Effects of Bacillus amyloliquefaciens QST713 on Mineral Nutrient Utilization of Alfalfa (Medicago sativa L.) under Drought Stress
Abstract
1. Introduction
2. Materials and Methods
2.1. Experimental Protocol
2.2. Soil Sample Collection
2.3. Determination of Root Morphology Indicators
2.4. Determination of Mineral Elements
2.4.1. Determination of Mineral Elements of the Plant
2.4.2. Determination of Mineral Elements in the Soil
2.5. Determination of Soil pH
2.6. Determination of Leaf Moisture Content
2.6.1. Determination of Water Saturation Deficit (WSD)
2.6.2. Determination of Free Water Content (FWC) and Bound Water Content (BWC)
2.7. Statistical Analysis
3. Results
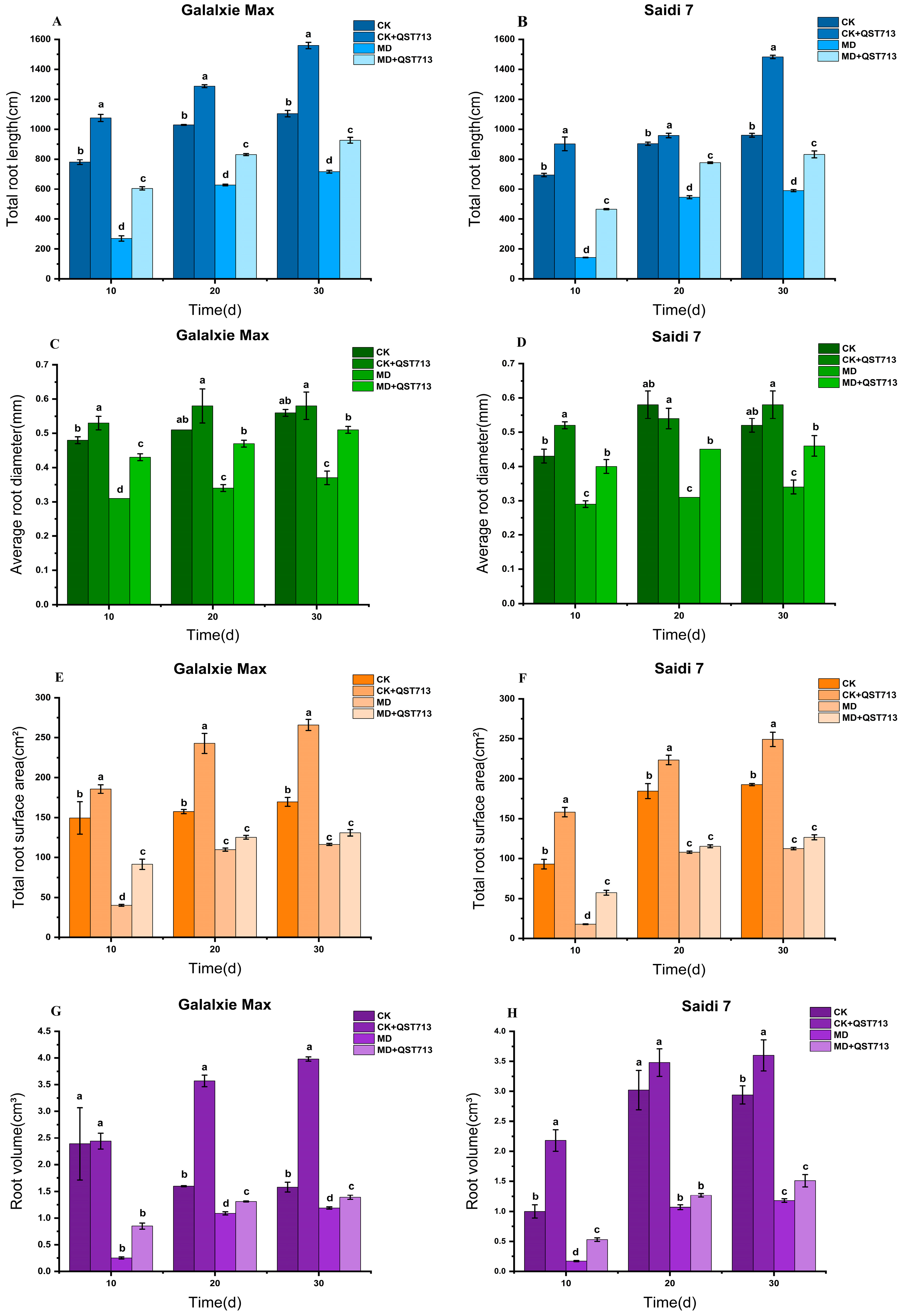
3.1. Effects of Bacterial Strain QST713 on the Root Morphology of Alfalfa Seedlings under Drought Stress
3.2. Effects of Bacterial Strain QST713 on the Leaf Mineral Contents of Alfalfa Seedlings under Drought Stress
3.3. Effects of Bacterial Strain QST713 on the Root Mineral Nutrients of Alfalfa Seedlings under Drought Stress
3.4. Effects of Bacterial Strain QST713 on the Soil Mineral Nutrients of Alfalfa Seedlings under Drought Stress
3.5. Effects of Bacterial Strain QST713 on the Soil pH of Alfalfa Seedlings under Drought Stress
3.6. Effects of Bacterial Strain QST713 on the Water Saturation Deficit (WSD) of Alfalfa Seedlings under Drought Stress
3.7. Effects of Bacterial Strain QST713 on the Water Content of Alfalfa Seedlings under Drought Stress
3.8. Correlation Analysis between the Studied Parameters
3.8.1. Result Evaluation through Principal Component Analysis (PCA)
3.8.2. Result Evaluation through Pearson’s Correlation Analysis
4. Discussion
5. Conclusions
Author Contributions
Funding
Data Availability Statement
Conflicts of Interest
References
- Diatta, A.A.; Min, D.; Jagadish, K.S. Drought stress responses in non-transgenic and transgenic alfalfa-Current status and future research directions. Adv. Agron. 2021, 170, 2–66. [Google Scholar]
- Li, Z.H.; Zou, Y.; Li, Y.P.; Sun, C.C.; Liu, Y.; Cui, L.W.; Liu, J.; Yang, Z.M.; Chen, Y. Exploring the salt- and drought-tolerant genes of alfalfa through expression library screening strategy. Grass Res. 2021, 1, 11. [Google Scholar] [CrossRef]
- Mishra, S.K.; Khan, M.H.; Misra, S.; Dixit, V.K.; Gupta, S.; Tiwari, S.; Gupta, S.C.; Chauhan, P.S. Drought tolerant Ochrobactrum sp. inoculation performs multiple roles in maintaining the homeostasis in Zea mays L. subjected to deficit water stress. Plant Physiol. Biochem. 2020, 150, 1–14. [Google Scholar] [CrossRef]
- Tripathi, A.; Pandey, V.K.; Jain, D.; Singh, G.; Brar, N.S.; Taufeeq, A.; Pandey, I.; Dash, K.K.; Samrot, A.V.; Rustagi, S. An updated review on significance of PGPR-induced plant signalling and stress management in advancing sustainable agriculture. J. Agric. Food Res. 2024, 16, 101169. [Google Scholar] [CrossRef]
- Ansari, F.A.; Ahmad, I.; Pichtel, J.; Husain, F.M. Pantoea agglomerans FAP10: A novel biofilm-producing PGPR strain improves wheat growth and soil resilience under salinity stress. Environ. Exp. Bot. 2024, 222, 105759. [Google Scholar] [CrossRef]
- Khalilpour, M.; Mozafari, V.; Abbaszadeh-Dahaji, P. Tolerance to salinity and drought stresses in pistachio (Pistacia vera L.) seedlings inoculated with indigenous stress-tolerant PGPR isolates. Sci. Hortic. 2021, 289, 110440. [Google Scholar] [CrossRef]
- Ipek, M.; Eitken, A. The actions of PGPR on micronutrient availability in soil and plant under calcareous soil conditions: An evaluation over Fe nutrition. In Plant-Microbe Interactions in Agro-Ecological Perspectives; Singh, D., Singh, H., Prabha, R., Eds.; Springer: Singapore, 2017; Volume 2, pp. 81–100. [Google Scholar]
- Yadav, A.N.; Kour, D.; Kaur, T.; Devi, R.; Yadav, A.; Dikilitas, M.; Abdel-Azeem, A.M.; Ahluwalia, A.S.; Saxena, A.K. Biodiversity, and biotechnological contribution of beneficial soil microbiomes for nutrient cycling, plant growth improvement and nutrient uptake. Biocatal. Agric. Biotechnol. 2021, 33, 102009. [Google Scholar] [CrossRef]
- Han, L.J.; Zhang, M.L.; Du, L.X.; Zhang, L.; Li, B. Effects of Bacillus amyloliquefaciens QST713 on photosynthesis and antioxidant characteristics of alfalfa (Medicago sativa L.) under drought stress. Agronomy 2022, 12, 2177. [Google Scholar] [CrossRef]
- Zaib, S.; Zubair, A.; Abbas, S.; Hussain, J.; Ahmad, I.; Shakeel, S.N. Plant growth-promoting rhizobacteria (PGPR) reduce adverse effects of salinity and drought stresses by regulating nutritional profile of barley. Appl. Environ. Soil Sci. 2023, 2023, 7261784. [Google Scholar] [CrossRef]
- Costa, O.Y.; Raaijmakers, J.M.; Kuramae, E.E. Microbial extracellular polymeric substances: Ecological function and impact on soil aggregation. Front. Microbiol. 2018, 9, 1636. [Google Scholar] [CrossRef]
- Andrade, L.A.; Santos, C.H.B.; Frezarin, E.T.; Sales, L.R.; Rigobelo, E.C. Plant growth-promoting rhizobacteria for sustainable agricultural production. Microorganisms 2023, 11, 1088. [Google Scholar] [CrossRef]
- Chieb, M.; Gachomo, E.W. The role of plant growth promoting rhizobacteria in plant drought stress responses. BMC Plant Biol. 2023, 23, 407. [Google Scholar] [CrossRef]
- Hardoim, P.R.; Van Overbeek, L.S.; Berg, G.; Pirttila, A.M.; Compant, S.; Campisano, A.; Ring, M.; Sessitsch, A. The hidden world within plants: Ecological and evolutionary considerations for defining functioning of microbial endophytes. Microbiol. Mol. Biol. Rev. 2015, 79, 293–320. [Google Scholar] [CrossRef]
- Baba, Z.A.; Hamid, B.; Sheikh, T.; Sayyed, R.Z. Psychrotolerant mesorhizobium sp. isolated from temperate and cold desert regions solubilizes potassium and produces multiple plant growth promoting metabolites. Molecules 2021, 26, 5758. [Google Scholar] [CrossRef]
- Gowtham, H.G.; Singh, S.B.; Shilpa, N.; Aiyaz, M.; Nataraj, K.; Udayashankar, A.C.; Amruthesh, K.N.; Murali, M.; Poczai, P.; Gafur, A. Insight into recent progress and perspectives in improvement of antioxidant machinery upon PGPR augmentation in plants under drought stress: A review. Antioxidants 2022, 11, 1763. [Google Scholar] [CrossRef]
- Rouphael, Y.; Cardarelli, M.; Schwarz, D.; Franken, P.; Colla, G. Effects of drought on nutrient uptake and assimilation in vegetable crops. In Plant Responses to Drought Stress: From Morphological to Molecular Features; Springer: Berlin/Heidelberg, Germany, 2012; pp. 171–195. [Google Scholar]
- Wang, J.F.; Zhang, Y.Q.; Li, Y.; Wang, X.M.; Nan, W.B.; Hu, Y.F.; Zhang, H.; Zhao, C.Z.; Wang, F.; Li, P.; et al. Endophytic microbes Bacillus sp. LZR216-regulated root development is dependent on polar auxin transport in Arabidopsis seedlings. Plant Cell Rep. 2015, 34, 1075–1087. [Google Scholar] [CrossRef]
- Sabo, R.; Kopáková, A.; Hamarová, L.; Cingeová Maruáková, I.; Mudroňová, D.; Sabová, L.; Javorsky, P.; Legáth, J. Sublethal effects of commercial plant protection product containing spores Bacillus amyloliquefaciens QST 713 (formerly subtilis) on winter adult honeybees. Apidologie 2020, 51, 226–239. [Google Scholar] [CrossRef]
- Antje, R.; Lise, N.J. Biological control of yellow rust of wheat (Puccinia striiformis) with Serenade® ASO (Bacillus subtilis strain QST713). Crop Prot. 2017, 93, 1–8. [Google Scholar]
- Ochoa-Hueso, R.; Bell, M.D.; Manrique, E. Impacts of increased nitrogen deposition and altered precipitation regimes on soil fertility and functioning in semiarid Mediterranean shrublands. J. Arid. Environ. 2014, 104, 106–115. [Google Scholar] [CrossRef]
- Lindsay, W.L.; Norvell, W.A. Development of DTPA soil test for zinc, iron, manganese and copper. Soil Sci. Soc. Am. J. 1978, 42, 421–428. [Google Scholar] [CrossRef]
- Tasmina, T.; Khan, A.R.; Karim, A.; Akter NIslam, R. Physiological changes of wheat varieties under water deficit condition. Bangladesh Agron. J. 2017, 19, 105–114. [Google Scholar] [CrossRef]
- Abdelaal, K.; Aikahtani, M.; Attia, K.; Hafez, Y.; Kiraly, L.; Kunstler, A. The Role of plant growth-promoting bacteria in alleviating the adverse effects of drought on plants. Biology 2021, 10, 520. [Google Scholar] [CrossRef] [PubMed]
- Cai, J.P.; Fu, J.L.; Liu, H.Y.; Li, T.P.; Feng, X.; Lu, J.U.; Wang, R.Z.; Jiang, Y. Divergent responses of leaf mineral nutrient concentrations among plant families and functional groups to nitrogen addition and irrigation in a semi-arid grassland. Plant Soil 2023, 491, 21–31. [Google Scholar] [CrossRef]
- Etesami, H.; Maheshwari, D.K. Use of plant growth promoting rhizobacteria (PGPRs) with multiple plant growth promoting traits in stress agriculture: Action mechanisms and future prospects. Ecotoxicol. Environ. Saf. 2018, 156, 225–246. [Google Scholar] [CrossRef] [PubMed]
- Mansour, E.; Mahgoub, H.A.M.; Mahgoub, S.A.; EI-Sobky, E.E.A.; Abdul-Hamid, M.I.; Kamara, M.M.; AbuQamar, S.F.; EI-Tarabily, K.A.; Desoky, E.M. Enhancement of drought tolerance in diverse Vicia faba cultivars by inoculation with plant growth-promoting rhizobacteria under newly reclaimed soil conditions. Sci. Rep. 2021, 11, 24142. [Google Scholar] [CrossRef] [PubMed]
- Lan, Y.; Kuktaite, R.; Chawade, A.; Johansson, E. Chasing high and stable wheat grain mineral content: Mining diverse spring genotypes under induced drought stress. PLoS ONE 2024, 19, e0298350. [Google Scholar] [CrossRef] [PubMed]
- Samadi, A.; Derafshi, M.; Hassani, A.; Gholamhoseini, M.; Asgari, L.B.; Astatkie, T.; Price, G. Effects of biofertilizers and potassium sulfate on nutrients uptake and physiological characteristics of Maize (Zea mays L.) under drought stress. J. Crop Health 2024, 76, 209–218. [Google Scholar] [CrossRef]
- Jabborova, D.; Kannepalli, A.; Davranov, K.; Narimanov, A.; Enakiev, Y.; Syed, A.; Elgorban, A.M.; Bahkali, A.H.; Wirth, S.; Sayyed, W.; et al. Co-inoculation of rhizobacteria promotes growth, yield, and nutrient contents in soybean and improves soil enzymes and nutrients under drought conditions. Sci. Rep. 2021, 11, 22081. [Google Scholar] [CrossRef] [PubMed]
- Cui, Y.N.; Xia, Z.R.; Ma, Q.; Wang, W.Y.; Chai, W.W.; Wang, S.M. The synergistic effects of sodium and potassium on the xerophyte Apocynum venetum in response to drought stress. Plant Physiol. Biochem. 2019, 135, 489–498. [Google Scholar] [CrossRef]
- Mateus, N.S.; Florentino, A.L.; Santos, E.F.; Ferraz, A.V.; Goncalves, J.L.M.; Lavres, J. Partial substitution of K by Na alleviates drought stress and increases water use efficiency in Eucalyptus species seedlings. Front. Plant Sci. 2021, 12, 632342. [Google Scholar]
- Tester, M.; Davenport, R. Na+ tolerance and Na+ transport in higher plants. Ann. Bot. 2003, 91, 503–527. [Google Scholar] [CrossRef] [PubMed]
- Nadeem, S.M.; Naveed, M.; Zahir, Z.A.; Asghar, H.N. Plant–microbe interactions for sustainable agriculture: Fundamentals and recent advances. In Plant Microbe Symbiosis: Fundamentals and Advances; Springer: Berlin/Heidelberg, Germany, 2013; pp. 51–103. [Google Scholar]
- Andrews, S.C.; Robinson, A.K.; Rodríguez-Quiñones, F. Bacterial iron homeostasis. FEMS Microbiol. Rev. 2003, 27, 215–237. [Google Scholar] [CrossRef] [PubMed]
- Sardans, J.; Peñuelas, J.; Prieto, P.; Estiarte, M. Changes in Ca, Fe, Mg, Mo, Na, and S content in a Mediterranean shrubland under warming and drought. J. Geophys. Res. 2008, 113, G03039. [Google Scholar] [CrossRef]
- Srivastava, N. Siderophore production in iron uptake and plant biofortification. In Plant Microbiome for Plant Productivity and Sustainable Agriculture; Chhabra, S., Prasad, R., Maddela, N.R., Tuteja, N., Eds.; Springer Nature: Singapore, 2023; pp. 313–329. [Google Scholar]
- Ali, S.S.; Vidhale, N. Bacterial siderophore and their application: A review. Int. J. Curr. Microbiol. Appl. Sci. 2013, 2, 303–312. [Google Scholar]
- Verma, P.; Yadav, A.N.; Khannam, K.S.; Kumar, S.; Saxena, A.K.; Suman, A. Molecular diversity and multifarious plant growth promoting attributes of Bacilli associated with wheat (Triticum aestivum L.) rhizosphere from six diverse agro-ecological zones of India. J. Basic Microbiol. 2016, 56, 44–58. [Google Scholar] [CrossRef] [PubMed]
- Pandin, C.; Le Coq, D.; Deschamps, J.; Védie, R.; Rousseau, T.; Aymerich, S.; Briandet, R. Complete genome sequence of Bacillus velezensis QST713: A biocontrol agent that protects Agaricus bisporus crops against the green mould disease. J. Biotechnol. 2018, 278, 10–19. [Google Scholar] [CrossRef] [PubMed]
- Glick, B.R. The enhancement of plant growth by free-living bacteria. Can. J. Microbiol. 1995, 41, 109–117. [Google Scholar] [CrossRef]
- Hayat, R.; Ahmed, I.; Sheirdil, R.A. An overview of plant growth promoting rhizobacteria (PGPR) for sustainable agriculture. In Crop Production for Agricultural Improvement; Springer: Berlin/Heidelberg, Germany, 2012; pp. 557–579. [Google Scholar]
- Chen, D.; Saeed, M.; Ali, M.N.H.A.; Raheel, M.; Ashraf, W.; Hassan, Z.; Hassan, M.Z.; Farooq, U.; Hakim, M.F.; Rao, M.Z.; et al. Plant growth promoting rhizobacteria (PGPR) and arbuscular mycorrhizal fungi combined application reveals enhanced soil fertility and rice production. Agronomy 2023, 13, 550. [Google Scholar] [CrossRef]
- Abdollahi, S.; Golchin, A.; Shahryari, F.; Alamdari, P. PGPR inoculation of a contaminated soil affects plant growth and phytoavailability of Cd and Pb. Arch. Agron. Soil Sci. 2022, 68, 579–596. [Google Scholar] [CrossRef]
- Çakmakçı, R.; Kantar, F.; Sahin, F. Effect of N2-fixing bacterial inoculations on yield of sugar beet and barley. J. Plant Nutr. Soil Sci. 2001, 164, 527–531. [Google Scholar] [CrossRef]
- Orhan, E.; Esitken, A.; Ercisli, S.; Turan, M.; Sahin, F. Effects of plant growth promoting rhizobacteria (PGPR) on yield, growth and nutrient contents in organically growing raspberry. Sci. Hortic. 2006, 111, 38–43. [Google Scholar] [CrossRef]
- Yolcu, H.; Gunes, A.; Gullap, M.K.; Cakmakci, R. Effects of plant growth-promoting rhizobacteria on some morphologic characteristics, yield and quality contents of Hungarian vetch. Turk. J. Field Crops 2012, 17, 208–214. [Google Scholar]
- Ekin, Z. Integrated use of humic acid and plant growth promoting rhizobacteria to ensure higher potato productivity in sustainable agriculture. Sustainability 2019, 11, 3417. [Google Scholar] [CrossRef]
- Rybka, K.; Janaszek-Mańkowska, M.; Siedlarz, P.; Mańkowski, D. Machine learning in determination of water saturation deficit in wheat leaves on basis of Chl a fluorescence parameters. Photosynthetica 2019, 57, 226–230. [Google Scholar] [CrossRef]
- Miazek, A.; Nykiel, M.; Rybka, K. Drought tolerance depends on the age of the spring wheat seedlings and differentiates patterns of proteinases. Russ. J. Plant Physiol. 2017, 64, 333–340. [Google Scholar] [CrossRef]
- Sun, C.H.; Shi, J.J.; Dan, W.; Li, B.W.; Sun, D. Effects on physiological and biochemical characteristics of medicinal plant pigweed by drought stresses. J. Med. Plant Res. 2011, 5, 4041–4048. [Google Scholar]
- Jiao, S.Z.; Zeng, F.W.; Huang, Y.P.; Zhang, L.B.; Mao, J.; Chen, B.H. Physiological, biochemical and molecular responses associated with drought tolerance in grafted grapevine. BMC Plant Biol. 2023, 23, 110. [Google Scholar] [CrossRef] [PubMed]
- Shan, Z.Y.; Luo, X.L.; Wei, M.G.; Huang, T.W.; Khan, A.; Zhu, Y.M. Physiological and proteomic analysis on long-term drought resistance of cassava (Manihot esculenta Crantz). Sci. Rep. 2018, 8, 17982. [Google Scholar] [CrossRef]
- Rehan, M.; Al-Turki, A.; Abdelmageed, A.H.; Abdelhameid, N.M.; Omar, A.F. Performance of plant-growth-promoting rhizobacteria (PGPR) isolated from sandy soil on growth of tomato (Solanum lycopersicum L.). Plants 2023, 12, 1588. [Google Scholar] [CrossRef]






| Treated Days | Varieties | Treatments | K (mg/g) | Ca (mg/g) | Na (mg/g) | Mg (mg/g) | Fe (mg/g) | Mn (mg/g) | Zn (mg/g) |
|---|---|---|---|---|---|---|---|---|---|
| 10 | Galalxie Max | CK | 23.53 ± 0.02 b | 0.33 ± 0.00 b | 0.63 ± 0.00 c | 0.17 ± 0.00 b | 114.33 ± 0.78 c | 55.44 ± 0.7 b | 31.83 ± 0.26 a |
| CK + QST713 | 23.62 ± 0.01 a | 0.32 ± 0.00 c | 0.58 ± 0.01 d | 0.17 ± 0.00 c | 132.77 ± 1.93 b | 37.78 ± 0.25 d | 24.15 ± 0.43 c | ||
| MD | 23.32 ± 0.04 d | 0.34 ± 0.00 b | 0.91 ± 0.01 a | 0.18 ± 0.00 a | 58.05 ± 2.55 d | 50.55 ± 0.26 c | 23.77 ± 0.59 c | ||
| MD + QST713 | 23.43 ± 0.01 c | 0.38 ± 0.00 a | 0.76 ± 0.00 b | 0.18 ± 0.00 a | 153.1 ± 0.65 a | 64.69 ± 0.58 a | 28.62 ± 0.53 b | ||
| Saidi 7 | CK | 23.39 ± 0.01 b | 0.41 ± 0.00 b | 0.48 ± 0.00 c | 0.17 ± 0.00 b | 103.25 ± 0.53 b | 46.66 ± 0.46 b | 31.68 ± 0.67 b | |
| CK + QST713 | 23.44 ± 0.01 a | 0.32 ± 0.00 c | 0.44 ± 0.01 d | 0.16 ± 0.00 c | 115.55 ± 3.58 a | 35.41 ± 0.31 d | 22.78 ± 0.63 c | ||
| MD | 23.32 ± 0.01 c | 0.33 ± 0.00 c | 0.58 ± 0.01 b | 0.17 ± 0.00 a | 85.68 ± 0.99 c | 38.3 ± 0.68 c | 20.33 ± 0.16 d | ||
| MD + QST713 | 23.36 ± 0.02 b | 0.43 ± 0.00 a | 0.61 ± 0.02 a | 0.17 ± 0.00 a | 104.17 ± 1.53 b | 51.43 ± 0.64 a | 36.36 ± 0.68 a | ||
| 20 | Galalxie Max | CK | 23.58 ± 0.01 b | 0.36 ± 0.00 b | 0.26 ± 0.00 c | 0.16 ± 0.00 c | 116.95 ± 2.3 c | 40.57 ± 0.22 b | 19.30 ± 0.11 b |
| CK + QST713 | 23.64 ± 0.01 a | 0.28 ± 0.00 d | 0.22 ± 0.00 d | 0.16 ± 0.00 d | 134.53 ± 1.89 b | 33.09 ± 1.36 c | 15.87 ± 0.21 c | ||
| MD | 23.42 ± 0.02 d | 0.38 ± 0.00 a | 0.44 ± 0.00 a | 0.17 ± 0.00 a | 74.23 ± 1.28 d | 49.6 ± 0.45 a | 20.52 ± 0.34 a | ||
| MD + QST713 | 23.48 ± 0.01 c | 0.34 ± 0.00 c | 0.38 ± 0.00 b | 0.17 ± 0.00 b | 155.8 ± 0.98 a | 47.58 ± 0.61 a | 18.85 ± 0.25 b | ||
| Saidi 7 | CK | 23.51 ± 0.02 ab | 0.35 ± 0.00 c | 0.14 ± 0.00 c | 0.16 ± 0.00 b | 123.08 ± 1.64 b | 38.73 ± 0.91 c | 15.74 ± 0.18 b | |
| CK + QST713 | 23.54 ± 0.01 a | 0.31 ± 0.00 d | 0.14 ± 0.00 c | 0.15 ± 0.00 c | 130.87 ± 2.42 a | 32.37 ± 0.97 d | 16.53 ± 0.24 b | ||
| MD | 23.39 ± 0.01 d | 0.36 ± 0.00 b | 0.2 ± 0.00 a | 0.17 ± 0.00 a | 95.93 ± 1.18 d | 53.39 ± 0.51 a | 19.65 ± 0.49 a | ||
| MD + QST713 | 23.47 ± 0.01 c | 0.38 ± 0.00 a | 0.15 ± 0.00 b | 0.16 ± 0.00 b | 112.42 ± 1.35 c | 42.42 ± 0.30 b | 16.19 ± 0.24 b | ||
| 30 | Galalxie Max | CK | 23.64 ± 0.02 c | 0.29 ± 0.00 b | 0.21 ± 0.00 b | 0.16 ± 0.00 ab | 141.77 ± 0.49 c | 34.69 ± 0.30 b | 19.36 ± 0.32 a |
| CK + QST713 | 23.71 ± 0.01 b | 0.28 ± 0.00 bc | 0.2 ± 0.00 c | 0.16 ± 0.00 a | 147.8 ± 0.75 b | 33.71 ± 0.97 b | 14.95 ± 0.29 b | ||
| MD | 23.48 ± 0.01 d | 0.31 ± 0.0 a | 0.23 ± 0.00 a | 0.16 ± 0.00 b | 134.52 ± 1.95 d | 36.63 ± 0.35 a | 14.28 ± 0.51 b | ||
| MD + QST713 | 23.78 ± 0.03 a | 0.27 ± 0.00 c | 0.21 ± 0.00 b | 0.16 ± 0.00 b | 160.37 ± 1.41 a | 38.12 ± 0.31 a | 14.91 ± 0.13 b | ||
| Saidi 7 | CK | 23.54 ± 0.02 b | 0.33 ± 0.00 a | 0.19 ± 0.00 a | 0.16 ± 0.00 b | 146.75 ± 0.38 b | 38.94 ± 0.14 a | 16.46 ± 0.37 ab | |
| CK + QST713 | 23.64 ± 0.01 a | 0.26 ± 0.00 c | 0.18 ± 0.00 b | 0.16 ± 0.00 c | 156.02 ± 1.61 a | 36.26 ± 0.30 b | 14.15 ± 0.31 c | ||
| MD | 23.43 ± 0.02 c | 0.31 ± 0.00 b | 0.2 ± 0.00 a | 0.16 ± 0.00 b | 110.02 ± 1.89 d | 36.33 ± 0.40 b | 15.81 ± 0.54 b | ||
| MD + QST713 | 23.52 ± 0.01 b | 0.32 ± 0.00 ab | 0.17 ± 0.00 b | 0.17 ± 0.00 a | 139.47 ± 0.44 c | 39.68 ± 0.26 a | 17.7 ± 0.52 a |
| Treated Days | Varieties | Treatments | K (mg/g) | Ca (mg/g) | Na (mg/g) | Mg (mg/g) | Fe (mg/g) | Mn (mg/g) | Zn (mg/g) |
|---|---|---|---|---|---|---|---|---|---|
| 10 | Galalxie Max | CK | 23.23 ± 0.01 b | 0.21 ± 0.00 a | 0.16 ± 0.00 b | 0.19 ± 0.00 b | 260.58 ± 2.28 b | 63.85 ± 0.90c | 67.77 ± 0.21 a |
| CK + QST713 | 23.33 ± 0.02 a | 0.17 ± 0.00 d | 0.18 ± 0.00 a | 0.19 ± 0.00 b | 316.65 ± 1.35 a | 51.51 ± 0.63 d | 62.44 ± 1.00 b | ||
| MD | 23.06 ± 0.02 d | 0.18 ± 0.00c | 0.19 ± 0.00 a | 0.19 ± 0.00 a | 245.64 ± 1.46c | 147.25 ± 3.72 a | 42.79 ± 0.17 d | ||
| MD + QST713 | 23.11 ± 0.01c | 0.2 ± 0.00 b | 0.19 ± 0.00 a | 0.19 ± 0.00 a | 256.58 ± 1.35 b | 116.46 ± 1.95 b | 52.22 ± 0.18c | ||
| Saidi 7 | CK | 23.37 ± 0.02 a | 0.22 ± 0.00 a | 0.17 ± 0.00 a | 0.19 ± 0.00 a | 254.28 ± 2.56 b | 59.24 ± 0.11 a | 43.32 ± 0.71 b | |
| CK + QST713 | 23.43 ± 0.01 a | 0.13 ± 0.00c | 0.17 ± 0.00 a | 0.17 ± 0.00c | 274.87 ± 3.23 a | 30.54 ± 0.73c | 33.2 ± 0.37c | ||
| MD | 23.08 ± 0.03c | 0.23 ± 0.01 a | 0.14 ± 0.00 b | 0.19 ± 0.00 a | 232.67 ± 1.30c | 61.18 ± 1.03 a | 55.35 ± 0.42 a | ||
| MD + QST713 | 23.26 ± 0.03 b | 0.19 ± 0.00 b | 0.14 ± 0.00 b | 0.18 ± 0.00 b | 247.86 ± 0.39 b | 45.27 ± 0.64 b | 27.89 ± 0.63 d | ||
| 20 | Galalxie Max | CK | 23.28 ± 0.02 ab | 0.26 ± 0.00 b | 0.14 ± 0.00 ab | 0.18 ± 0.00 b | 265.67 ± 4.42c | 38.97 ± 0.43 d | 50.35 ± 0.02 a |
| CK + QST713 | 23.35 ± 0.01 a | 0.21 ± 0.00 d | 0.14 ± 0.00 b | 0.16 ± 0.00c | 416.85 ± 2.89 a | 47.60 ± 0.25c | 52.48 ± 1.20 a | ||
| MD | 23.24 ± 0.01 b | 0.25 ± 0.00c | 0.15 ± 0.00 a | 0.19 ± 0.00 a | 256.32 ± 2.78c | 65.51 ± 0.18 a | 33.62 ± 0.93c | ||
| MD + QST713 | 23.28 ± 0.04 ab | 0.29 ± 0.00 a | 0.14 ± 0.00 ab | 0.18 ± 0.00 b | 309.25 ± 3.87 b | 52.3 ± 0.46 b | 42.65 ± 0.73 b | ||
| Saidi 7 | CK | 23.06 ± 0.32 a | 0.22 ± 0.00c | 0.26 ± 0.00 a | 0.18 ± 0.00 a | 271.87 ± 5.05 b | 31.32 ± 0.32c | 38.48 ± 0.33 b | |
| CK + QST713 | 23.47 ± 0.01 a | 0.19 ± 0.00 d | 0.26 ± 0.00 ab | 0.17 ± 0.00 b | 352.17 ± 3.75 a | 29.84 ± 0.62c | 44.95 ± 0.61 a | ||
| MD | 23.14 ± 0.02 a | 0.26 ± 0.00 a | 0.11 ± 0.00c | 0.18 ± 0.00 a | 248.71 ± 4.76c | 40.76 ± 0.56 a | 35.11 ± 0.32c | ||
| MD + QST713 | 23.29 ± 0.00 a | 0.24 ± 0.00 b | 0.25 ± 0.00 b | 0.18 ± 0.00 a | 262.25 ± 0.38 b | 35.51 ± 0.22 b | 31.86 ± 1.09 d | ||
| 30 | Galalxie Max | CK | 23.47 ± 0.01 ab | 0.26 ± 0.00 b | 0.18 ± 0.00 b | 0.15 ± 0.00c | 356.42 ± 1.03 b | 34.49 ± 0.65 d | 25.06 ± 0.13 b |
| CK + QST713 | 23.50 ± 0.02 a | 0.25 ± 0.00c | 0.20 ± 0.00 a | 0.16 ± 0.01 bc | 462.3 ± 2.84 a | 37.53 ± 0.12c | 21.74 ± 0.04c | ||
| MD | 23.41 ± 0.02 b | 0.30 ± 0.00 a | 0.20 ± 0.00 a | 0.17 ± 0.00 a | 294.08 ± 2.77c | 43.32 ± 0.12 a | 24.49 ± 0.35 b | ||
| MD + QST713 | 23.44 ± 0.02 ab | 0.30 ± 0.01 a | 0.19 ± 0.00 ab | 0.16 ± 0.00 ab | 348.07 ± 3.54 b | 41.27 ± 0.40 b | 30.72 ± 0.35 a | ||
| Saidi 7 | CK | 23.47 ± 0.00 b | 0.24 ± 0.00c | 0.20 ± 0.00 a | 0.16 ± 0.00 ab | 362.60 ± 2.18 b | 31.59 ± 0.28c | 20.55 ± 0.42 b | |
| CK + QST713 | 23.56 ± 0.01 a | 0.26 ± 0.01c | 0.18 ± 0.00 b | 0.16 ± 0.00 ab | 448.62 ± 3.68 a | 36.38 ± 0.92 b | 29.93 ± 0.74 a | ||
| MD | 23.17 ± 0.02 d | 0.43 ± 0.01 a | 0.19 ± 0.00 b | 0.16 ± 0.00 a | 309.55 ± 4.43c | 39.84 ± 0.26 a | 18.58 ± 0.29c | ||
| MD + QST713 | 23.30 ± 0.01c | 0.38 ± 0.00 b | 0.21 ± 0.00 a | 0.15 ± 0.00 b | 320.32 ± 4.16c | 34.86 ± 0.44 b | 21.56 ± 0.25 b |
| Treated Days | Varieties | Treatments | K (mg/g) | Ca (mg/g) | Na (mg/g) | Mg (mg/g) | Fe (mg/g) | Mn (mg/g) | Zn (mg/g) |
|---|---|---|---|---|---|---|---|---|---|
| 10 | Galalxie Max | CK | 3.65 ± 0.01 b | 0.19 ± 0.00 a | 1.17 ± 0.00 c | 0.15 ± 0.00 a | 418.37 ± 0.64 b | 16.63 ± 0.24 a | 8.08 ± 0.16 a |
| CK + QST713 | 4.16 ± 0.01 a | 0.18 ± 0.00 a | 1.20 ± 0.01 b | 0.16 ± 0.00 a | 383.18 ± 5.78 a | 14.49 ± 0.20 b | 7.4 ± 0.15 ab | ||
| MD | 3.20 ± 0.03 c | 0.17 ± 0.01 b | 1.28 ± 0.00 a | 0.15 ± 0.00 a | 250.45 ± 4.55 d | 9.86 ± 0.07 d | 5.33 ± 0.24 c | ||
| MD + QST713 | 3.55 ± 0.07 b | 0.19 ± 0.00 a | 1.14 ± 0.01 d | 0.15 ± 0.00 a | 365.87 ± 3.13 c | 13.85 ± 0.23 c | 7.11 ± 0.44 b | ||
| Saidi 7 | CK | 3.4 ± 0.05 b | 0.14 ± 0.00 c | 1.00 ± 0.02 b | 0.15 ± 0.00 a | 495.52 ± 3.44 c | 14.46 ± 0.27 c | 6.10 ± 0.07 a | |
| CK + QST713 | 4.49 ± 0.02 a | 0.12 ± 0.00 d | 1.03 ± 0.01 b | 0.14 ± 0.00 b | 574.37 ± 6.98 a | 15.34 ± 0.24 b | 5.38 ± 0.07 b | ||
| MD | 2.80 ± 0.05 c | 0.2 ± 0.01 a | 1.09 ± 0.02 a | 0.15 ± 0.00 ab | 247.4 ± 5.47 d | 15.21 ± 0.06 b | 2.82 ± 0.12 d | ||
| MD + QST713 | 3.32 ± 0.04 b | 0.16 ± 0.00 b | 0.98 ± 0.02 b | 0.15 ± 0.00 a | 545.52 ± 11.06 b | 16.58 ± 0.18 a | 3.74 ± 0.14 c | ||
| 20 | Galalxie Max | CK | 4.03 ± 0.03 b | 0.26 ± 0.00 a | 1.02 ± 0.02 b | 0.17 ± 0.00 a | 469.4 ± 10.96 b | 17.61 ± 0.47 a | 6.46 ± 0.12 a |
| CK + QST713 | 5.15 ± 0.06 a | 0.25 ± 0.01 a | 1.05 ± 0.01 b | 0.17 ± 0.00 a | 583.88 ± 20.77 a | 16.96 ± 0.38 ab | 6.23 ± 0.18 a | ||
| MD | 3.79 ± 0.04 c | 0.22 ± 0.01 b | 1.11 ± 0.01 a | 0.16 ± 0.00 b | 412.73 ± 3.27 c | 14.53 ± 0.12 c | 3.66 ± 0.28 c | ||
| MD + QST713 | 3.86 ± 0.03 b | 0.20 ± 0.00 b | 1.04 ± 0.01 b | 0.16 ± 0.00 b | 456.13 ± 9.17 b | 16.06 ± 0.45 b | 4.88 ± 0.25 b | ||
| Saidi 7 | CK | 4.35 ± 0.07 b | 0.24 ± 0.00 a | 0.96 ± 0.00 b | 0.16 ± 0.00 ab | 546.17 ± 5.47 b | 17.55 ± 0.14 a | 5.81 ± 0.17 a | |
| CK + QST713 | 5.10 ± 0.12 a | 0.24 ± 0.01 a | 0.98 ± 0.02 b | 0.16 ± 0.00 a | 682.45 ± 9.60 a | 17.27 ± 0.13 a | 4.37 ± 0.29 b | ||
| MD | 3.56 ± 0.05 c | 0.20 ± 0.01 b | 1.08 ± 0.04 a | 0.15 ± 0.00 b | 464.17 ± 3.85 c | 15.16 ± 0.17 c | 3.30 ± 0.19 c | ||
| MD + QST713 | 4.31 ± 0.02 b | 0.20 ± 0.01 b | 0.88 ± 0.01 c | 0.16 ± 0.00 b | 572.65 ± 13.02 b | 16.43 ± 0.28 b | 3.93 ± 0.13 b | ||
| 30 | Galalxie Max | CK | 4.4 ± 0.03 b | 0.36 ± 0.00 a | 1.02 ± 0.01 b | 0.17 ± 0.00 a | 783.27 ± 7.13 b | 18.32 ± 0.10 a | 6.19 ± 0.38 a |
| CK + QST713 | 5.75 ± 0.06 a | 0.34 ± 0.01 a | 1.04 ± 0.01 b | 0.17 ± 0.00 b | 871.85 ± 28.20 a | 18.32 ± 0.25 a | 5.58 ± 0.26 b | ||
| MD | 4.16 ± 0.04 c | 0.26 ± 0.01 c | 1.08 ± 0.01 a | 0.16 ± 0.00 b | 607.22 ± 5.83 c | 16.15 ± 0.44 c | 3.26 ± 0.15 c | ||
| MD + QST713 | 4.44 ± 0.07 b | 0.29 ± 0.01 b | 0.97 ± 0.00 a | 0.16 ± 0.00 b | 793.72 ± 10.74 b | 17.19 ± 0.35 b | 4.53 ± 0.92 a | ||
| Saidi 7 | CK | 5.05 ± 0.07 b | 0.35 ± 0.00 a | 0.90 ± 0.00 c | 0.17 ± 0.00 a | 557.20 ± 7.65 c | 18.13 ± 0.13 b | 5.60 ± 0.10 a | |
| CK + QST713 | 5.44 ± 0.04 a | 0.29 ± 0.00 c | 0.95 ± 0.01 ab | 0.17 ± 0.00 a | 814.45 ± 5.39 a | 20.35 ± 0.37 a | 4.00 ± 0.08 b | ||
| MD | 4.34 ± 0.06 d | 0.34 ± 0.00 b | 0.98 ± 0.01 a | 0.17 ± 0.00 a | 324.13 ± 14.51 d | 16.65 ± 0.15 c | 3.39 ± 0.08 c | ||
| MD + QST713 | 4.67 ± 0.14 c | 0.29 ± 0.01 c | 0.92 ± 0.02 bc | 0.16 ± 0.00 a | 703.42 ± 17.97 b | 20.17 ± 0.32 a | 3.83 ± 0.13 b |
Disclaimer/Publisher’s Note: The statements, opinions and data contained in all publications are solely those of the individual author(s) and contributor(s) and not of MDPI and/or the editor(s). MDPI and/or the editor(s) disclaim responsibility for any injury to people or property resulting from any ideas, methods, instructions or products referred to in the content. |
© 2024 by the authors. Licensee MDPI, Basel, Switzerland. This article is an open access article distributed under the terms and conditions of the Creative Commons Attribution (CC BY) license (https://creativecommons.org/licenses/by/4.0/).
Share and Cite
Han, L.; Hu, L.; Lv, Y.; Li, Y.; Ma, Z.; Li, B.; Gao, P.; Liang, Y.; Zhao, X. Effects of Bacillus amyloliquefaciens QST713 on Mineral Nutrient Utilization of Alfalfa (Medicago sativa L.) under Drought Stress. Agronomy 2024, 14, 1793. https://doi.org/10.3390/agronomy14081793
Han L, Hu L, Lv Y, Li Y, Ma Z, Li B, Gao P, Liang Y, Zhao X. Effects of Bacillus amyloliquefaciens QST713 on Mineral Nutrient Utilization of Alfalfa (Medicago sativa L.) under Drought Stress. Agronomy. 2024; 14(8):1793. https://doi.org/10.3390/agronomy14081793
Chicago/Turabian StyleHan, Lingjuan, Lele Hu, Yuanyuan Lv, Yixuan Li, Zheng Ma, Bin Li, Peng Gao, Yinping Liang, and Xiang Zhao. 2024. "Effects of Bacillus amyloliquefaciens QST713 on Mineral Nutrient Utilization of Alfalfa (Medicago sativa L.) under Drought Stress" Agronomy 14, no. 8: 1793. https://doi.org/10.3390/agronomy14081793
APA StyleHan, L., Hu, L., Lv, Y., Li, Y., Ma, Z., Li, B., Gao, P., Liang, Y., & Zhao, X. (2024). Effects of Bacillus amyloliquefaciens QST713 on Mineral Nutrient Utilization of Alfalfa (Medicago sativa L.) under Drought Stress. Agronomy, 14(8), 1793. https://doi.org/10.3390/agronomy14081793
