Does Nitrogen Fertilization Improve Nitrogen-Use Efficiency in Spring Wheat?
Abstract
1. Introduction
2. Materials and Methods
2.1. Experimental Site
2.2. Experimental Design and Field Management
2.3. Sampling and Analysis
2.4. Calculation
2.5. Statistical Analysis
3. Results
3.1. Dry Matter Translocation Characteristics
3.1.1. Dry Matter Accumulation
3.1.2. Dry Matter Distribution
3.1.3. Dry Matter Transport
3.1.4. Correlation between Yield and Dry Matter Translocation Characteristics
3.2. Nitrogen Translocation Characteristics
3.2.1. Nitrogen Accumulation
3.2.2. Nitrogen Distribution
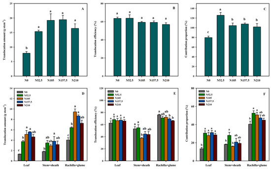
3.2.3. Nitrogen Transport
3.2.4. Correlation between Yield and Nitrogen Translocation Characteristics
3.3. Soil NO3-N
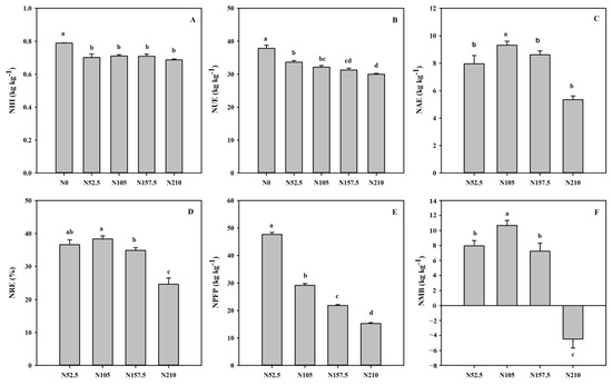
3.4. Nitrogen-Use Efficiency Indicators
4. Discussion
4.1. Effect of N-Fertilizer Rate on Dry Matter Characteristics
4.2. Effect of N-Fertilizer Rate on N Translocation Characteristics
4.3. Nitrogen-Use Efficiency
5. Conclusions
Author Contributions
Funding
Data Availability Statement
Conflicts of Interest
References
- Walsh, O.S.; Shafian, S.; Christiaens, R.J. Nitrogen Fertilizer Management in Dryland Wheat Cropping Systems. Plants 2018, 7, 9–20. [Google Scholar] [CrossRef] [PubMed]
- Sharma, L.K.; Bali, S.K. A review of methods to improve nitrogen use efficiency in agriculture. Sustainability 2017, 10, 51–73. [Google Scholar] [CrossRef]
- Hickey, L.T.; Hafeez, A.N.; Robinson, H.; Jackson, S.A.; Leal-Bertioli, S.C.; Tester, M.; Gao, C.; Godwin, I.D.; Hayes, B.J.; Wulff, B.B. Breeding crops to feed 10 billion. Nat. Biotechnol. 2019, 37, 744–754. [Google Scholar] [CrossRef]
- Grote, U.; Fasse, A.; Nguyen, T.T.; Erenstein, O. Food security and the dynamics of wheat and maize value chains in Africa and Asia. Front. Sustain. Food Syst. 2021, 4, 617009. [Google Scholar] [CrossRef]
- Kaur, B.; Kaur, G.; Asthir, B. Biochemical aspects of nitrogen use efficiency: An overview. J. Plant Nutr. 2017, 40, 506–523. [Google Scholar] [CrossRef]
- Zhang, W.F.; Ma, L.; Huang, G.Q.; Wu, L.; Chen, X.P.; Zhang, F.S. The development and contribution of nitrogenous fertilizer in China and challenges faced by the country. Sci. Agric. Sin. 2013, 46, 3161–3171. [Google Scholar]
- Ye, Y.; Wang, L.; Huang, Y.; Ma, Y.; Li, H.; Zhu, Y. Effect of Nitrogen Application on Dry Matter Accumulation and Translocation in Wheat. J. Triticeae Crops 2012, 32, 488–493. [Google Scholar]
- Zhang, J.H.; Liu, J.L.; Zhang, J.B.; Zhao, F.T.; Cheng, Y.N.; Wang, W.P. Effects of Nitrogen Application Rates on Translocation of Dry Matter and Nitrogen Utilization in Rice and Wheat. Acta Agron. Sin. 2010, 36, 1736–1742. [Google Scholar] [CrossRef]
- Liu, M.; Wu, X.; Li, C.; Li, M.; Xiong, T.; Tang, Y. Dry matter and nitrogen accumulation, partitioning, and translocation in synthetic-derived wheat cultivars under nitrogen deficiency at the post-jointing stage. Field Crops Res. 2020, 248, 107720. [Google Scholar] [CrossRef]
- Li, Q.; Yan, J. Sustainable agriculture in the era of omics: Knowledge-driven crop breeding. Genome Biol. 2020, 21, 154. [Google Scholar] [CrossRef]
- Christensen, L.E.; Below, F.E.; Hageman, R.H. The Effects of Ear Removal on Senescence and Metabolism of Maize. Plant Physiol. 1981, 68, 1180–1185. [Google Scholar] [CrossRef]
- Plénet, D.; Lemaire, G. Relationships between dynamics of nitrogen uptake and dry matter accumulation in maize crops. Determination of critical N concentration. Plant Soil 1999, 216, 65–82. [Google Scholar] [CrossRef]
- Lu, J.; Duan, B.; Yang, M.; Yang, H.; Yang, H. Research progress in nitrogen and p hosphorus resorption from senesced leaves and the influence of ontogenetic and environmental factors. Acta Pratacult. Sin. 2018, 27, 178–188. [Google Scholar]
- Dobermann, A.; Ping, J.L.; Adamchuk, V.I.; Simbahan, G.C.; Ferguson, R.B. Classification of Crop Yield Variability in Irrigated Production Fields. Agron. J. 2003, 95, 1105–1120. [Google Scholar] [CrossRef]
- Cregan, P.B.; Van Berkum, P. Genetics of nitrogen metabolism and physiological/biochemical selection for increased grain crop productivity. Theor. Appl. Genet. 1984, 67, 97–111. [Google Scholar] [CrossRef]
- Gebbing, T.; Schnyder, H. Pre-anthesis reserve utilization for protein and carbohydrate synthesis in grains of wheat. Plant Physiol. 1999, 121, 871–878. [Google Scholar] [CrossRef]
- Barraclough, P.B.; Howarth, J.R.; Jones, J.; Lopez-Bellido, R.; Parmar, S.; Shepherd, C.E.; Hawkesford, M.J. Nitrogen efficiency of wheat: Genotypic and environmental variation and prospects for improvement. Eur. J. Agron. 2010, 33, 1–11. [Google Scholar] [CrossRef]
- Hirel, B.; Le Gouis, J.; Ney, B.; Gallais, A. The challenge of improving nitrogen use efficiency in crop plants: Towards a more central role for genetic variability and quantitative genetics within integrated approaches. J. Exp. Bot. 2007, 58, 2369–2387. [Google Scholar] [CrossRef]
- Wu, L.; Green, R.; Klein, G.; Hartin, J.S.; Burger, D.W. Nitrogen source and rate influence on tall fescue quality and nitrate leaching in a southern California lawn. Agron. J. 2010, 102, 31–38. [Google Scholar] [CrossRef]
- Cox, M.C.; Qualset, C.O.; Rains, D.W. Genetic Variation for Nitrogen Assimilation and Translocation in Wheat. II. Nitrogen Assimilation in Relation to Grain Yield and Protein. Crop Sci. 1985, 25, 435–440. [Google Scholar] [CrossRef]
- Barbottin, A.; Lecomte, C.; Bouchard, C.; Jeuffroy, M.H. Nitrogen remobilization during grain filling in wheat: Genotypic and environmental effects. Crop Sci. 2005, 45, 1141–1150. [Google Scholar] [CrossRef]
- Zhang, F.; Chen, X.; Vitousek, P. An experiment for the world. Nature 2013, 497, 33–35. [Google Scholar] [CrossRef] [PubMed]
- Malhi, S.S.; Soon, Y.K.; Grant, C.A.; Lemke, R.; Lupwayi, N. Influence of controlled-release urea on seed yield and N concentration, and N use efficiency of small grain crops grown on Dark Gray Luvisols. Can. J. Soil Sci. 2010, 90, 363–372. [Google Scholar] [CrossRef]
- Guo, J.H.; Liu, X.J.; Zhang, Y.; Shen, J.L.; Han, W.X.; Zhang, W.F.; Christie, P.; Goulding, K.W.T.; Vitousek, P.M.; Zhang, F.S. Significant Acidification in Major Chinese Croplands. Science 2010, 327, 1008–1010. [Google Scholar] [CrossRef] [PubMed]
- Peltonen, J.; Virtanen, A.; Haggren, E. Using a chlorophyll meter to optimize nitrogen fertilizer application for intensively-managed small-grain cereals. J. Agron. Crop Sci. 1995, 174, 309–318. [Google Scholar] [CrossRef]
- O’Donovan, J.T.; Grant, C.A.; Blackshaw, R.E.; Harker, K.N.; Johnson, E.N.; Gan, Y.; Lafond, G.P.; May, W.E.; Turkington, T.K.; Lupwayi, N.Z.; et al. Rotational effects of legumes and non-legumes on hybrid canola and malting barley. Agron. J. 2014, 106, 1921–1932. [Google Scholar] [CrossRef]
- Glendining, M.J.; Powlson, D.S. The effect of long-term applications of inorganic nitrogen fertilizer on soil organic nitrogen. Adv. Soil Org. Matter Res. 2003, 329–338. [Google Scholar]
- Li, H.; Zhang, W.F.; Zhang, F.S.; Du, F.; Li, L.K. Chemical fertilizer use and efficiency change of main grain crops in China. Plant Nutr. Fertil. Sci. 2010, 16, 1136–1143. [Google Scholar]
- Zavalin, A.A.; Kurishbayev, A.K.; Ramazanova, R.K.; Tursinbaeva, A.E.; Kassipkhan, A. Fertilizer Nitrogen Use by Spring Triticale and Spring Wheat on Dark-Chestnut Soil of the Dry Steppe Zone of Kazakhstan. Russ. Agric. Sci. 2018, 44, 153–156. [Google Scholar] [CrossRef]
- Chien, S.H.; Teixeira, L.A.; Cantarella, H.; Rehm, G.W.; Grant, C.A.; Gearhart, M.M. Agronomic effectiveness of granular nitrogen/phosphorus fertilizers containing elemental sulfur with and without ammonium sulfate: A review. Agron. J. 2016, 108, 1203–1213. [Google Scholar] [CrossRef]
- Essono, D.M.; Nkoué, B.B.; Voundi, E.; Kono, L.; Verrecchia, E.; Ghazoul, J.; Mala, A.W.; Buttler, A.; Guillaume, T. Nutrient availability challenges the sustainability of low-input oil palm farming systems. Farming Syst. 2023, 1, 100006. [Google Scholar] [CrossRef]
- Abebe, Z.; Feyisa, H. Effects of nitrogen rates and time of application on yield of maize: Rainfall variability influenced time of N application. Int. J. Agron. 2017, 2017, 1–10. [Google Scholar] [CrossRef]
- Bao, S.D. Analysis of Soil Agro-Chemistry; Agriculture Press: Beijing, China, 1999. (In Chinese) [Google Scholar]
- Ronga, D.; Parisi, M.; Pentangelo, A.; Mori, M.; Di Mola, I. Effects of nitrogen management on biomass production and dry matter distribution of processing tomato cropped in southern Italy. Agronomy 2019, 9, 855–870. [Google Scholar] [CrossRef]
- Ouyang, X.Y.; Jiang, G.Y.; Liu, J.G.; Wang, H.Q.; Wang, R.R. Effect of nitrogen reduction on the remobilization of postanthesis assimilates to grain and grain-flling characteristics in a drip-irrigated spring wheat system. Crop Sci. 2023, 63, 293–305. [Google Scholar] [CrossRef]
- Ye, G.F.; Zhang, S.J.; Zhang, L.H.; Lin, Y.M.; Wei, S.D.; Liao, M.M.; Lin, G.H. Age-related changes in nutrient resorption patterns and tannin concentration of Casuarina equisetifolia plantations. J. Trop. For. Sci. 2012, 24, 546–556. [Google Scholar]
- Ma, S.; Wang, Y.; Liu, Y.; Yao, K.; Huang, Z.; Zhang, W.; Fan, Y.; Ma, Y. Effect of sowing date, planting density, and nitrogen application on dry matter accumulation, transfer, distribution, and yield of wheat. Chin. J. Eco-Agric. 2020, 28, 375–385. [Google Scholar]
- Si, Z.; Zain, M.; Mehmood, F.; Wang, G.; Gao, Y.; Duan, A. Effects of nitrogen application rate and irrigation regime on growth, yield, and water-nitrogen use efficiency of drip-irrigated winter wheat in the North China Plain. Agric. Water Manag. 2020, 231, 106002. [Google Scholar] [CrossRef]
- Xu, A.; Li, L.; Coulter, J.A.; Xie, J.; Zhang, R.; Luo, Z.; Cai, L.; Liu, C.; Wang, L. Long-term nitrogen addition impact on agronomic traits, nitrogen uptake and nitrogen resorption efficiency of wheat in a rainfed region. Soil Sci. Soc. Am. J. 2021, 85, 452–467. [Google Scholar] [CrossRef]
- Ercoli, L.; Masoni, A.; Mariotti, M.; Arduini, I. Accumulation of dry matter and nitrogen in durum wheat during grain filling as affected by temperature and nitrogen rate. Ital. J. Agron. 2009, 4, 3–14. [Google Scholar] [CrossRef]
- Dai, Z.; Su, W.; Chen, H.; Barberán, A.; Zhao, H.; Yu, M.; Yu, L.; Brookes, P.C.; Schadt, C.W.; Chang, S.X.; et al. Long-term nitrogen fertilization decreases bacterial diversity and favors the growth of Actinobacteria and Proteobacteria in agro-ecosystems across the globe. Glob. Chang. Biol. 2018, 24, 3452–3461. [Google Scholar] [CrossRef]
- Zheng, C.Y.; Deng, A.X.; Latifmanesh, H.; Song, Z.W.; Zhang, J.; Wang, L.; Zhang, W.J. Warming impacts on the dry matter accumulation, and translocation and nitrogen uptake and utilization of winter wheat on the Qinghai-Xizang Plateau. Chin. J. Plant Ecol. 2017, 41, 1060–1068. [Google Scholar]
- Yan, S.; Wu, Y.; Fan, J.; Zhang, F.; Guo, J.; Zheng, J.; Wu, L. Optimization of drip irrigation and fertilization regimes to enhance winter wheat grain yield by improving post-anthesis dry matter accumulation and translocation in northwest China. Agric. Water Manag. 2022, 271, 107782. [Google Scholar] [CrossRef]
- Zhang, H.; Han, K.; Gu, S.; Wang, D. Effects of supplemental irrigation on the accumulation, distribution and transportation of 13C-photosynthate, yield and water use efficiency of winter wheat. Agric. Water Manag. 2019, 214, 1–8. [Google Scholar] [CrossRef]
- Koutroubas, S.D.; Fotiadis, S.; Damalas, C.A.; Papageorgiou, M. Grain-filling patterns and nitrogen utilization efficiency of spelt (Triticum spelta) under Mediterranean conditions. J. Agric. Sci. 2014, 152, 716–730. [Google Scholar] [CrossRef]
- Yang, J.; Zhang, J.; Wang, Z.; Zhu, Q.; Liu, L. Water deficit–induced senescence and its relationship to the remobilization of pre-stored carbon in wheat during grain filling. Agron. J. 2001, 93, 196–206. [Google Scholar] [CrossRef]
- Vilmus, I.; Ecarnot, M.; Verzelen, N.; Roumet, P. Monitoring nitrogen leaf resorption kinetics by near-infrared spectroscopy during grain filling in durum wheat in different nitrogen availability conditions. Crop Sci. 2014, 54, 284–296. [Google Scholar] [CrossRef]
- Killingbeck, K.T. Nutrients in Senesced Leaves: Keys to the Search for Potential Resorption and Resorption Proficiency. Ecology 1996, 77, 1716–1727. [Google Scholar] [CrossRef]
- Cairney, J.W. Ectomycorrhizal fungi: The symbiotic route to the root for phosphorus in forest soils. Plant Soil 2011, 344, 51–71. [Google Scholar] [CrossRef]
- Ostonen, I.; Helmisaari, H.S.; Borken, W.; Tedersoo, L.; Kukumägi, M.; Bahram, M.; Lindroos, A.J.; Nöjd, P.; Uri, V.; Merilä, P.; et al. Fine root foraging strategies in Norway spruce forests across a European climate gradient. Glob. Chang. Biol. 2011, 17, 3620–3632. [Google Scholar] [CrossRef]
- Ganeshamurthy, A.N.; Reddy, Y.T.N. Fitness of mango for colonization in low fertility soils and dry lands: Examination of leaf life-span, leaf nutrient resorption, and nutrient use efficiency in elite mango varieties. Agric. Res. 2015, 4, 254–260. [Google Scholar] [CrossRef]
- Zhu, X.; Guo, W.; Feng, C.; Peng, Y.; Ling, Q. Nitrogen absorption and utilization differences among wheat varieties for different end uses. J. Plant Nutr. Fertil. 2005, 11, 148–154. [Google Scholar]
- Liu, W.; Zhang, Q.; Wang, D. Effects of Nitrogen-based Recovery Ratio on the Leaf Senescence and the Yield of Different Maturing Phases of Wheat. Hunan Agric. Sci. 2015, 03, 21–24. [Google Scholar]
- Garabet, S.; Wood, M.; Ryan, J. Nitrogen and water effects on wheat yield in a Mediterranean-type climate: I. Growth, water-use and nitrogen accumulation. Field Crops Res. 1998, 58, 213–221. [Google Scholar] [CrossRef]
- Huang, J.Y.; Yu, H.L.; Wang, B.; Li, L.H.; Xiao, G.J.; Yuan, Z.Y. Nutrient resorption based on different estimations of five perennial herbaceous species from the grassland in inner Mongolia, China. J. Arid Environ. 2012, 76, 1–8. [Google Scholar] [CrossRef]
- Dordas, C. Dry matter, nitrogen and phosphorus accumulation, partitioning and remobilization as affected by N and P fertilization and source–sink relations. Eur. J. Agron. 2009, 30, 129–139. [Google Scholar] [CrossRef]
- Vergutz, L.; Manzoni, S.; Porporato, A.; Novais, R.F.; Jackson, R.B. Global resorption efficiencies and concentrations of carbon and nutrients in leaves of terrestrial plants. Ecol. Monogr. 2012, 82, 205–220. [Google Scholar] [CrossRef]
- Reed, S.C.; Townsend, A.R.; Davidson, E.A.; Cleveland, C.C. Stoichiometric patterns in foliar nutrient resorption across multiple scales. New Phytol. 2012, 196, 173–180. [Google Scholar] [CrossRef]
- Yuan, Z.Y.; Chen, H.Y. Negative effects of fertilization on plant nutrient resorption. Ecology 2015, 96, 373–380. [Google Scholar] [CrossRef]
- Millard, P.; Grelet, G.A. Nitrogen storage and remobilization by trees: Ecophysiological relevance in a changing world. Tree Physiol. 2010, 30, 1083–1095. [Google Scholar] [CrossRef]
- Li, Y.; Niu, S.; Yu, G. Aggravated phosphorus limitation on biomass production under increasing nitrogen loading: A meta-analysis. Glob. Chang. Biol. 2016, 22, 934–943. [Google Scholar] [CrossRef]
- Liu, Z.; Chen, Z.; Ma, P.; Meng, Y.; Zhou, J. Effects of tillage, mulching and N management on yield, water productivity, N uptake and residual soil nitrate in a long-term wheat-summer maize cropping system. Field Crops Res. 2017, 213, 154–164. [Google Scholar] [CrossRef]
- Scholberg, J.; McNeal, B.L.; Boote, K.J.; Jones, J.W.; Locascio, S.J.; Olson, S.M. Nitrogen stress effects on growth and nitrogen accumulation by field-grown tomato. Agron. J. 2000, 92, 159–167. [Google Scholar] [CrossRef]
- Khakbazan, M.; Grant, C.A.; Huang, J.; Smith, E.G.; O’Donovan, J.T.; Blackshaw, R.E.; Harker, K.N.; Lafond, G.P.; Johnson, E.N.; Gan, Y.; et al. Economic effects of preceding crops and nitrogen application on canola and subsequent barley. Agron. J. 2014, 106, 2055–2066. [Google Scholar] [CrossRef]
- Reddy, G.B.; Reddy, K.R. Fate of nitrogen-15 enriched ammonium nitrate applied to corn. Soil Sci. Soc. Am. J. 1993, 57, 111–115. [Google Scholar] [CrossRef]
- Raun, W.R.; Johnson, G.V. Improving nitrogen use efficiency for cereal production. Agron. J. 1999, 91, 357–363. [Google Scholar] [CrossRef]
- Hu, H.; Ning, T.; Li, Z.; Han, H.; Zhang, Z.; Qin, S.; Zheng, Y. Coupling effects of urea types and subsoiling on nitrogen–water use and yield of different varieties of maize in northern China. Field Crops Res. 2013, 142, 85–94. [Google Scholar] [CrossRef]
- Li, C.; Wang, C.; Wen, X.; Qin, X.; Liu, Y.; Han, J.; Li, Y.; Liao, Y.; Wu, W. Ridge–furrow with plastic film mulching practice improves maize productivity and resource use efficiency under the wheat–maize double–cropping system in dry semi–humid areas. Field Crops Res. 2017, 203, 201–211. [Google Scholar] [CrossRef]
- Campbell, C.A.; Selles, F.; Zentner, R.P.; McConkey, B.G. Nitrogen management for zero-till spring wheat: Disposition in plant and utilization efficiency. Commun. Soil Sci. Plant Anal. 1993, 24, 2223–2239. [Google Scholar] [CrossRef]
- Xu, A.; Li, L.; Xie, J.; Wang, X.; Coulter, J.A.; Liu, C.; Wang, L. Effect of Long-Term Nitrogen Addition on Wheat Yield, Nitrogen Use Efficiency, and Residual Soil Nitrate in a Semiarid Area of the Loess Plateau of China. Sustainability 2020, 12, 1735–1751. [Google Scholar] [CrossRef]
- Ladha, J.K.; Tirol-Padre, A.; Reddy, C.K.; Cassman, K.G.; Verma, S.; Powlson, D.S.; Van Kessel, C.; Daniel, D.B.R.; Chakraborty, D.; Pathak, H. Global nitrogen budgets in cereals: A 50-year assessment for maize, rice, and wheat production systems. Sci. Rep. 2016, 6, 19355. [Google Scholar] [CrossRef]







| Year | Treatment 1 | DMA | DMAP | CGR | ||||
|---|---|---|---|---|---|---|---|---|
| Jointing | Anthesis | Maturity | Jointing to Anthesis | Anthesis to Maturity | Jointing to Anthesis | Anthesis to Maturity | ||
| 2018 | N0 | 684 ± 57.2b | 1184 ± 114.1c | 1173 ± 100.0d | 2028 ± 170.1c | 1532 ± 261.4b | 65.4 ± 5.5c | 66.6 ± 11.4b |
| N52.5 | 722 ± 67.5b | 1361 ± 106.5bc | 1572 ± 127.4cd | 2478 ± 261.1c | 2426 ± 33.5a | 79.9 ± 8.4c | 105.5 ± 1.5a | |
| N105 | 1062 ± 30.4a | 2192 ± 123.0a | 2634 ± 230.4a | 3125 ± 145.8b | 2885 ± 130.7a | 100.8 ± 4.7b | 125.4 ± 5.7a | |
| N157.5 | 872 ± 76.9ab | 2250 ± 117.0a | 2249 ± 172.2ab | 4591 ± 253.5a | 1572 ± 144.4b | 148.1 ± 8.2a | 68.4 ± 6.3b | |
| N5 | 770 ± 80.8b | 1755 ± 162.8b | 1827 ± 229.8bc | 3678 ± 118.4b | 1830 ± 138.5b | 118.7 ± 3.8b | 79.5 ± 6.0b | |
| ANOVA p-value | 0.014 | <0.001 | 0.002 | <0.001 | <0.001 | <0.001 | <0.001 | |
| 2019 | N0 | 598 ± 76.7b | 1309 ± 95.4b | 1783 ± 105.2c | 3245 ± 90.6b | 1683 ± 142.0b | 124.8 ± 3.5b | 51.0 ± 4.3b |
| N52.5 | 903 ± 1.3a | 2027 ± 23.1a | 2100 ± 69.2b | 3714 ± 313.8b | 1658 ± 110.4b | 142.9 ± 12.1b | 50.2 ± 3.4b | |
| N105 | 909 ± 31.2a | 2138 ± 57.7a | 2600 ± 58.0a | 5631 ± 158.3a | 2449 ± 329.5a | 216.6 ± 6.1a | 74.2 ± 10.0a | |
| N157.5 | 877 ± 88.5a | 1986 ± 109.0a | 2486 ± 103.5a | 5688 ± 203.7a | 2576 ± 131.8a | 218.8 ± 7.8a | 78.1 ± 4.0a | |
| N5 | 853 ± 31.1a | 2023 ± 12.5a | 2396 ± 40.3a | 6199 ± 147.8a | 1972 ± 240.8ab | 238.4 ± 5.7a | 59.8 ± 7.3ab | |
| ANOVA p-value | 0.014 | <0.001 | <0.001 | <0.001 | 0.030 | <0.001 | 0.030 | |
| Average | N0 | 2744 ± 14.2b | 5381 ± 119.3d | 6988 ± 127.8c | 2637 ± 129.9d | 1607 ± 83.2c | 95.1 ± 4.5d | 58.8 ± 5.0c |
| N52.5 | 3456 ± 27.6a | 6552 ± 102.8c | 8594 ± 149.6b | 3096 ± 116.8c | 2042 ± 57.1b | 111.4 ± 4.4c | 77.9 ± 1.8b | |
| N105 | 3581 ± 24.7a | 7959 ± 173.9b | 10625 ± 159.6a | 4378 ± 151.6b | 2667 ± 224.7a | 158.7 ± 5.4b | 99.8 ± 7.6a | |
| N157.5 | 3706 ± 203.4a | 8845 ± 121.1a | 10919 ± 119.4a | 5139 ± 177.7a | 2074 ± 12.7b | 183.4 ± 6.2a | 73.2 ± 1.2b | |
| N5 | 3707 ± 129.6a | 8646 ± 123.5a | 10547 ± 172.2a | 4939 ± 14.7a | 1901 ± 50.2b | 178.6 ± 0.9a | 69.7 ± 2.3bc | |
| ANOVA p-value | <0.001 | <0.001 | <0.001 | <0.001 | 0.001 | <0.001 | 0.001 | |
| Year | Growth Stage | Treatment 1 | DDP (%) | ||||
|---|---|---|---|---|---|---|---|
| Leaf | Stem + Sheath | Ear | Rachilla + Glume | Grain | |||
| 2018 | Anthesis | N0 | 10.40 ± 0.34c | 52.50 ± 1.12a | 37.10 ± 1.46a | — | — |
| N52.5 | 12.24 ± 0.74bc | 49.76 ± 1.74ab | 38.00 ± 1.94a | — | — | ||
| N105 | 13.89 ± 0.11b | 47.25 ± 0.56bc | 38.86 ± 0.52a | — | — | ||
| N157.5 | 16.16 ± 0.31a | 45.68 ± 1.05c | 38.17 ± 0.74a | — | — | ||
| N210 | 15.86 ± 1.03a | 46.10 ± 0.61c | 38.04 ± 0.85a | — | — | ||
| ANOVA p-value | <0.001 | 0.007 | 0.895 | — | — | ||
| Maturity | N0 | 9.58 ± 0.31a | 40.23 ± 1.52a | — | 19.31 ± 1.30a | 30.88 ± 0.73ab | |
| N52.5 | 11.80 ± 0.88a | 38.06 ± 1.39a | — | 22.28 ± 2.31a | 27.85 ± 1.81b | ||
| N105 | 11.87 ± 0.95a | 40.68 ± 1.40a | — | 19.24 ± 2.10a | 28.20 ± 0.56b | ||
| N157.5 | 11.23 ± 0.90a | 39.81 ± 1.30a | — | 19.53 ± 1.79a | 29.43 ± 0.63ab | ||
| N210 | 9.94 ± 0.88a | 37.83 ± 1.33a | — | 19.90 ± 1.27a | 32.32 ± 0.44a | ||
| ANOVA p-value | 0.228 | 0.515 | — | 0.738 | 0.041 | ||
| 2019 | Anthesis | N0 | 15.01 ± 0.72b | 59.20 ± 2.53a | 25.80 ± 1.86a | — | — |
| N52.5 | 17.22 ± 0.38a | 56.35 ± 0.48a | 26.43 ± 0.10a | — | — | ||
| N105 | 17.72 ± 0.14a | 57.00 ± 0.52a | 25.28 ± 0.46a | — | — | ||
| N157.5 | 17.27 ± 0.64a | 56.44 ± 0.41a | 26.28 ± 1.05a | — | — | ||
| N210 | 17.16 ± 0.72a | 57.57 ± 0.81a | 25.27 ± 0.09a | — | — | ||
| ANOVA p-value | 0.048 | 0.512 | 0.866 | — | — | ||
| Maturity | N0 | 8.30 ± 0.45b | 41.19 ± 0.70a | — | 17.51 ± 0.48a | 33.00 ± 0.28b | |
| N52.5 | 7.86 ± 0.10b | 40.14 ± 0.44ab | — | 17.33 ± 0.80a | 34.66 ± 0.45ab | ||
| N105 | 7.86 ± 0.38b | 41.01 ± 1.27a | — | 17.5 ± 0.22a | 33.64 ± 1.27b | ||
| N157.5 | 8.71 ± 0.21ab | 38.10 ± 0.58b | — | 16.56 ± 0.5a | 36.63 ± 0.76a | ||
| N210 | 9.26 ± 0.16a | 39.65 ± 0.5ab | — | 17.94 ± 0.25a | 33.14 ± 0.56b | ||
| ANOVA p-value | 0.030 | 0.093 | — | 0.434 | 0.033 | ||
| Average | Anthesis | N0 | 12.81 ± 0.55b | 56.02 ± 1.29a | 31.17 ± 1.25a | — | — |
| N52.5 | 15.22 ± 0.56a | 53.63 ± 0.48ab | 31.15 ± 0.93a | — | — | ||
| N105 | 15.79 ± 0.13a | 52.07 ± 0.64bc | 32.15 ± 0.64a | — | — | ||
| N157.5 | 16.70 ± 0.21a | 50.73 ± 0.80c | 32.57 ± 0.94a | — | — | ||
| N210 | 16.52 ± 0.77a | 52.28 ± 0.27bc | 31.20 ± 0.57a | — | — | ||
| ANOVA p-value | 0.002 | 0.007 | 0.704 | — | — | ||
| Maturity | N0 | 8.79 ± 0.33a | 40.85 ± 0.88a | — | 18.19 ± 0.61a | 32.17 ± 0.21ab | |
| N52.5 | 9.51 ± 0.25a | 39.31 ± 0.44a | — | 19.34 ± 0.80a | 31.85 ± 0.47ab | ||
| N105 | 9.84 ± 0.56a | 40.84 ± 1.25a | — | 18.45 ± 1.07a | 30.87 ± 0.72b | ||
| N157.5 | 9.86 ± 0.25a | 38.87 ± 0.8a | — | 18.05 ± 1.03a | 33.22 ± 0.64a | ||
| N210 | 9.51 ± 0.4a | 38.92 ± 0.81a | — | 18.72 ± 0.55a | 32.84 ± 0.27a | ||
| ANOVA p-value | 0.326 | 0.330 | — | 0.825 | 0.057 | ||
| Item | Grain Yield | ||
|---|---|---|---|
| DMA | Jointing | r = 0.554 *, p = 0.032 | |
| Anthesis | r = 0.752 **, p = 0.001 | ||
| Maturity | r = 0.726 **, p = 0.002 | ||
| DMAP | Jointing to anthesis | r = 0.863 **, p < 0.001 | |
| Anthesis to maturity | r = 0.132, p = 0.638 | ||
| CGR | Jointing to anthesis | r = 0.863 **, p < 0.001 | |
| Anthesis to maturity | r = 0.132, p = 0.638 | ||
| DDP | Anthesis | Leaf | r = 0.847 **, p < 0.001 |
| Stem + sheath | r = −0.867 **, p < 0.001 | ||
| Ear | r = 0.412, p = 0.127 | ||
| Maturity | Leaf | r = 0.422, p = 0.117 | |
| Stem + sheath | r = −0.564 *, p = 0.029 | ||
| Rachilla + glume | r = −0.026, p = 0.926 | ||
| Grain | r = 0.333, p = 0.225 | ||
| DTA | Leaf | r = 0.718 **, p = 0.003 | |
| Stem + sheath | r = 0.184, p = 0.512 | ||
| Rachilla + glume | r = 0.595 *, p = 0.019 | ||
| DTE | Leaf | r = 0.442, p = 0.099 | |
| Stem + sheath | r = −0.149, p = 0.597 | ||
| Rachilla + glume | r = 0.233, p = 0.404 | ||
| Year | Treatment 1 | Anthesis | Maturity | |||||
|---|---|---|---|---|---|---|---|---|
| Leaf | Stem + Sheath | Ear | Leaf | Stem + Sheath | Rachilla + Glume | Grains | ||
| 2018 | N0 | 9.78 ± 0.57c | 27.91 ± 2.13a | 56.68 ± 1.76a | 6.23 ± 0.63b | 12.17 ± 0.99ab | 11.64 ± 0.76b | 75.14 ± 1.99a |
| N52.5 | 13.73 ± 1.91bc | 26.37 ± 2.00a | 51.01 ± 1.58b | 11.46 ± 1.30a | 10.99 ± 0.67b | 15.82 ± 0.69a | 55.98 ± 1.22c | |
| N105 | 16.74 ± 1.11ab | 24.43 ± 0.98a | 49.38 ± 1.56b | 9.81 ± 0.87a | 14.03 ± 0.59a | 13.61 ± 1.14ab | 60.38 ± 1.19bc | |
| N157.5 | 19.42 ± 1.06a | 24.17 ± 0.86a | 47.94 ± 1.06b | 10.15 ± 1.20a | 11.77 ± 0.53ab | 15.46 ± 0.35a | 58.91 ± 2.33c | |
| N210 | 17.76 ± 2.51ab | 23.28 ± 1.85a | 50.79 ± 2.00b | 8.47 ± 1.18ab | 12.74 ± 0.70ab | 15.80 ± 1.44a | 64.92 ± 1.07b | |
| ANOVA p-value | 0.012 | 0.339 | 0.030 | 0.051 | 0.104 | 0.044 | < 0.001 | |
| 2019 | N0 | 23.39 ± 1.17b | 26.07 ± 1.67a | 25.64 ± 1.51a | 6.20 ± 0.23b | 13.20 ± 1.75a | 8.54 ± 1.09b | 80.50 ± 0.91a |
| N52.5 | 27.42 ± 0.25ab | 24.44 ± 2.16a | 25.72 ± 1.53a | 6.51 ± 0.70b | 18.24 ± 2.41a | 11.57 ± 0.77ab | 70.79 ± 5.76ab | |
| N105 | 28.84 ± 1.95a | 21.34 ± 2.14a | 25.32 ± 2.39a | 7.37 ± 0.43b | 19.64 ± 2.80a | 10.55 ± 0.96ab | 66.81 ± 4.28b | |
| N157.5 | 29.14 ± 1.42a | 24.87 ± 2.01a | 22.97 ± 1.66a | 8.84 ± 0.48a | 19.63 ± 1.71a | 10.68 ± 1.19ab | 67.10 ± 2.34b | |
| N210 | 28.62 ± 1.77a | 24.55 ± 1.32a | 22.95 ± 0.88a | 9.63 ± 0.15a | 17.08 ± 3.42a | 13.16 ± 1.23a | 59.42 ± 0.63b | |
| ANOVA p-value | 0.090 | 0.519 | 0.588 | 0.001 | 0.395 | 0.108 | 0.017 | |
| Average | N0 | 16.60 ± 0.87c | 26.94 ± 1.80a | 41.16 ± 1.86a | 6.20 ± 0.18b | 12.76 ± 1.42a | 9.90 ± 0.61b | 78.18 ± 1.33a |
| N52.5 | 21.90 ± 0.33b | 25.08 ± 1.80a | 36.12 ± 0.59b | 8.96 ± 1.03a | 14.55 ± 0.82a | 13.58 ± 0.60a | 63.95 ± 4.17b | |
| N105 | 22.52 ± 0.75ab | 23.04 ± 1.04a | 37.82 ± 0.80ab | 8.73 ± 0.77a | 16.76 ± 1.09a | 12.17 ± 0.89ab | 62.82 ± 1.04b | |
| N157.5 | 24.32 ± 0.75a | 24.40 ± 1.28a | 35.80 ± 1.73b | 9.44 ± 0.76a | 16.04 ± 1.59a | 13.06 ± 0.23a | 62.94 ± 1.66b | |
| N210 | 23.44 ± 0.72ab | 23.91 ± 0.55a | 36.49 ± 1.10b | 9.16 ± 0.49a | 15.43 ± 2.15a | 14.2 ± 1.07a | 61.78 ± 0.35b | |
| ANOVA p-value | <0.001 | 0.393 | 0.085 | 0.052 | 0.417 | 0.016 | 0.001 | |
| Item | Grain Yield | ||
|---|---|---|---|
| NAA | Jointing | r = 0.838 **, p < 0.001 | |
| Anthesis | r = 0.851 **, p < 0.001 | ||
| Maturity | r = 0.859 **, p < 0.001 | ||
| NDP | Anthesis | Leaf | r = 0.820 **, p < 0.001 |
| Stem + sheath | r = −0.448, p = 0.094 | ||
| Ear | r = −0.490, p = 0.064 | ||
| Maturity | Leaf | r = 0.645 **, p = 0.009 | |
| Stem + sheath | r = 0.459, p = 0.085 | ||
| Rachilla + glume | r = 0.542 *, p = 0.037 | ||
| Grain | r = −0.711 **, p = 0.003 | ||
| NTA | Leaf | r = 0.858 **, p < 0.001 | |
| Stem + sheath | r = 0.511, p = 0.051 | ||
| Rachilla + glume | r = 0.716 **, p = 0.003 | ||
| NTE | Leaf | r = 0.164, p = 0.559 | |
| Stem + sheath | r = −0.450, p = 0.093 | ||
| Rachilla + glume | r = −0.567 *, p = 0.028 | ||
Disclaimer/Publisher’s Note: The statements, opinions and data contained in all publications are solely those of the individual author(s) and contributor(s) and not of MDPI and/or the editor(s). MDPI and/or the editor(s) disclaim responsibility for any injury to people or property resulting from any ideas, methods, instructions or products referred to in the content. |
© 2024 by the authors. Licensee MDPI, Basel, Switzerland. This article is an open access article distributed under the terms and conditions of the Creative Commons Attribution (CC BY) license (https://creativecommons.org/licenses/by/4.0/).
Share and Cite
Xu, A.; Chen, Y.; Wei, X.; Effah, Z.; Li, L.; Xie, J.; Liu, C.; Anwar, S. Does Nitrogen Fertilization Improve Nitrogen-Use Efficiency in Spring Wheat? Agronomy 2024, 14, 2049. https://doi.org/10.3390/agronomy14092049
Xu A, Chen Y, Wei X, Effah Z, Li L, Xie J, Liu C, Anwar S. Does Nitrogen Fertilization Improve Nitrogen-Use Efficiency in Spring Wheat? Agronomy. 2024; 14(9):2049. https://doi.org/10.3390/agronomy14092049
Chicago/Turabian StyleXu, Aixia, Yafei Chen, Xuexue Wei, Zechariah Effah, Lingling Li, Junhong Xie, Chang Liu, and Sumera Anwar. 2024. "Does Nitrogen Fertilization Improve Nitrogen-Use Efficiency in Spring Wheat?" Agronomy 14, no. 9: 2049. https://doi.org/10.3390/agronomy14092049
APA StyleXu, A., Chen, Y., Wei, X., Effah, Z., Li, L., Xie, J., Liu, C., & Anwar, S. (2024). Does Nitrogen Fertilization Improve Nitrogen-Use Efficiency in Spring Wheat? Agronomy, 14(9), 2049. https://doi.org/10.3390/agronomy14092049

