Application of the Reconstructed Solar-Induced Chlorophyll Fluorescence by Machine Learning in Agricultural Drought Monitoring of Henan Province, China from 2010 to 2022
Abstract
1. Introduction
2. Materials and Methods
2.1. Study Area
2.2. Remote Sensing Data
2.2.1. TROPOSIF Data
2.2.2. MODIS Data
2.2.3. Meteorological Data
2.2.4. Complementary Data
2.3. Crop Yield Data
2.4. Downscaling Model and Construction of iTFDI
2.4.1. Downscaling Model Construction
2.4.2. iTFDI Construction and Drought Classification
2.4.3. Sen’s Slope Estimator and Mann–Kendall Test
3. Results
3.1. TROPOSIF Downscaling Model and Results
3.2. Drought Classification and iTFDI Result Verification
3.3. iTFDI Trend Analysis and Testing
3.4. Comparison of TVDI and iTFDI
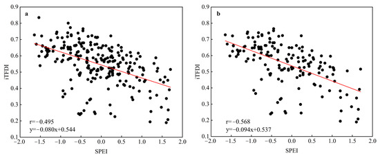
3.5. Relationship between Meteorological Data and iTFDI
3.6. Relationship between iTFDI and Crop Yields
4. Discussion
4.1. Limitations of Drought Monitoring Method Combined with SIF
4.2. Trends of Downscaling and Drought Monitoring Results
4.3. Agronomic Significance of the iTFDI Results
5. Conclusions
- A random forest downscaling model was developed in this study based on the TROPOSIF data and MODIS b2, NIRv, ET, EVI, SAVI, b4, and LAI data. This model achieved an accuracy of R2 = 0.847, MAE = 0.073 mW m−2 nm−1 sr−1, and RMSE = 0.096 mW m−2 nm−1 sr−1. The study successfully inverted a 500 m spatial resolution iSIF data product for March to September of 2010 to 2022.
- We created the iTFDI by combining iSIF with surface temperature differential data. The monthly drought severity study conducted in 2022 revealed that drought was particularly severe in May, June, and September, with affected area proportions of 70.27%, 71.49%, and 43.61%, respectively. The monitoring results are consistent with the spatial distribution of water information published by the Hydrology and Water Resources Monitoring Center of Henan Province.
- The annual Sen’s slope and Mann–Kendall significance test revealed that the drought severity in the southern and western regions of Henan Province has a significant decreasing trend, covering 6.74% of the total area. Conversely, the drought severity in the eastern region showed a significant increasing trend, covering 4.69% of the total area.
- The iTFDI for the same period does not show a significant correlation with precipitation and soil moisture. Additionally, iTFDI only exhibits some correlation with crops during the maturity stage.
Author Contributions
Funding
Data Availability Statement
Acknowledgments
Conflicts of Interest
References
- Sheffield, J.; Andreadis, K.; Wood, E.; Lettenmaier, D. Global and continental drought in the second half of the twentieth century: Severity–area–duration analysis and temporal variability of large-scale events. J. Clim. 2009, 22, 1962–1981. [Google Scholar] [CrossRef]
- Reddy, M.; Ganguli, P. Application of copulas for derivation of drought severity-duration-frequency curves. Hydrol. Process. 2012, 26, 1672–1685. [Google Scholar] [CrossRef]
- Xu, K.; Yang, D.; Yang, H.; Li, Z.; Qin, Y.; Shen, Y. Spatio-temporal variation of drought in China during 1961–2012: A climatic perspective. J. Hydrol. 2015, 526, 253–264. [Google Scholar] [CrossRef]
- Wilhite, D.; Glantz, M. Understanding the drought phenomenon: The role of definitions. Water Int. 1985, 10, 111–120. [Google Scholar] [CrossRef]
- Mishra, A.; Singh, V. A review of drought concepts. J. Hydrol. 2010, 391, 202–216. [Google Scholar] [CrossRef]
- Wang, Q.; Wu, J.; Lei, T.; He, B.; Wu, Z.; Liu, M.; Mo, X.; Geng, G.; Li, X.; Zhou, H.; et al. Temporal-spatial characteristics of severe drought events and their impact on agriculture on a global scale. Quat. Int. 2014, 349, 10–21. [Google Scholar] [CrossRef]
- Aghakouchak, A. Remote sensing of drought: Progress, challenges and opportunities for improving drought monitoring. Rev. Geophys. 2015, 53, 452–480. [Google Scholar] [CrossRef]
- Nguyen, B.; Binh, D.; Tran, T.; Kantoush, S.; Sumi, T. Response of streamfow and sediment variability to cascade dam development and climate change in the Sai Gon Dong Nai River basin. Clim. Dyn. 2024. [Google Scholar] [CrossRef]
- Hao, Z.; Singh, V. Drought characterization from a multivariate perspective: A review. J. Hydrol. 2015, 527, 668–678. [Google Scholar] [CrossRef]
- Madadgar, S.; Aghakouchak, A.; Farahmand, A.; Davis, S. Probabilistic estimates of drought impacts on agricultural production. Geophys. Res. Lett. 2017, 44, 7799–7807. [Google Scholar] [CrossRef]
- Wen, Q.; Sun, P.; Zhang, Q.; Liu, J.; Shi, P. An integrated agricultural drought monitoring model based on multi-source remote sensing data: Model development and application. Acta Ecol. Sin. 2019, 39, 7757–7770. [Google Scholar]
- Zhai, J.; Su, B.; Krysanova, V.; Vetter, T.; Gao, C.; Jiang, T. Spatial variation and trends in PDSI and SPI indices and their relation to streamflow in 10 large regions of China. J. Clim. 2010, 23, 649–663. [Google Scholar] [CrossRef]
- Yao, N.; Li, Y.; Lei, T.; Peng, L. Drought evolution, severity and trends in mainland China over 1961–2013. Sci. Total Environ. 2018, 616, 73–89. [Google Scholar] [CrossRef]
- Karl, T.R. The sensitivity of the palmer drought severity index and palmers z-index to their calibration coefficients including potential evapotranspiration. J. Clim. Appl. Meteorol. 1986, 25, 77–86. [Google Scholar]
- Tran, T.; Tapas, M.; Do, S.; Etheridge, R.; Lakshmi, V. Investigating the impacts of climate change on hydroclimatic extremes in the Tar-Pamlico River basin, North Carolina. J. Environ. Manag. 2024, 363, 121375. [Google Scholar] [CrossRef]
- Tran, T.; Do, S.; Nguyen, B.; Tran, V.; Grodzka-Lukaszewska, M.; Sinicyn, G.; Lakshmi, V. Investigating the future flood and drought shifts in the transboundary srepok river basin using CMIP6 projections. IEEE J. Sel. Top. Appl. Earth Obs. Remote Sens. 2024, 17, 7516–7529. [Google Scholar] [CrossRef]
- Shukla, S.; Wood, A. Use of a standardized runoff index for characterizing hydrologic drought. Geophys. Res. Lett. 2008, 35, 226–236. [Google Scholar] [CrossRef]
- Wang, Q.; Shi, P.; Lei, T.; Geng, G.; Liu, J.; Mo, X.; Li, X.; Zhou, H.; Wu, J. The alleviating trend of drought in the Huang-Huai-Hai Plain of China based on the daily SPEI. Int. J. Climatol. 2015, 35, 3760–3769. [Google Scholar] [CrossRef]
- Wang, Y.; Ren, F.; Zhao, Y.; Li, Y. Comparison of two drought indices in studying regional meteorological drought events in China. J. Meteorol. Res. 2017, 31, 187–195. [Google Scholar] [CrossRef]
- Feng, A.; Liu, L.; Wang, G.; Tang, J.; Zhang, X.; Chen, Y.; He, X.; Liu, P. Drought monitoring from Fengyun satellite series: A comparative analysis with meteorological-drought composite index (MCI). Remote Sens. 2023, 15, 5410. [Google Scholar] [CrossRef]
- Cao, X.; Yin, G.; Gu, J.; Ma, N.; Wang, Z. Application of WNN-PSO model in drought prediction at crop growth stages: A case study of spring maize in semi-arid regions of northern China. Comput. Electron. Agric. 2022, 199, 107155. [Google Scholar]
- Liu, Z.; Wang, Y.; Shao, M.; Jia, X.; Li, X. Spatiotemporal analysis of multiscalar drought characteristics across the Loess Plateau of China. J. Hydrol. 2016, 534, 281–299. [Google Scholar] [CrossRef]
- Park, S.; Im, J.; Jang, E.; Rhee, J. Drought assessment and monitoring through blending of multi-sensor indices using machine learning approaches for different climate regions. Agric. For. Meteorol. 2016, 217, 157–169. [Google Scholar] [CrossRef]
- Kogan, F. Application of vegetation index and brightness temperature for drought detection. Adv. Space Res. 1995, 15, 91–100. [Google Scholar] [CrossRef]
- Zhao, Y.; Zhang, J.; Bai, Y.; Zhang, S.; Yang, S.; Henchiri, M.; Seka, A.; Nanzad, L. Drought monitoring and performance evaluation based on machine learning fusion of multi-source remote sensing drought factors. Remote Sens. 2022, 14, 6398. [Google Scholar] [CrossRef]
- Guo, L.; Luo, Y.; Li, Y.; Wang, T.; Gao, J.; Zhang, H.; Zou, Y.; Wu, S. Spatiotemporal changes and the prediction of drought characteristics in a major grain-producing area of China. Sustainability 2023, 15, 15737. [Google Scholar] [CrossRef]
- Price, J. On the analysis of thermal infrared imagery: The limited utility of apparent thermal inertia. Remote Sens. Environ. 1985, 18, 59–73. [Google Scholar] [CrossRef]
- Vinukollu, R.; Wood, E.; Ferguson, C.; Fisher, J. Global estimates of evapotranspiration for climate studies using multi-sensor remote sensing data: Evaluation of three process-based approaches. Remote Sens. Environ. 2011, 115, 801–823. [Google Scholar] [CrossRef]
- Njoku, E.; Li, L. Retrieval of land surface parameters using passive microwave measurements at 6–18 GHz. IEEE Trans. Geosci. Remote Sens. 1999, 37, 79–93. [Google Scholar] [CrossRef]
- Pratt, D.; Ellyett, C. The thermal inertia approach to mapping of soil moisture and geology. Remote Sens. Environ. 1979, 8, 151–168. [Google Scholar] [CrossRef]
- Cai, G.; Xue, Y.; Hu, Y.; Wang, Y.; Guo, J.; Luo, Y.; Wu, C.; Zhong, S.; Qi, S. Soil moisture retrieval from MODIS data in Northern China Plain using thermal inertia model. Int. J. Remote Sens. 2007, 28, 3567–3581. [Google Scholar] [CrossRef]
- Sandholt, I.; Rasmussen, K.; Andersen, J. A simple interpretation of the surface temperature/vegetation index space for assessment of surface moisture status. Remote Sens. Environ. 2002, 79, 213–224. [Google Scholar] [CrossRef]
- Zheng, M.; Liu, Z.; Xu, Z.; Li, J.; Sun, J. Research progress of soil moisture estimation based on microwave remote sensing. Acta Pedol. Sin. 2024, 61, 16–28. [Google Scholar]
- Liu, L.; Yang, X.; Zhou, H.; Liu, S.; Zhou, L.; Li, X.; Yang, J.; Han, X.; Wu, J. Evaluating the utility of solar-induced chlorophyll fluorescence for drought monitoring by comparison with NDVI derived from wheat canopy. Sci. Total Environ. 2018, 625, 1208–1217. [Google Scholar] [CrossRef]
- Song, L.; Guanter, L.; Guan, K.; You, L.; Huete, A.; Ju, W.; Zhang, Y. Satellite sun-induced chlorophyll fluorescence detects early response of winter wheat to heat stress in the Indian Indo-Gangetic Plains. Glob. Chang. Biol. 2018, 24, 4023–4037. [Google Scholar] [CrossRef]
- Tan, Z.; Tao, H.; Jiang, J.; Zhang, Q. Influences of climate extremes on NDVI in the Poyang Lake Basin, China. Wetlands 2015, 35, 1033–1042. [Google Scholar] [CrossRef]
- Sun, Y.; Fu, R.; Dickinson, R.; Joiner, J.; Frankenberg, C.; Gu, L.; Xia, Y.; Fernando, N. Drought onset mechanisms revealed by satellite solar-induced chlorophyll fluorescence: Insights from two contrasting extreme events. Geophys. Res. Biogeosci. 2016, 120, 2427–2440. [Google Scholar] [CrossRef]
- Yoshida, Y.; Joiner, J.; Tucker, C.; Berry, J.; Lee, J.; Walker, G.; Reichle, R.; Koster, R.; Lyapustin, A.; Wang, Y. The 2010 Russian drought impact on satellite measurements of solar-induced chlorophyll fluorescence: Insights from modeling and comparisons with parameters derived from satellite reflectances. Remote Sens. Environ. 2015, 166, 163–177. [Google Scholar] [CrossRef]
- Liu, X.; Luis, G.; Liu, L.; Alexander, D.; Zbyněk, M.; Uwe, R.; Peng, D.; Du, S.; Jean-Philippe, G. Downscaling of solar-induced chlorophyll fluorescence from canopy level to photosystem level using a random forest model. Remote Sens. Environ. 2019, 231, 110772. [Google Scholar] [CrossRef]
- Li, Y.; Liu, C.; Zhang, J.; Yang, H.; Xu, L.; Wang, Q.; Sack, L.; Wu, X.; Hou, J.; He, N. Variation in leaf chlorophyll concentration from tropical to cold-temperate forests: Association with gross primary productivity. Ecol. Indic. 2018, 85, 383–389. [Google Scholar] [CrossRef]
- Frankenberg, C.; Fisher, J.; Worden, J.; Badgley, G.; Saatchi, S.; Lee, J.; Toon, G.; Butz, A.; Jung, M.; Kuze, A.; et al. New global observations of the terrestrial carbon cycle from GOSAT: Patterns of plant fluorescence with gross primary productivity. Geophys. Res. Lett. 2011, 38, 351–365. [Google Scholar] [CrossRef]
- Wang, S.; Huang, C.; Zhang, L.; Lin, Y.; Cen, Y.; Wu, T. Monitoring and assessing the 2012 drought in the Great Plains: Analyzing satellite-retrieved solar-induced chlorophyll fluorescence, drought indices, and gross primary production. Remote Sens. 2016, 8, 61. [Google Scholar] [CrossRef]
- Daumard, F.; Champagne, S.; Fournier, A.; Goulas, Y.; Ounis, A.; Hanocq, J.; Moya, I. A field platform for continuous measurement of canopy fluorescence. IEEE Trans. Geosci. Remote 2010, 48, 3358–3368. [Google Scholar] [CrossRef]
- Chen, X.; Mo, X.; Zhang, Y.; Sun, Z.; Liu, Y.; Hu, S.; Liu, S. Drought detection and assessment with solar-induced chlorophyll fluorescence in summer maize growth period over North China Plain. Ecol. Indic. 2019, 104, 347–356. [Google Scholar] [CrossRef]
- Meroni, M.; Rossini, M.; Guanter, L.; Alonso, L.; Rascher, U.; Colombo, R.; Moreno, J. Remote sensing of solar-induced chlorophyll fluorescence: Review of methods and applications. Remote Sens. Environ. 2009, 113, 2037–2051. [Google Scholar] [CrossRef]
- Jeong, S.; Schimel, D.; Frankenberg, C.; Drewry, D.; Fisher, J.; Verma, M.; Berry, J.; Lee, J.; Joiner, J. Application of satellite solar-induced chlorophyll fluorescence to understanding large-scale variations in vegetation phenology and function over northern high latitude forests. Remote Sens. Environ. 2017, 190, 178–187. [Google Scholar] [CrossRef]
- Yokota, T.; Yoshida, Y.; Eguchi, N.; Ota, Y.; Tanaka, T.; Watanabe, H.; Maksyutov, S. Global concentrations of CO2 and CH4 retrieved from GOSAT: First preliminary results. SOLA 2009, 5, 160–163. [Google Scholar] [CrossRef]
- Joiner, J.; Yoshida, Y.; Vasilkov, A.; Yoshida, Y.; Corp, L. First observations of global and seasonal terrestrial chlorophyll fluorescence from space. Biogeosciences 2011, 8, 637–651. [Google Scholar] [CrossRef]
- Joiner, J.; Guanter, L.; Lindstrot, R.; Voigt, A.; Vasilkov, A.; Middleton, E.; Huemmrich, K.; Yoshida, Y.; Frankenberg, C. Global monitoring of terrestrial chlorophyll fluorescence from moderate-spectral-resolution near-infrared satellite measurements: Methodology, simulations, and application to GOME-2. Atmos. Meas. Tech. 2013, 6, 2803–2823. [Google Scholar] [CrossRef]
- Köhler, P.; Guanter, L.; Joiner, J. A linear method for the retrieval of sun-induced chlorophyll fluorescence from GOME-2 and SCIAMACHY data. Atmos. Meas. Tech. 2015, 8, 2589–2608. [Google Scholar] [CrossRef]
- Joiner, J.; Yoshida, Y.; Vasilkov, A.; Middleton, E.; Campbell, P.; Yoshida, Y.; Kuze, A.; Corp, L. Filling-in of near-infrared solar lines by terrestrial fluorescence and other geophysical effects: Simulations and space-based observations from SCIAMACHY and GOSAT. Atmos. Meas. Tech. 2012, 5, 809–829. [Google Scholar] [CrossRef]
- Frankenberg, C.; O’Dell, C.; Berry, J.; Guanter, L.; Joiner, J.; Köhler, P.; Pollock, R.; Taylor, T. Prospects for chlorophyll fluorescence remote sensing from the orbiting carbon observatory-2. Remote Sens. Environ. 2014, 147, 1–12. [Google Scholar] [CrossRef]
- Sun, Y.; Frankenberg, C.; Jung, M.; Joiner, J.; Guanter, L.; Köhler, P.; Magney, T. Overview of solar-induced chlorophyll fluorescence (SIF) from the Orbiting Carbon Observatory-2: Retrieval, cross-mission comparison, and global monitoring for GPP. Remote Sens. Environ. 2018, 209, 808–823. [Google Scholar] [CrossRef]
- Du, S.; Liu, X.; Duan, W.; Liu, L. Validation of solar-induced chlorophyll fluorescence products derived from OCO-2/3 observations using tower-based in situ measurements. Remote Sens. Lett. 2023, 14, 713–721. [Google Scholar] [CrossRef]
- Du, S.; Liu, L.; Liu, X.; Zhang, X.; Zhang, X.; Bi, Y.; Zhang, L. Retrieval of global terrestrial solar-induced chlorophyll fluorescence from TanSat satellite. Sci. Bull. 2018, 63, 1502–1512. [Google Scholar] [CrossRef]
- Yao, L.; Yang, D.; Liu, Y.; Wang, J.; Zheng, Y. A new global solar-induced chlorophyll fluorescence (SIF) data product from TanSat measurements. Adv. Atmos. Sci. 2021, 38, 341–345. [Google Scholar] [CrossRef]
- Zhang, Z.; Guanter, L.; Porcar-Castell, A.; Rossini, M.; Pacheco-Labrador, J.; Zhang, Y. Global modeling diurnal gross primary production from OCO-3 solar-induced chlorophyll fluorescence. Remote Sens. Environ. 2023, 285, 113383. [Google Scholar] [CrossRef]
- Li, X.; Xiao, J. A global, 0.05-degree product of solar-induced chlorophyll fluorescence derived from OCO-2, MODIS, and reanalysis data. Remote Sens. 2019, 11, 517. [Google Scholar] [CrossRef]
- Ma, Y.; Liu, L.; Chen, R.; Du, S.; Liu, X. Generation of a global spatially continuous TanSAT solar-induced chlorophyll fluorescence product by considering the impact of the solar radiation intensity. Remote Sens. 2020, 12, 2167. [Google Scholar] [CrossRef]
- Yu, L.; Wen, J.; Chang, C.; Frankenberg, C.; Sun, Y. High-resolution global contiguous SIF of OCO-2. Geophys. Res. Lett. 2019, 26, 1449–1458. [Google Scholar] [CrossRef]
- Zhang, Y.; Joiner, J.; Alemohammad, S.; Sha, Z.; Gentine, P. A global spatially contiguous solar-induced fluorescence (CSIF) dataset using neural networks. Biogeosciences 2018, 15, 5779–5800. [Google Scholar] [CrossRef]
- Liu, X.; Liu, L.; Bacour, C.; Guanter, L.; Chen, J.; Ma, Y.; Chen, R.; Du, S. A simple approach to enhance the TROPOMI solar-induced chlorophyll fluorescence product by combining with canopy reflected radiation at near-infrared band. Remote Sens. Environ. 2022, 284, 113341. [Google Scholar] [CrossRef]
- Lu, X.; Cai, G.; Zhang, X.; Yu, H.; Zhang, Q.; Wang, X.; Zhou, Y.; Su, Y. Research on downscaling method of the enhanced TROPOMI solar-induced chlorophyll fluorescence data. Geocarto Int. 2024, 39, 2354417. [Google Scholar] [CrossRef]
- Zhang, Z.; Xu, W.; Chen, Y.; Qin, Q. Monitoring and assessment of agricultural drought based on solar-induced chlorophyll fluorescence during growing season in North China Plain. IEEE J. Sel. Top. Appl. Earth Obs. Remote Sens. 2021, 14, 775–790. [Google Scholar] [CrossRef]
- Zhang, Z.; Xu, W.; Qin, Q.; Long, Z. Downscaling solar-induced chlorophyll fluorescence based on convolutional neural network method to monitor agricultural drought. IEEE Trans. Geosci. Remote 2020, 59, 1012–1028. [Google Scholar] [CrossRef]
- Köehler, P.; Frankenberg, C.; Magney, T.; Guanter, L.; Joiner, J.; Landgraf, J. Global retrievals of solar-induced chlorophyll fluorescence with TROPOMI: First results and intersensor comparison to OCO-2. Geophys. Res. Lett. 2018, 45, 10456–10463. [Google Scholar] [CrossRef]
- Guanter, L.; Bacour, C.; Schneider, A.; Aben, I.; Kempen, T.; Maignan, F.; Retscher, C.; Khler, P.; Frankenberg, C.; Joiner, J.; et al. The TROPOSIF global sun-induced fluorescence dataset from the Sentinel-5P TROPOMI mission. Earth Syst. Sci. Data 2021, 13, 5423–5440. [Google Scholar] [CrossRef]
- Hong, Z.; Hu, Y.; Cui, C.; Yang, X.; Tao, C.; Luo, W.; Zhang, W.; Li, L.; Meng, L. An operational downscaling method of solar-induced chlorophyll fluorescence (SIF) for regional drought monitoring. Agriculture 2022, 12, 547. [Google Scholar] [CrossRef]
- Du, S.; Liu, X.; Chen, J.; Duan, W.; Liu, L. Addressing validation challenges for TROPOMI solar-induced chlorophyll fluorescence products using tower-based measurements and an NIRv-scaled approach. Remote Sens. Environ. 2023, 290, 113547. [Google Scholar] [CrossRef]
- Hu, F.; Wei, Z.; Zhang, W.; Dorjee, D.; Meng, L. A spatial downscaling method for SMAP soil moisture through visible and shortwave-infrared remote sensing Data. J. Hydrol. 2020, 590, 125360. [Google Scholar] [CrossRef]
- Sun, H.; Zhou, B.; Li, H.; Ruan, L. Study on microwave soil moisture downscaling by coupling MOD16 and SMAP. J. Remote Sens. 2021, 25, 776–790. [Google Scholar]
- Wen, F.; Zhao, W.; Hu, L.; Xu, H.; Cui, Q. SMAP passive microwave soil moisture spatial downscaling based on optical remote sensing data: A case study in Shandian river basin. J. Remote Sens. 2021, 25, 962–973. [Google Scholar] [CrossRef]
- Breiman, L. Random Forests. Mach. Learn. 2001, 45, 5–32. [Google Scholar] [CrossRef]
- Shen, H.; Wang, Y.; Guan, X.; Huang, W.; Chen, J.; Lin, D.; Gan, W. A spatio-temporal constrained machine learning method for OCO-2 solar-induced chlorophyll fluorescence (SIF) reconstruction. IEEE Trans. Geosci. Remote Sens. 2022, 60, 1–17. [Google Scholar]
- Moran, M.; Clarke, T.; Inoue, Y.; Vidal, A. Estimating crop water deficit using the relation between surface-air temperature and spectral vegetation index. Remote Sens. Environ. 1994, 49, 246–263. [Google Scholar] [CrossRef]
- Rahimzadeh-Bajgiran, P.; Omasa, K.; Shimizu, Y. Comparative evaluation of the vegetation dryness index (VDI), the temperature vegetation dryness index (TVDI) and the improved TVDI (iTVDI) for water stress detection in semi-arid regions of Iran. ISPRS J. Photogramm. 2012, 68, 1–12. [Google Scholar] [CrossRef]
- Yao, C.; Zhang, Z.; Wang, X. Retrieval of soil moisture in Xinjiang using temperature vegetation drought index method (TVDI). Remote Sens. Technol. Appl. 2004, 19, 473–478. [Google Scholar]
- Song, C.; You, S.; Liu, G.; Ke, L.; Zhong, X. Spatial pattern of soil moisture in northern Tibet based on TVDI. Progress. Geogr. 2011, 30, 569–576. [Google Scholar]
- Wu, M.; Cui, H.; Li, J. Application of temperature vegetation drought index (TVDI) in drought monitoring in complex mountain areas. Arid. Land. Geogr. 2007, 30, 30–35. [Google Scholar]
- Han, Y.; Wang, Y.; Zhao, Y. Estimating soil moisture conditions of the greater Changbai Mountains by land surface temperature and NDVI. IEEE Trans. Geosci. Remote Sens. 2010, 48, 2509–2515. [Google Scholar]
- Sen, P. Estimates of the regression coefficient based on Kendall’s Tau. Publ. Am. Stat. Assoc. 1968, 63, 1379–1389. [Google Scholar] [CrossRef]
- Sha, S.; Guo, N.; Li, Y.; Han, T.; Zhao, Y. Introduction of application of temperature vegetation dryness index in China. J. Arid. Meteorol. 2014, 32, 128–134. [Google Scholar]
- Chen, S.; Zhang, L.; Tang, R.; Yang, K.; Huang, Y. Analysis on temporal and spatial variation of drought in Henan Province based on SPEI and TVDI. Trans. CSAE 2017, 33, 126–132. [Google Scholar]
- Zhang, Z.; Xiao, Y.; Gou, W.; Cui, J. Study on drought monitoring and spatiotemporal change in Henan Province based on sun/solar-induced chlorophyll fluorescence remote sensing. J. Agric. Big Data 2023, 5, 76–86. [Google Scholar]
- Zhang, Z.; Xu, W.; Shi, Z.; Qin, Q. Establishment of a comprehensive drought monitoring index based on multisource remote sensing data and agricultural drought monitoring. IEEE J. Sel. Top. Appl. Earth Obs. Remote Sens. 2021, 14, 2113–2126. [Google Scholar] [CrossRef]

















| Dataset | Name | Spatial Resolution | Temporal Resolution | Date Time (2010–2022) | Date Time (2010–2022) |
|---|---|---|---|---|---|
| MCD43A4 | b1, b2, b3, b4 | 500 m | 1-day | March–September | March–September |
| MCD15A2H | FPAR, LAI | 500 m | 8-day | March–September | March–September |
| MOD16A2GF | ET | 500 m | 8-day | March–September | March–September |
| MOD11A2 | LST | 1 km | 8-day | March–September | March–September |
| MCD12Q1 | IGBP | 500 m | 1-year |
| Vegetation Index | Expression |
|---|---|
| NDVI | |
| EVI | |
| NIRv | |
| SAVI |
| Classification | SPEI Value | Type |
|---|---|---|
| 1 | −0.5 < SPEI | no drought |
| 2 | −1.0 < SPEI ≤ −0.5 | mild drought |
| 3 | −1.5 < SPEI ≤ −1.0 | moderate drought |
| 4 | −2.0 < SPEI ≤ −1.5 | severe drought |
| 5 | SPEI ≤ −2.0 | extreme drought |
| Number | TVDI Drought Classification Criteria | ||||
|---|---|---|---|---|---|
| 1 | humidity (0–0.2] | normal (0.2–0.4] | mild drought (0.4–0.6] | drought (0.6–0.8] | severe drought (0.8–1.0] |
| 2 | humidity (0–0.3) | moderately humidity (0.3–0.5) | normal (0.5–0.6) | mild drought (0.6–0.75) | drought (0.75–1.0) |
| 3 | water (0–0.2] | humidity (0.2–0.4] | normal (0.4–0.6] | water deficit (0.6–0.8] | drought (0.8–1.0] |
| 4 | extreme humidity (0–0.2) | humidity (0.2–0.4) | normal (0.4–0.6) | drought (0.6–0.8) | extreme drought (0.8–1.0) |
| 5 | extreme humidity (0–0.1) | humidity (0.1–0.4) | normal (0.4–0.6) | drought (0.6–0.9) | extreme drought (0.9–1.0) |
| β | |Z| | Trend Characteristics | Category |
|---|---|---|---|
| β > 0 | |Z| > 2.58 | extremely significant increase | 4 |
| 2.58 ≥ |Z| > 1.96 | significant increase | 3 | |
| 1.96 ≥ |Z| > 1.65 | slightly significant increase | 2 | |
| 1.65 ≥ |Z| | no significant increase | 1 | |
| β = 0 | Z | unchanged | 0 |
| β < 0 | 1.65 ≥ |Z| | no significant decrease | −1 |
| 1.96 ≥ |Z| > 1.65 | slightly significant decrease | −2 | |
| 2.58 ≥ |Z| > 1.96 | significant decrease | −3 | |
| |Z| > 2.58 | extremely significant decrease | −4 |
| Explanatory Variable | Importance Scores |
|---|---|
| b2 | 0.416 |
| NIRv | 0.205 |
| ET | 0.118 |
| EVI | 0.098 |
| SAVI | 0.042 |
| b4 | 0.035 |
| LAI | 0.027 |
| FPAR | 0.017 |
| b3 | 0.017 |
| b1 | 0.013 |
| NDVI | 0.011 |
| Classification | Fitted iTFDI Classification | Experimental iTFDI Classification |
|---|---|---|
| 1 | normal (0–0.58] | humidity (0–0.40] |
| 2 | mild drought (0.58–0.63] | normal (0.40–0.60] |
| 3 | moderate drought (0.63–0.68] | mild drought (0.6–0.75] |
| 4 | severe drought (0.68–0.72] | drought (0.75–0.80] |
| 5 | extreme drought (0.72–1] | severe drought (0.80–1] |
| Date | Humidity (%) | Normal (%) | Mild Drought (%) | Drought (%) | Severe Drought (%) |
|---|---|---|---|---|---|
| 2022/03 | 20.42 | 47.76 | 27.51 | 2.62 | 1.69 |
| 2022/04 | 15.45 | 49.56 | 27.16 | 3.96 | 3.88 |
| 2022/05 | 4.27 | 25.46 | 49.84 | 11.82 | 8.61 |
| 2022/06 | 9.59 | 18.92 | 51.39 | 11.15 | 8.95 |
| 2022/07 | 22.20 | 49.80 | 22.95 | 2.84 | 2.21 |
| 2022/08 | 27.23 | 51.58 | 17.71 | 1.89 | 1.59 |
| 2022/09 | 16.92 | 39.48 | 35.91 | 4.59 | 3.11 |
Disclaimer/Publisher’s Note: The statements, opinions and data contained in all publications are solely those of the individual author(s) and contributor(s) and not of MDPI and/or the editor(s). MDPI and/or the editor(s) disclaim responsibility for any injury to people or property resulting from any ideas, methods, instructions or products referred to in the content. |
© 2024 by the authors. Licensee MDPI, Basel, Switzerland. This article is an open access article distributed under the terms and conditions of the Creative Commons Attribution (CC BY) license (https://creativecommons.org/licenses/by/4.0/).
Share and Cite
Cai, G.; Lu, X.; Zhang, X.; Li, G.; Yu, H.; Lou, Z.; Fan, J.; Zhou, Y. Application of the Reconstructed Solar-Induced Chlorophyll Fluorescence by Machine Learning in Agricultural Drought Monitoring of Henan Province, China from 2010 to 2022. Agronomy 2024, 14, 1941. https://doi.org/10.3390/agronomy14091941
Cai G, Lu X, Zhang X, Li G, Yu H, Lou Z, Fan J, Zhou Y. Application of the Reconstructed Solar-Induced Chlorophyll Fluorescence by Machine Learning in Agricultural Drought Monitoring of Henan Province, China from 2010 to 2022. Agronomy. 2024; 14(9):1941. https://doi.org/10.3390/agronomy14091941
Chicago/Turabian StyleCai, Guosheng, Xiaoping Lu, Xiangjun Zhang, Guoqing Li, Haikun Yu, Zhengfang Lou, Jinrui Fan, and Yushi Zhou. 2024. "Application of the Reconstructed Solar-Induced Chlorophyll Fluorescence by Machine Learning in Agricultural Drought Monitoring of Henan Province, China from 2010 to 2022" Agronomy 14, no. 9: 1941. https://doi.org/10.3390/agronomy14091941
APA StyleCai, G., Lu, X., Zhang, X., Li, G., Yu, H., Lou, Z., Fan, J., & Zhou, Y. (2024). Application of the Reconstructed Solar-Induced Chlorophyll Fluorescence by Machine Learning in Agricultural Drought Monitoring of Henan Province, China from 2010 to 2022. Agronomy, 14(9), 1941. https://doi.org/10.3390/agronomy14091941

