Influence of Biogas Slurry and a Nitrification Inhibitor Application in Nitrous Oxide Emissions by Soil
Abstract
1. Introduction
2. Materials and Methods
2.1. Experimental Soil and Biogas Slurry
2.2. Experimental Design
2.2.1. Soil Incubation
2.2.2. Gas Kinetics Analysis
2.3. Soil Properties Analysis
2.4. Statistical Analysis
3. Results
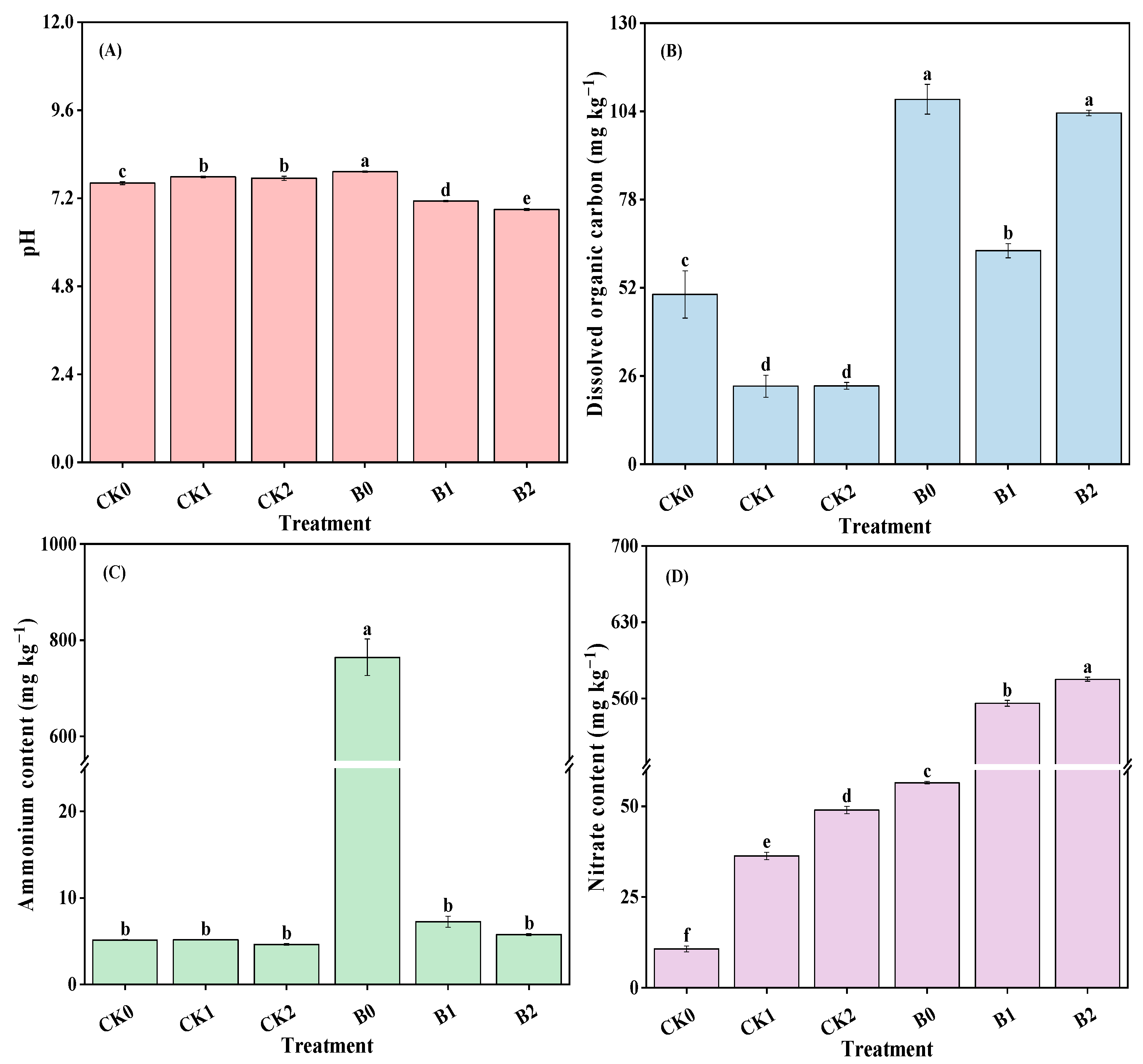
3.1. Effect of BS Application Frequency on Soil pH, Dissolved Organic Carbon, and Mineral Nitrogen
3.2. Emission Characteristics of N2O and N2
3.3. Cumulative CO2 Emissions and O2 Consumption
3.4. Nitrification Inhibition and Cumulative N2O Emissions Inhibition Rate
3.5. The Relationship between Gas Emission Characteristics, DMPP Efficacy, and Soil Variables
4. Discussion
4.1. Regulation of Gas Emission Characteristics by Frequency of BS Application and Influencing Soil Factors
4.2. Factors Influencing DMPP Efficacy Under Different BS Application Frequencies
5. Conclusions
Supplementary Materials
Author Contributions
Funding
Data Availability Statement
Acknowledgments
Conflicts of Interest
References
- Chadwick, D.; Wei, J.; Yan’An, T.; Guanghui, Y.; Qirong, S.; Qing, C. Improving manure nutrient management towards sustainable agricultural intensification in China. Agric. Ecosyst. Environ. 2015, 209, 34–46. [Google Scholar] [CrossRef]
- Rahaman, M.A.; Zhan, X.; Zhang, Q.; Li, S.; Lv, S.; Long, Y.; Zeng, H. Ammonia Volatilization Reduced by Combined Application of Biogas Slurry and Chemical Fertilizer in Maize–Wheat Rotation System in North China Plain. Sustainability 2020, 12, 4400. [Google Scholar] [CrossRef]
- Tang, Y.; Wen, G.; Li, P.; Dai, C.; Han, J. Effects of Biogas Slurry Application on Crop Production and Soil Properties in a Rice–Wheat Rotation on Coastal Reclaimed Farmland. Water Air Soil Pollut. 2019, 230, 51. [Google Scholar] [CrossRef]
- Chen, Z.; Wang, Q.; Ma, J.; Chapman, S.; Zou, P.; Ye, J.; Yu, Q.; Sun, W.; Lin, H.; Jiang, L. Soil microbial activity and community composition as influenced by application of pig biogas slurry in paddy field in southeast China. Paddy Water Environ. 2020, 18, 15–25. [Google Scholar] [CrossRef]
- Kong, F.; Li, Q.; Yang, Z.; Chen, Y. Does the application of biogas slurry reduce soil N2O emissions and increase crop yield? –A systematic review. J. Environ. Manag. 2023, 342, 118339. [Google Scholar] [CrossRef]
- Chen, Q.; Liu, T. Biogas system in rural China: Upgrading from decentralized to centralized? Renew. Sustain. Energy Rev. 2017, 78, 933–944. [Google Scholar] [CrossRef]
- Lourenço, K.S.; Cantarella, H.; Soares, J.R.; Gonzaga, L.C.; Menegale, P.L.D.C. DMPP mitigates N2O emissions from nitrogen fertilizer applied with concentrated and standard vinasse. Geoderma 2021, 404, 115258. [Google Scholar] [CrossRef]
- Tang, J.; Davy, A.J.; Wang, W.; Zhang, X.; Wu, D.; Hu, L.; Yin, J. Effects of Biogas Slurry on Crop Yield, Physicochemical Properties and Aggregation Characteristics of Lime Concretion Soil in Wheat–Maize Rotation in the North China Plain. J. Soil Sci. Plant Nutr. 2022, 22, 2406–2417. [Google Scholar] [CrossRef]
- Rahaman, M.A.; Zhang, Q.; Shi, Y.; Zhan, X.; Li, G. Biogas slurry application could potentially reduce N2O emissions and increase crop yield. Sci. Total Environ. 2021, 778, 146269. [Google Scholar] [CrossRef] [PubMed]
- Shi, Y.; Rahaman, M.A.; Zhang, Q.; Zhan, X.; Zheng, L. Effects of partial substitution of chemical fertilizer with biogas slurry on nitrous oxide emissions and the related nitrifier and denitrifier in a saline–alkali soil. Environ. Technol. Innov. 2022, 28, 102900. [Google Scholar] [CrossRef]
- Odlare, M.; Pell, M.; Svensson, K. Changes in soil chemical and microbiological properties during 4 years of application of various organic residues. Waste Manag. 2008, 28, 1246–1253. [Google Scholar] [CrossRef]
- Abubaker, J.; Risberg, K.; Jönsson, E.; Dahlin, A.S.; Cederlund, H.; Pell, M.; Clemente, R. Short-Term Effects of Biogas Digestates and Pig Slurry Application on Soil Microbial Activity. Appl. Environ. Soil Sci. 2015, 2015, 658542. [Google Scholar] [CrossRef]
- Xu, M.; Xian, Y.; Wu, J.; Gu, Y.; Yang, G.; Zhang, X.; Peng, H.; Yu, X.; Xiao, Y.; Li, L. Effect of biogas slurry addition on soil properties, yields, and bacterial composition in the rice-rape rotation ecosystem over 3 years. J. Soils Sediments 2019, 19, 2534–2542. [Google Scholar] [CrossRef]
- Liu, C.; Chen, Y.; Li, X.; Zhang, Y.; Ye, J.; Huang, H.; Zhu, C. Temporal effects of repeated application of biogas slurry on soil antibiotic resistance genes and their potential bacterial hosts. Environ. Pollut. 2020, 258, 113652. [Google Scholar] [CrossRef] [PubMed]
- Di, H.J.; Cameron, K.C.; Sherlock, R.R.; Shen, J.; He, J.; Winefield, C.S. Nitrous oxide emissions from grazed grassland as affected by a nitrification inhibitor, dicyandiamide, and relationships with ammonia-oxidizing bacteria and archaea. J. Soils Sediments 2010, 10, 943–954. [Google Scholar] [CrossRef]
- Friedl, J.; Scheer, C.; Rowlings, D.W.; Deltedesco, E.; Gorfer, M.; De Rosa, D.; Grace, P.R.; Müller, C.; Keiblinger, K.M. Effect of the nitrification inhibitor 3,4-dimethylpyrazole phosphate (DMPP) on N-turnover, the N2O reductase-gene nosZ and N2O:N2 partitioning from agricultural soils. Sci. Rep. 2020, 10, 2399. [Google Scholar] [CrossRef]
- Li, H.; Song, X.; Bakken, L.R.; Ju, X. Reduction of N2O emissions by DMPP depends on the interactions of nitrogen sources (digestate vs. urea) with soil properties. J. Integr. Agric. 2023, 22, 251–264. [Google Scholar] [CrossRef]
- Huf, M.; Olfs, H. Effect of the nitrification inhibitor DMPP on nitrous oxide emissions and the stabilization of ammonium following the injection of dairy slurry and digestate in a soil-column experiment. J. Plant Nutr. Soil Sci. 2020, 183, 129–135. [Google Scholar] [CrossRef]
- Guo, Y.; Anjum, A.; Khan, A.; Naeem, A.; Mühling, K.H. Comparative Effectiveness of Biogas Residue Acidification and Nitrification Inhibitors in Mitigating CO2 and N2O Emissions from Biogas Residue-Amended Soils. Water Air Soil Pollut. 2021, 232, 345. [Google Scholar] [CrossRef]
- Van Nguyen, Q.; Wu, D.; Kong, X.; Bol, R.; Petersen, S.O.; Jensen, L.S.; Liu, S.; Brüggemann, N.; Glud, R.N.; Larsen, M.; et al. Effects of cattle slurry and nitrification inhibitor application on spatial soil O2 dynamics and N2O production pathways. Soil Biology and Biochemistry 2017, 114, 200–209. [Google Scholar] [CrossRef]
- Di, H.J.; Cameron, K.C. Inhibition of ammonium oxidation by a liquid formulation of 3, 4-Dimethylpyrazole phosphate (DMPP) compared with a dicyandiamide (DCD) solution in six new Zealand grazed grassland soils. J. Soils Sediments 2011, 11, 1032–1039. [Google Scholar] [CrossRef]
- Lei, J.; Fan, Q.; Yu, J.; Ma, Y.; Yin, J.; Liu, R. A meta-analysis to examine whether nitrification inhibitors work through selectively inhibiting ammonia-oxidizing bacteria. Front. Microbiol. 2022, 13, 962146. [Google Scholar] [CrossRef]
- Gao, J.; Luo, J.; Lindsey, S.; Shi, Y.; Wei, Z.; Wang, L.; Zhang, L. Effects of soil properties on urea-N transformation and efficacy of nitrification inhibitor 3, 4-dimethypyrazole phosphate (DMPP). Soil Sci. Plant Nutr. 2022, 68, 228–237. [Google Scholar] [CrossRef]
- Wu, D.; Dong, W.; Oenema, O.; Wang, Y.; Trebs, I.; Hu, C. N2O consumption by low-nitrogen soil and its regulation by water and oxygen. Soil Biol. Biochem. 2013, 60, 165–172. [Google Scholar] [CrossRef]
- Molstad, L.; Dorsch, P.; Bakken, L.R. Robotized incubation system for monitoring gases (O2, NO, N2O, N2) in denitrifying cultures. J. Microbiol. Methods 2007, 71, 202–211. [Google Scholar] [CrossRef]
- Mcmillan, A.; Phillips, R.; Berben, P.; Palmada, T.; Jha, N.; Saggar, S. Automated N2O/N2 analysis—A new tool for studying denitrification dynamics and testing mitigation strategies. In Nutrient Management for the Farm, Catchment and Community; Occasional Report 27; Currie, L.D., Christensen, C.L., Eds.; Palmerston North, Fertilizer and Lime Research Centre, Massey University: Wellington, New Zealand, 2014; 14p, Available online: http://flrc.massey.ac.nz/publications.html (accessed on 23 October 2014).
- Li, X.; Sardans, J.; Gargallo-Garriga, A.; Asensio, D.; Vallicrosa, H.; Peñuelas, J. Nitrogen reduction processes in paddy soils across climatic gradients: Key controlling factors and environmental implications. Geoderma 2020, 368, 114275. [Google Scholar] [CrossRef]
- Zhang, Z.; Zhao, X.; Gao, Q.; Zhao, H.; Wang, G.; Tian, G.; Liu, J.; Yang, J. Study on the mechanism of nitrapyrin microcapsule suspension effectively improving nitrification inhibition rate in black soil. Ecotox. Environ. Saf. 2023, 265, 115539. [Google Scholar] [CrossRef]
- Mccarty, G.W.; Bremner, J.M. Inhibition of nitrification in soil by heterocyclic nitrogen compounds. Biol. Fertil. Soils 1989, 8, 204–211. [Google Scholar] [CrossRef]
- Liao, X.; Chen, Y.; Ruan, H.; Malghani, S. Incapability of biochar to mitigate biogas slurry induced N2O emissions: Field investigations after 7 years of biochar application in a poplar plantation. Sci. Total Environ. 2021, 794, 148572. [Google Scholar] [CrossRef] [PubMed]
- Cheng, J.; Chen, Y.; He, T.; Liu, R.; Yi, M.; Yang, Z. Effects of biogas slurry irrigation DOC/N ratios on the fate of soil nitrogen and GHG emissions: A laboratory study. Geoderma 2020, 375, 114458. [Google Scholar] [CrossRef]
- Tierling, J.; Kuhlmann, H. Emissions of nitrous oxide (N2O) affected by pH-related nitrite accumulation during nitrification of N fertilizers. Geoderma 2018, 310, 12–21. [Google Scholar] [CrossRef]
- Well, R.; Flessa, H.; Xing, L.; Xiaotang, J.; Römheld, V. Isotopologue ratios of N2O emitted from microcosms with NH4+ fertilized arable soils under conditions favoring nitrification. Soil Biol. Biochem. 2008, 40, 2416–2426. [Google Scholar] [CrossRef]
- Coban, H.; Miltner, A.; Elling, F.J.; Hinrichs, K.U.; Kästner, M. The contribution of biogas residues to soil organic matter formation and CO2 emissions in an arable soil. Soil Biol. Biochem. 2015, 86, 108–115. [Google Scholar] [CrossRef]
- Zhu, Y.; Yuan, G.; Zhao, Z.; Tang, Y.; Li, P.; Han, J. Pig farm biogas slurry can effectively reduce the pH of saline-alkali soils. Environ. Technol. 2023, 44, 1415–1425. [Google Scholar] [CrossRef]
- Terhoeven-Urselmans, T.; Scheller, E.; Raubuch, M.; Ludwig, B.; Joergensen, R.G. CO2 evolution and N mineralization after biogas slurry application in the field and its yield effects on spring barley. Appl. Soil Ecol. 2009, 42, 297–302. [Google Scholar] [CrossRef]
- Orlova, N.; Abakumov, E.; Orlova, E.; Yakkonen, K.; Shahnazarova, V. Soil organic matter alteration under biochar amendment: Study in the incubation experiment on the Podzol soils of the Leningrad region (Russia). J. Soils Sediments 2019, 19, 2708–2716. [Google Scholar] [CrossRef]
- Niyungeko, C.; Liang, X.; Liu, C.; Zhou, J.; Chen, L.; Lu, Y.; Tiimub, B.M.; Li, F. Effect of biogas slurry application on soil nutrients, phosphomonoesterase activities, and phosphorus species distribution. J. Soils Sediments 2020, 20, 900–910. [Google Scholar] [CrossRef]
- Zhang, Y.; Niu, H.; Wang, S.; Xu, K.; Wang, R. Application of the DNDC model to estimate N2O emissions under different types of irrigation in vineyards in Ningxia, China. Agric. Water Manag. 2016, 163, 295–304. [Google Scholar] [CrossRef]
- Azam, F.; Müller, C.; Weiske, A.; Benckiser, G.; Ottow, J. Nitrification and denitrification as sources of atmospheric nitrous oxide—role of oxidizable carbon and applied nitrogen. Biol. Fertil. Soils 2002, 35, 54–61. [Google Scholar] [CrossRef]
- Jirout, J. Nitrous oxide productivity of soil fungi along a gradient of cattle impact. Fungal Ecol. 2015, 17, 155–163. [Google Scholar] [CrossRef]
- Giles, M.E.; Daniell, T.J.; Baggs, E.M. Compound driven differences in N2 and N2O emission from soil; the role of substrate use efficiency and the microbial community. Soil Biol. Biochem. 2017, 106, 90–98. [Google Scholar] [CrossRef]
- Xiao, Q.; Huang, Y.; Wu, L.; Tian, Y.; Wang, Q.; Wang, B.; Xu, M.; Zhang, W. Long-term manuring increases microbial carbon use efficiency and mitigates priming effect via alleviated soil acidification and resource limitation. Biol. Fertil. Soils 2021, 57, 925–934. [Google Scholar] [CrossRef]
- Qiao, C.; Liu, L.; Hu, S.; Compton, J.E.; Greaver, T.L.; Li, Q. How inhibiting nitrification affects nitrogen cycle and reduces environmental impacts of anthropogenic nitrogen input. Glob. Change Biol. 2015, 21, 1249–1257. [Google Scholar] [CrossRef]
- Guo, Y.; Geng, J.; Cheng, S.; Fang, H.; Li, X.; Yang, Y.; Li, Y.; Zhou, Y. Soil acidification and ammonia-oxidizing archaeal abundance dominate the contrasting responses of soil N2O emissions to NH4+ and NO3- enrichment in a subtropical plantation. Eur. J. Soil Biol. 2023, 116, 103491. [Google Scholar] [CrossRef]
- Shi, X.; Hu, H.; Müller, C.; He, J.; Chen, D.; Suter, H.C. Effects of the Nitrification Inhibitor 3,4-Dimethylpyrazole Phosphate on Nitrification and Nitrifiers in Two Contrasting Agricultural Soils. Appl. Environ. Microbiol. 2016, 82, 5236–5248. [Google Scholar] [CrossRef]
- Sørensen, P.; Amato, M. Remineralisation and residual effects of N after application of pig slurry to soil. Eur. J. Agron. 2002, 16, 81–95. [Google Scholar] [CrossRef]
- Abalos, D.; Sanz-Cobena, A.; Andreu, G.; Vallejo, A. Rainfall amount and distribution regulate DMPP effects on nitrous oxide emissions under semiarid Mediterranean conditions. Agric. Ecosyst. Environ. 2017, 238, 36–45. [Google Scholar] [CrossRef]
- Di, H.J.; Cameron, K.C. Inhibition of nitrification to mitigate nitrate leaching and nitrous oxide emissions in grazed grassland: A review. J. Soils Sediments 2016, 16, 1401–1420. [Google Scholar] [CrossRef]
- Möller, K.; Müller, T. Effects of anaerobic digestion on digestate nutrient availability and crop growth: A review. Eng. Life Sci. 2012, 12, 242–257. [Google Scholar] [CrossRef]
- Bachtsevani, E.; Papazlatani, C.V.; Rousidou, C.; Lampronikou, E.; Menkissoglu-Spiroudi, U.; Nicol, G.W.; Karpouzas, D.G.; Papadopoulou, E.S. Effects of the nitrification inhibitor 3, 4-dimethylpyrazole phosphate (DMPP) on the activity and diversity of the soil microbial community under contrasting soil pH. Biol. Fertil. Soils 2021, 57, 1117–1135. [Google Scholar] [CrossRef]
- Kleineidam, K.; Košmrlj, K.; Kublik, S.; Palmer, I.; Pfab, H.; Ruser, R.; Fiedler, S.; Schloter, M. Influence of the nitrification inhibitor 3,4-dimethylpyrazole phosphate (DMPP) on ammonia-oxidizing bacteria and archaea in rhizosphere and bulk soil. Chemosphere 2011, 84, 182–186. [Google Scholar] [CrossRef] [PubMed]
- Kaveney, B.; Condon, J.; Doran, G.; Galea, F.; Rigg, J. The distribution of soil nitrifiers and efficacy of 3, 4-dimethylpyrazole phosphate changes with soil depth and calcium carbonate application. Soil Biol. Biochem. 2020, 150, 108009. [Google Scholar] [CrossRef]
- Cao, W.; Liu, S.; Qu, Z.; Song, H.; Qin, W.; Guo, J.; Chen, Q.; Lin, S.; Wang, J. Contribution and driving mechanism of N2O emission bursts in a Chinese vegetable greenhouse after manure application and irrigation. Sustainability 2019, 11, 1624. [Google Scholar] [CrossRef]






| pH | EC (ms cm−1) | NO3− (mg L−1) | NH4+ (g L−1) | TP (mg L−1) | TOC (g L−1) | COD (g L−1) | Humic Acid (%) | TN (g L−1) |
|---|---|---|---|---|---|---|---|---|
| 8.58 | 41.8 | 86.8 | 4.78 | 286 | 8.09 | 24.4 | 1.03 | 5.71 |
| Treatment | Cumulative N2O Emissions (nmol N g−1) | Cumulative N2 Emissions (nmol N g−1) | N2O/(N2O + N2) (×10−3) |
|---|---|---|---|
| CK0 | Not detected | 85.2 ± 4.25 ab | 0 d |
| CK1 | Not detected | 73.8 ± 3.29 ab | 0 d |
| CK2 | 0.15 ± 0.02 c | 89.5 ± 10.3 a | 1.81 ± 0.38 d |
| B0 | 2.59 ± 0.06 a | 55.4 ± 13.8 b | 38.3 ± 2.31 a |
| B1 | 0.63 ± 0.11 b | 84.1 ± 3.56 ab | 7.30 ± 0.96 c |
| B2 | 0.54 ± 0.04 b | 71.2 ± 2.48 ab | 7.52 ± 0.25 c |
| B0-DMPP | 0.14 ± 0.001 cd | 76.0 ± 10.7 ab | 1.91 ± 0.24 d |
| B1-DMPP | 0.10 ± 0.001 cd | 70.2 ± 6.43 ab | 1.45 ± 0.20 d |
| B2-DMPP | 0.53 ± 0.05 b | 43.3 ± 3.27 c | 12.1 ± 0.57 b |
Disclaimer/Publisher’s Note: The statements, opinions and data contained in all publications are solely those of the individual author(s) and contributor(s) and not of MDPI and/or the editor(s). MDPI and/or the editor(s) disclaim responsibility for any injury to people or property resulting from any ideas, methods, instructions or products referred to in the content. |
© 2024 by the authors. Licensee MDPI, Basel, Switzerland. This article is an open access article distributed under the terms and conditions of the Creative Commons Attribution (CC BY) license (https://creativecommons.org/licenses/by/4.0/).
Share and Cite
Lei, J.; Sun, Y.; Yin, J.; Liu, R.; Chen, Q. Influence of Biogas Slurry and a Nitrification Inhibitor Application in Nitrous Oxide Emissions by Soil. Agronomy 2024, 14, 1844. https://doi.org/10.3390/agronomy14081844
Lei J, Sun Y, Yin J, Liu R, Chen Q. Influence of Biogas Slurry and a Nitrification Inhibitor Application in Nitrous Oxide Emissions by Soil. Agronomy. 2024; 14(8):1844. https://doi.org/10.3390/agronomy14081844
Chicago/Turabian StyleLei, Jilin, Yingying Sun, Junhui Yin, Rui Liu, and Qing Chen. 2024. "Influence of Biogas Slurry and a Nitrification Inhibitor Application in Nitrous Oxide Emissions by Soil" Agronomy 14, no. 8: 1844. https://doi.org/10.3390/agronomy14081844
APA StyleLei, J., Sun, Y., Yin, J., Liu, R., & Chen, Q. (2024). Influence of Biogas Slurry and a Nitrification Inhibitor Application in Nitrous Oxide Emissions by Soil. Agronomy, 14(8), 1844. https://doi.org/10.3390/agronomy14081844
