Rice Yield and Grain Quality under Fluctuating Soil Moisture Stress
Abstract
1. Introduction
2. Materials and Methods
2.1. Experimental Site
2.2. Plant Materials
2.3. Experimental Design
2.4. Analyzed Variables
2.5. Statistical Analysis
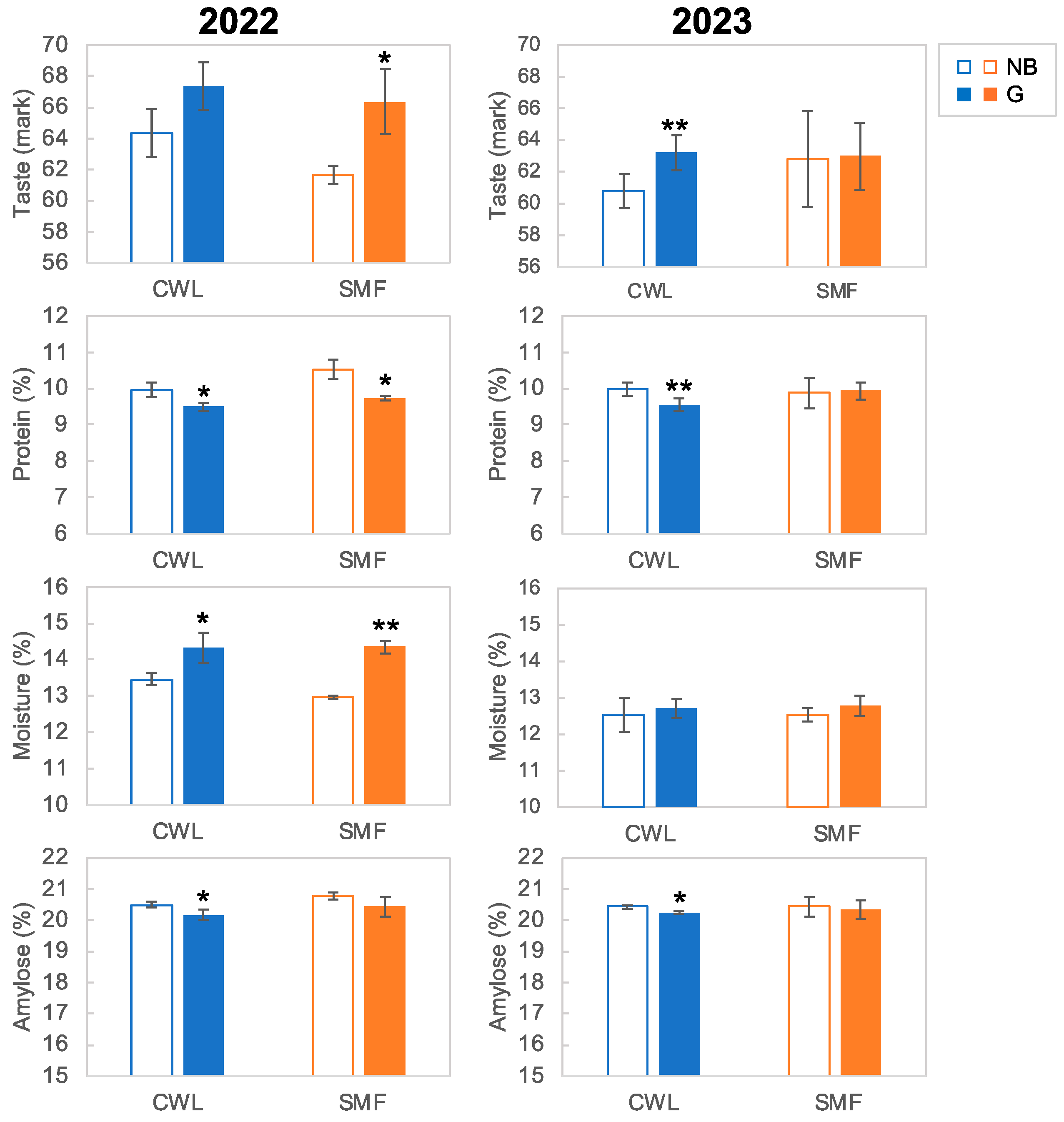
3. Results
4. Discussion
5. Conclusions
Supplementary Materials
Author Contributions
Funding
Data Availability Statement
Acknowledgments
Conflicts of Interest
References
- GRiSP (Global Rice Science Partnership). Rice Almanac, 4th ed.; International Rice Research Institute: Los Baños, PA, USA, 2013; p. 283. [Google Scholar]
- Fukai, S.; Ouk, M. Increased productivity of rainfed lowland rice cropping systems of the Mekong region. Crop Pasture Sci. 2012, 63, 944–973. [Google Scholar] [CrossRef]
- Suralta, R.R.; Inukai, Y.; Yamauchi, A. Dry matter production in relation to root plastic development, oxygen transport, and water uptake of rice under transient soil moisture stresses. Plant Soil 2010, 332, 87–104. [Google Scholar] [CrossRef]
- Carrijo, D.R.; Lundy, M.E.; Linquist, B.A. Rice yields and water use under alternate wetting and drying irrigation: A meta-analysis. Field Crops Res. 2017, 203, 173–180. [Google Scholar] [CrossRef]
- Gao, R.; Zhuo, L.; Wu, P. Effects of alternate wetting and drying irrigation on yield, water-saving, and emission reduction in rice fields: A global meta-analysis. Agric. For. Meteorol. 2024, 353, 110075. [Google Scholar] [CrossRef]
- Arai, H.; Hosen, Y.; Chiem, N.H.; Inubushi, K. Alternate wetting and drying enhanced the yield of a triple-cropping rice paddy of the Mekong Delta. Soil Sci. Plant Nutr. 2021, 67, 493–506. [Google Scholar] [CrossRef]
- Yang, J.; Zhang, J. Crop management techniques to enhance harvest index in rice. J. Exp. Bot. 2010, 61, 3177–3189. [Google Scholar] [CrossRef]
- Ndikuryayo, C.; Ndayiragije, A.; Kilasi, N.; Kusolwa, P. Breeding for rice aroma and drought tolerance: A Review. Agronomy 2022, 12, 1726. [Google Scholar] [CrossRef]
- Hori, K.; Sun, J. Rice grain size and quality. Rice 2022, 15, 33. [Google Scholar] [CrossRef]
- Li, P.; Chen, Y.H.; Lu, J.; Zhang, C.Q.; Liu, Q.Q.; Li, Q.F. Genes and their molecular functions determining seed structure, components, and quality of rice. Rice 2022, 15, 18. [Google Scholar] [CrossRef]
- Matsue, Y.; Takasaki, K.; Abe, J. Water management for improvement of rice yield, appearance quality and palatability with high temperature during ripening period. Rice Sci. 2021, 28, 409–416. [Google Scholar] [CrossRef]
- Srun, K.; Fujita, A.; Kong, K.; Ngin, C.; Neou, R.; Asano, K.; Audia, F.; Yamada, S.; Kano-Nakata, M.; Yamauchi, A.; et al. Utilization of sensing and image-processing devices for evaluating the grain quality of Cambodian rice varieties. Trop. Agric. Dev. 2022, 66, 139–149. [Google Scholar]
- Zheng, C.; Liu, C.; Liu, L.; Tan, Y.; Sheng, X.; Yu, D.; Sun, Z.; Sun, X.; Chen, J.; Yuan, D.; et al. Effect of salinity stress on rice yield and grain quality: A meta-analysis. Eur. J. Agron. 2023, 144, 126765. [Google Scholar] [CrossRef]
- Ren, D.; Ding, C.; Qian, Q. Molecular bases of rice grain size and quality for optimized productivity. Sci. Bull. 2023, 68, 314–350. [Google Scholar] [CrossRef]
- Yang, Y.; Yu, J.; Qian, Q.; Shang, L. Enhancement of heat and drought stress tolerance in rice by genetic manipulation: A systematic review. Rice 2022, 15, 67. [Google Scholar] [CrossRef]
- Bañoc, D.M.; Yamauchi, A.; Kamoshita, A.; Wade, L.J.; Pardales, J.R., Jr. Dry matter production and root system development of rice cultivars under fluctuating soil moisture. Plant Prod. Sci. 2000, 3, 197–207. [Google Scholar] [CrossRef]
- Kano-Nakata, M.; Gowda, V.R.; Henry, A.; Serraj, R.; Inukai, Y.; Fujita, D.; Kobayashi, N.; Suralta, R.R.; Yamauchi, A. Functional roles of the plasticity of root system development in biomass production and water uptake under rainfed lowland conditions. Field Crops Res. 2013, 144, 288–296. [Google Scholar] [CrossRef]
- Kameoka, E.; Suralta, R.R.; Mitsuya, S.; Yamauchi, A. Developmental plasticity of rice root system grown under mild drought stress condition with shallow soil depth; comparison between nodal and lateral roots. Plant Prod. Sci. 2016, 19, 411–419. [Google Scholar] [CrossRef]
- Sangwongchai, W.; Tananuwong, K.; Krusong, K.; Thitisaksakul, M. Yield, grain quality, and starch physicochemical properties of 2 elite Thai rice cultivars grown under varying production systems and soil characteristics. Foods 2021, 10, 2601. [Google Scholar] [CrossRef]
- Korinsak, S.; Siangliw, M.; Kotcharerk, J.; Jairin, J.; Siangliw, J.L.; Jongdee, B.; Toojinda, T. Improvement of the submergence tolerance and the brown planthopper resistance of the Thai jasmine rice cultivar KDML105 by pyramiding Sub1 and Qbph12. Field Crops Res. 2016, 188, 105–112. [Google Scholar] [CrossRef]
- Kanjoo, V.; Punyawaew, K.; Siangliw, J.L.; Jearakongman, S.; Vanavichit, A.; Toojinda, T. Evaluation of agronomic traits in chromosome segment substitution lines of KDML105 containing drought tolerance qtl under drought stress. Rice Sci. 2012, 19, 117–124. [Google Scholar] [CrossRef]
- Owusu-Nketia, S.; Inukai, Y.; Ohashi, S.; Suralta, R.R.; Doi, K.; Mitsuya, S.; Kano-Nakata, M.; Niones, J.M.; Nguyen, D.T.N.; Kabuki, T.; et al. Root plasticity under fluctuating soil moisture stress exhibited by backcross inbred line of a rice variety, Nipponbare carrying introgressed segments from KDML105 and detection of the associated QTLs. Plant Prod. Sci. 2018, 21, 106–122. [Google Scholar] [CrossRef]
- Sultan, M.S.; Abdel-Moneam, M.A.; El-Abd, A.B.; El-Naem, S.A. Inheritance of some root and grain quality traits in rice under water deficiency conditions. J. Agron. 2014, 13, 89–99. [Google Scholar] [CrossRef][Green Version]
- Ohnishi, M.; Horie, T. A proxy analysis of nonstructural carbohydrate in rice plant by using the gravimetric method. Jpn. J. Crop Sci. 1999, 68, 126–136. [Google Scholar] [CrossRef]
- Saito, K.; Ndindeng, S.A.; Devkota, M.; Dobermann, A. Measurement of rice grain yield and aboveground biomass at maturity for crop cut at plot level, v1. Standard Operating Procedure 010. Guideline for Measuring Agronomic Gain Key Performance Indicators in on-Farm Trials, v. 1. Saito, K., Johnson, J.-M., Hauser, S., Corbeels, M., Devkota, M., Casimero, M., Eds.; Excellence in Agronomy for Sustainable Intensification and Climate Change Adaptation Initiative. 2023, p. 5. Available online: https://hdl.handle.net/10568/134609 (accessed on 19 August 2024).
- Luo, Y.; Zhu, Z.; Chen, N.; Duan, B.; Zhang, L. Grain types and related quality characteristics of rice in China. Chin. J. Rice Sci. 2004, 18, 135–139. [Google Scholar]
- Xu, Q.; Chen, W.; Xu, Z. Relationship between grain yield and quality in rice germplasms grown across different growing areas. Breed Sci. 2015, 65, 226–232. [Google Scholar] [CrossRef]
- Giseburt, A. Climate Change, Chalky Grains and the Risks for Japan’s Rice Farmers. The Japan Times. 2024. Available online: https://www.japantimes.co.jp/environment/2024/04/28/climate-change/rice-climate-change-risk/ (accessed on 19 August 2024).
- Lawas, L.M.F.; Shi, W.J.; Yoshimoto, M.; Hasegawa, T.; Hincha, D.K.; Zuther, E.; Jagadish, S.V.K. Combined drought and heat stress impact during flowering and grain filling in contrasting rice cultivars grown under field conditions. Field Crops Res. 2018, 229, 66–77. [Google Scholar] [CrossRef]
- Deng, N.; Ling, X.; Sun, Y.; Zhang, C.; Fahad, S.; Peng, S.; Cui, K.; Nie, L.; Huang, J. Influence of temperature and solar radiation on grain yield and quality in irrigated rice system. Eur. J. Agron. 2015, 64, 37–46. [Google Scholar] [CrossRef]
- Wakamatsu, K.; Sasaki, O.; Uezono, I.; Tanaka, A. Effects of high air temperature during the ripening period on the grain quality of rice in warm regions of Japan. Jpn. J. Crop. Sci. 2007, 76, 71–78. [Google Scholar] [CrossRef]
- Arai-Sanoh, Y.; Ida, M.; Zhao, R.; Nishitani, K.; Yoshinaga, S.; Takai, T.; Nakano, H.; Iwasawa, N.; Kondo, M. Varietal differences in cell wall β-(1 → 3), (1 → 4)-glucan and nonstructural carbohydrate in rice stems during the grain filling stage. Plant Prod. Sci. 2023, 16, 335–341. [Google Scholar] [CrossRef]
- Yoshinaga, S.; Takai, T.; Arai-Sanoh, Y.; Ishimaru, T.; Kondo, M. Varietal differences in sink production and grain-filling ability in recently developed high-yielding rice (Oryza sativa L.) varieties in Japan. Field Crops Res. 2013, 150, 74–82. [Google Scholar] [CrossRef]
- Onoda, K.; Ohta, R.; Peter, M.A.; Edifor, R.; Hamajima, M.; Mae, A.; Murai, A.; Kondo, M.; Sekiya, N. Post-heading accumulation of nonstructural carbohydrates and nitrogen in rice (Oryza sativa L.) roots. Field Crops Res. 2024, 315, 109478. [Google Scholar] [CrossRef]
- Kongpun, A.; Pusadee, T.; Jaksomsak, P.; Tuiwong, P.; Chan-In, P.; Konsaeng, S.; Pathom-Aree, W.; Utasee, S.; Wangkaew, B.; Prom-U-Thai, C. Abiotic and biotic factors controlling grain aroma along value chain of fragrant rice: A review. Rice Sci. 2024, 31, 142–158. [Google Scholar] [CrossRef]
- Bao, J. Rice milling quality. In Rice Chemistry and Technology, 4th ed.; Bao, J., Ed.; AACC International Press: St Paul, MN, USA, 2019; pp. 339–369. [Google Scholar]
- Agustin, A.M.L.; Ordonio, J.L.; Natividad, M.B.S.; Lucob-Agustin, N.B.; Suralta, R.R.; Ehara, H.; Mitsuya, S.; Kano-Nakata, M. Specialty rice (Oryza sativa L.) with high and stable grain yield under rainfed lowland conditions. Agriculture 2023, 13, 1985. [Google Scholar] [CrossRef]
- Pörtner, H.-O.; Roberts, D.C.; Tignor, M.; Poloczanska, E.S.; Mintenbeck, K.; Alegría, A.; Craig, M.; Langsdorf, S.; Löschke, S.; Möller, V.; et al. IPCC 2022 Climate Change 2022: Impacts, Adaptation and Vulnerability; Cambridge University Press: Cambridge, UK, 2022. [Google Scholar]
- Jin, S.; Xu, L.; Yang, Q.; Zhang, M.; Wang, S.; Wang, R.; Tao, T.; Hong, L.; Guo, Q.; Jia, S. High-resolution quantitative trait locus mapping for rice grain quality traits using genotyping by sequencing. Front. Plant Sci. 2023, 13, 1050882. [Google Scholar] [CrossRef]
- Phung, H.D.; Sugiura, D.; Sunohara, H.; Makihara, D.; Kondo, M.; Nishiuchi, S.; Doi, K. QTL analysis for carbon assimilate translocation-related traits during maturity in rice (Oryza sativa L.). Breed Sci. 2019, 69, 289–296. [Google Scholar] [CrossRef] [PubMed]





| Year | Treatment | Genotype | Panicles | Spikelet Number per Panicle | Spikelet Fertility (%) | 1000-Grain Weight (g) | Grain Yield per Plant (g) | |||||
|---|---|---|---|---|---|---|---|---|---|---|---|---|
| 2022 | CWL | NB | 11.0 | a | 88.9 | b | 89.0 | a | 22.6 | ab | 19.6 | b |
| G | 12.7 | a | 138.6 | a | 74.0 | b | 21.5 | bc | 26.9 | a | ||
| SMF | NB | 11.7 | a | 66.4 | b | 70.6 | b | 23.2 | a | 12.5 | c | |
| G | 12.3 | a | 79.0 | b | 72.4 | b | 21.1 | c | 14.5 | bc | ||
| 2023 | CWL | NB | 16.8 | a | 51.6 | b | 75.3 | a | 25.1 | a | 16.4 | a |
| G | 12.2 | a | 72.3 | a | 66.3 | ab | 23.6 | b | 13.9 | a | ||
| SMF | NB | 12.4 | a | 37.9 | b | 58.0 | bc | 22.7 | b | 6.2 | b | |
| G | 17.4 | a | 45.1 | b | 55.6 | c | 20.5 | c | 9.0 | b |
| Year | Treatment | Genotype | Perfect Grains (%): no. | Pecky Grains (%): no. | Chalky Grains (%): no. | Broken Grains (%): wt. | ||||
|---|---|---|---|---|---|---|---|---|---|---|
| 2022 | CWL | NB | 88.9 | a | 8.5 | a | 2.6 | a | 3.9 | b |
| G | 86.8 | a | 5.6 | b | 7.7 | a | 8.0 | a | ||
| SMF | NB | 87.3 | a | 9.4 | a | 3.4 | a | 4.2 | ab | |
| G | 86.2 | a | 9.1 | a | 4.7 | a | 6.5 | ab | ||
| 2023 | CWL | NB | 74.2 | a | 20.8 | a | 5.0 | c | 5.1 | b |
| G | 74.8 | a | 20.2 | a | 5.0 | c | 12.1 | a | ||
| SMF | NB | 57.3 | b | 28.7 | a | 14.1 | b | 4.6 | b | |
| G | 20.2 | c | 25.6 | a | 54.2 | a | 10.5 | a |
| Year | Treatment | Genotype | Area (mm) | Width (mm) | Length (mm) | Thickness (mm) | ||||
|---|---|---|---|---|---|---|---|---|---|---|
| 2022 | CWL | NB | 11.4 | b | 2.7 | b | 5.3 | c | 2.1 | a |
| G | 12.0 | a | 2.6 | d | 5.8 | a | 1.9 | b | ||
| SMF | NB | 11.5 | b | 2.8 | a | 5.3 | d | 2.1 | a | |
| G | 11.9 | a | 2.6 | c | 5.7 | b | 1.9 | b | ||
| 2023 | CWL | NB | 11.6 | b | 2.8 | a | 5.3 | c | 2.1 | a |
| G | 12.1 | a | 2.6 | c | 5.9 | a | 1.9 | c | ||
| SMF | NB | 10.7 | d | 2.7 | b | 5.2 | d | 2.0 | b | |
| G | 11.1 | c | 2.5 | d | 5.6 | b | 1.9 | c |
Disclaimer/Publisher’s Note: The statements, opinions and data contained in all publications are solely those of the individual author(s) and contributor(s) and not of MDPI and/or the editor(s). MDPI and/or the editor(s) disclaim responsibility for any injury to people or property resulting from any ideas, methods, instructions or products referred to in the content. |
© 2024 by the authors. Licensee MDPI, Basel, Switzerland. This article is an open access article distributed under the terms and conditions of the Creative Commons Attribution (CC BY) license (https://creativecommons.org/licenses/by/4.0/).
Share and Cite
Deshabandu, K.H.S.T.; Noda, Y.; Marcelo, V.A.C.; Ehara, H.; Inukai, Y.; Kano-Nakata, M. Rice Yield and Grain Quality under Fluctuating Soil Moisture Stress. Agronomy 2024, 14, 1926. https://doi.org/10.3390/agronomy14091926
Deshabandu KHST, Noda Y, Marcelo VAC, Ehara H, Inukai Y, Kano-Nakata M. Rice Yield and Grain Quality under Fluctuating Soil Moisture Stress. Agronomy. 2024; 14(9):1926. https://doi.org/10.3390/agronomy14091926
Chicago/Turabian StyleDeshabandu, Kotte Hewa Swarnamali Thilinika, Yasutaka Noda, Via Ann Candelaria Marcelo, Hiroshi Ehara, Yoshiaki Inukai, and Mana Kano-Nakata. 2024. "Rice Yield and Grain Quality under Fluctuating Soil Moisture Stress" Agronomy 14, no. 9: 1926. https://doi.org/10.3390/agronomy14091926
APA StyleDeshabandu, K. H. S. T., Noda, Y., Marcelo, V. A. C., Ehara, H., Inukai, Y., & Kano-Nakata, M. (2024). Rice Yield and Grain Quality under Fluctuating Soil Moisture Stress. Agronomy, 14(9), 1926. https://doi.org/10.3390/agronomy14091926

