Green Manure Mediated Improvement in Saline Soils in China: A Meta-Analysis
Abstract
1. Introduction
2. Materials and Methods
2.1. Data Collection
2.2. Data Calculation
2.3. Data Categorization
2.4. Meta-Analysis
2.5. Statistical Analysis
3. Results
3.1. Impacts of Green Manure on SOC
3.2. Impacts of Green Manure on Soil Salt Content
3.3. Impacts of Green Manure on Soil Nutrients
3.3.1. Impacts of Green Manure on Soil Total N
3.3.2. Impacts of Green Manure on Soil Available P
3.3.3. Impacts of Green Manure on Soil Available K
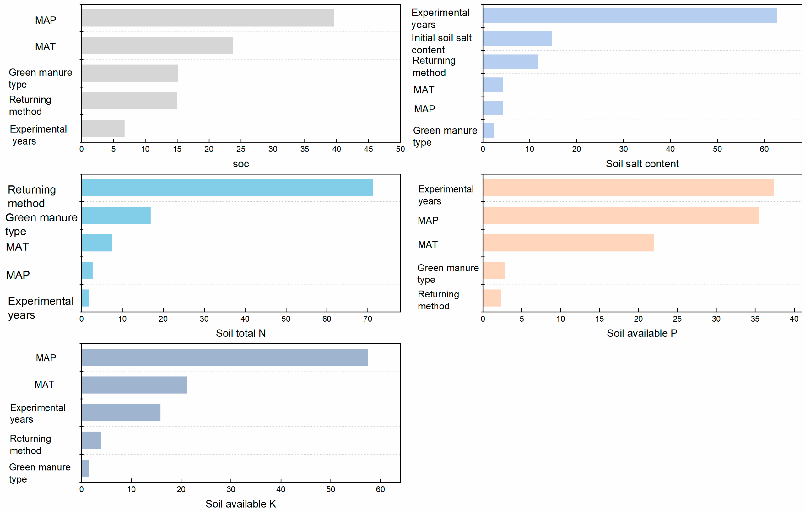
3.3.4. Factors Affecting the Response of SOC, Soil Salt Content, Soil Total N, Soil Available P, and Soil Available K to Green Manure in Saline Soils
4. Discussion
4.1. SOC Changes Due to Green Manure
4.2. Soil Salt Content Changes Due to Green Manure
4.3. Soil N, P and K Changes Due to Green Manure
5. Conclusions
Supplementary Materials
Author Contributions
Funding
Data Availability Statement
Conflicts of Interest
References
- Wang, J.L.; Huang, X.J.; Zhong, T.Y.; Chen, Z.G. Review on sustainable utilization of salt-affected land. Acta Geogr. Sin. 2011, 66, 673–684. [Google Scholar]
- Yang, J.S.; Yao, R.J.; Wang, X.P.; Xie, W.P.; Zhang, X.; Zhu, W.; Zhang, L.; Sun, R.J. Research on salt-affected soils in China: history, status quo and prospect. Acta Pedol. Sin. 2022, 59, 10–27. [Google Scholar]
- Li, R.H.; Yu, H.L. Effects of long-term sand mixing ameliorating measures on soil salinity characteristics of saline-alkali land in northern Shaanxi. In IOP Conference Series: Earth and Environmental Science; IOP Publishing: Bristol, UK, 2021; Volume 781. [Google Scholar]
- Zhang, H.O. Analysis on the distribution and evolution characteristics of saline soil in China. Agric. Technol. 2022, 42, 104–107. [Google Scholar]
- Cui, X.C.; Hu, J.L.; Wang, J.H.; Yang, J.S.; Lin, X.G. Reclamation negatively influences arbuscular mycorrhizal fungal community structure and diversity in coastal saline-alkaline land in Eastern China as revealed by Illumina sequencing. Appl. Soil Ecol. 2016, 98, 140–149. [Google Scholar] [CrossRef]
- Li, P.; Jeewon, R.; Aruna, B.; Li, H.Y.; Lin, F.C.; Wang, H.K. Metabarcoding reveals differences in fungal communities between unflooded versus tidal flat soil in coastal saline ecosystem. Sci. Total Environ. 2019, 690, 911–922. [Google Scholar] [CrossRef]
- Gao, G.; Yan, L.; Tong, K.Q.; Yu, H.L.; Lu, M.; Wang, L.; Niu, Y.S. The potential and prospects of modified biochar for comprehensive management of salt-affected soils and plants: A critical review. Sci. Total Environ. 2023, 912, 169618. [Google Scholar] [CrossRef]
- Wang, S.; Liu, J.; Wang, Y.; Liu, Y.L.; Tian, C.Y. Performance of halophytes in soil desalinization and its influencing factors: A meta-analysis. Front. Environ. Sci. 2023, 11, 1198540. [Google Scholar] [CrossRef]
- Wang, Z.; Heng, T.; Li, W.H.; Zhang, J.Z.; Zhangzhong, L.L. Effects of subsurface pipe drainage on soil salinity in saline-sodic soil under mulched drip irrigation. Irrig. Drain. 2020, 69, 95–106. [Google Scholar] [CrossRef]
- Wang, Y.H.; Yin, C.J.; Wang, J.K.; Ji, X.H.; Liu, X.W. The influence of green manure planting on the spectroscopic characteristics of dissolved organic matter in freshwater-leached saline–alkali soil at different depths. Agronomy 2024, 14, 1546. [Google Scholar] [CrossRef]
- Wang, J.; Shi, D.; Huang, C.; Zhai, B.Y.; Feng, S.Y. Effects of common biochar and acid-modified biochar on growth and quality of spinach in coastal saline soils. Plants 2023, 12, 3232. [Google Scholar] [CrossRef]
- Chang, F.D.; Zhang, H.Y.; Zhao, N.; Zhao, N.; Zhao, P.Y.; Song, J.S.; Yu, R.; Kan, Z.R.; Wang, J.; Liu, H.J.; et al. Green manure removal with reduced nitrogen improves saline-alkali soil organic carbon storage in a wheat-green manure cropping system. Sci. Total Environ. 2024, 926, 171827. [Google Scholar] [CrossRef]
- Barrett-Lennard, E.G. Restoration of saline land through revegetation. Agric. Water Manag. 2002, 53, 213–226. [Google Scholar] [CrossRef]
- Zhang, F.; Han, Y.; Shang, H.; Ding, Y. Effects of green manure cultivation for aboveground carbon store and returning to the field to ameliorate soil quality in saline alkali soil. Grass Res. 2023, 3, 1. [Google Scholar] [CrossRef]
- Redondo-Gómez, S.; Mesa-Marín, J.; Pérez-Romero, J.A.; López-Jurado, J.; García-López, J.V.; Mariscal, V.; Molina-Heredia, F.P.; Pajuelo, E.; Rodríguez-Llorente, I.D.; Flowers, T.J.; et al. Consortia of plant-growth-promoting rhizobacteria isolated from halophytes improve response of eight crops to soil salinization and climate change conditions. Agronomy 2021, 11, 1609. [Google Scholar] [CrossRef]
- Liang, J.P.; Shi, W.J. Cotton/halophytes intercropping decreases salt accumulation and improves soil physicochemical properties and crop productivity in saline-alkali soils under mulched drip irrigation: A three-year field experiment. Field Crops Res. 2021, 262, 108027. [Google Scholar] [CrossRef]
- Qadir, M.; Steffens, D.; Yan, F.; Schubert, S. Sodium removal from a calcareous saline-sodic soil through leaching and plant uptake during phytoremediation. Land Degrad. Dev. 2003, 14, 301–307. [Google Scholar] [CrossRef]
- Wang, L.; Wang, X.; Jiang, L.; Zhang, K.; Mohsin, T.; Tian, C.Y.; Zhao, Z.Y. Reclamation of saline soil by planting annual euhalophyte Suaeda salsa with drip irrigation: A three-year field experiment in arid northwestern China. Ecol. Eng. 2021, 159, 106090. [Google Scholar] [CrossRef]
- Villiers, A.J.D.; Rooyen, M.W.V.; Theron, G.K.; Claassens, A.S. Removal of sodium and chloride from a saline soil by Mesembryanthemum barklyi. J. Arid Environ. 1995, 29, 325–330. [Google Scholar] [CrossRef]
- Damon, P.M.; Bowden, B.; Rose, T.; Rengel, Z. Crop residue contributions to phosphorus pools in agricultural soils: A review. Soil Biol. Biochem. 2014, 74, 127–137. [Google Scholar] [CrossRef]
- Li, X.X.; Sørensen, P.; Li, F.C.; Petersen, S.; Olesen, J. Quantifying biological nitrogen fixation of different catch crops, and residual effects of roots and tops on nitrogen uptake in barley using in-situ 15N labelling. Plant Soil 2015, 395, 273–287. [Google Scholar] [CrossRef]
- Xu, M.G.; Zhang, X.B.; Sun, N.; Zhang, W.J. Advance in research of synergistic effects of soil carbon sequestration on crop yields improvement in croplands. J. Plant Nutr. Fertil. 2017, 23, 1441–1449. [Google Scholar]
- Derrien, D.; Barré, P.; Basile-Doelsch, I.; Cécillon, L.; Chabbi, A.; Crème, A.; Fontaine, S.; Henneron, L.; Janot, N.; Lashermes, G.; et al. Current controversies on mechanisms controlling soil carbon storage: Implications for interactions with practitioners and policy-makers. A review. Agron. Sustain. Dev. 2023, 43, 21. [Google Scholar] [CrossRef]
- Mwafulirwa, L.; Baggs, E.M.; Morley, N.; Paterson, E. Ryegrass root and shoot residues differentially affect short-term priming of soil organic matter and net soil C-balance. Eur. J. Soil Biol. 2019, 93, 103096. [Google Scholar] [CrossRef]
- Mo, F.; Ren, C.J.; Yu, K.L.; Zhou, Z.H.; Phillips, R.; Luo, Z.K.; Zhang, Y.Y.; Dang, Y.T.; Han, J.; Ye, J.S.; et al. Global pattern of soil priming effect intensity and its environmental drivers. Ecol. Soc. Am. 2022, 103, e3790. [Google Scholar] [CrossRef]
- Xiang, Y.Z.; Li, Y.; Liu, Y.; Zhang, S.Y.; Yue, X.J.; Yao, B.; Xue, J.M.; Lv, W.Q.; Zhang, L.Y.; Xu, X.Y.; et al. Factors shaping soil organic carbon stocks in grass covered orchards across China: A meta-analysis. Sci. Total Environ. 2022, 807, 150632. [Google Scholar] [CrossRef]
- Mcclelland, S.C.; Paustian, K.; Schipanski, M.E. Management of cover crops in temperate climates influences soil organic carbon stocks: A meta-analysis. Ecol. Appl. 2012, 31, e2278. [Google Scholar] [CrossRef]
- Hedges, L.V.; Gurevitch, J.; Curtis, P.S. The meta-analysis of response ratios in experimental ecology. Ecology 1999, 80, 1150–1156. [Google Scholar] [CrossRef]
- Liu, X.Y.; Zhou, T.; Liu, Y.; Zhang, X.H.; Li, L.Q.; Pan, G.X. Effect of mid-season drainage on CH4 and N2O emission and grain yield in rice ecosystem: A meta-analysis. Agric. Water Manag. 2019, 213, 1028–1035. [Google Scholar] [CrossRef]
- Zhang, S.H.; Wang, J.; Rajan, G.; Xing, W.C.; Hu, Y.M.; Zhang, N.N. Effect of green manure on soil water and crop yield in the Loess Plateau of China: A Meta-analysis. Chin. J. Eco-Agric. 2021, 29, 1879–1892. [Google Scholar]
- Duan, Y.; Chen, L.; Li, Y.M.; Wang, Q.Y.; Zhang, C.Z.; Ma, D.H.; Li, Y.J.; Zhang, J.B. N, P and straw return influence the accural of organic carbon fractions and microbial traits in a Mollisol. Geoderma 2021, 403, 115373. [Google Scholar] [CrossRef]
- Rosenberg, M.S.; Adams, D.C.; Gurevitch, J. MetaWin: Statistical Software for Meta-Analysis Version 2. Q. Rev. Biol. 1998, 73, 126–128. [Google Scholar]
- Wang, J.Z.; Lu, C.A.; Zhang, W.J.; Feng, G.; Wang, X.J.; Xu, M.G. Decomposition of organic materials in cropland soils across China: A meta-analysis. J. Soil Sci. 2016, 53, 16–27. [Google Scholar]
- Yan, Z.J.; Zhou, J.; Liu, C.Y.; Jia, R.; Mganga, K.Z.; Yang, L.; Yang, Y.D.; Peixoto, L.; Zang, H.D.; Zeng, Z.H. Legume-based crop diversification reinforces soil health and carbon storage driven by microbial biomass and aggregates. Soil Tillage Res. 2023, 234, 105848. [Google Scholar] [CrossRef]
- Çerçioğlu, M.; Anderson, S.H.; Udawatta, R.P.; Alagele, S. Effect of cover crop management on soil hydraulic properties. Geoderma 2019, 343, 247–253. [Google Scholar] [CrossRef]
- Ji, G.H.; Zhao, S.J.; Wang, R.; Xu, D.B.; Qin, X.C.; Tan, J.; Xiang, B.K.; Yuan, J.F. Effects of continuous overturning of green manure soil physical and biological characteristics of tobacco planting fields. J. Plant Nutr. Fertil. 2014, 4, 905–912. [Google Scholar]
- Hao, C.K.; Zhou, R.R.; Lu, M.; Wang, H.; Hu, G.Q. Soil organic carbon mineralization of coastal soils with different salinity levels. J. Agric. Resour. Environ. 2020, 37, 36–42. [Google Scholar]
- Berhe, A.A.; Harte, J.; Harden, J.W.; Torn, M.S. The Significance of the Erosion-induced Terrestrial Carbon Sink. Bioscience 2007, 57, 337–346. [Google Scholar] [CrossRef]
- Jian, J.; Du, X.; Reiter, M.S.; Stewart, R.D. A meta-analysis of global cropland soil carbon changes due to cover cropping. Soil Biol. Biochem. 2020, 143, 107735. [Google Scholar] [CrossRef]
- Zhang, K.; Maltais-Landry, G.; Liao, H. How soil biota regulate C cycling and soil C pools in diversified crop rotations. Soil Biol. Biochem. 2021, 156, 108219. [Google Scholar] [CrossRef]
- Mazzoncini, M.; Sapkota, T.B.; Bàrberi, P.; Antichi, D.; Risaliti, R. Long-term effect of tillage, nitrogen fertilization and cover crops on soil organic carbon and total nitrogen content. Soil Tillage Res. 2011, 114, 165–174. [Google Scholar] [CrossRef]
- Pan, F.X.; Lu, J.W.; Liu, W.; Geng, M.J.; Li, X.K.; Cao, W.D. Effect of different green manure application on soil fertility. J. Plant Nutr. Fertil. 2011, 17, 1359–1364. [Google Scholar]
- Nan, X.X.; Tian, X.H.; Zhang, L.; You, D.H.; Wu, Y.H.; Cao, Y.X. Decomposition characteristics of maize and wheat straw and their effects on soil carbon and nitrogen contents. J. Plant Nutr. Fertil. 2010, 16, 626–633. [Google Scholar]
- Zhang, G.; Zhou-Zhi, Y.; Zhang, C.P. The impact of utilization methods on organic matter and salinity in saline soil. J. Grassl. Ind. 2007, 16, 15–20. [Google Scholar]
- Gao, F.S.; Cui, Z.X.; Fan, R.W.; Zhang, S.F. The improvement effect of organic materials on saline alkali soil. Chin. J. Soil Sci. 1997, 1, 10–12. [Google Scholar]
- Tejada, M.; Gonzalez, J.L.; García-Martínez, A.M.; Parrado, J. Application of a green manure and green manure composted with beet vinasse on soil restoration: Effects on soil properties. Bioresour. Technol. 2008, 99, 4949–4957. [Google Scholar] [CrossRef]
- Eshel, G.; Egozi, R.; Goldwasser, Y.; Kashti, Y.; Fine, P.; Hayut, E.; Kazukro, H.; Rubin, B.; Dar, Z.; Keisar, O.; et al. Benefits of growing potatoes under cover crops in a Mediterranean climate. Agric. Ecosyst. Environ. 2015, 211, 1–9. [Google Scholar] [CrossRef]
- Edesi, L.; Järvan, M.; Noormets, M.; Lauringson, A.; Akk, E. The importance of solid cattle manure application on soil microorganisms in organic and conventional cultivation. Acta Agric. Scand. Sect. B—Soil Plant Sci. 2012, 62, 583–594. [Google Scholar] [CrossRef]
- Zhang, L.B.; Xu, H.L.; Zhao, G.X. Salt tolerance of Suaeda salsa and its soil ameliorating effect on coastal saline soil. Soil 2007, 2, 310–313. [Google Scholar]
- Lee, H.H.; Kim, S.U.; Han, H.R.; Hur, D.Y.; Owens, V.N.; Kumar, S.; Hong, C.O. Mitigation of global warming potential and greenhouse gas intensity in arable soil with green manure as source of nitrogen. Environ. Pollut. 2021, 288, 117724. [Google Scholar] [CrossRef]
- Jahanzad, E.; Barker, A.V.; Hashemi, M.; Sadeghpour, A.; Weis, S.A. Nitrogen release dynamics and de-composition of buried and surface cover crop residues. Agron. J. 2016, 108, 1735–1741. [Google Scholar] [CrossRef]
- Ma, D.K.; Yin, L.N.; Ju, W.L.; Li, X.K.; Liu, X.X.; Deng, X.P.; Wang, S.W. Meta-analysis of green manure effects on soil properties and crop yield in northern China. Field Crops Res. 2021, 266, 108146. [Google Scholar] [CrossRef]






Disclaimer/Publisher’s Note: The statements, opinions and data contained in all publications are solely those of the individual author(s) and contributor(s) and not of MDPI and/or the editor(s). MDPI and/or the editor(s) disclaim responsibility for any injury to people or property resulting from any ideas, methods, instructions or products referred to in the content. |
© 2024 by the authors. Licensee MDPI, Basel, Switzerland. This article is an open access article distributed under the terms and conditions of the Creative Commons Attribution (CC BY) license (https://creativecommons.org/licenses/by/4.0/).
Share and Cite
Li, Y.; Zhao, W.; Zhu, H.; Jia, X. Green Manure Mediated Improvement in Saline Soils in China: A Meta-Analysis. Agronomy 2024, 14, 2068. https://doi.org/10.3390/agronomy14092068
Li Y, Zhao W, Zhu H, Jia X. Green Manure Mediated Improvement in Saline Soils in China: A Meta-Analysis. Agronomy. 2024; 14(9):2068. https://doi.org/10.3390/agronomy14092068
Chicago/Turabian StyleLi, Yinjuan, Weiliang Zhao, Haojie Zhu, and Xuxia Jia. 2024. "Green Manure Mediated Improvement in Saline Soils in China: A Meta-Analysis" Agronomy 14, no. 9: 2068. https://doi.org/10.3390/agronomy14092068
APA StyleLi, Y., Zhao, W., Zhu, H., & Jia, X. (2024). Green Manure Mediated Improvement in Saline Soils in China: A Meta-Analysis. Agronomy, 14(9), 2068. https://doi.org/10.3390/agronomy14092068
