Nutrient Dynamics in Integrated Crop–Livestock Systems: Effects of Stocking Rates and Nitrogen System Fertilization on Litter Decomposition and Release
Abstract
1. Introduction
2. Materials and Methods
2.1. Location and Soil Properties
2.2. Experimental Design
2.3. Experimental Pasture Phases
2.4. Experimental Corn Phases
2.5. N-Fertilization Time
2.6. Overall Experimental Design
2.7. Dry Matter Decomposition and Nutrient Release Experiment
2.8. Statistical Procedures
3. Results
3.1. Initial Characterization of Residue Dry Matter
3.2. Dry Matter Decomposition of Sorghum, Black Oat, and Corn
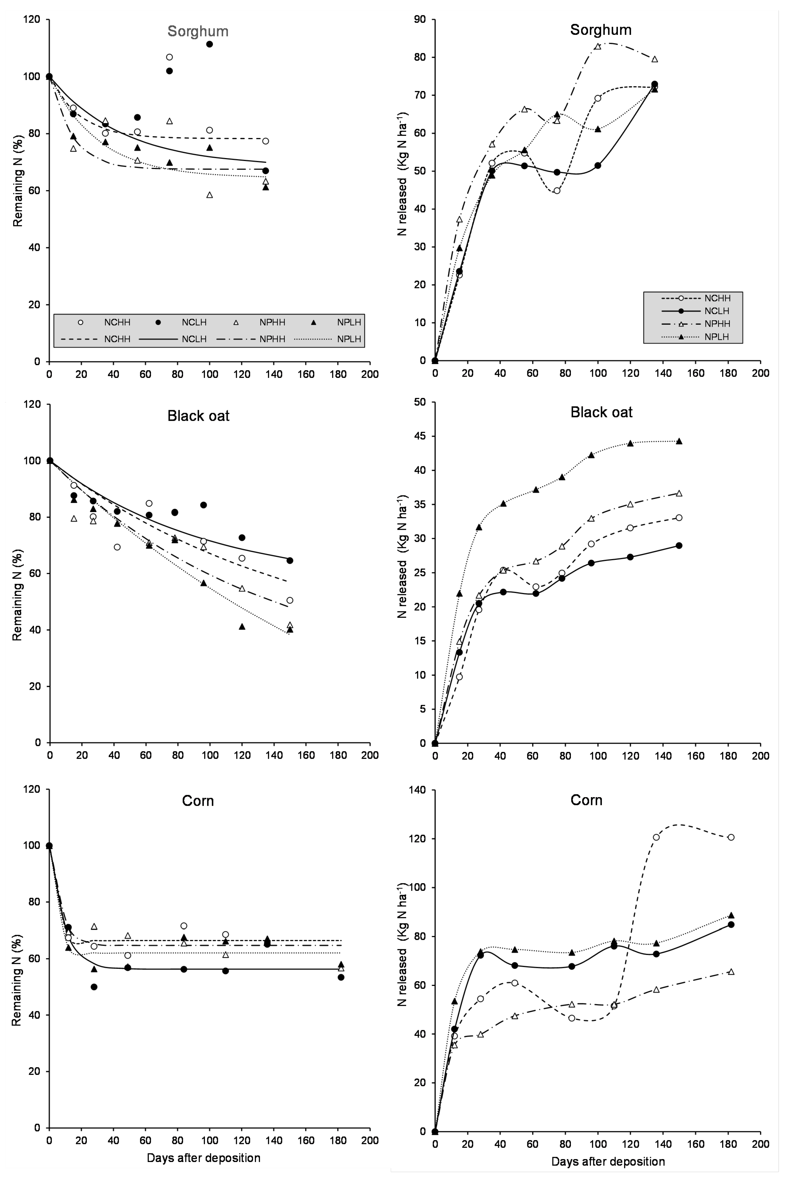
3.3. Nitrogen Release of Sorghum, Black Oat, and Corn Residue
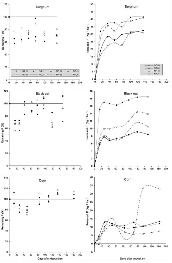
3.4. Phosphorous Release of Sorghum, Black Oat, and Corn Residue
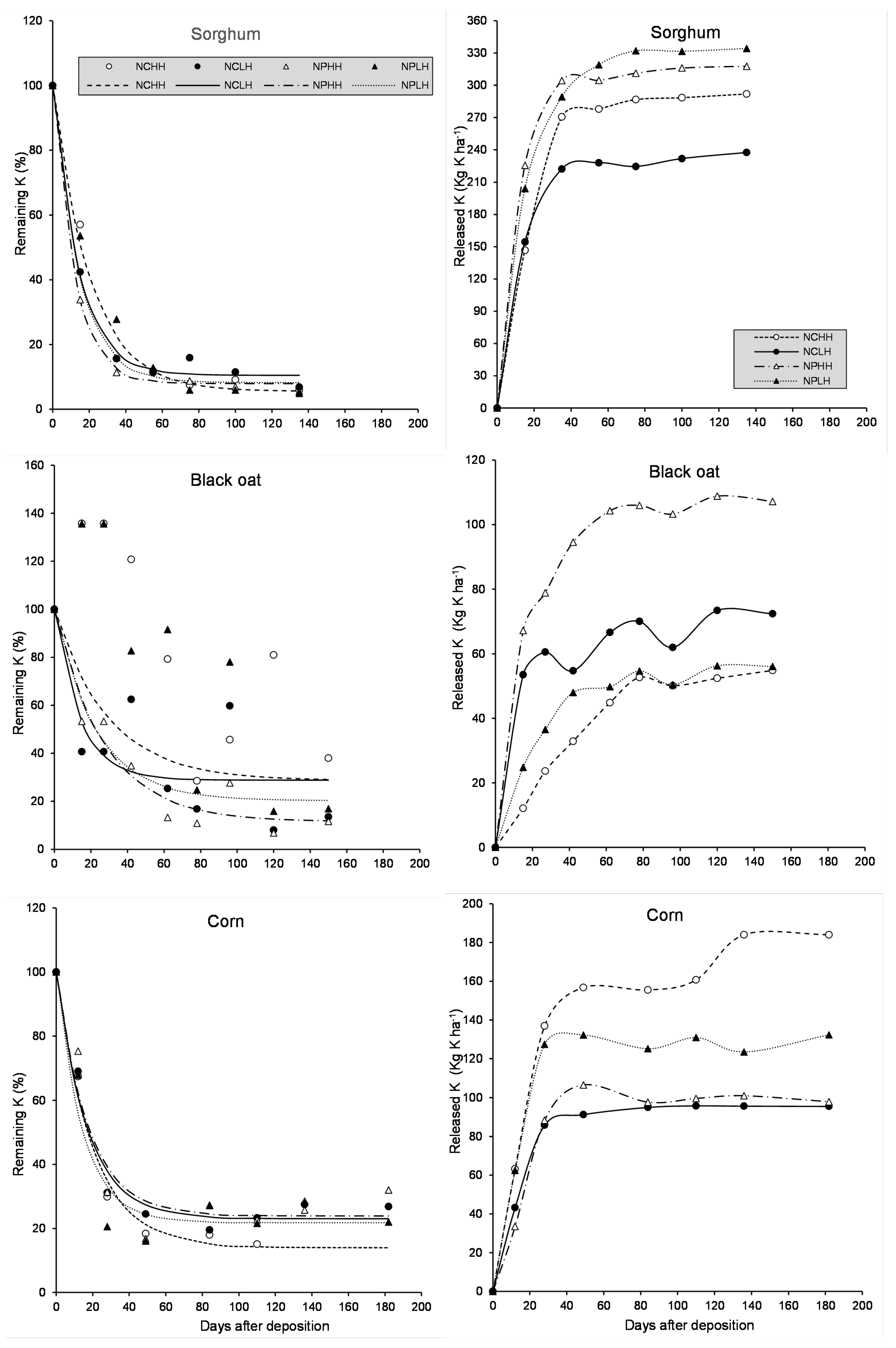
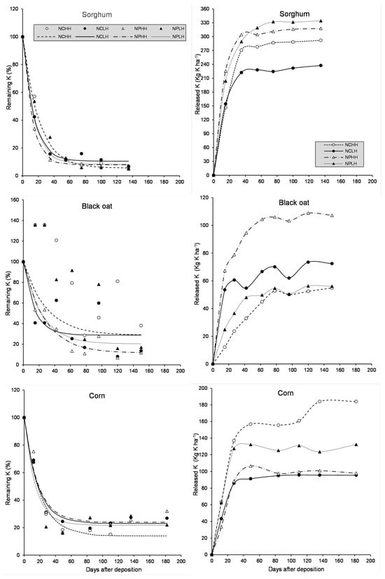
3.5. Potassium Release of Sorghum, Black Oat, and Corn Residue
4. Discussion
4.1. Dry Matter Decomposition of Sorghum, Black Oat, and Corn Residue
4.2. N, P, and K Release of Sorghum, Black Oat, and Corn Residue
4.2.1. Nitrogen Release
4.2.2. Phosphorus Release
4.2.3. Potassium Release
5. Conclusions
Author Contributions
Funding
Data Availability Statement
Acknowledgments
Conflicts of Interest
References
- Assmann, T.S.; de Bortolli, M.A.; Assmann, A.L.; Soares, A.B.; Pitta, C.S.R.; Franzluebbers, A.J.; Glienke, C.L.; Assmann, J.M. Does cattle grazing of dual-purpose wheat accelerate the rate of stubble decomposition and nutrients released? Agric. Ecosyst. Environ. 2014, 190, 37–42. [Google Scholar] [CrossRef]
- Maccari, M.; Assmann, T.S.; Bernadon, A.; Soares, A.B.; Franzlubbers, A.; Bortolli, M.; Bortolli, B.B.; Glienke, C.L. Relationships between N, P, and K in corn biomass for assessing the carryover effects of winter pasture to corn. Eur. J. Agron. 2021. [Google Scholar] [CrossRef]
- Ghimire, S.; Wang, J.; Fleck, J.R. Integrated crop-livestock systems for nitrogen management: A multi-scale spatial analysis. Animals 2021, 11, 100. [Google Scholar] [CrossRef] [PubMed]
- Fontaine, S.; Abbadie, L.; Aubert, M.; Barot, S.; Bloor, J.M.G.; Derrien, D.; Duchene, O.; Gross, N.; Henneron, L.; Le Roux, X.; et al. Plant–soil synchrony in nutrient cycles: Learning from ecosystems to design sustainable agrosystems. Glob. Chang. Biol. 2023, 30, e17034. [Google Scholar] [CrossRef] [PubMed]
- Ahrends, H.; Siebert, S.; Rezaei, E.E.; Seidel, S.J.; Hüging, H.; Ewert, F.; Döring, T.; Rueda-Ayala, V.; Eugster, W.; Gaiser, T. Nutrient supply affects the yield stability of major European crops—A 50 year study. Environ. Res. Lett. 2020, 16, 014003. [Google Scholar] [CrossRef]
- Rueda, B.L.; McRoberts, K.C.; Blake, R.W.; Nicholson, C.F.; Valentim, J.F.; Fernandes, E.C.M.; Tejada Moral, M. Nutrient status of cattle grazing systems in the western Brazilian Amazon. Cattle Syst. Res. 2020, 6, 1722350. [Google Scholar] [CrossRef]
- Vogel, E.; Martinelli, G.; Artuzo, F.D. Environmental and economic performance of paddy field-based crop-livestock systems in Southern Brazil. Agric. Syst. 2021, 190, 103109. [Google Scholar] [CrossRef]
- Camelo, G.G.d.S.; Blum, J. Nutrient flows in small-scale farm production systems from Northeastern Brazil. Agroecol. Sustain. Food Syst. 2018, 42, 963–981. [Google Scholar] [CrossRef]
- CQFS-RS/SC. Manual de Adubação e Calagem para os Estados do Rio Grande do Sul e Santa Catarina; Sociedade Brasileira de Ciência do Solo Porto Alegre: Porto Alegre, Brazil, 2004. [Google Scholar]
- Tedesco, M.J.; Gianello, C.; Bissani, C.A.; Bohnen, H.; Volkweiss, S.J. Análise de Solo, Plantas e Outros Materiais, 2nd ed.; Faculdade de Agronomia, Departamento de Solos, UFRGS: Porto Alegre, Brazil, 1995. [Google Scholar]
- Paul, E.A.; Clark, F.E. Soil Microbiology and Biochemistry; Academic Press: San Diego, CA, USA, 1996. [Google Scholar]
- Cruz, C.D. GENES—A software package for analysis in experimental statistics and quantitative genetics. Acta Sci. 2013, 35, 271–276. [Google Scholar]
- Barbosa Teixeira, M.; Loss, A.; Pereira, M.G.; Pimentel, C. Decomposição e ciclagem de nutrientes dos resíduos de quatro plantas de cobertura do solo. Idesia 2012, 30, 55–64. [Google Scholar] [CrossRef][Green Version]
- Torres, J.L.R.; Pereira, M.G. Dinâmica do potássio nos resíduos vegetais de plantas de cobertura no Cerrado. Rev. Bras. Ciênc. Solo 2008, 32, 1609–1618. [Google Scholar] [CrossRef]
- Semmartin, M.; Garibaldi, L.A.; Chaneton, E.J. Grazing history effects on above-and below-ground litter decomposition and nutrient cycling in two co-occurring grasses. Plant Soil 2008, 303, 177–178. [Google Scholar] [CrossRef]
- Sanaullah, M.; Chabbi, A.; Lemaire, G.; Charrier, X.; Rumpel, C. How does plant leaf senescence of grassland species influence decomposition kinetics and litter compounds dynamics? Nutr. Cycl. Agroecosyst. 2010, 88, 159–171. [Google Scholar] [CrossRef]
- Jaramillo, D.M.; Dubeux, J.C.B.; Sollenberger, L.; Mackowiak, C.; Vendramini, J.M.B.; DiLorenzo, N.; Queiroz, L.M.D.; Santos, E.R.S.; Garcia, L.; Ruiz-Moreno, M.; et al. Litter mass, deposition rate, and decomposition in nitrogen-fertilized or grass–legume grazing system. Crop. Sci. 2021, 61, 2176–2189. [Google Scholar] [CrossRef]
- Shariff, A.R.; Biondini, M.E.; Grygiel, C.E. Grazing intensity effects on litter decomposition and soil nitrogen mineralization. Rangel. Ecol. Manag. Range Manag. Arch. 1994, 47, 444–449. [Google Scholar] [CrossRef]
- Bardgett, R.D.; Wardle, D.A.; Yeates, G.W. Linking above-ground and below-ground interactions: How plant responses to foliar herbivory influence soil organisms. Soil Biol. Biochem. 1998, 30, 1867–1878. [Google Scholar] [CrossRef]
- Olofsson, J.; Oksanen, L. Role of litter decomposition for the increased primary production in areas heavily grazed by reindeer: A litterbag experiment. Oikos 2002, 96, 507–515. [Google Scholar] [CrossRef]
- Semmartin, M.; Oyarzabal, M.; Loreti, J.; Oesterheld, M. Controls of primary productivity and nutrient cycling in a temperate grassland with year-round production. Austral Ecol. 2007, 32, 416–428. [Google Scholar] [CrossRef]
- Aber, J.D.; Melillo, J.M.; Nadelhoffer, K.J.; Pastor, J.; Boone, R.D. Factors controlling nitrogen cycling and nitrogen saturation in northern temperate forest ecosystems. Ecol. Appl. 1991, 1, 305–315. [Google Scholar] [CrossRef]
- Vivanco, L.; Austin, A.T. Intrinsic effects of species on leaf litter and root decomposition: A comparison of temperate grasses from North and South America. Oecologia 2006, 150, 97–107. [Google Scholar] [CrossRef]
- Assmann, T.S.; Júnior, P.R.; Moraes, A.; Assmann, A.L.; Koehler, H.S.; Sandini, I. Rendimento de milho em área de integração lavoura-pecuária sob o sistema plantio direto, em presença e ausência de trevo branco, pastejo e nitrogênio. Rev. Bras. Ciênc. Solo 2003, 27, 675–683. [Google Scholar] [CrossRef]
- Sartor, L.R.; Assmann, A.L.; Assmann, T.S.; Bigolin, P.E.; Miyazawa, M.; Carvalho, P.C.d.F. Effect of swine residue rates on corn, common bean, soybean and wheat yield. Rev. Bras. Ciênc. Solo 2012, 661–669. [Google Scholar] [CrossRef]
- Quinn, D.J.; Poffenbarger, H.J.; Miguez, F.E.; Lee, C.D. Corn optimum nitrogen fertilizer rate and application timing when following a rye cover crop. Field Crops Res. 2023, 284, 108581. [Google Scholar] [CrossRef]
- Berg, B.; Staaf, H. Leaching, accumulation and release of nitrogen in decomposing forest litter. Ecol. Bull. 1981, 33, 163–178. [Google Scholar]
- Conte, E.; Anghinoni, I.; Rheinheimer, D.S. Fósforo da biomassa microbiana e atividade de fosfatase ácida após aplicação de fosfato em solo no sistema plantio direto. Rev. Bras. Ciênc. Solo 2002, 26, 925–930. [Google Scholar] [CrossRef]
- Rheinheimer, D.S.; de Campos, B.C.; Giacomini, S.J.; Conceição, P.C.; Bortoluzzi, E.C. Comparação de métodos de determinação de carbono orgânico total no solo. Rev. Bras. Ciênc. Solo 2008, 32, 435–440. [Google Scholar] [CrossRef]
- Basak, B.B.; Maity, A.; Biswas, D.R. Cycling of Natural Sources of Phosphorus and Potassium for Environmental Sustainability. In Biogeochemical Cycles: Ecological Drivers and Environmental Impact; Dontsova, K., Balogh-Brunstad, Z., Le Roux, G., Eds.; John Wiley & Sons, Ltd.: Hoboken, NJ, USA, 2020; pp. 353–370. [Google Scholar] [CrossRef]





| N-Fert | SH | DM | N | P | K | NDF | ADF |
|---|---|---|---|---|---|---|---|
| kg ha−1 | g kg−1 | g kg−1 | g kg−1 | % | % | ||
| Sorghum | |||||||
| NC | HH | 5048.6 | 19.83 ± 3.54 | 8.53 ± 1.16 | 59.17 ± 5.92 | 52.97 ± 1.85 | 30.87 ± 1.20 |
| NC | LH | 4537.2 | 21.53 ± 3.54 | 9.78 ± 1.12 | 53.67 ± 4.07 | 54.55 ± 2.98 | 32.63 ± 1.43 |
| NP | HH | 5204.7 | 20.40 ± 2.94 | 10.43 ± 0.64 | 61.83 ± 7.64 | 55.46 ± 0.49 | 31.40 ± 0.44 |
| NP | LH | 4847.4 | 19.83 ± 2.60 | 11.54 ± 6.99 | 71.67 ± 27.66 | 47.70 ± 7.15 | 28.16 ± 2.48 |
| Black oat | |||||||
| NC | HH | 1557.0 | 26.79 ± 6.83 | 10.62 ± 1.90 | 39.67 ± 21.89 | 43.95 ± 6.60 | 24.67 ± 3.59 |
| NC | LH | 1250.3 | 21.96 ± 6.19 | 9.54 ± 0.31 | 60.17 ± 3.33 | 46.62 ± 3.25 | 25.70 ± 1.29 |
| NP | HH | 1400.0 | 27.76 ± 3.54 | 9.70 ± 0.56 | 83.17 ± 45.14 | 41.53 ± 3.86 | 24.26 ± 2.67 |
| NP | LH | 1250.7 | 38.52 ± 4.28 | 16.27 ± 10.55 | 47.67 ± 24.58 | 47.76 ± 1.11 | 28.11 ± 1.22 |
| Corn | |||||||
| NC | HH | 7195.1 | 16.63 ± 1.11 | 4.49 ± 0.78 | 26.05 ± 6.08 | 76.57 ± 2.30 | 47.40 ± 3.76 |
| NC | LH | 6639.0 | 18.30 ± 2.19 | 4.42 ± 0.89 | 17.33 ± 5.06 | 74.66 ± 4.20 | 46.55 ± 5.53 |
| NP | HH | 6030.6 | 17.03 ± 1.11 | 4.58 ± 0.63 | 20.83 ± 3.76 | 72.95 ± 3.17 | 42.30 ± 3.90 |
| NP | LH | 7227.0 | 18.03 ± 1.25 | 4.17 ± 0.92 | 21.00 ± 3.50 | 72.95 ± 2.82 | 39.42 ± 1.13 |
| Dry Matter | Nitrogen | Potassium | |||||||||||||
|---|---|---|---|---|---|---|---|---|---|---|---|---|---|---|---|
| N-Fert.
Time | Sward
Height | Ac. Fra
% | kA | Days | Ac. Fra
% | kA | Days | Ac. Fra
% | kA | Days | |||||
| Sorghum | |||||||||||||||
| NC | HH | 72.3 | 0.01670 | 42 | 90.1 | 21.8 | 0.05318 | 13 | 94.5 | 0.04878 | 14 | 91.5 | |||
| NC | LH | 65.7 | 0.02051 | 34 | 90.7 | 31.8 | 0.02168 | 32 | 89.5 | 0.07104 | 10 | 94.5 | |||
| NP | HH | 63.2 | 0.02572 | 27 | 93.5 | 32.5 | 0.07132 | 10 | 92.1 | 0.08466 | 8 | 97.0 | |||
| NP | LH | 61.9 | 0.02309 | 30 | 96.1 | 35.6 | 0.03256 | 21 | 91.8 | 0.06991 | 10 | ||||
| Black oat | |||||||||||||||
| NC | HH | 80.2 | 0.02235 | 31 | 95.1 | 71.0 | 0.00622 | 111 | 71.4 | 0.03382 | 20 | ||||
| NC | LH | 71.2 | 0.03753 | 18 | 95.5 | 44.4 | 0.01018 | 68 | 71.2 | 0.07131 | 10 | ||||
| NP | HH | 77.1 | 0.02426 | 29 | 91.1 | 78.4 | 0.00725 | 96 | 88.6 | 0.03634 | 19 | ||||
| NP | LH | 78.3 | 0.04483 | 15 | 96.0 | 133.4 | 0.00414 | 168 | 79.8 | 0.04324 | 16 | ||||
| Corn | |||||||||||||||
| NC | HH | 36.8 | 0.00911 | 76 | 69.1 | 33.6 | 0.29575 | 14 | 86.0 | 0.05045 | 14 | 93.2 | |||
| NC | LH | 45.3 | 0.01422 | 49 | 89.2 | 43.7 | 0.11133 | 6 | 77.0 | 0.05861 | 12 | 88.1 | |||
| NP | HH | 38.9 | 0.01196 | 58 | 83.0 | 35.3 | 0.14364 | 5 | 76.1 | 0.05701 | 12 | 87.6 | |||
| NP | LH | 44.5 | 0.02132 | 33 | 96.9 | 37.9 | 0.26027 | 3 | 78.2 | 0.06908 | 10 | 85.9 | |||
Disclaimer/Publisher’s Note: The statements, opinions and data contained in all publications are solely those of the individual author(s) and contributor(s) and not of MDPI and/or the editor(s). MDPI and/or the editor(s) disclaim responsibility for any injury to people or property resulting from any ideas, methods, instructions or products referred to in the content. |
© 2024 by the authors. Licensee MDPI, Basel, Switzerland. This article is an open access article distributed under the terms and conditions of the Creative Commons Attribution (CC BY) license (https://creativecommons.org/licenses/by/4.0/).
Share and Cite
de Bortolli, M.A.; Assmann, T.S.; de Bortolli, B.B.; Maccari, M.; Bernardon, A.; Jamhour, J.; Franzluebbers, A.J.; Soares, A.B.; Severo, I.K. Nutrient Dynamics in Integrated Crop–Livestock Systems: Effects of Stocking Rates and Nitrogen System Fertilization on Litter Decomposition and Release. Agronomy 2024, 14, 2009. https://doi.org/10.3390/agronomy14092009
de Bortolli MA, Assmann TS, de Bortolli BB, Maccari M, Bernardon A, Jamhour J, Franzluebbers AJ, Soares AB, Severo IK. Nutrient Dynamics in Integrated Crop–Livestock Systems: Effects of Stocking Rates and Nitrogen System Fertilization on Litter Decomposition and Release. Agronomy. 2024; 14(9):2009. https://doi.org/10.3390/agronomy14092009
Chicago/Turabian Stylede Bortolli, Marcos Antonio, Tangriani Simioni Assmann, Betania Brum de Bortolli, Marcieli Maccari, Angela Bernardon, Jorge Jamhour, Alan J. Franzluebbers, Andre Brugnara Soares, and Igor Kieling Severo. 2024. "Nutrient Dynamics in Integrated Crop–Livestock Systems: Effects of Stocking Rates and Nitrogen System Fertilization on Litter Decomposition and Release" Agronomy 14, no. 9: 2009. https://doi.org/10.3390/agronomy14092009
APA Stylede Bortolli, M. A., Assmann, T. S., de Bortolli, B. B., Maccari, M., Bernardon, A., Jamhour, J., Franzluebbers, A. J., Soares, A. B., & Severo, I. K. (2024). Nutrient Dynamics in Integrated Crop–Livestock Systems: Effects of Stocking Rates and Nitrogen System Fertilization on Litter Decomposition and Release. Agronomy, 14(9), 2009. https://doi.org/10.3390/agronomy14092009

