Simulation of Maize Growth Under the Applications of Brackish Water in Northwest China
Abstract
1. Introduction
2. Materials and Methods
2.1. Overview of the Pilot Area
2.2. Experimental Design
2.3. Data Observation and Computation
2.3.1. Meteorological Data and Groundwater Level Data
2.3.2. Soil Salinity and Moisture Content
2.3.3. Leaf Area, Biomass and Yield of Maize
2.3.4. Collection of Hydroxide Isotope Samples
2.3.5. Isotopic Identification of Water Sources in Different Soil Layers
2.4. AquaCrop Model
2.4.1. Climate Data
2.4.2. Crop Parameters
2.4.3. Soil Parameters
2.4.4. Irrigation and Field Management Parameters
2.5. Calibration and Validation of the Aquacrop Model
2.6. Model Evaluation Guidelines
3. Results
3.1. Changes in Soil Moisture and Salinity
3.2. AquaCrop Model Simulation Results
3.2.1. Canopy Cover
3.2.2. Above-Ground Biomass and Production
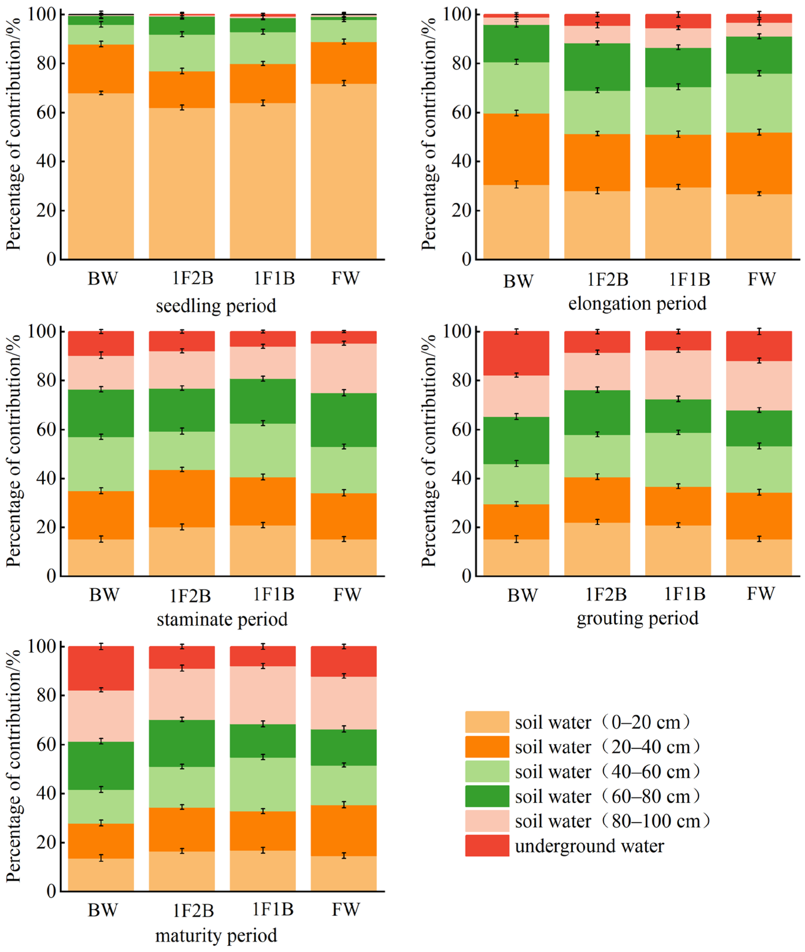
3.3. Percentage of Water Uptake by Maize in Different Soil Layers
3.4. Irrigation System Optimization
4. Discussion
4.1. Analysis of Soil Water Utilization under Different Irrigation Water Quality
4.2. Evaluation of the Applicability of the Aquacrop Model
5. Conclusions
- (1)
- The AquaCrop model is capable of accurately simulating the development and yield of maize under varying irrigation water quality conditions throughout the fertile period. The model simulation’s accuracy will diminish when maize is subjected to water stress. Consequently, the model will result in a lower estimation of the predicted maize yield when mulching is taken into account.
- (2)
- Utilizing the hydroxide isotope tracer approach, it was determined that irrigating maize with both mineralized water quality of 1.6 ds/m and fresh water quality over the whole reproductive period would result in an enhanced percentage of groundwater usage. However, there was no notable disparity in the exploitation of various soil strata between the irrigation methods of alternating freshwater and brackish water.
- (3)
- Based on scenario simulation analysis using the AquaCrop model, it was determined that in order to achieve the goals of lowering freshwater consumption and increasing maize yield, it is advisable to irrigate the site with either 0.5 ds/m or 0.8 ds/m of water source irrigation for a total of 6 or 7 irrigation cycles.
Author Contributions
Funding
Data Availability Statement
Acknowledgments
Conflicts of Interest
References
- Dyson, T. World food trends and prospects to 2025. Proc. Natl. Acad. Sci. USA 1999, 96, 5929–5936. [Google Scholar] [CrossRef]
- Schmidhuber, J.; Tubiello, F.N. Global food security under climate change. Proc. Natl. Acad. Sci. USA 2007, 104, 19703–19708. [Google Scholar] [CrossRef] [PubMed]
- Fan, Y.; Gao, J.; Sun, J.; Liu, J.; Su, Z.; Wang, Z.; Yu, X.; Hu, S. Effects of straw returning and potassium fertilizer application on root characteristics and yield of spring maize in China inner Mongolia. Agron. J. 2021, 113, 4369–4385. [Google Scholar] [CrossRef]
- Yu, X.; Qu, J.; Hu, S.; Xu, P.; Chen, Z.; Gao, J.; Ma, D. The effect of tillage methods on soil physical properties and maize yield in Eastern Inner Mongolia. Eur. J. Agron. 2023, 147, 126852. [Google Scholar] [CrossRef]
- Khondoker, M.; Mandal, S.; Gurav, R.; Hwang, S. Freshwater shortage, salinity increase, and global food production: A need for sustainable irrigation water desalination—A scoping review. Earth 2023, 4, 223–240. [Google Scholar] [CrossRef]
- Ridoutt, B.G.; Pfister, S. A revised approach to water footprinting to make transparent the impacts of consumption and production on global freshwater scarcity. Glob. Environ. Chang. 2010, 20, 113–120. [Google Scholar] [CrossRef]
- Lima, V.I.A.; Antony, A.; Le-Clech, P.; Leslie, G.; Sutton, B.G. New method for subsurface irrigation to improve use of brackish water. In Proceedings of the III Inovagri International Meeting, Fortaleza, Brazil, 30 August–3 September 2015; pp. 1–9. [Google Scholar]
- Yang, G.; Li, F.; Tian, L.; He, X.; Gao, Y.; Wang, Z.; Ren, F. Soil physicochemical properties and cotton (Gossypium hirsutum L.) yield under brackish water mulched drip irrigation. Soil Tillage Res. 2020, 199, 104592. [Google Scholar] [CrossRef]
- Cavalcante, E.S.; Lacerda, C.F.; Costa, R.N.T.; Gheyi, H.R.; Pinho, L.L.; Bezerra, F.M.S.; Oliveira, A.C.; Canjá, J.F. Supplemental irrigation using brackish water on maize in tropical semi-arid regions of Brazil: Yield and economic analysis. Sci. Agrícola 2021, 78 (Suppl. 1), e20200151. [Google Scholar] [CrossRef]
- Cavalcante, E.S.; Lacerda, C.F.; Mesquita, R.O.; de Melo, A.S.; da Silva Ferreira, J.F.; dos Santos Teixeira, A.; Ribeiro Vieira Lima, S.C.; da Silva Sales, J.R.; de Souza Silva, J.; Raj Gheyi, H. Supplemental irrigation with brackish water improves carbon assimilation and water use efficiency in maize under tropical dryland conditions. Agriculture 2022, 12, 544. [Google Scholar] [CrossRef]
- Zhang, Z.; Zhang, Z.; Lu, P.; Feng, G.; Qi, W. Soil water-salt dynamics and maize growth as affected by cutting length of topsoil incorporation straw under brackish water irrigation. Agronomy 2020, 10, 246. [Google Scholar] [CrossRef]
- Nunes, H.; Farias, V.D.S.; Sousa, D.P.; Costa, D.; Pinto, J.; Moura, V.; Teixeira, E.; Lima, M.; Ortega-Farias, S.; Souza, P. Parameterization of the AquaCrop model for cowpea and assessing the impact of sowing dates normally used on yield. Agric. Water Manag. 2021, 252, 106880. [Google Scholar] [CrossRef]
- Mandeewal, R.L.; Soni, M.L.; Gulati, I.J.; Shivran, H.; Kumar, R.; Choudhary, R. Evaluation of CropSyst Model to Simulate the Effect of Irrigation and Nitrogen Levels on Clusterbean. Int. J. Plant Soil Sci. 2020, 32, 24–31. [Google Scholar] [CrossRef]
- Courault, D.; Hossard, L.; Demarez, V.; Dechatre, H.; Irfan, K.; Baghdadi, N.; Flamain, F.; Ruget, F. STICS crop model and Sentinel-2 images for monitoring rice growth and yield in the Camargue region. Agron. Sustain. Dev. 2021, 41, 49. [Google Scholar] [CrossRef]
- Allan, J.C.; Kiniry, J.R.; Dyke, P.T. CERES-Maize: A Simulation Model of Maize Growth and Development; Texas A & M University Press: College Station, TX, USA, 1986. [Google Scholar]
- Steduto, P.; Hsiao, T.C.; Raes, D.; Fereres, E. AquaCrop—The FAO crop model to simulate yield response to water:, I. Concepts and underlying principles. Agron. J. 2009, 101, 426–437. [Google Scholar] [CrossRef]
- Shirazi, S.Z.; Mei, X.; Liu, B.; Liu, Y. Assessment of the AquaCrop Model under different irrigation scenarios in the North China Plain. Agric. Water Manag. 2021, 257, 107120. [Google Scholar] [CrossRef]
- Aziz, M.; Rizvi, S.A.; Sultan, M.; Bazmi, M.S.A.; Shamshiri, R.R.; Ibrahim, S.M.; Imran, M.A. Simulating cotton growth and productivity using AquaCrop model under deficit irrigation in a semi-arid climate. Agriculture 2022, 12, 242. [Google Scholar] [CrossRef]
- Mabhaudhi, T.; Modi, A.T.; Beletse, Y.G. Parameterisation and evaluation of the FAO-AquaCrop model for a South African taro (Colocasia esculenta L. Schott) landrace. Agric. For. Meteorol. 2014, 192, 132–139. [Google Scholar] [CrossRef]
- Silvestro, P.C.; Pignatti, S.; Yang, H.; Yang, G.; Pascucci, S.; Castaldi, F.; Casa, R. Sensitivity analysis of the Aquacrop and SAFYE crop models for the assessment of water limited winter wheat yield in regional scale applications. PLoS ONE 2017, 12, e0187485. [Google Scholar] [CrossRef]
- Zhang, C.; Xie, Z.; Wang, Q.; Tang, M.; Feng, S.; Cai, H. AquaCrop modeling to explore optimal irrigation of winter wheat for improving grain yield and water productivity. Agric. Water Manag. 2022, 266, 107580. [Google Scholar] [CrossRef]
- Martínez-Romero, A.; López-Urrea, R.; Montoya, F.; Pardo, J.J.; Dominguez, A. Optimization of irrigation scheduling for barley crop, combining AquaCrop and MOPECO models to simulate various water-deficit regimes. Agric. Water Manag. 2021, 258, 107219. [Google Scholar] [CrossRef]
- Alvar-Beltrán, J.; Gobin, A.; Orlandini, S.; Dalla Marta, A. AquaCrop parametrisation for quinoa in arid environments. Ital. J. Agron. 2021, 16. [Google Scholar] [CrossRef]
- Gürkan, H. Evaluation of the impacts of climate change on sunflower with aquacrop model. Tekirdağ Ziraat Fakültesi Derg. 2023, 20, 933–947. [Google Scholar] [CrossRef]
- Allan, R.P.; Barlow, M.; Byrne, M.P.; Cherchi, A.; Douville, H.; Fowler, H.; Gan, T.; Pendergrass, A.; Rosenfeld, D.; Swann, A.; et al. Advances in understanding large-scale responses of the water cycle to climate change. Ann. N. Y. Acad. Sci. 2020, 1472, 49–75. [Google Scholar] [CrossRef]
- Schwärzel, K.; Zhang, L.; Montanarella, L.; Wang, Y.; Sun, G. How afforestation affects the water cycle in drylands: A process-based comparative analysis. Glob. Chang. Biol. 2020, 26, 944–959. [Google Scholar] [CrossRef] [PubMed]
- Huang, J.; Hartemink, A.E. Soil and environmental issues in sandy soils. Earth-Sci. Rev. 2020, 208, 103295. [Google Scholar] [CrossRef]
- Lal, R.; Bouma, J.; Brevik, E.; Dawson, L.; Field, D.; Glaser, B.; Hatano, R.; Hartemink, A.; Kosaki, T.; Lascelles, B.; et al. Soils and sustainable development goals of the United Nations: An International Union of Soil Sciences perspective. Geoderma Reg. 2021, 25, e00398. [Google Scholar] [CrossRef]
- Cheng, Q.; Tang, C.S.; Xu, D.; Zheng, H.; Shi, H. Water infiltration in a cracked soil considering effect of drying-wetting cycles. J. Hydrol. 2021, 593, 125640. [Google Scholar] [CrossRef]
- Ayangbenro, A.S.; Babalola, O.O. Reclamation of arid and semi-arid soils: The role of plant growth-promoting archaea and bacteria. Curr. Plant Biol. 2021, 25, 100173. [Google Scholar] [CrossRef]
- Tong, C.; He, R.; Wang, J.; Zheng, H. Study on Water and Salt Transport Characteristics of Sunflowers under Different Irrigation Amounts in the Yellow River Irrigation Area. Agronomy 2024, 14, 1058. [Google Scholar] [CrossRef]
- He, R.; Tong, C.; Wang, J.; Zheng, H. Comparison of Water Utilization Patterns of Sunflowers and Maize at Different Fertility Stages along the Yellow River. Water 2024, 16, 198. [Google Scholar] [CrossRef]
- Beyer, M.; Kühnhammer, K.; Dubbert, M. In situ measurements of soil and plant water isotopes: A review of approaches, practical considerations and a vision for the future. Hydrol. Earth Syst. Sci. 2020, 24, 4413–4440. [Google Scholar] [CrossRef]
- Li, Z.; Qi, F.; Wang, Q.J.; Song, Y.; Cheng, A.F.; Li, J.G. Contribution from frozen soil meltwater to runoff in an in-land river basin under water scarcity by isotopic tracing in northwestern China. Glob. Planet. Chang. 2016, 136, 41–51. [Google Scholar]
- Torres-Martínez, J.A.; Mora, A.; Mahlknecht, J.; Daessle, L.W.; Cervantes-Aviles, P.A.; Ledesma-Ruiz, R. Estimation of nitrate pollution sources and transformations in groundwater of an intensive livestock-agricultural area (Comarca lagunera), combining major ions, stable isotopes and MixSIAR model. Environ. Pollut. 2021, 269, 115445. [Google Scholar] [CrossRef] [PubMed]
- Wen, X.F.; Sun, X.M.; Zhang, S.C.; Yu, G.R.; Sargent, S.D.; Lee, X. Continuous measurement of water vapor D/H and 18O/16O isotope ratios in the atmosphere. J. Hydrol. 2008, 349, 489–500. [Google Scholar] [CrossRef]
- Ma, Y.; Song, X. Using stable isotopes to determine seasonal variations in water uptake of summer maize under different fertilization treatments. Sci. Total Environ. 2016, 550, 471–483. [Google Scholar] [CrossRef]
- FAO AquaCrop Overview. Available online: https://www.fao.org/aquacrop/ (accessed on 1 June 2009).
- Zhang, Y.; Li, X.; Šimůnek, J.; Shi, H.; Chen, N.; Hu, Q. Optimizing drip irrigation with alternate use of fresh and brackish waters by analyzing salt stress: The experimental and simulation approaches. Soil Tillage Res. 2022, 219, 105355. [Google Scholar] [CrossRef]
- Zhao, M.-Y.; Zhuang, H.-R.; Xu, D.-H.; Ma, G.-R.; Ma, Y.-C.; Feng, K.-P. Hydrogen and oxygen stable isotope characteristics of maize fields in arid and semi-arid oasis irrigation areas with SPAC system: Variability traits and influencing factors. Chin. J. Plant Ecol. 2024. [Google Scholar]
- Murad, K.F.I.; Hossain, A.; Fakir, O.A.; Biswas, S.K.; Sarker, K.K.; Rannu, R.P.; Timsina, J. Conjunctive use of saline and fresh water increases the productivity of maize in saline coastal region of Bangladesh. Agric. Water Manag. 2018, 204, 262–270. [Google Scholar] [CrossRef]
- Chen, X.; Hu, Q. Groundwater influences on soil moisture and surface evaporation. J. Hydrol. 2004, 297, 285–300. [Google Scholar] [CrossRef]
- Bouksila, F.; Bahri, A.; Berndtsson, R.; Persson, M.; Rozema, J.; Van der Zee, S.E. Assessment of soil salinization risks under irrigation with brackish water in semiarid Tunisia. Environ. Exp. Bot. 2013, 92, 176–185. [Google Scholar] [CrossRef]
- Al-Hamad, A.D.S.; Alnajjar, M.A.H.; Ibrahim, M.A. The effect of alternating salinity of irrigation water and cultivation level on some soil properties and growth of date palm (Phoenix dactylifera L.) offshoots of Hillawi cultivar in clay soils. Int. J. Agricult. Stat. Sci. Vol. 2021, 17, 63–72. [Google Scholar]
- Heng, L.K.; Hsiao, T.; Evett, S.; Howell, T.; Steduto, P. Validating the FAO AquaCrop model for irrigated and water deficient field maize. Agron. J. 2009, 101, 488–498. [Google Scholar] [CrossRef]
- Sandhu, R.; Irmak, S. Performance of AquaCrop model in simulating maize growth, yield, and evapotranspiration under rainfed, limited and full irrigation. Agric. Water Manag. 2019, 223, 105687. [Google Scholar] [CrossRef]
- Wang, X.; Li, Z.; Xing, Y. Effects of mulching and nitrogen on soil temperature, water content, nitrate-N content and maize yield in the Loess Plateau of China. Agric. Water Manag. 2015, 161, 53–64. [Google Scholar]
- Feng, D.; Li, G.; Wang, D.; Wulazibieke, M.; Cai, M.; Kang, J.; Yuan, Z.; Xu, H. Evaluation of AquaCrop model performance under mulched drip irrigation for maize in Northeast China. Agric. Water Manag. 2022, 261, 107372. [Google Scholar] [CrossRef]
- Tan, S.; Wang, Q.; Zhang, J.; Chen, Y.; Shan, Y.; Xu, D. Performance of AquaCrop model for cotton growth simulation under film-mulched drip irrigation in southern Xinjiang, China. Agric. Water Manag. 2018, 196, 99–113. [Google Scholar] [CrossRef]
- Guo, D.X.; Chen, C.F.; Guo, P.Y.; Yuan, X.Y.; Xing, X.G.; Ma, X.Y. Evaluation of AquaCrop model for foxtail millet (Setaria italica) growth and water use with plastic film mulching and no mulching under different weather conditions. Water 2018, 10, 836. [Google Scholar] [CrossRef]
- Feleke, H.G.; Savage, M.J.; Tesfaye, K. Calibration and validation of APSIM–Maize, DSSAT CERES–Maize and AquaCrop models for Ethiopian tropical environments. S. Afr. J. Plant Soil 2021, 38, 36–51. [Google Scholar] [CrossRef]
- Abbas, G.; Fatima, Z.; Tariq, M.; Ahmed, M.; Rahman, M.H.; Nasim, W.; Rasul, G.; Ahmad, S. Applications of crop modeling in cotton production. In Cotton Production and Uses: Agronomy, Crop Protection, and Postharvest Technologies; Springer: Singapore, 2020; pp. 429–445. [Google Scholar]










| Soil Depth/cm | Type of Soil | Bulk Density/(g·cm−3) | Organic Matter Content/(g·kg−1) | Nitrate Nitrogen Content/(mg·kg−1) | Ammonium Nitrogen Content/(mg·kg−1) | Total Salt Content/(g·kg−1) |
|---|---|---|---|---|---|---|
| 0~20 | loam | 1.441 | 12.1 | 6.2 | 3.5 | 3.68 |
| 20~40 | loam | 1.446 | 12.4 | 6.8 | 3.6 | 2.86 |
| 40~60 | loam | 1.428 | 13.2 | 7.4 | 3.1 | 2.64 |
| 60~80 | loam | 1.42 | 11.8 | 6.6 | 2.8 | 2.59 |
| 80~100 | sandy loam | 1.396 | 11.0 | 5.3 | 3.0 | 2.48 |
| Year of Experiment | Treatment | Irrigation Time | Irrigation Quota (mm) | Total Irrigation Quota (mm) | Use of Brackish Water | Freshwater Usage |
|---|---|---|---|---|---|---|
| 2022 | FW | 25/Jun, 18/Jul, 31/Jul, 18/Aug, 08/Sep, 18/Sep | 30 | 180 | 0 | 180 |
| 1B1F | 25/Jun, 18/Jul, 31/Jul, 18/Aug, 08/Sep, 18/Sep | 30 | 180 | 90 | 90 | |
| 2B1F | 25/Jun, 18/Jul, 31/Jul, 18/Aug, 08/Sep, 18/Sep | 30 | 180 | 120 | 60 | |
| BW | 25/Jun, 18/Jul, 31/Jul, 18/Aug, 08/Sep, 18/Sep | 30 | 180 | 180 | 0 | |
| 2023 | FW | 28/Jun, 20/Jul, 01/Aug, 19/Aug, 07/Sep, 20/Sep | 30 | 180 | 0 | 180 |
| 1B1F | 28/Jun, 20/Jul, 01/Aug, 19/Aug, 07/Sep, 20/Sep | 30 | 180 | 90 | 90 | |
| 2B1F | 28/Jun, 20/Jul, 01/Aug, 19/Aug, 07/Sep, 20/Sep | 30 | 180 | 120 | 60 | |
| BW | 28/Jun, 20/Jul, 01/Aug, 19/Aug, 07/Sep, 20/Sep | 30 | 180 | 180 | 0 |
| Parameters | Default | Calibration Value |
|---|---|---|
| Maximum canopy cover (%) | 96 | 99 |
| Maximum Rooting depth (m) | 2.3 | 1.0 |
| Canopy Growth Coefficient (%/day) | 16.3 | 14.3 |
| Canopy Decline Coefficient (%/GDD) | 1.06 | 1.21 |
| Reference Harvest Index (%) | 48 | 43 |
| Normalized crop water productivity (g/m2) | 33.7 | 37.5 |
| Expansion stress coefficient (Pupper) | 0.14 | 0.24 |
| Time from sowing to emergence | 8 | 9 |
| Time from sowing to max canopy cover | 70 | 78 |
| Time from sowing to maximum root depth | 90 | 97 |
| Time from sowing to senescence | 115 | 120 |
| Time from sowing to maturity | 140 | 146 |
| Time from sowing to flowering | 70 | 67 |
| Length of flowering stage | 20 | 14 |
| Soil Moisture and Salinity | Period of Fertility | Treatment | |||
|---|---|---|---|---|---|
| FW | 1F1B | 1F2B | BW | ||
| SWC | seedling stage | a | a | a | a |
| elongation stage | a | bc | c | b | |
| staminate period | a | b | c | a | |
| grouting period | a | b | c | ab | |
| maturity period | a | a | a | a | |
| SSC | seedling stage | b | a | a | a |
| elongation stage | b | a | a | a | |
| staminate period | a | a | a | a | |
| grouting period | c | bc | bc | a | |
| maturity period | d | a | b | c | |
| Treatments | Yield | Biomass | CC | ||||||
|---|---|---|---|---|---|---|---|---|---|
| R2 | MAPE/% | RMSE/(t·hm−2) | R2 | MAPE/% | RMSE/(t·hm−2) | R2 | MAPE/% | RMSE/% | |
| FW | 0.90 | 3.5 | 0.31 | 0.91 | 13.25 | 1.29 | 0.86 | 7.78 | 4.99 |
| 1F1B | 0.89 | 4.1 | 0.39 | 0.88 | 11.54 | 2.69 | 0.84 | 7.45 | 5.12 |
| 1F2B | 0.86 | 3.9 | 0.64 | 0.90 | 12.69 | 3.12 | 0.87 | 6.99 | 4.32 |
| BW | 0.85 | 4.2 | 0.83 | 0.83 | 14.59 | 2.99 | 0.88 | 5.87 | 4.57 |
| Treatments | Period of Irrigation | |||||
|---|---|---|---|---|---|---|
| 30 Days after Sowing/(ds·m−1) | 45 Days after Sowing/(ds·m−1) | 60 Days after Sowing/(ds·m−1) | 75 Days after Sowing/(ds·m−1) | 90 Days after Sowing/(ds·m−1) | 110 Days after Sowing/(ds·m−1) | |
| S1 | 0.5 | 0.5 | 0.5 | 0.5 | 0.5 | 0.5 |
| S2 | 0.8 | 0.8 | 0.8 | 0.8 | 0.8 | 0.8 |
| S3 | 1.2 | 1.2 | 1.2 | 1.2 | 1.2 | 1.2 |
| S4 | 1.2 | 0.5 | 1.2 | 0.5 | 1.2 | 0.5 |
| S5 | 1.2 | 1.2 | 0.5 | 1.2 | 0.5 | 0.5 |
| S6 | 0.8 | 0.5 | 0.5 | 0.8 | 0.5 | 0.5 |
| S7 | 0.8 | 0.8 | 0.5 | 0.8 | 0.8 | 0.5 |
Disclaimer/Publisher’s Note: The statements, opinions and data contained in all publications are solely those of the individual author(s) and contributor(s) and not of MDPI and/or the editor(s). MDPI and/or the editor(s) disclaim responsibility for any injury to people or property resulting from any ideas, methods, instructions or products referred to in the content. |
© 2024 by the authors. Licensee MDPI, Basel, Switzerland. This article is an open access article distributed under the terms and conditions of the Creative Commons Attribution (CC BY) license (https://creativecommons.org/licenses/by/4.0/).
Share and Cite
Tong, C.; He, R.; Wang, J.; Zheng, H. Simulation of Maize Growth Under the Applications of Brackish Water in Northwest China. Agronomy 2024, 14, 1911. https://doi.org/10.3390/agronomy14091911
Tong C, He R, Wang J, Zheng H. Simulation of Maize Growth Under the Applications of Brackish Water in Northwest China. Agronomy. 2024; 14(9):1911. https://doi.org/10.3390/agronomy14091911
Chicago/Turabian StyleTong, Changfu, Rui He, Jun Wang, and Hexiang Zheng. 2024. "Simulation of Maize Growth Under the Applications of Brackish Water in Northwest China" Agronomy 14, no. 9: 1911. https://doi.org/10.3390/agronomy14091911
APA StyleTong, C., He, R., Wang, J., & Zheng, H. (2024). Simulation of Maize Growth Under the Applications of Brackish Water in Northwest China. Agronomy, 14(9), 1911. https://doi.org/10.3390/agronomy14091911
