Effect of Sowing Date on Some Agronomical Characteristics of Rye Cultivars in Iraq
Abstract
1. Introduction
2. Materials and Methods
2.1. Description of Experimental Site and Characterization of Climate and Soil
2.2. Plant Material
2.3. Experimental Design and Treatments
2.4. Agricultural Practices
2.5. Agronomic Characteristics Studied
2.6. Statistical Analysis
3. Results
3.1. Main Effects of Cultivar and Sowing Date
3.2. Effects of Cultivar and Sowing Date on Morphological and Yield Characteristics
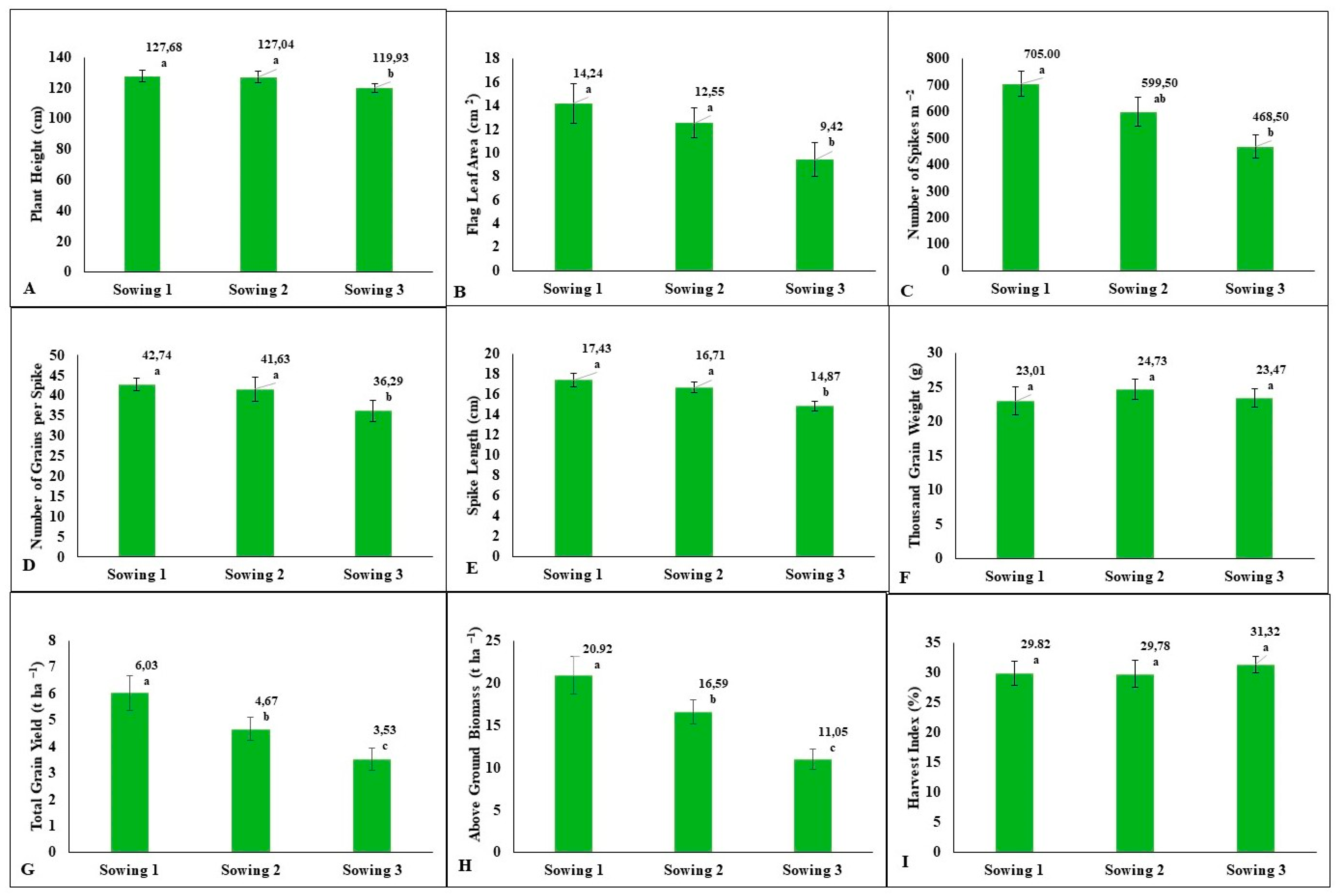
3.2.1. Effect of Cultivar and Sowing Date on Plant Height of Rye
3.2.2. Effect of Cultivar and Sowing Date on the Flag Leaf Area
3.2.3. Effect of Cultivar and Sowing Date on the Number of Spikes
3.2.4. Effect of Cultivar and Sowing Date on the Number of Grains Per Spike
3.2.5. Effect of Cultivar and Sowing Date on the Length of Spikes
3.2.6. Effect of Cultivar and Sowing Date on the Thousand-Grain Weight
3.2.7. Effect of Cultivar and Sowing Date on the Grain Yield
3.2.8. Effect of Cultivar and Sowing Date on the above Ground Biomass
3.2.9. Effect of Cultivar and Sowing Date on the Harvest Index
3.3. Relationship between Variables and Ranking of Cultivars
4. Discussion
4.1. Plant Height
4.2. Grain Yield, and Yield Structural Elements
4.3. Effect of Sowing Date on Yield Characteristics
4.4. Interaction between Cultivars and Sowing Date
4.5. Correlations between Studied Variables and Their Relationship with Sowing Date
5. Conclusions
Supplementary Materials
Author Contributions
Funding
Data Availability Statement
Conflicts of Interest
References
- Lobell, D.B.; Gourdji, S.M. The influence of climate change on global crop productivity. Plant Physiol. 2012, 160, 1686–1697. [Google Scholar] [CrossRef] [PubMed]
- Macholdt, J.; Honermeier, B. Impact of Climate Change on Cultivar Choice: Adaptation Strategies of Farmers and Advisors in German Cereal Production. Agronomy 2016, 6, 40. [Google Scholar] [CrossRef]
- Huzsvai, L.; Zsembeli, J.; Kovács, E.; Juhász, C. Can Technological Development Compensate for the Unfavorable Impacts of Climate Change? Conclusions from 50 Years of Maize (Zea mays L.) Production in Hungary. Atmosphere 2020, 11, 1350. [Google Scholar] [CrossRef]
- Christian, J.I.; Martin, E.R.; Basara, J.B.; Furtado, J.C.; Otkin, J.A.; Lowman, L.E.L.; Hunt, E.D.; Mishra, V.; Xiao, X. Global projections of flash drought show increased risk in a warming climate. Commun. Earth Environ. 2023, 4, 165. [Google Scholar] [CrossRef]
- Altieri, M.A.; Nicholls, C.I.; Henao, A.; Lana, M.A. Agroecology and the design of climate change-resilient farming systems. Agron. Sustain. Dev. 2015, 35, 869–890. [Google Scholar] [CrossRef]
- Debaeke, P.; Aboudrare, A. Adaptation of crop management to water limited environments. Eur. J. Agron. 2004, 21, 433–446. [Google Scholar] [CrossRef]
- Akinnagbe, O.M.; Irohibe, I.J. Agricultural adaptation strategies to climate change impacts in Africa: A review. Bangladesh J. Agril. Res. 2014, 39, 407–418. [Google Scholar] [CrossRef]
- Shah, F.; Wu, W. Soil and Crop Management Strategies to Ensure Higher Crop Productivity within Sustainable Environments. Sustainability 2019, 11, 1485. [Google Scholar] [CrossRef]
- Pramanick, B.; Choudhary, S.; Kumar, M.; Singh, S.K.; Jha, R.K.; Singh, S.K.; Salmen, S.H.; Ansari, M.J.; Hossain, A. Can site-specific nutrient management improve the productivity and resource use efficiency of climate-resilient finger millet in calcareous soils in India? Heliyon 2024, 10, e32774. [Google Scholar] [CrossRef]
- Al-Haboby, A.; Breisinger, C.; Debowicz, D.; El-hakim, A.H.; Ferguson, J.; van Rheenen, T.; Telleria, R. Agriculture for Development in Iraq? Estimating the Impacts of Achieving the Agricultural Targets of the National Development Plan 2013–2017 on Economic Growth, Incomes, and Gender Equality; IFPRI Discussion Paper 01349; Development Strategy and Governance Division: Washington, DC, USA, 2014. [Google Scholar]
- Aliyas, I.M.; Ismail, E.Y.; Alhadeedy, M.A.H. Evaluation of Applications of Sustainable Agricultural Development in Iraq. Socioecon. Chall. 2018, 2, 75–80. [Google Scholar] [CrossRef]
- Ali, S.H.; Qubaa, A.R.; Al-Khayat, A.B.M. Climate Change and its Potential Impacts on Iraqi Environment: Overview. 2024 IOP Conf. Ser. Earth Environ. Sci. 2024, 1300, 012010. [Google Scholar] [CrossRef]
- Al-Ansari, N. Management of water resources in Iraq: Perspectives and prognoses. Engineering 2013, 5, 667–684. [Google Scholar] [CrossRef]
- Sultan, W.; Mohammed, B.; Rasheed, M.; Ali, Y. The Reality of the Production of the Main Cereal Crops in Iraq and Their Impact on Food Security for The Period (1995–2016). Tikrit J. Agric. Sci. 2023, 19, 80–90. [Google Scholar] [CrossRef]
- Schnepf, R. Iraq Agriculture and Food Supply: Background and Issues; CRS: Washington, DC, USA, 2004. [Google Scholar]
- Ewaid, S.H.; Abed, S.A.; Al-Ansari, N. Assessment of Main Cereal Crop Trade Impacts on Water and Land Security in Iraq. Agronomy 2020, 10, 98. [Google Scholar] [CrossRef]
- Al-Tamimi, A.A.M.; Al-Badri, A.A.N. Analysis of agricultural practices used by cereal farmers to adopt to phenomenon of climatic variation in the governorates of the central region of Iraq. Iraqi J. Agric. Sci. 2023, 54, 303–316. [Google Scholar] [CrossRef]
- Noaema, A.H.; Abdul-Alwahid, M.A.A.; Alhasany, A.R. Effect of planting dates on growth and yield of several European varieties of Triticale (X-ticosecale wittmack) under environmental conditions of Al-Muthanna district, Iraq. Int. J. Agric. Stat. Sci. 2020, 16, 1261–1267. Available online: https://connectjournals.com/03899.2020.16.1261 (accessed on 26 August 2024).
- Meerza, C.H.N. Comparison of Some Agronomic Character and yield of Triticale (X Triticosecale Wittmack) lines at Halabja and Qlyasan Regions of Kurdistan/Iraq. Agric. Sci. 2022, 5, 126–137. [Google Scholar] [CrossRef]
- Khush, G.S.; Stebbins, G.L. Cytogenetic and evolutionary studies in Secale. I. Some new data on the ancestry of S. cereale. Am. J. Bot. 1961, 48, 723–730. [Google Scholar] [CrossRef]
- Filatova, S.; Claassen, B.; Torres, G.; Krause-Kyora, B.; Holtgrewe Stukenbrock, E.; Kirleis, W. Toward an Investigation of Diversity and Cultivation of Rye (Secale cereale ssp. cereale L.) in Germany: Methodological Insights and First Results from Early Modern Plant Material. Agronomy 2021, 11, 2451. [Google Scholar] [CrossRef]
- FAOSTAT. Crops and Livestock Products. 2024. Available online: https://www.fao.org/faostat/en/#data/QCL (accessed on 26 August 2024).
- Korzun, V.; Ponomareva, M.L.; Sorrells, M.E. Economic and Academic Importance of Rye. In The Rye Genome: Compendium of Plant Genomes; Rabanus-Wallace, M.T., Stein, N., Eds.; Springer: Cham, Switzerland, 2021. [Google Scholar] [CrossRef]
- Hübner, M.; Oechsner, H.; Koch, S.; Seggl, A.; Hrenn, H.; Schmiedchen, B.; Wilde, P.; Miedaner, T. Impact of genotype, harvest time and chemical composition on the methane yield of winter rye for biogas production. Biomass Bioenergy 2011, 35, 4316–4323. [Google Scholar] [CrossRef]
- Wrigley, C.; Bushuk, W. Chapter 7—Rye: Grain-Quality Characteristics and Management of Quality Requirements. In Woodhead Publishing Series in Food Science, Technology and Nutrition, Cereal Grains, 2nd ed.; Wrigley, C., Batey, I., Miskelly, D., Eds.; Woodhead Publishing: Sawston, UK, 2017; pp. 153–178. ISBN 9780081007198. [Google Scholar] [CrossRef]
- Juhász, C.; Abido, W.A.E.; Hadházy, Á.; Pál, V.; Radócz, L.; Zsombik, L. Effect of Seeding Rates of the Mixture of Rye (Secale cereale L.) and Hairy Vetch (Vicia villosa Roth.) on Rye Yield. J. Plant Prod. Mansoura Univ. 2023, 14, 21–29. [Google Scholar] [CrossRef]
- Geiger, H.; Miedaner, T. Rye (Secale cereale L.). In Cereals: Handbook of Plant Breeding; Carena, M., Ed.; Springer: New York, NY, USA, 2009; Volume 3. [Google Scholar] [CrossRef]
- Kottmann, L.; Wilde, P.; Schittenhelm, S. 2016. How do timing, duration, and intensity of drought stress affect the agronomic performance of winter rye? Eur. J. Agron. 2016, 75, 25–32. [Google Scholar] [CrossRef]
- Chmielewski, F.-M.; Köhn, W. Impact of weather on yield components of winter rye over 30 years. Agric. For. Meteorol. 2000, 102, 253–261. [Google Scholar] [CrossRef]
- Hackauf, B.; Siekmann, D.; Fromme, F.J. Improving Yield and Yield Stability in Winter Rye by Hybrid Breeding. Plants 2022, 11, 2666. [Google Scholar] [CrossRef] [PubMed]
- Sardella, C.; Capo, L.; Adamo, M.; Donna, M.; Enri, S.R.; Vanara, F.; Lonati, M.; Mucciarelli, M.; Blandino, M. The cultivation of rye in marginal Alpine environments: A comparison of the agronomic, technological, health and sanitary traits of local landraces and commercial cultivars. Front. Plant Sci. 2023, 14, 1130543. [Google Scholar] [CrossRef]
- Al-Samari, A.S.; Ali, S.D. Experimental Evaluation of Surface Geothermal Energy for Air Conditioning Applications in Iraq. J. Mech. Eng. Res. Dev. 2018, 41, 38–43. [Google Scholar] [CrossRef]
- Al-Hamidawi, I.F.R.; Noaema, A.H. Response of some introduced genotypes of European rye crop (Secale cereale L.) to different seeding rates. Euphrates J. Agric. Sci. 2023, 15, 146–171. [Google Scholar]
- Mohammed, B.M.; Mohammed, M.I. Effect of sowing date and genotype on qualitative traits of triticale (x Triticosecale wittmack). Plant Arch. 2020, 20, 2377–2382. [Google Scholar]
- Szuleta, E.; Phillips, T.; Knott, C.A.; Lee, C.D.; Van Sanford, D.A. Influence of Planting Date on Winter Rye Performance in Kentucky. Agronomy 2022, 12, 2887. [Google Scholar] [CrossRef]
- Yagmur, M. Effects of Seeding Rates and Sowing Times on Grain Yield and Yield Components in Rye (Scale cereale L.) under Dry Condition. Manas J. Agric. Vet. Life Sci. 2023, 13, 9–16. [Google Scholar] [CrossRef]
- Klimek-Kopyra, A.; Bacior, M.; Neugschwandtner, R. Hybrid rye (Secale cereale L.) as a good crop component to enhance yield stability in a winter cereal mixture. Acta Agrobot. 2023, 76, 172670. [Google Scholar] [CrossRef]
- Nayebi Aghbolag, K.N.; Sabaghnia, N.; Somehsofla, M.P.; Janmohammadi, M. Study of correlation coefficients of agronomic traits and path analysis of seed yield in rye. Plant Prod. 2019, 42, 31–46. [Google Scholar] [CrossRef]
- Milunović, I.; Popović, V.; Rakašćan, N.; Ikanocić, J.; Trkulja, V.; Radojević, V.; Dražić, G. Genotype x year interaction on rye productivity parameters cultivated on dandy chernozem soil. Genetika 2022, 54, 887–905. [Google Scholar] [CrossRef]
- Miao, L.; Wang, X.; Yu, C.; Ye, C.; Yan, Y.; Wang, H. What factors control plant height? J. Integr. Agric. 2024, 23, 1803–1824. [Google Scholar] [CrossRef]
- Ruzgas, V.; Plyèevaitienë, V.; Dabkevièius, Z. Genetic material of tall-growing winter rye for varietal improvement. Biologija 2005, 4, 29–33. [Google Scholar]
- Blake, G.R.; Hartge, K.H. Bulk Density: Methods of Soil Analysis: Part 1 Physical and Mineralogical Methods; Wiley: Hoboken, NJ, USA, 1986; Volume 5, pp. 363–375. [Google Scholar]
- Jackson, M.L. Soil Chemical Analysis—Advanced Course; CABI: Wallingford, UK, 1969. [Google Scholar]
- Page, A.L. Methods of soil analysis, part 2. Chem. Microbiol. Prop. 1982, 2, 643–698. [Google Scholar]
- Konopka, S.; Piłat, B. Application of the response surface method (RSM) to optimize of the conditioning of primitive rye grain krzyca (Secale cereale var. Multicaule) before milling. Tech. Sci. 2020, 23, 53–67. [Google Scholar] [CrossRef]
- Shewry, P.R.; Piironen, V.; Lampi, A.M.; Edelmann, M.; Kariluoto, S.; Nurmi, T.; Fernandez-Orozco, R.; Andersson, A.A.; Aman, P.; Fraś, A.; et al. Effects of genotype and environment on the content and composition of phytochemicals and dietary fiber components in rye in the HEALTHGRAIN diversity screen. J. Agric. Food Chem. 2010, 58, 9372–9383. [Google Scholar] [CrossRef] [PubMed]
- Thomas, H. The growth response to weather of simulator vegetation swards of a single genotype of “Lolium perenne”. J. Agric. Sci. Camb. 1975, 84, 333–343. [Google Scholar] [CrossRef]
- Howell, K.R.; Shrestha, P.; Dodd, I.C. Alternate wetting and drying irrigation-maintained rice yields despite half the irrigation volume but is currently unlikely to be adopted by smallholder lowland rice farmers in Nepal. Food Energy Secur. 2015, 4, 144–157. [Google Scholar] [CrossRef]
- Pomortsev, A.V.; Dorofeev, N.V.; Zorina, S.Y.; Katysheva, N.B.; Sokolova, L.G. The effect of planting date on winter rye and triticale overwinter survival and yield in Eastern Siberia. IOP Conf. Ser. Earth Environ. Sci. 2019, 315, 042031. [Google Scholar] [CrossRef]
- Umarov, R.A.; Azizov, B.M. Influence of Sowing Dates and Nutritional Background on the Formation of the Yield of Winter Rye. Int. J. Integr. Educ. 2021, 4, 218–223. [Google Scholar] [CrossRef]
- Kwon, B.S.; Shin, D.Y. Influence of Sowing and Harvest Date on Yield and Nutritional Quality of Forage Rye. Plant Resour. 2004, 7, 206–210. [Google Scholar]
- Chaves, G.G.; Filho, A.C.; Bem, C.M.; Bandeira, C.T.; Silveira, D.L.; Thomasi, R.M. Plot Size and Number of Replications for Evaluation of the Yield of Grains in Cultivars and Dates of Sowing of Rye. J. Agric. Sci. 2017, 10, 122. [Google Scholar] [CrossRef][Green Version]
- Macholdt, J.; Honermeier, B. Impact of highly varying seeding densities on grain yield and yield stability of winter rye cultivars under the influence of delayed sowing under sandy soil conditions. Arch. Agron. Soil Sci. 2017, 63, 1977–1992. [Google Scholar] [CrossRef]
- Shah, F.; Coulter, J.A.; Ye, C.; Wu, W. Yield penalty due to delayed sowing of winter wheat and the mitigatory role of increased seeding rate. Eur. J. Agron. 2020, 119, 126120. [Google Scholar] [CrossRef]
- Ozturk, A.; Caglar, O.; Bulut, S. Growth and yield response of facultative wheat to winter sowing, freezing sowing and spring sowing at different seeding rates. J. Agron. Crop Sci. 2006, 192, 10–16. [Google Scholar] [CrossRef]
- Laidig, F.; Piepho, H.P.; Rentel, D.; Drobek, T.; Uwe Meyer, U.; Huesken, A. Breeding progress, variation, and correlation of grain and quality traits in winter rye hybrid and population varieties and national on-farm progress in Germany over 26 years. Theor. Appl. Genet. 2017, 130, 981–998. [Google Scholar] [CrossRef]
- Hadházy, Á.; Idan, W.J.; Altai, D.S.K.; Abido, W.A.E.; Al-Farhan, I.M.H.; Henzsel, I. Relationship between various Soil Qualities and Winter Rye Yield and Its Components caused by the Application of Organic Manure. Int. J. Agric. Stat. Sci. 2023, 19, 1267–1275. [Google Scholar] [CrossRef]













| Winter Rye Growing Season of 2021/2022 | |||||||
| November | December | January | February | March | April | ||
| Temperature °C | Max. | 20.30 | 15.90 | 17.90 | 19.52 | 26.66 | 32.60 |
| Min. | 9.00 | 4.70 | 3.70 | 2.10 | 13.20 | 18.90 | |
| Average | 14.65 | 10.3 | 10.8 | 10.81 | 19.93 | 25.75 | |
| Accumulative temperature | 307.5 | 182.9 | 198.4 | 185.89 | 481.43 | 460.5 | |
| Precipitation (mm) | 0.7 | 2.349 | 4.2 | 0.07 | 1.41 | 3.2 | |
| Winter Rye Growing Season of 2022/2023 | |||||||
| November | December | January | February | March | April | ||
| Temperature °C | Max. | 25.10 | 17.70 | 17.10 | 17.46 | 24.65 | 30.30 |
| Min. | 7.1 | 3.7 | 2.7 | 1.82 | 10.99 | 16.5 | |
| Average | 16.1 | 10.7 | 9.9 | 9.64 | 17.82 | 23.4 | |
| Accumulative temperature | 351 | 195.3 | 170.5 | 151.96 | 416.02 | 570 | |
| Precipitation (mm) | 0.5 | 1.019 | 5.3 | 0.13 | 0.91 | 4.9 | |
| Soil Characteristic | Value |
|---|---|
| pH | 7.22 |
| Electrical conductivity (dS m−1) | 2.7 |
| Organic matter (%) | 0.56 |
| Available nitrogen (mg L−1) | 25.16 |
| Available phosphorous (mg L−1) | 9.5 |
| Available potassium (mg L−1) | 181.0 |
| 2021/2022 | 2022/2023 | ||||
|---|---|---|---|---|---|
| Cultivar | Sowing Date | Date of Harvest | Cultivar | Sowing Date | Date of Harvest |
| Krzyca | 01.11.2021 | 09.04.2022 | Krzyca | 01.11.2022 | 08.04.2023 |
| Dańkowskie złote | 15.11.2021 | 12.04.2022 | Dańkowskie złote | 15.11.2022 | 10.04.2023 |
| Horyzo | 01.12.2021 | 16.04.2022 | Horyzo | 01.12.2022 | 13.04.2023 |
| Effect | Value | F | Hypothesis df | Error df | Significance |
|---|---|---|---|---|---|
| Intercept | 0.001 | 2909.133 | 9 | 28 | <0.001 |
| Crop year | 0.890 | 0.384 | 9 | 28 | 0.933 |
| Cultivar | 0.041 | 12.228 | 18 | 56 | <0.001 |
| Sowing date | 0.389 | 1.879 | 18 | 56 | 0.038 |
| Crop year × Cultivar | 0.879 | 0.207 | 18 | 56 | 1.000 |
| Crop year × Sowing date | 0.929 | 0.116 | 18 | 56 | 1.000 |
| Cultivar × Sowing date | 0.075 | 2.942 | 36 | 106.67 | <0.001 |
| Crop year × Cultivar × Sowing date | 0.123 | 0.424 | 9 | 31 | 1.000 |
| Effect | Value | F | Hypothesis df | Error df | Significance |
|---|---|---|---|---|---|
| Intercept | 0.001 | 3505.140 | 9 | 37 | <0.001 |
| Cultivar | 0.045 | 15.374 | 18 | 74 | <0.001 |
| Sowing date | 0.402 | 2.369 | 18 | 74 | 0.005 |
| Cultivar × Sowing date | 0.08 | 3.747 | 36 | 140.39 | <0.001 |
| Source of Variation | PH | FLA | SN | GN | SL | TGW | GY | AGB | HI |
|---|---|---|---|---|---|---|---|---|---|
| CV | 63.53 ** | 33.21 ** | 1.12 ns | 35.50 ** | 14.227 ** | 6.55 ** | 29.60 ** | 23.15 ** | 12.21 ** |
| SD | 5.65 ** | 6.11 ** | 6.50 ** | 4.62 * | 8.611 ** | 0.47 ns | 12.14 * | 16.58 ** | 0.32 ns |
| CV × SD | 3.12 * | 0.71 ns | 2.31 ns | 2.18 ns | 0.009 ns | 6.29 ** | 0.97 ns | 1.52 ns | 2.39 ns |
| DS | PH | FLA | SN | GN | SL | TGW | GY | AGB | HI | |||||||||||
|---|---|---|---|---|---|---|---|---|---|---|---|---|---|---|---|---|---|---|---|---|
| DS | 1.00 | |||||||||||||||||||
| PH | −0.22 | 1.00 | ||||||||||||||||||
| FLA | −0.31 | * | 0.64 | ** | 1.00 | |||||||||||||||
| SN | −0.43 | ** | 0.13 | 0.37 | ** | 1.00 | ||||||||||||||
| GN | −0.25 | 0.66 | ** | 0.63 | ** | 0.21 | 1.00 | |||||||||||||
| SL | −0.42 | ** | 0.60 | ** | 0.62 | ** | 0.27 | 0.58 | ** | 1.00 | ||||||||||
| TGW | 0.03 | 0.32 | * | 0.20 | −0.04 | 0.43 | ** | 0.22 | 1.00 | |||||||||||
| GY | −0.43 | ** | 0.67 | ** | 0.67 | ** | 0.53 | ** | 0.72 | ** | 0.69 | ** | 0.45 | ** | 1.00 | |||||
| AGB | −0.50 | ** | 0.65 | ** | 0.70 | ** | 0.56 | ** | 0.52 | ** | 0.71 | ** | 0.38 | ** | 0.87 | ** | 1.00 | |||
| HI | 0.08 | 0.06 | 0.04 | −0.03 | 0.43 | ** | −0.05 | 0.11 | 0.22 | −0.26 | 1.00 | |||||||||
![]() | ||||||||||||||||||||
| Cultivar/Sowing Date | PH | FLA | SN | GN | SL | TGW | GY | AGB | HI | Mean |
|---|---|---|---|---|---|---|---|---|---|---|
| ‘Krzyca’/01 Nov. | 6 | 5 | 5 | 5 | 3 | 7 | 6 | 3 | 8 | 5.3 |
| ‘Krzyca’/15 Nov. | 4 | 7 | 3 | 8 | 6 | 8 | 7 | 4 | 9 | 6.2 |
| ‘Krzyca’/01 Dec. | 5 | 8 | 9 | 9 | 8 | 5 | 9 | 9 | 7 | 7.7 |
| ‘Dańkowskie złote’/01 Nov. | 7 | 6 | 1 | 6 | 5 | 9 | 3 | 6 | 2 | 5.0 |
| ‘Dańkowskie złote’/15 Nov. | 8 | 4 | 6 | 4 | 7 | 4 | 5 | 7 | 1 | 5.1 |
| ‘Dańkowskie złote’/01 Dec. | 9 | 9 | 8 | 7 | 9 | 3 | 8 | 8 | 3 | 7.1 |
| ‘Horyzo’/01 Nov. | 1 | 1 | 2 | 2 | 1 | 1 | 1 | 1 | 6 | 1.8 |
| ‘Horyzo’/15 Nov. | 2 | 2 | 7 | 1 | 2 | 2 | 2 | 2 | 5 | 2.8 |
| ‘Horyzo’/01 Dec. | 3 | 3 | 4 | 3 | 4 | 6 | 4 | 5 | 4 | 4.0 |
![]() | ||||||||||
Disclaimer/Publisher’s Note: The statements, opinions and data contained in all publications are solely those of the individual author(s) and contributor(s) and not of MDPI and/or the editor(s). MDPI and/or the editor(s) disclaim responsibility for any injury to people or property resulting from any ideas, methods, instructions or products referred to in the content. |
© 2024 by the authors. Licensee MDPI, Basel, Switzerland. This article is an open access article distributed under the terms and conditions of the Creative Commons Attribution (CC BY) license (https://creativecommons.org/licenses/by/4.0/).
Share and Cite
Altai, D.S.K.; Noaema, A.H.; Alhasany, A.R.; Hadházy, Á.; Mendler-Drienyovszki, N.; Abido, W.A.E.; Magyar-Tábori, K. Effect of Sowing Date on Some Agronomical Characteristics of Rye Cultivars in Iraq. Agronomy 2024, 14, 1995. https://doi.org/10.3390/agronomy14091995
Altai DSK, Noaema AH, Alhasany AR, Hadházy Á, Mendler-Drienyovszki N, Abido WAE, Magyar-Tábori K. Effect of Sowing Date on Some Agronomical Characteristics of Rye Cultivars in Iraq. Agronomy. 2024; 14(9):1995. https://doi.org/10.3390/agronomy14091995
Chicago/Turabian StyleAltai, Dhurgham Sabeeh Kareem, Ali H. Noaema, Ali R. Alhasany, Ágnes Hadházy, Nóra Mendler-Drienyovszki, Waleed A. E. Abido, and Katalin Magyar-Tábori. 2024. "Effect of Sowing Date on Some Agronomical Characteristics of Rye Cultivars in Iraq" Agronomy 14, no. 9: 1995. https://doi.org/10.3390/agronomy14091995
APA StyleAltai, D. S. K., Noaema, A. H., Alhasany, A. R., Hadházy, Á., Mendler-Drienyovszki, N., Abido, W. A. E., & Magyar-Tábori, K. (2024). Effect of Sowing Date on Some Agronomical Characteristics of Rye Cultivars in Iraq. Agronomy, 14(9), 1995. https://doi.org/10.3390/agronomy14091995



