Next Article in Journal
A Novel Fusion Perception Algorithm of Tree Branch/Trunk and Apple for Harvesting Robot Based on Improved YOLOv8s
Next Article in Special Issue
DCS-YOLOv5s: A Lightweight Algorithm for Multi-Target Recognition of Potato Seed Potatoes Based on YOLOv5s
Previous Article in Journal
Subsoiling Operations Concurrent to the Distribution of Acidity Amendments in the Soil Profile: The Response from Soybeans
Previous Article in Special Issue
Discrete Element Modelling and Simulation Parameter Calibration for the Growing Media of Seedling Nursery Blocks
 
 
Font Type:
Arial Georgia Verdana
Font Size:
Aa Aa Aa
Line Spacing:
Column Width:
Background:
Article

Spraying Wheat Plants with a Drone Moved at Low Altitudes

1
Faculty of Mechanical Engineering and Energetics, Koszalin University of Technology, Racławicka Str. 15-17, 75-620 Koszalin, Poland
2
ENET Centre, CEET, VSB-Technical University of Ostrava, 17. listopadu 2172/15, 708 00 Ostrava, Czech Republic
3
Faculty of Forestry and Wood Sciences, Czech University of Life Sciences Prague, Kamýcká 129, 165 00 Praha-Suchdol, Czech Republic
*
Author to whom correspondence should be addressed.
Agronomy 2024, 14(9), 1894; https://doi.org/10.3390/agronomy14091894
Submission received: 9 July 2024 / Revised: 15 August 2024 / Accepted: 21 August 2024 / Published: 24 August 2024
(This article belongs to the Special Issue Advances in Data, Models, and Their Applications in Agriculture)

Abstract

On a mounted laboratory stand, comparative tests were carried out on the effectiveness of spraying wheat plants with liquid using a multi-rotor drone. The study was undertaken with and without propeller rotations. The lack of rotations simulated spraying by a ground sprayer. The height of the drone’s displacement above the plants was similar to that of the nozzles above the plants used when spraying with field sprayers, 0.5 m and 1.0 m. The speed of the drone movement was 0.57 and 1.0 m·s−1. The effects of the height and speed of the drone’s movement and the impact of the airflow on the volume and uniformity of the liquid application on the plants were assessed. In addition, changes in the transverse distribution of liquid volume in the droplet stream and the transverse distribution of the air velocity in its stream were evaluated. The liquid was sprayed at a constant pressure of 0.2 MPa. The study’s results show that the low height of the drone displacement not only had a strong effect on increasing the liquid volume applied to the plants but also improved the uniformity of application at plant levels. It was also noticed that, at a height of 0.5 m, there was a significant irregularity in the air stream under the drone.

1. Introduction

Drones, also known as unmanned aerial vehicles (UAV) are used to spray crops in fields, especially in areas that are difficult for field machinery to access or difficult to access for safety reasons. They can also be used for crop monitoring, as flying machines for sowing and planting seeds, and for spreading or dispersing chemical and organic fertilizers [1,2,3,4]. Among the designs of unmanned aerial systems (UAS) used for spraying, rotor drones, particularly multi-rotor drones, are predominant. These drones can fly in any direction, regardless of the different speeds of their travel. They can also “hover motionless” over the sprayed crop [5].
Researchers have conducted very advanced studies on the use of multi-rotor drones for protection treatments of the world’s commonly grown crops, such as wheat, rice, maize, sugarcane, and cotton, demonstrating their usefulness and effectiveness in pest control [6,7,8,9,10,11]. In addition to protecting cultivated plants, rotary drones can also be used to spray fruit and ornamental trees [12,13,14,15]. The use of drones is also being attempted for the application of plant protection products on vine plantations [16,17].
The research work has so far been aimed at gaining information to determine the optimal parameters for carrying out treatments and also to compare the effectiveness of different designs of rotor drones. The experiments have focused mainly on evaluating the effects of drone movement parameters and spray rates on the quality of droplet deposition in plants and biological efficacy in protecting sprayed crops.
Many researchers believe UASs could become important utility machines used in precision agriculture in the future. They can perform crop treatments using information previously obtained from reconnaissance missions by inspection drones [18]. Due to the enormous potential of drones for both crop assessment and remote or programmable chemical application, research is also currently being conducted on the use of drones as autonomous field robots [19,20].
As with field sprayers, the selected parameters that are required to eliminate a pest while carrying out chemical crop protection treatments with multirotor drones depend on the amount and capacity of pesticide, or liquid containing pesticide, deposited on the crop surface. Application of the required dose to the crop will be a result of the specially selected nozzles, liquid pressure, the sprayed plant strip’s width, and the drone’s movement speed during treatment. When using unmanned aerial systems for crop protection treatments, the aim is to achieve the largest area sprayed in the shortest possible time and with the least amount of liquid sprayed on the field surface. The reason for this approach is the short flight time of drones, especially drones with electric propeller rotor drives, and also the limited capacity of the spray liquid tanks due to the drone’s weight.
From the research conducted so far on determining the optimum parameters for spraying with rotor drones, the height and speed of the drone should be found to achieve the best deposition of the liquid on the plants. Qin et al. [21] performed spraying over a wheat crop at the height of 5.0 m with a drone movement speed of 4.0 m·s−1 and then obtained the highest ratio of deposited liquid on the lower plant level to the amount of liquid placed on the upper level. In other publications on spraying rice plants, the optimum distribution of liquid on the lower level of the samplers was obtained at a height of 1.5 m and a drone speed of 5.0 m·s−1 [22]. The authors of [23] compared the quality of the application of liquid sprayed on objects from two rotor drones with different designs and using different nozzles. The study found that the drones’ speed had no significant effect on the effective width of the liquid deposited for either drone model.
In contrast, it has been shown that a drone flight’s height and speed impacts the grade of liquid dissipation. The speed of the rotors and the design and power of each of these UASs were found to affect the efficiency and effectiveness of aerial spray treatments. In experiments conducted by Chen’s team [6], it was noted that, not only had the height and speed of the drones over the crop determined the quality of spray application, but also the droplet size and air drift associated with it. Spray height affected the effective spray width. An increase in height resulted in a decrease in the width of the sprayed crop, and one of the reasons for this phenomenon was the significant drift of the droplets by lateral air draft.
Several comparative studies have also been carried out on the effectiveness of plant spraying and the quality of liquid distribution in the plants between spraying from a drone and spraying with ground-based sprayers. A comparison of the deposition of liquid into the cotton plant canopy after treatments made with a boom on a field sprayer placed 0.5 m above the plants and a drone sprayer at 1.5 and 2.0 m showed that the liquid sprayed from the sprayer penetrated the plant structure better than the liquid sprayed from the drone [24].
In addition to field research with rotor drones for spraying plants, experiments are have also been performed in laboratory facilities. This research assessed the quality of the deposited liquid on plants or objects simulating plants. In closed laboratories, the results of the performed treatments are not influenced by variable atmospheric factors, which are difficult to predict. However, it is possible to simulate them with deliberately set values [9,13,25,26,27,28]. The drone travel speeds during laboratory tests were most often significantly lower than those used in field experiments and ranged from 0.3 m·s−1 to 1.0 m·s−1.
Attempts were also made to analyze phenomena resulting from the airflow generated by the drone’s rotors, which can affect the deposition of liquids on plant crops and the movement of droplets with air inside the liquid stream [29,30,31,32]. To this end, computer fluid dynamics (CFD) programs carried out calculations and numerical simulations of the airflow generated by a drone’s rotors. The results of the analyses indicate that flight speed and drone altitude strongly influence the distribution of air velocities in the jet generated by rotating propellers.
The drift of sprayed chemicals by wind and air currents is a significant drawback of drone use, including that of multirotor drones for crop protection. In particular, this problem occurs strongly at high altitude raids over crops [25]. The main reasons for the occurrence of drift of drone spray are, in addition to natural air movement and flight height, evaporation of droplets as they move towards plants and excessive liquid fragmentation [33]. Reducing the height of drone movement over plants to that used for spraying booms in field sprayers would significantly reduce liquid drift. In addition to aiming to reduce the height of spraying performed with drones, suitable anti-drift nozzles can also be selected [34,35], or liquid drift can be controlled by adjuvants added to the liquid [36]. Reducing the flight altitude of inspection drones over plant crops would also be necessary given the future use of drones as autonomous aero robots, autonomously identifying and destroying plant pests [37,38].
The problem of aerial spray chemical drift and the potential for off-site environmental contamination has prompted the European Union Parliament to introduce a directive to member states limiting the possibility of carrying out plant protection treatments by aircraft. As stated in Directive 2009/128/EC of the European Parliament and of the Council [39], the use of aircraft “must be the result of a lack of feasible alternative methods or there must be clear advantages in terms of reduced impact on human health and the environment compared to the application of pesticides by ground-based equipment”. This directive has negatively impacted the use of drones for crop spraying in EU member states.
Lowering the flight altitude of unmanned aerial vehicles that are spraying pesticides carries many uncertainties. High flight ceilings of several meters for drones positively affect the uniformity of the volume of liquid in the spray stream. In drone crop-spraying constructions, the nozzles can be positioned in different places. They can be mounted underneath the rotors with propellers [40] or on a rod across the drone [41]. Then, some nozzles are under the rotors, and some are outside the rotors, even at such a distance that the airflow has limited influence on the droplet streams produced by these nozzles. It is unknown how low drone displacement heights and the locations of the nozzles in the drones will affect the uniformity of the droplet streams.
The research aim was formulated with consideration given to the several uncertainties associated with the effects of drone flight attitudes on drone spraying at much lower altitudes than are commonly used.
The research aimed to assess the effectiveness of applying a liquid in the crop canopy, sprayed from a drone at low flight heights that are comparable to the heights of the nozzles that are commonly used in field sprayers. In the experiments, the intention was to compare the effectiveness of spraying using a drone with that of spraying crops by a field sprayer. The study also aimed to investigate the effects of low drone flight heights on the uniformity of the liquid volume in the droplet stream that is produced by a drone-mounted atomizer and on the air velocity in the stream generated by the drone’s rotors.

2. Materials and Methods

2.1. Test Benches

It was assumed that the research would answer the question of whether spraying plants with a drone-mounted atomizer, moved at a low altitude above the plants, could have a significant effect on the quality of the applied liquid in the plants, compared with spraying plants with the same atomizer using a ground-based sprayer. To this end, a test stand suitable for the study was made for spraying plants. Because the results of field tests of crop spraying with drones are strongly influenced by climatic conditions, which adversely affect the repeatability of the drone’s movement parameters and can also change the conditions for spraying the liquid and applying the droplet stream to the plants, the crop spraying experiments were performed under laboratory conditions. The stand is shown in Figure 1.
The drone used for the experiments was a six-rotor aircraft equipped with 15 × 5.2″ propellers. The conditions of the laboratory room prevented the free flight of the drone, so the drone (12) was attached to a trolley (5) and moved over the plants on the treadmill (2). The treadmill (2) consisted of two horizontal rails attached to four cantilevers (1), two on each side. The trolley (5) was moved by a pull rope (4) that was attached to it, pulled using a pulley (3) located on the shaft of the electric motor, the speed of which was regulated by an attachment. The rotational speed of the drone’s propellers was measured using a mounted optical tachometer (9) connected via a cable (6) and USB to a computer.
The laboratory bench allowed precise and stable adjustment of the drone’s operating parameters, such as the height and speed of travel and the rotational speed of the propellers. The treadmill allowed for the repeatability of the drone’s path of travel. The disadvantage of using a drone that was mounted and was moved on a trolley was that the plants were not affected by the natural and slight change in the shape of the airflow that occurs when the drone performs flight on its own.
Propeller rotation was controlled using a Graupner MZ-1 transmitter station synchronized to a receiver mounted on the drone. The nozzle used in the study was a flat spray nozzle ST 110-02, manufactured by Lechler GmbH (Metzingen, Germany), applied in both field sprayers and spraying drones. It was mounted at the end of a bracket (11) under one of the rotors (10) with propellers so that the symmetry axis of the nozzle and rotor overlapped. The fluid pressure in the spray nozzle installation was generated by a small ground-based electric sprayer connected to the installation by a liquid pipe (7).
Many experiments to date have been solely dedicated to the physical problems of liquid deposition on crops, as researchers have recognized that the quality of liquid deposition largely determines the effectiveness of treatments [8,26,27]. Fluid deposition in plants is measured using samplers that capture droplets. When the samplers are attached to the plants, they move with the stems and leaves under the influence of the airflow and change position as the drone flies over them. This phenomenon can cause significant differences in liquid deposition results, even on the same plants and locations where the samplers are placed. In order to prevent a similar situation, test tripods were introduced [8].
Plants of the wheat cultivar Medalistka were used for the drone-sprayed plant application tests, whose developmental state was assessed according to the Biologische Bundesanstalt Bundessortenamt und CHemische Industrie (BBCH) scale, with the number 37, indicating a visible but undeveloped flag leaf. The average plant height was estimated at 0.55 m. Plants were taken from the field and placed in plastic boxes. A tripod placed between the plants was used to measure the application of liquid spray in the plants. The arrangement of the wheat plants in the boxes was the same as in the field crop. The distances between the rows of plants were equal to 0.15 m. The plants on the test stand were positioned in rows parallel to the direction of movement of the drone. The position of the nozzle relative to the drone’s rotors, the way in which the plant boxes were positioned, and the position of the tripod between the plants and the sprayer are shown in Figure 2. Samplers were used to capture droplets of liquid [42].
Figure 3 shows the completed object for study—plants with tripods and droplet catchment samplers. The tripod was built with two rods crossed at 90° to each other and attached horizontally at three levels, 0.23 m apart (Figure 3a). On these rods, at a distance of 0.14 m from the axis of symmetry of the vertical rod of the tripod, were clips with samplers to capture the spray. The samplers used in the study were 0.04 × 0.02 m polyester labels (Figure 3b), glued to the clips. The horizontal rods on successive tripod levels were positioned relative to each other so that, when viewed from above, no samplers at all levels overlapped. The liquid sprayed during the tests was water colored with nigrosine at a concentration of 0.5%.
The study also assessed the changes in the transverse distribution of the liquid volume in the droplet stream caused by the action of the airflow generated by the drone’s rotors and the transverse distribution of the air velocity in its stream.
In order to measure the volume of liquid in the droplet stream produced by the sprayer, identical samplers were used as those used to assess liquid application in plants. The samplers were adhered to a row of metal clips 0.10 m apart from each other and attached to a rod 2.0 m long.
A drone was moved over the rod with the samplers at the same height that it was moved over the plants. Measurements of the liquid volume in the droplet stream were taken with no rotation of the drone’s propellers, and the propeller rotation was the same as when the drone sprayed the plants. Each measurement was repeated six times. The ratio of the capacity of the liquid deposited on each sampler, Vi, to the average capacity of the liquid deposited on the samplers, Vim, was assessed.
The air velocity was measured using six Testo 405i anemometers produced by Testo SE & Co. KGaA (Titisee-Neustadt, Baden-Württemberg, Germany). The anemometers were fixed 0.20 m apart on a horizontal rod. The rod with the anemometers was positioned transverse to the drone’s direction of travel, precisely in the axis of symmetry of the rotor with propellers, under which the nozzle was attached. The five distances between the six anemometers allowed a measurement width of one meter to be taken. The measurement points with the anemometers were located successively from outside the rotor with the nozzle towards the center of the drone. The measurement was carried out with the drone standing still, operating with a propeller speed that matched that with which it would typically spray a crop. The heights of the location of the drone above the bar were equal to the heights of the drone above the plants being sprayed.

2.2. Experimental Parameters

It was determined that the height of the drone’s movement above the plants would be the distance of the drone-mounted nozzle from the canopy surface of the plants. This altitude was chosen to be as low as feasibly possible for drone treatment, and comparable to the height above the plants of the boom-mounted nozzles that are used on a ground-based sprayer. Two heights were adopted for the study: 0.5 m and 1.0 m.
Two drone travel speeds were also adopted for the study: 0.57 m·s−1 and 1.00 m·s−1. These were based on the assumption that drones in the future will perform precision spraying only on parts of the field areas and even individually on individual plants selected for treatment and requiring intervention due to the threat of pests. The adopted drone movement speeds were also due to the technical capabilities of the research station [27,28].
The liquid pressure in the nozzle supply system was constant at 0.2 MPa. The measured liquid flow rate from the atomizer, at 0.2 MPa, was 0.63 L·min−1.
The rotational speed of the drone’s propellers was selected experimentally. By analyzing the design and performance of the drone used for the study, its similarity to the M4E drone manufactured by TT Aviation [41], was established. Based on the parameters of this commercial crop spraying drone, the drone’s weight was assumed to be 12.3 kg for the study, considering a filled spray liquid tank of 5 L. The drone was then burdened with additional mass, so that its total mass significantly exceeded 12.3 kg, and was placed on a scale. As a result of the tests performed on the thrust generated by the drone’s rotating propellers, capable of lifting a fixed mass of the drone, the rotational speed of the propellers was determined to be equal to 6358 rpm (665.47 rad·s−1). The drone thrust generated at these rotations was 120.7 N and relieved the weight by the value of the assumed drone mass.

2.3. Methods of Analysing Research Results

The volume of liquid deposited on the plants and the uniformity of the liquid deposited at the sampler levels were used to measure the quality of liquid deposition in the plants. For each tripod level, the dye concentration in the liquid in which the dye was washed from all four samplers placed on this level was measured. Results were used to determine the volume of liquid deposited on the plants. The volume of the liquid-distilled water required for the dye to be washed out was equal to 5 mL. Using mathematical formulas (1) and then (2), the dye concentration in the wash liquid obtained from the spectrophotometer was converted into the volume of the spray liquid from which the dye came, taking into account the surface area of the four samplers and the concentration of dye in the spray liquid (0.5%). To determine formula (1), a simplification was used by taking the total volume of the dye wash liquid as only the volume of the wash liquid (5 mL) and omitting the volume of the dye itself from the calculation as minimal and negligible in relation to the volume of the wash liquid.
V = a · V c S ,   μ L ,
where V—volume of liquid applied to the samplers, a—concentration of dye in wash liquid in ppm, Vc—volume of wash liquid in µL, S—concentration of dye in spray liquid in ppm.
The mathematical formula for calculating the volume of liquid applied to the surface of the samplers, after taking into account the four samplers at each level of the tripod, measuring 2 × 4 cm, obtained form (2):
Q = V 32 ,   μ L · cm 2 ,
where Q—the volume of liquid deposited on the surface of the samplers in μL·cm−2.
Based on the data obtained from the measurements in Equation (2), and taking into account the repetition of the experiments, further analyses were carried out to evaluate the influence of external factors on the deposition of the liquid at the levels of the samplers placed in the plants.
The uniformity of the liquid application at the sampler levels placed on the tripod in this research was evaluated using formula (3), which is used in statistics to determine the coefficient of variation CV. The CV value was calculated as the arithmetic mean of all CV values, which were determined individually for each repetition of the liquid application measurement on the sampler levels, as follows:
CV k = 1 v m k i = 1 n v i k v m k 2 n ,
where CVk—uniformity of liquid application across levels of samplers on the tripod, with repeat measurement k (1–5); vik—the volume of liquid on i-this level, with repeated measurement k-this; vmk—average volume of liquid from samplers on all levels, with all repeated measurements; n—number of levels with samplers on the tripod.
For statistical analysis of the results, Statistica ver. 13.3 by StatSoft was used. The results of repeated measurements of the liquid application on the samplers were subjected to the Shapiro–Wilk test to check the normality of the distribution. The test showed a normal distribution of the results. The statistically elaborated results of liquid application measurements on tripod sampler levels were presented in boxed graphs, where the mean values represent the middle line, the upper and lower sides of the box are ± standard deviation, and the whiskers represent the maximum and minimum values obtained in repeated measurements. Similarly, the statistically elaborated results of measurements of liquid volume distribution under the atomizer and the results of air velocity measurements are presented.
Using an ANOVA analysis of variance, the significance of the effect of the factors on the results was determined by calculating the p-value. The factor was assumed to be significant at a p-value less than or equal to the significance level of 0.05. Using analysis of variance, the significance of the effect of the rotation of the drone’s propellers on changes in the volume of liquid applied at each level of the sample tripod was tested. Additionally, the significance of the effect of the rotation of the drone’s propellers and the speed and height of the drone’s movement on the uniformity of liquid application were evaluated.

3. Results and Discussion

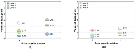
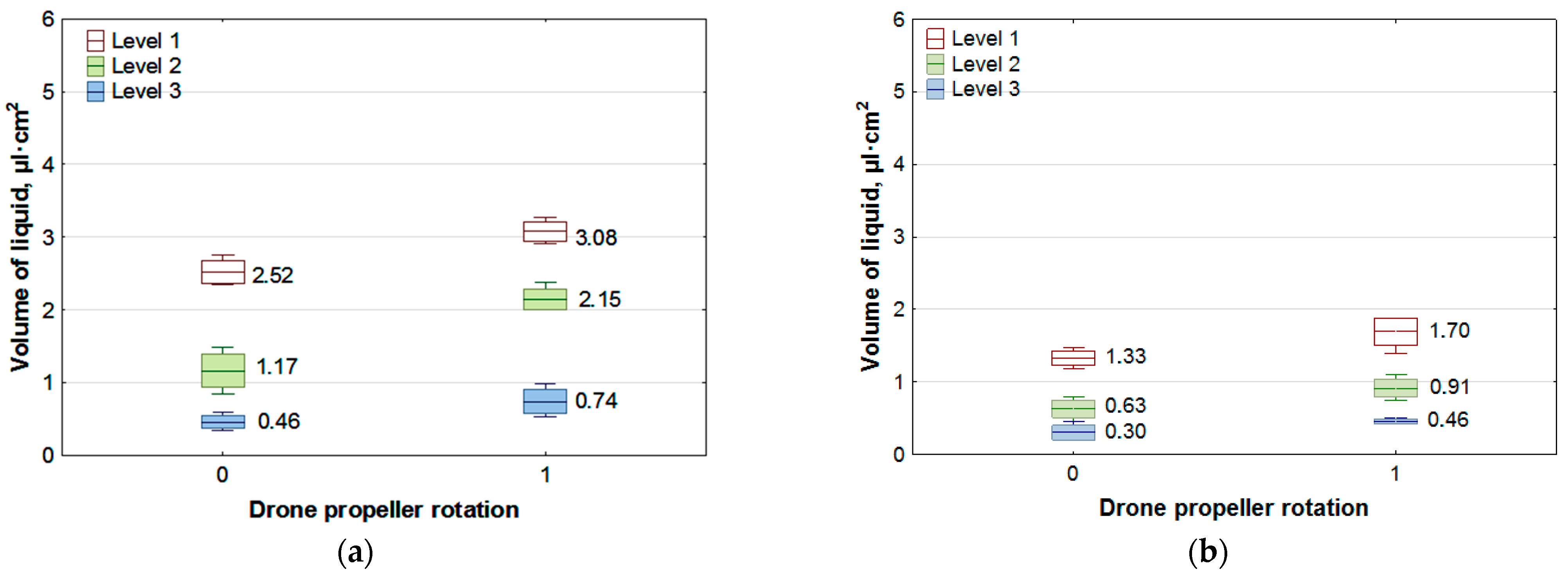
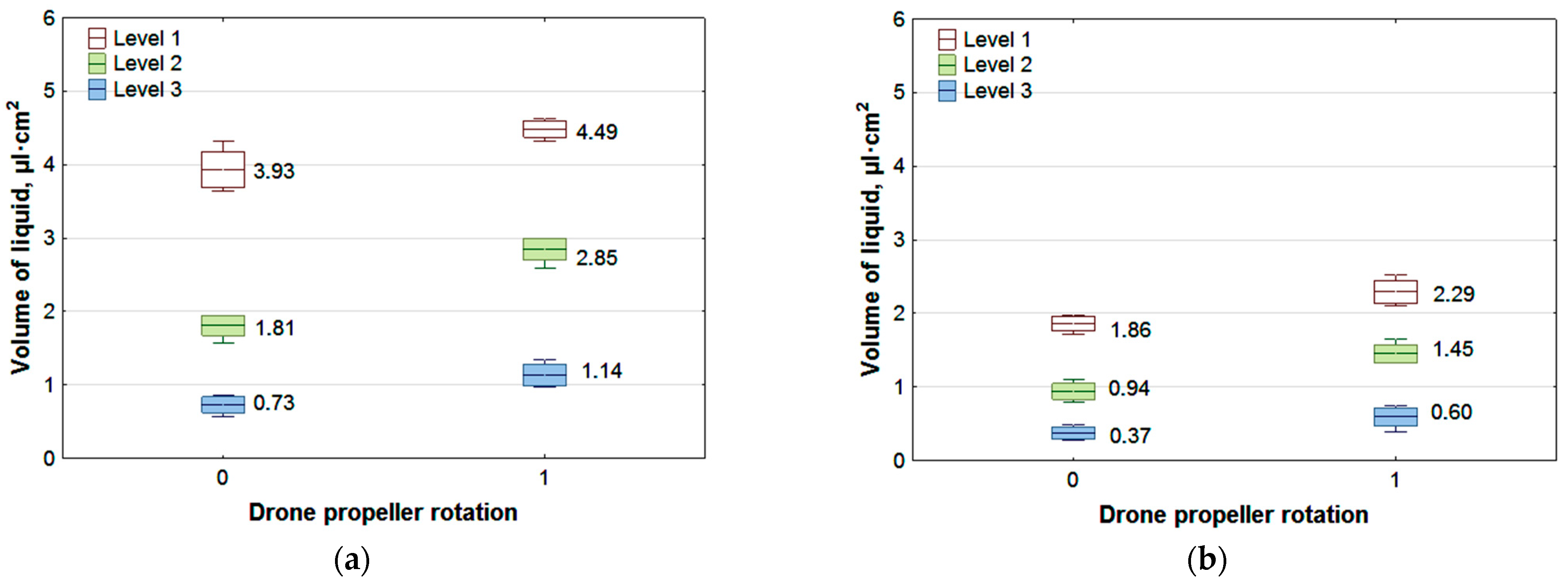
Figure 4 and Figure 5 show the results of the liquid application tests in wheat plants.
The average liquid application volume at 1 cm2 for the samplers located at all three levels increased when spraying with the nozzle mounted to a working drone, when compared with spraying the plants with a nozzle mounted to a ground sprayer. The increase occurred at both treatment heights and at both movement speeds. Particularly important was the increase in the volume of liquid deposited on the samplers located at the bottom of the plant.
An analysis of the significance of the effect on changes in the liquid application when spraying plants with a drone with rotating propellers compared with spraying with a nozzle without rotating propellers is shown in Table 1, indicating that the effect was significant (p ˂ 0.05) at all heights and drone travel speeds tested.
The change in plant spray height and drone displacement speed also affected the volume of liquid deposited in the plants when spraying with the drone and the nozzle itself. These phenomena are natural when spraying plants with a ground sprayer. They are due to the hydrodynamics of the phenomena and to changes in the dose of liquid applied to the sprayed surface. A particular surprise of the results is the increase in liquid application volume at all three tripod levels; because the liquid volume at the lower levels has increased, the liquid volume at another level should decrease. An explanation for this phenomenon can be found by analyzing the graphs reflecting the effect of airflow from the drone’s operating propellers on the changes in the distribution of liquid volume under the nozzle. This is shown in Figure 6.
The graphs in Figure 6a show how the volume of liquid settled on the samplers changed under the same atomizer positioned 0.5 m above the measuring station, under the influence of the airflow originating from the drone’s working propellers (6358 rpm). The graphs in Figure 6b show the same phenomenon, but at a nozzle height of 1.0 m. In addition, the graphs show how the height of the drone above the test stand affected the distribution of the volume of liquid settled on the samplers when the drone’s rotors were not running. At a height of 1.0 m, the graph of the settled liquid changed to a ‘cone’ shape, only to return to a ‘saddle’ shape under the influence of the airflow. At both nozzle position heights, the width of the liquid volume distribution in the droplet stream narrowed due to the action of the air jet. A similar phenomenon has been observed with other nozzles [13,22,43]. Ref. [22] showed how much the air jet coming from the drone rotors can affect the narrowing of the spray angle in a hydrodynamic nozzle.
Variations in the distribution of liquid volume resulting from the height of the position of the nozzles assembled on the drone and from the effect of the airflow on changes in the spray pattern show how the airflow from the drone can interfere with the uniformity of the volume of liquid sprayed from the drone. This phenomenon will be particularly relevant when the nozzles are located at different distances from the rotors. In the case of nozzles mounted on the drone on a transverse beam pod, when the nozzles are outside the action of the air from the rotors, the liquid flow carried by the droplets will differ significantly, in terms of the volume of liquid deposited, from that coming from the nozzles under the rotors.
The increase in the volume of liquid, under the influence of air flowing from the drone working at 0.5 m, fell on the spot of the measuring rod between the 9th and 13th samplers and, in the case of the atomizer placed at the height of 1.0 m, between the 9th and 12th samplers, i.e., in the central part of the droplet stream. The measurement took place on samplers spaced 0.1 m apart, so the volume of deposited liquid increased between 0.30 and 0.40 m in the central part of the droplet stream. On the tripod placed in the wheat plants, the distance between the two extreme samplers on all of the horizontal bars crossed with each other did not exceed 0.28 m. These were located in the droplet stream, where there was an increase in liquid volume due to the airflow. Such a random placement of the samplers explains why there was an increase in liquid volume at all sampler levels during the drone tests.
The liquid application uniformity index at tripod sampler levels (CV) was an important measure of variation in the quality of liquid application in wheat plants. Table 2 shows the canopy liquid application uniformity index’s mean values and the standard deviations.
The CV results show how, despite an increase in the volume of liquid applied at all three sampler levels, the uniformity of liquid settling at the sampler levels improved positively only under the airflow stream that originated from the drone’s operating rotors. No effect of the drone’s displacement height on changes in the uniformity of liquid application was observed, but the effect of displacement velocity was noted. An analysis of the significance of the effect on CV values of factors such as drone movement speed and height and the method of spraying, while comparing the drone with the atomizer without drone propeller rotations, showed a significant effect only for this last factor. The p-index was 0.000025 at 0.5 m height, and at 1.0 m height was 0.00034. The p-index calculated for the other factors exceeded 0.05.
The list of air velocities in the stream under the rotor of the drone with the nozzle, in a line transverse to the direction of drone travel, is shown in Figure 7.
When comparing the air velocities in the stream that is appropriate for the distance of the anemometer probes under the atomizer at 0.5 m and 1.0 m, it is clear that the maximum velocity values occur on anemometer 4 at the point where the atomizer was placed. These air velocities are similar values for both heights. This phenomenon caused the uniformity of liquid application at the CV sampler levels to have almost the same value at both drone displacement heights. However, the different air velocity distribution shapes in the streams are noticeable. The jet at the drone position height of 0.5 m, compared with the air jet at a height of 1.0 m, is narrower. The air velocities decrease faster at points diverging from the point of maximum. The reason for such differences is most likely the mutual overlapping of air streams coming from other rotors when the drone is located at a height of 1.0 m and the lack of such overlapping and amplification of air velocities at 0.5 m.
Previous analyses have shown that the airflow produced by the rotors strongly influences the quality of the spray deposited on the plants from the drone [22,29,30,44,45]. Unlike previous experiments, this research focused on demonstrating the effect of airflow on changes in liquid volume in the droplet stream produced by a single nozzle mounted under the drone rotor. The research showed a substantial effect on the quality of liquid application at a very low drone travel height of 0.5 m. Liquid application to plants was measured in the central part of the liquid stream. The results indicate an increase in liquid application in this part of the plant when the propellers were operating.
The graph in Figure 7 also indicates the importance of the position of the nozzles in relation to the drone’s rotors when using low application heights. The results of the changes in the volume of liquid in the droplet stream under the influence of the height of the drone’s position and under the influence of the airstream indicate the need to analyze the influence of the multirotor drone design on the effectiveness of liquid settling on plants when spraying them at low altitudes.

4. Conclusions

The laboratory research on the quality of the liquid applied to plants when spraying them from a drone compared with spraying them with a ground sprayer has made it possible to create comparable conditions for the two spraying methods.
Analysis of the results of a study of the application in wheat plants of liquid sprayed from a nozzle on a multi-rotor drone moving at 0.5 m and 1.0 m, compared with spraying with a nozzle alone at the same heights, showed that the capacity of the deposited liquid significantly increased, improving the uniformity of the applied liquid in the plants when the drone was operating.
The airflow generated by the rotating propellers assisted in penetrating the sprayed liquid into deeper parts of the plant canopy. Treatments of crop spraying performed at low altitudes using drones with rotating propellers can be compared with ground sprayer treatments that use an auxiliary air stream.
However, research has indicated that the low altitudes at which crop spraying could be carried out with multi-rotor drones can significantly affect air velocity distribution in the stream generated by the rotors. Studies have shown that there are also significant local differences in the transverse uniformity of spray application across the width of the strip of sprayed plants. This phenomenon can occur more strongly when the height of the drone’s spray is lowered. These results suggest that drones for performing crop spraying at very low heights, comparable to the height of an agricultural sprayer boom, should be specially constructed to avoid a high irregularity of liquid application and to ensure a good quality of spray application in the plants. Future research should be focused on this problem.
In the experiments, the speed and height of drone movement also affected the volume of deposited liquid in wheat plants. This situation was mainly due to a change in the liquid’s application rate to the sprayed area.
No effect from the speed and height of drone movement was found on the uniformity of liquid application across levels of samplers on the tripod.

Author Contributions

Conceptualization, B.B., J.C., A.P. and J.D.; methodology, B.B., J.C., A.P. and J.D.; software, J.C., L.K., J.K., T.N. and M.M.; validation, B.B., A.P. and J.C.; formal analysis J.N., L.K. and J.K.; investigation, B.B., J.C., A.P. and J.D.; resources, B.B., J.C., A.P., J.D. and L.K.; data curation, B.B., J.K., M.M. and T.N.; writing—original draft preparation, B.B., J.C. and L.K.; writing—review and editing, B.B. and J.K.; visualization, A.P., T.N. and M.M.; supervision, J.N., L.K. and T.N.; project administration, B.B. and J.C.; funding acquisition, J.C., J.D., J.N., L.K. and M.M. All authors have read and agreed to the published version of the manuscript.

Funding

This research received no external funding.

Data Availability Statement

The data presented in this study are available on request from the corresponding author.

Conflicts of Interest

The authors declare no conflicts of interest.

References

  1. Kharim, M.N.A.; Wayayok, A.; Mohamed Shariff, A.R.; Abdullah, A.F.; Husin, E.M. Droplet deposition density of organic liquid fertilizer at low altitude UAV aerial spraying in rice cultivation. Comput. Electron. Agric. 2019, 167, 105045. [Google Scholar] [CrossRef]
  2. Toscano, F.; Fiorentino, C.; Capece, N.; Erra, U.; Travascia, D.; Scopa, A.; Drosos, M.; D’Antonio, P. Unmanned Aerial Vehicle for Precision Agriculture: A Review. IEEE Access 2024, 12, 69188–69205. [Google Scholar] [CrossRef]
  3. Ahmad, A.; Ordoñez, J.; Cartujo, P.; Martos, V. Remotely Piloted Aircraft (RPA) in Agriculture: A Pursuit of Sustainability. Agronomy 2021, 11, 7. [Google Scholar] [CrossRef]
  4. Diwate, S.K.; Nitnaware, V.N.; Argulwar, K. Design and development of application specific drone machine for seed sowing. Int. Res. J. Eng. Technol. 2018, 5, 4003–4007. Available online: https://www.irjet.net/archives/V5/i5/IRJET-V5I5853.pdf (accessed on 15 August 2024).
  5. Cai, G.; Chen, B.M.; Lee, T.H. An overview on development of miniature unmanned rotorcraft systems. Front. Electr. Electron. Eng. China 2010, 5, 1–14. [Google Scholar] [CrossRef]
  6. Chen, P.; Lan, Y.; Huang, X.; Qi, H.; Wang, G.; Wang, J.; Wang, L.; Xiao, H. Droplet Deposition and Control of Planthoppers of Different Nozzles in Two-Stage Rice with a Quadrotor Unmanned Aerial Vehicle. Agronomy 2020, 10, 303. [Google Scholar] [CrossRef]
  7. Wang, C.L.; He, X.K.; Wang, X.N.; Wang, Z.C.; Wang, S.L.; Li, L.L. Testing method and distribution characteristics of spatial pesticide spraying deposition quality balance for unmanned aerial vehicle. Int. J. Agric. Biol. Eng. 2018, 11, 18–26. [Google Scholar] [CrossRef]
  8. Zheng, Y.J.; Yang, S.H.; Zhao, C.J.; Chen, L.P.; Lan, Y.B.; Tan, Y. Modeling operation parameters of UAV on spray effects at different growth stages of corns. Int. J. Agric. Biol. Eng. 2017, 10, 57–66. Available online: https://ijabe.org/index.php/ijabe/article/view/2578 (accessed on 15 August 2024).
  9. Berner, B.; Pachuta, A.; Chojnacki, J. Estimation of liquid deposition on corn plants sprayed from a drone. In Proceedings of the 25th International PhD Students Conference, (MENDELNET 2018), Brno, Czech Republic, 7–8 November 2018; pp. 403–407. Available online: https://mendelnet.cz/pdfs/mnt/2018/01/85.pdf (accessed on 15 August 2024).
  10. Zhang, X.Q.; Song, X.P.; Liang, Y.J.; Qin, Z.Q.; Zhang, B.Q.; Wei, J.J.; Li, Y.R.; Wu, J.M. Effects of Spray Parameters of Drone on the Droplet Deposition in Sugarcane Canopy. Sugar Tech. 2020, 22, 583–588. [Google Scholar] [CrossRef]
  11. Hu, H.Y.; Ren, X.L.; Ma, X.Y.; Li, H.H.; Ma, Y.J.; Wang, D. Control effect on cotton aphids of insecticides sprayed with unmanned aerial vehicles under different flight heights and spray volumes. Int. J. Precis. Agric. Aviat. 2021, 4, 44–51. [Google Scholar] [CrossRef]
  12. Özyurt, H.B.; Duran, H.; Çelen, İ.H. Determination of the Application Parameters of Spraying Drones for Crop Production in Hazelnut Orchards. Tekirdağ Ziraat Fakültesi Derg. 2022, 19, 819–828. [Google Scholar] [CrossRef]
  13. Chojnacki, J.; Pachuta, A. Impact of the Parameters of Spraying with a Small Unmanned Aerial Vehicle on the Distribution of Liquid on Young Cherry Trees. Agriculture 2021, 11, 1094. [Google Scholar] [CrossRef]
  14. Meng, Y.; Su, J.; Song, J.; Chen, W.H.; Lan, Y. Experimental evaluation of UAV spraying for peach trees of different shapes: Effects of operational parameters on droplet distribution. Comput. Electron. Agric. 2020, 170, 105282. [Google Scholar] [CrossRef]
  15. Pachuta, A.; Berner, B.; Chojnacki, J.; Moitzi, G.; Dvořák, J.; Keutgen, A.; Najser, J.; Kielar, J.; Najser, T.; Mikeska, M. Propellers Spin Rate Effect of a Spraying Drone on Quality of Liquid Deposition in a Crown of Young Spruce. Agriculture 2023, 13, 1584. [Google Scholar] [CrossRef]
  16. Biglia, A.; Grella, M.; Bloise, N.; Comba, L.; Mozzanini, E.; Sopegno, A.; Pittarello, M.; Dicembrini, E.; Alcatrão, L.E.; Guglieri, G.; et al. UAV-spray application in vineyards: Flight modes and spray system adjustment effects on canopy deposit, coverage, and off-target losses. Sci. Total Environ. 2022, 845, 157292. [Google Scholar] [CrossRef]
  17. Morales-Rodríguez, P.A.; Cano Cano, E.; Villena, J.; López-Perales, J.A. A Comparison between Conventional Sprayers and New UAV Sprayers: A Study Case of Vineyards and Olives in Extremadura (Spain). Agronomy 2022, 12, 1307. [Google Scholar] [CrossRef]
  18. Hunter, J.E.; Gannon, T.W.; Richardson, R.J.; Yelverton, F.H.; Leon, R.G. Integration of Remote-Weed Mapping and an Autonomous Spraying Unmanned Aerial Vehicle for Site-Specific Weed Management. Pest Manag. Sci. 2019, 76, 1386–1392. [Google Scholar] [CrossRef]
  19. Ram Kumar, R.P.; Sanjeeva, P.; Vijay Kumar, B. Transforming the Traditional Farming into Smart Farming Using Drones. In Proceedings of the Second International Conference on Computational Intelligence and Informatics, Telangana, India, 25–27 September 2017; Advances in Intelligent Systems and Computing. Bhateja, V., Tavares, J., Rani, B., Prasad, V., Raju, K., Eds.; Springer: Singapore, 2018; p. 712. [Google Scholar] [CrossRef]
  20. Meshram, A.T.; Vanalkar, A.V.; Kalambe, K.B.; Badar, A.M. Pesticide spraying robot for precision agriculture: A categorical literature review and future trends. J. Field Robot. 2021, 39, 153–171. [Google Scholar] [CrossRef]
  21. Qin, W.C.; Xue, X.Y.; Zhang, S.M.; Gu, W.; Wang, B.K. Droplet deposition and efficiency of fungicides sprayed with small UAV against wheat powdery mildew. Int. J. Agric. Biol. Eng. 2018, 11, 27–32. [Google Scholar] [CrossRef]
  22. Qin, W.C.; Qiu, B.J.; Xue, X.Y.; Chen, C.; Xu, Z.F.; Zhou, Q.Q. Droplet deposition and control effect of insecticides sprayed with an unmanned aerial vehicle against plant hoppers. Crop Prot. 2016, 85, 79–88. [Google Scholar] [CrossRef]
  23. Martin, D.E.; Woldt, W.E.; Latheef, M.A. Effect of Application Height and Ground Speed on Spray Pattern and Droplet Spectra from Remotely Piloted Aerial Application Systems. Drones 2019, 3, 83. [Google Scholar] [CrossRef]
  24. Lou, Z.; Xin, F.; Han, X.; Lan, Y.; Duan, T.; Fu, W. Effect of Unmanned Aerial Vehicle Flight Height on Droplet Distribution, Drift and Control of Cotton Aphids and Spider Mites. Agronomy 2018, 8, 187. [Google Scholar] [CrossRef]
  25. Wang, G.; Zhang, T.; Song, C.; Yu, X.; Shan, C.; Gu, H.; Lan, Y. Evaluation of Spray Drift of Plant Protection Drone Nozzles Based on Wind Tunnel Test. Agriculture 2023, 13, 628. [Google Scholar] [CrossRef]
  26. Tang, Q.; Zhang, R.R.; Chen, L.P.; Xu, M.; Yi, T.C.; Zhang, B. Droplets movement and deposition of an eight-rotor agricultural UAV in downwash flow field. Int. J. Agric. Biol. Eng. 2017, 10, 47–56. Available online: https://ijabe.org/index.php/ijabe/article/view/3075 (accessed on 15 August 2024).
  27. Zhang, Y.; Li, Y.; He, Y.; Liu, F.; Cen, H.; Fang, H. Near ground platform development to simulate uav aerial spraying and its spraying test under different conditions. Comput. Electron. Agric. 2018, 148, 8–18. [Google Scholar] [CrossRef]
  28. Zhou, L.P.; He, Y. Simulation and optimization of multi spray factors in UAV. In Proceedings of the ASABE Annual International Meeting Sponsored by ASABE, Orlando, FL, USA, 17–20 July 2016. [Google Scholar] [CrossRef]
  29. Yang, F.; Xue, X.; Cai, C.; Sun, Z.; Zhou, Q. Numerical Simulation and Analysis on Spray Drift Movement of Multirotor Plant Protection Unmanned Aerial Vehicle. Energies 2018, 11, 2399. [Google Scholar] [CrossRef]
  30. Zhang, H.; Qi, L.; Wan, J.; Musiu, E.M.; Zhou, J.; Lu, Z.; Wang, P. WSPM-System: Providing Real Data of Rotor Speed and Pitch Angle for Numerical Simulation of Downwash Airflow from a Multirotor UAV Sprayer. Agriculture 2021, 11, 1038. [Google Scholar] [CrossRef]
  31. Wang, J.; Lv, X.; Wang, B.; Lan, X.; Yan, Y.; Chen, S.; Lan, Y. Numerical Simulation and Analysis of Droplet Drift Motion under Different Wind Speed Environments of Single-Rotor Plant Protection UAVs. Drones 2023, 7, 128. [Google Scholar] [CrossRef]
  32. Zhang, H.; Qi, L.; Wu, Y.; Musiu, E.M.; Cheng, Z.; Wang, P. Numerical Simulation of Airflow Field from a Six-Rotor Plant Protection Drone Using Lattice Boltzmann Method. Biosyst. Eng. 2020, 197, 336–351. [Google Scholar] [CrossRef]
  33. Wang, G.; Han, Y.; Li, X.; Andaloro, J.; Chen, P.; Hoffmann, W.C.; Han, X.; Chen, S.; Lan, Y. Field evaluation of spray drift and environmental impact using an agricultural unmanned aerial vehicle (UAV) sprayer. Sci. Total Environ. 2020, 737, 139793. [Google Scholar] [CrossRef]
  34. Yu, S.H.; Kang, Y.; Lee, C.G. Comparison of the Spray Effects of Air Induction Nozzles and Flat Fan Nozzles Installed on Agricultural Drones. Appl. Sci. 2023, 13, 11552. [Google Scholar] [CrossRef]
  35. Doruchowski, G.; Swiechowski, W.; Masny, S.; Maciesiak, A.; Tartanus, M.; Bryk, H.; Holownicki, R. Low-drift nozzles vs. standard nozzles for pesticide application in the biological efficacy trials of pesticides in apple pest and disease control. Sci. Total Environ. 2017, 575, 1239–1246. [Google Scholar] [CrossRef]
  36. Milanowski, M.; Subr, A.; Combrzyński, M.; Różańska-Boczula, M.; Parafiniuk, S. Effect of Adjuvant, Concentration and Water Type on the Droplet Size Characteristics in Agricultural Nozzles. Appl. Sci. 2022, 12, 5821. [Google Scholar] [CrossRef]
  37. Lan, Y.; Huang, K.; Yang, C.; Lei, L.; Ye, J.; Zhang, J.; Zeng, W.; Zhang, Y.; Deng, J. Real-Time Identification of Rice Weeds by UAV Low-Altitude Remote Sensing Based on Improved Semantic Segmentation Model. Remote Sens. 2021, 13, 4370. [Google Scholar] [CrossRef]
  38. Sinha, J.P. Aerial robot for smart farming and enhancing farmers’ net benefit. Indian J. Agric. Sci. 2020, 90, 258–267. [Google Scholar] [CrossRef]
  39. Directive 2009/128/EC of the European Parliament and of the Council of 21 October 2009 Establishing A Framework for Community Action to Achieve the Sustainable Use of Pesticides (Text with EEA Relevance). Available online: https://eur-lex.europa.eu/eli/dir/2009/128/oj (accessed on 15 August 2024).
  40. Available online: https://www.dji.com/pl/search?q=DJI%20Agras-T30 (accessed on 7 July 2024).
  41. Available online: https://www.ttaviation.org (accessed on 7 July 2024).
  42. Hussain, M.; Wang, Z.; Huang, G.; Mo, Y.; Guo, Y.; Kaousar, R.; Duan, L.; Tan, W. Evaluation of droplet deposition and efficiency of 28-homobrassinolide sprayed with unmanned aerial spraying system and electric air-pressure knapsack sprayer over wheat field. Comput. Electron. Agric. 2022, 202, 107353. [Google Scholar] [CrossRef]
  43. Sarghini, F.; De Vivo, A. Interference Analysis of an Heavy Lift Multirotor Drone Flow Field and Transported Spraying System. Chem. Eng. Trans. 2017, 58, 631–636. [Google Scholar] [CrossRef]
  44. Wang, S.L.; Song, J.L.; He, X.K.; Song, L.; Wang, X.N.; Wang, C.L. Performances evaluation of four typical unmanned aerial vehicles used for pesticide application in China. Int. J. Agric. Biol. Eng. 2017, 10, 22–31. Available online: https://ijabe.org/index.php/ijabe/article/view/3219/0 (accessed on 15 August 2024).
  45. Lan, Y.; Qian, S.; Chen, S.; Zhao, Y.; Deng, X.; Wang, G.; Zang, Y.; Wang, J.; Qiu, X. Influence of the Downwash Wind Field of Plant Protection UAV on Droplet Deposition Distribution Characteristics at Different Flight Heights. Agronomy 2021, 11, 2399. [Google Scholar] [CrossRef]
Figure 1. Test bench: 1—cantilever, 2—treadmill, 3—pulley, 4—pull rope, 5—trolley, 6—USB cable, 7—spray liquid pipe, 8—bracket, 9—optical tachometer, 10—electric motor with rotor and propellers, 11—bracket with spray nozzle, and 12—drone.
Figure 1. Test bench: 1—cantilever, 2—treadmill, 3—pulley, 4—pull rope, 5—trolley, 6—USB cable, 7—spray liquid pipe, 8—bracket, 9—optical tachometer, 10—electric motor with rotor and propellers, 11—bracket with spray nozzle, and 12—drone.
Agronomy 14 01894 g001
Figure 2. Diagram of the drone’s location over wheat plant boxes: 1—location of the sprayer, 2—direction of movement of the drone, and 3—location of the tripod in the plants.
Figure 2. Diagram of the drone’s location over wheat plant boxes: 1—location of the sprayer, 2—direction of movement of the drone, and 3—location of the tripod in the plants.
Agronomy 14 01894 g002
Figure 3. Completed object for study. (a) View of the wheat plants with the liquid collection tripod mounted in them (1–3 levels of samplers) and (b) samplers with traces of dye after drying the droplets.
Figure 3. Completed object for study. (a) View of the wheat plants with the liquid collection tripod mounted in them (1–3 levels of samplers) and (b) samplers with traces of dye after drying the droplets.
Agronomy 14 01894 g003
Figure 4. Comparison of liquid application on samplers in wheat plants. Displacement height—0.5 m; speed—(a) v = 0.57 m·s−1 and (b) v = 1.00 m·s−1; 0—spraying from a nozzle and 1—spraying from a drone with rotating propellers.
Figure 4. Comparison of liquid application on samplers in wheat plants. Displacement height—0.5 m; speed—(a) v = 0.57 m·s−1 and (b) v = 1.00 m·s−1; 0—spraying from a nozzle and 1—spraying from a drone with rotating propellers.
Agronomy 14 01894 g004
Figure 5. Comparison of liquid application on samplers in wheat plants. Displacement height—1.0 m; speed—(a) v = 0.57 m·s−1, (b) v = 1.00 m·s−1; 0—spraying from a nozzle and 1—spraying from a drone with rotating propellers.
Figure 5. Comparison of liquid application on samplers in wheat plants. Displacement height—1.0 m; speed—(a) v = 0.57 m·s−1, (b) v = 1.00 m·s−1; 0—spraying from a nozzle and 1—spraying from a drone with rotating propellers.
Agronomy 14 01894 g005
Figure 6. Influence of drone airflow on changes in liquid volume distribution under ST110-02 flat fan nozzle: (a) H = 0.5 m, (b) H = 1.0 m > “S”—droplet stream from the nozzle and “D”—droplet stream from the nozzle on the drone with rotating propellers.
Figure 6. Influence of drone airflow on changes in liquid volume distribution under ST110-02 flat fan nozzle: (a) H = 0.5 m, (b) H = 1.0 m > “S”—droplet stream from the nozzle and “D”—droplet stream from the nozzle on the drone with rotating propellers.
Agronomy 14 01894 g006
Figure 7. Results of air velocity measurements under the rotor with the atomizer, made in a line perpendicular to the direction of drone movement.
Figure 7. Results of air velocity measurements under the rotor with the atomizer, made in a line perpendicular to the direction of drone movement.
Agronomy 14 01894 g007
Table 1. Significance of the effect of spraying with a drone with propeller rotation, compared with spraying with a nozzle alone without the drone’s propellers running, on the volume of liquid application at the sampler levels at all speeds and heights of drone movements.
Table 1. Significance of the effect of spraying with a drone with propeller rotation, compared with spraying with a nozzle alone without the drone’s propellers running, on the volume of liquid application at the sampler levels at all speeds and heights of drone movements.
Height of Drone Movement, mSpeed of Drone Movement, m·s−1Value of the Coefficient-p, Comparing the Volume of Deposited Liquid
Lev. 1Lev. 2Lev. 3
0.500.570.00170.00000.0009
1.000.00060.00010.0105
1.000.570.00030.00000.0102
1.000.00430.00650.0107
Table 2. Uniformity of liquid application, CV, on samplers placed in wheat plants.
Table 2. Uniformity of liquid application, CV, on samplers placed in wheat plants.
Spraying MethodAltitude above Plants, mMovement Speed, m·s−1
0.541.00
nozzle0.500.622 ± 0.0490.588 ± 0.064
drone0.500.487 ± 0.0070.495 ± 0.035
nozzle1.000.633 ± 0.0370.575 ± 0.050
drone1.000.490 ± 0.0470.491 ± 0.067
Disclaimer/Publisher’s Note: The statements, opinions and data contained in all publications are solely those of the individual author(s) and contributor(s) and not of MDPI and/or the editor(s). MDPI and/or the editor(s) disclaim responsibility for any injury to people or property resulting from any ideas, methods, instructions or products referred to in the content.

Share and Cite

MDPI and ACS Style

Berner, B.; Chojnacki, J.; Dvořák, J.; Pachuta, A.; Najser, J.; Kukiełka, L.; Kielar, J.; Najser, T.; Mikeska, M. Spraying Wheat Plants with a Drone Moved at Low Altitudes. Agronomy 2024, 14, 1894. https://doi.org/10.3390/agronomy14091894

AMA Style

Berner B, Chojnacki J, Dvořák J, Pachuta A, Najser J, Kukiełka L, Kielar J, Najser T, Mikeska M. Spraying Wheat Plants with a Drone Moved at Low Altitudes. Agronomy. 2024; 14(9):1894. https://doi.org/10.3390/agronomy14091894

Chicago/Turabian Style

Berner, Bogusława, Jerzy Chojnacki, Jiří Dvořák, Aleksandra Pachuta, Jan Najser, Leon Kukiełka, Jan Kielar, Tomáš Najser, and Marcel Mikeska. 2024. "Spraying Wheat Plants with a Drone Moved at Low Altitudes" Agronomy 14, no. 9: 1894. https://doi.org/10.3390/agronomy14091894

APA Style

Berner, B., Chojnacki, J., Dvořák, J., Pachuta, A., Najser, J., Kukiełka, L., Kielar, J., Najser, T., & Mikeska, M. (2024). Spraying Wheat Plants with a Drone Moved at Low Altitudes. Agronomy, 14(9), 1894. https://doi.org/10.3390/agronomy14091894

Note that from the first issue of 2016, this journal uses article numbers instead of page numbers. See further details here.

Article Metrics

Back to TopTop