D.A.; Pechoto, E.A.P.; Paschoaloto, I.M.; Nakao, A.H. Economic analysis of the corn intercropped with Marandu grass as a function of Azospirillum brasilense application. J. Agric. Sci. 2019, 11, 387–395. [Google Scholar] [CrossRef]
- Bonetti, J.A.; Anghinoni, I.; Zulpo, L. Temperatura e umidade do solo em sistemas de integração soja-bovinos de corte com diferentes manejos da altura do pasto. Sci. Agric. 2017, 18, 11–21. [Google Scholar] [CrossRef]
- Rellán-Álvarez, R.; Lobet, G.; Dinneny, J.R. Environmental control of root system biology. Annu. Rev. Plant Biol. 2016, 67, 619–642. [Google Scholar] [CrossRef] [PubMed]
- Franchini, J.C.; Vellini, C.L.; Balbinot Junior, A.A.; Debiasi, H.; Watanabe, R.H. Integração Lavoura-Pecuária em Solo Arenoso e Clima Quente: Duas Décadas de Experiência; Embrapa Soja: Londrina, Brazil, 2016; Available online: https://www.embrapa.br/busca-de-publicacoes/-/publicacao/1046511/soja-em-solos-arenosos-papel-do-sistema-plantio-direto-e-da-integracao-lavoura-pecuaria (accessed on 15 March 2022).
- Santos, F.C.; Novais, R.F.; Neves, J.C.L.; Foloni, J.M.; Albuquerque Filho, M.R.; Ker, J.C. Produtividade e aspectos nutricionais de plantas de soja cultivadas em solos de Cerrado com diferentes texturas. Rev. Bras. Ciência Solo 2008, 32, 2015–2025. [Google Scholar] [CrossRef][Green Version]
- Lozovaya, V.V.; Lygin, A.V.; Ulanov, A.V.; Nelson, R.L.; Daydé, J.; Widholm, J.M. Effect of temperature and soil moisture status during seed development on soybean seed isoflavone concentration and composition. Crop Sci. 2005, 45, 1934–1940. [Google Scholar] [CrossRef]
- Galão, O.F.; Carrão-Panizzi, M.C.; Mandarino, J.M.G.; Júnior, O.O.S.; Maruyama, S.A.; Figueiredo, L.C.; Bonafe, E.G.; Visentainer, J.V. Differences of fatty acid composition in Brazilian genetic and conventional soybeans (Glycine max (L.) Merrill) grown in different regions. Food Res. Int. 2014, 62, 589–594. [Google Scholar] [CrossRef]
- Lima, R.O. Sustentabilidade da Produção de Soja No Brasil Central: Características Químicas do Solo e Balanço de Nutrientes No Sistema Solo-Planta. Master’s Thesis, Universidade Federal de Viçosa, Viçosa, Brazil, 2004. [Google Scholar]






| GY | Treatment | F | CV% | ||||
|---|---|---|---|---|---|---|---|
| ICL–Ruziziensis | ICL–Piatã | ICL–Paiaguás | NTS | CTS | |||
| Corn 2016 | 3644 ± 198 | 4110 ± 293 | 4496 ± 593 | 4471 ± 547 | 5026 ± 359 | ns | 15 |
| Soybean 2016/17 | 3312 ± 102 | 3131 ± 126 | 3386 ± 18 | 3142 ± 107 | 2955 ± 152 | ns | 7 |
| Corn 2017 | 5719 ± 434 | 5643 ± 648 | 5699 ± 449 | 5720 ± 453 | 5759 ± 636 | ns | 9 |
| Soybean 2017/18 | 2911 ± 176 | 2852 ± 89 | 2873 ± 95 | 2911 ± 67 | 2816 ± 92 | ns | 7 |
| Corn 2018 | 1465 ± 173 b | 2062 ± 87 ab | 1796 ± 163 ab | 2182 ± 254 a | 1773 ± 171 ab | ** | 15 |
| Soybean 2018/19 | 2441 ± 180 a | 2417 ± 144 a | 2426 ± 189 a | 2127 ± 57 ab | 1828 ± 72 b | ** | 7 |
Disclaimer/Publisher’s Note: The statements, opinions and data contained in all publications are solely those of the individual author(s) and contributor(s) and not of MDPI and/or the editor(s). MDPI and/or the editor(s) disclaim responsibility for any injury to people or property resulting from any ideas, methods, instructions or products referred to in the content. |
© 2024 by the authors. Licensee MDPI, Basel, Switzerland. This article is an open access article distributed under the terms and conditions of the Creative Commons Attribution (CC BY) license (https://creativecommons.org/licenses/by/4.0/).
Share and Cite
Soares, D.d.A.; Lupatini, G.C.; Sekiya, B.M.S.; Mateus, G.P.; Andrighetto, C.; Modesto, V.C.; da Silva, J.R.; da Luz, J.H.S.; Galindo, F.S.; Crusciol, C.A.C.; et al. Integrated Crop–Livestock Systems as a Strategy for the Sustainable Production of Corn and Soybean Grain in Tropical Sandy Soils. Agronomy 2024, 14, 2071. https://doi.org/10.3390/agronomy14092071
Soares DdA, Lupatini GC, Sekiya BMS, Mateus GP, Andrighetto C, Modesto VC, da Silva JR, da Luz JHS, Galindo FS, Crusciol CAC, et al. Integrated Crop–Livestock Systems as a Strategy for the Sustainable Production of Corn and Soybean Grain in Tropical Sandy Soils. Agronomy. 2024; 14(9):2071. https://doi.org/10.3390/agronomy14092071
Chicago/Turabian StyleSoares, Deyvison de Asevedo, Gelci Carlos Lupatini, Bianca Midori Souza Sekiya, Gustavo Pavan Mateus, Cristiana Andrighetto, Viviane Cristina Modesto, Junio Reina da Silva, João Henrique Silva da Luz, Fernando Shintate Galindo, Carlos Alexandre Costa Crusciol, and et al. 2024. "Integrated Crop–Livestock Systems as a Strategy for the Sustainable Production of Corn and Soybean Grain in Tropical Sandy Soils" Agronomy 14, no. 9: 2071. https://doi.org/10.3390/agronomy14092071
APA StyleSoares, D. d. A., Lupatini, G. C., Sekiya, B. M. S., Mateus, G. P., Andrighetto, C., Modesto, V. C., da Silva, J. R., da Luz, J. H. S., Galindo, F. S., Crusciol, C. A. C., Pavinato, P. S., & Andreotti, M. (2024). Integrated Crop–Livestock Systems as a Strategy for the Sustainable Production of Corn and Soybean Grain in Tropical Sandy Soils. Agronomy, 14(9), 2071. https://doi.org/10.3390/agronomy14092071

